Excipient Impact on Fenofibrate Equilibrium Solubility in Fasted and Fed Simulated Intestinal Fluids Assessed Using a Design of Experiment Protocol
Abstract
1. Introduction
2. Materials and Methods
2.1. Materials
2.2. Dual Level Design of Experiment (DoE) and Data Analysis
2.3. Equilibrium Solubility Measurement
2.3.1. Preparation of Stock Systems
- Preparation of Lipid Suspension
- Preparation of Sodium Oleate Solution
- Preparation Buffer Solution
- Preparation of excipient stock solutions
2.3.2. Preparation of Experimental Measurement Solutions
- Preparation of Individual Design of Experiment Solutions
2.4. HPLC Analysis
3. Results
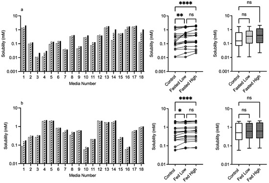
3.1. Control Solubility Measurement
3.1.1. Solubility Distribution

3.1.2. Solubility Influence of DoE Factors
represents fasted study arm;
represents fed study arm. Bar to the right of 0 on x axis is positive effect on solubility, bar length indicates the magnitude of the effect, vertical dashed black lines indicate statistical significance threshold (p < 0.05).
represents fasted study arm;
represents fed study arm. Bar to the right of 0 on x axis is positive effect on solubility, bar length indicates the magnitude of the effect, vertical dashed black lines indicate statistical significance threshold (p < 0.05).
3.1.3. Statistical Considerations
3.2. Impact of Excipients on Equilibrium Solubility
3.2.1. Excipient Concentrations
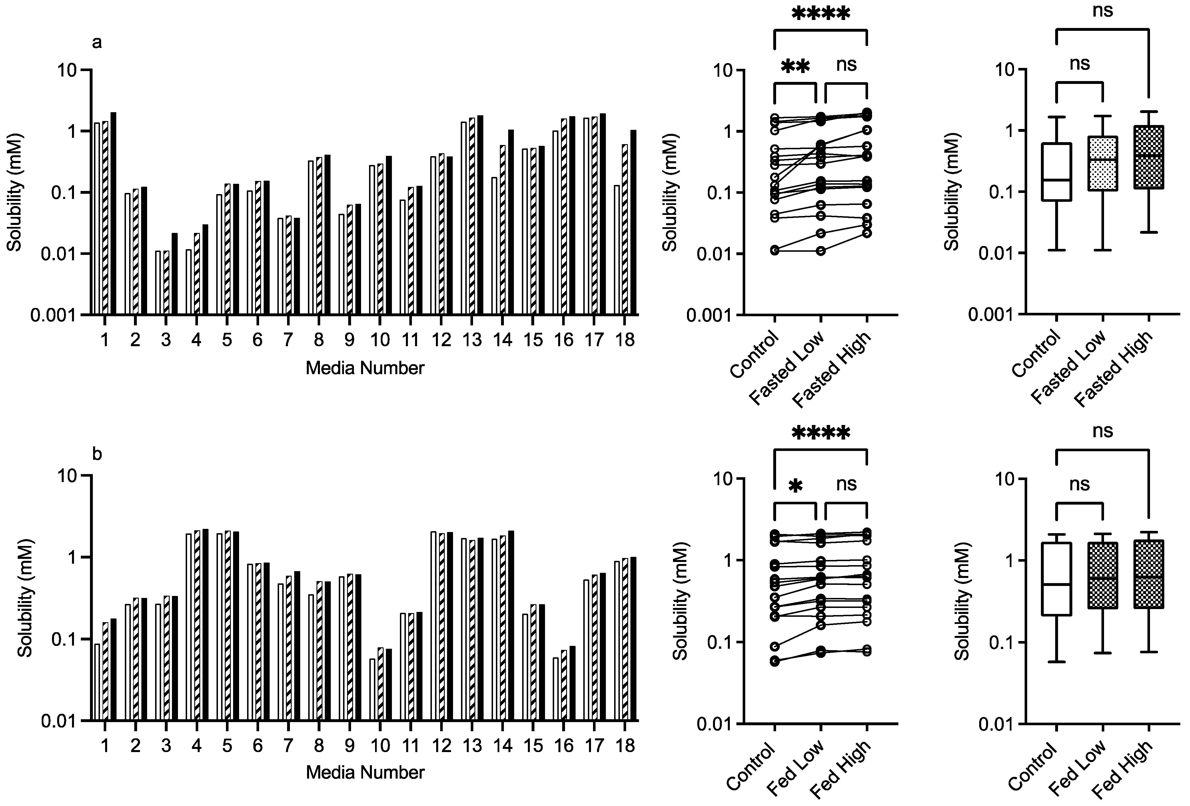
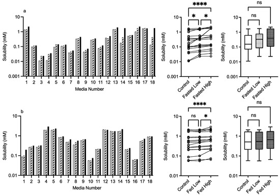
3.2.2. Mannitol
control (no excipient),
low excipient concentration,
high excipient concentration. Matched Friedman non-parametric comparison of groups (control, low excipient and high excipient concentration). Non-matched Kruskal–Wallis comparison of groups,
control no excipient,
low excipient concentration,
high excipient concentration. Box and whisker plots—see legend in Figure 1. (a) ns = no significant difference, p > 0.05. (b). ** p = 0.0124.
control (no excipient),
low excipient concentration,
high excipient concentration. Matched Friedman non-parametric comparison of groups (control, low excipient and high excipient concentration). Non-matched Kruskal–Wallis comparison of groups,
control no excipient,
low excipient concentration,
high excipient concentration. Box and whisker plots—see legend in Figure 1. (a) ns = no significant difference, p > 0.05. (b). ** p = 0.0124.
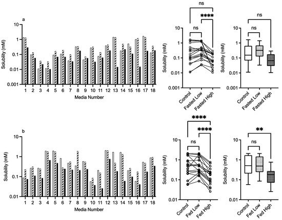
3.2.3. PVP K12 and K29/32
control (no excipient),
low excipient concentration,
high excipient concentration. Matched Friedman non-parametric comparison of groups (control, low excipient and high excipient concentration). Non-matched Kruskal–Wallis comparison of groups,
control no excipient,
low excipient concentration,
high excipient concentration. Box and whisker plots—see legend in Figure 1 (a) ns = no significant difference, p > 0.05; ** p = 0.0081; **** p < 0.0001. (b) ns = no significant difference, p > 0.05; * p = 0.0138; **** p < 0.0001.
control (no excipient),
low excipient concentration,
high excipient concentration. Matched Friedman non-parametric comparison of groups (control, low excipient and high excipient concentration). Non-matched Kruskal–Wallis comparison of groups,
control no excipient,
low excipient concentration,
high excipient concentration. Box and whisker plots—see legend in Figure 1 (a) ns = no significant difference, p > 0.05; ** p = 0.0081; **** p < 0.0001. (b) ns = no significant difference, p > 0.05; * p = 0.0138; **** p < 0.0001.
control (no excipient),
low excipient concentration,
high excipient concentration. Matched Friedman non-parametric comparison of groups (control, low excipient and high excipient concentration). Non-matched Kruskal–Wallis comparison of groups,
control no excipient,
low excipient concentration,
high excipient concentration. Box and whisker plots—see legend in Figure 1. (a) ns = no significant difference, p > 0.05; * p = 0.0138; **** p < 0.0001. (b) ns = no significant difference, p > 0.05; * p = 0.0138; **** p < 0.0001.
control (no excipient),
low excipient concentration,
high excipient concentration. Matched Friedman non-parametric comparison of groups (control, low excipient and high excipient concentration). Non-matched Kruskal–Wallis comparison of groups,
control no excipient,
low excipient concentration,
high excipient concentration. Box and whisker plots—see legend in Figure 1. (a) ns = no significant difference, p > 0.05; * p = 0.0138; **** p < 0.0001. (b) ns = no significant difference, p > 0.05; * p = 0.0138; **** p < 0.0001.
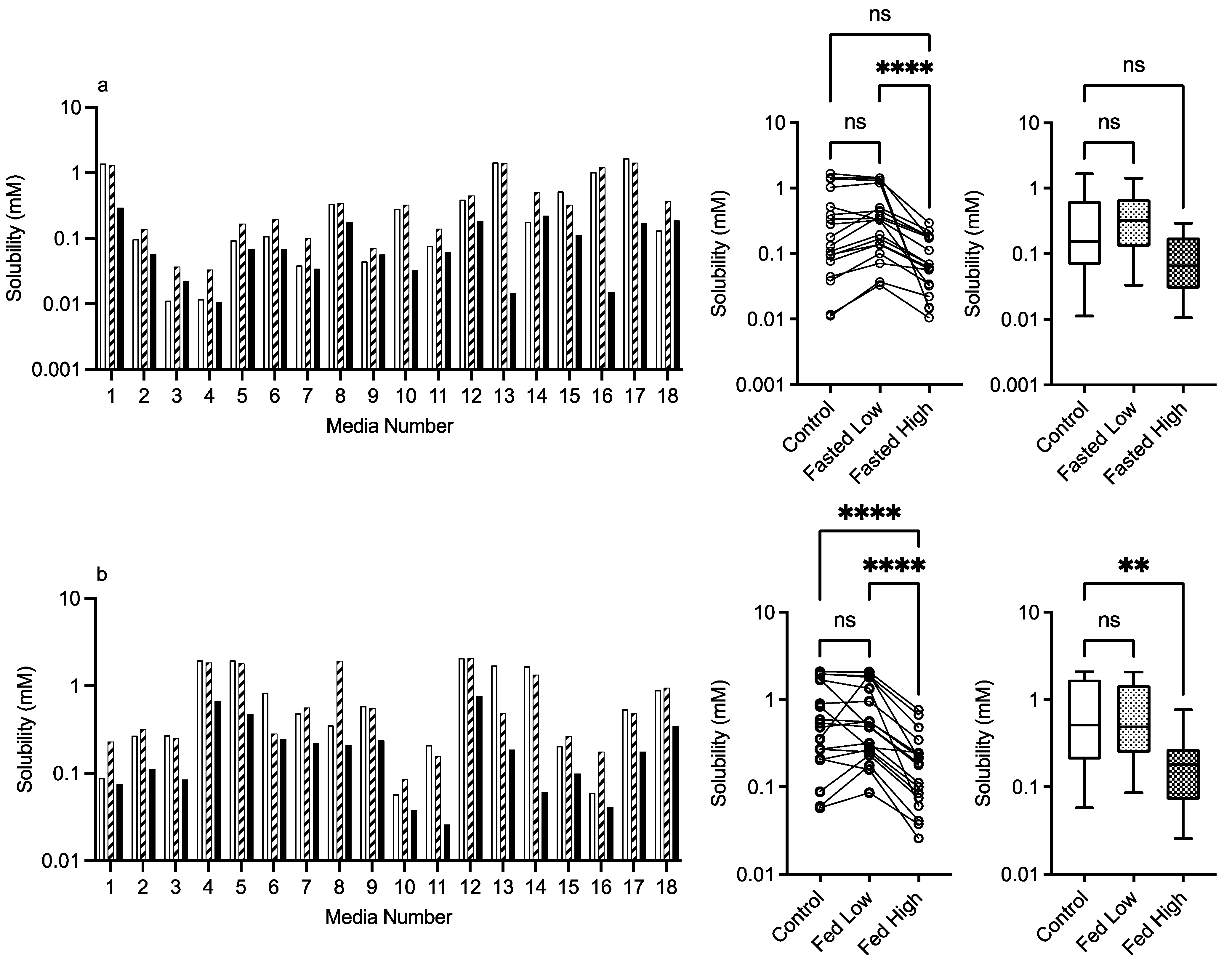
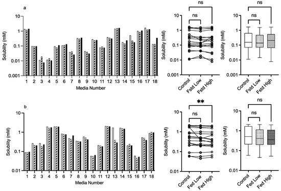
3.2.4. HPMC E3 and E50
control (no excipient),
low excipient concentration,
high excipient concentration. Matched Friedman non-parametric comparison of groups (control, low excipient and high excipient concentration). Non-matched Kruskal–Wallis comparison of groups,
control no excipient,
low excipient concentration,
high excipient concentration. Box and whisker plots—see legend in Figure 1. (a) ns = no significant difference, p > 0.05; **** p < 0.0001. (b) ns = no significant difference, p > 0.05; ** p = 0.0077; **** p < 0.0001.
control (no excipient),
low excipient concentration,
high excipient concentration. Matched Friedman non-parametric comparison of groups (control, low excipient and high excipient concentration). Non-matched Kruskal–Wallis comparison of groups,
control no excipient,
low excipient concentration,
high excipient concentration. Box and whisker plots—see legend in Figure 1. (a) ns = no significant difference, p > 0.05; **** p < 0.0001. (b) ns = no significant difference, p > 0.05; ** p = 0.0077; **** p < 0.0001.
control (no excipient),
low excipient concentration,
high excipient concentration. Matched Friedman non-parametric comparison of groups (control, low excipient and high excipient concentration). Non-matched Kruskal–Wallis comparison of groups,
control no excipient,
low excipient concentration,
high excipient concentration. Box and whisker plots—see legend in Figure 1. (a) Friedman comparison: ns = no significant difference, p > 0.05; * p < 0.0373; *** p < 0.0002; Kruskal–Wallis comparison, * p < 0.0263. (b) ns = no significant difference, p > 0.05; *** p = 0.0002; **** p < 0.0001; ** p = 0.0020.
control (no excipient),
low excipient concentration,
high excipient concentration. Matched Friedman non-parametric comparison of groups (control, low excipient and high excipient concentration). Non-matched Kruskal–Wallis comparison of groups,
control no excipient,
low excipient concentration,
high excipient concentration. Box and whisker plots—see legend in Figure 1. (a) Friedman comparison: ns = no significant difference, p > 0.05; * p < 0.0373; *** p < 0.0002; Kruskal–Wallis comparison, * p < 0.0263. (b) ns = no significant difference, p > 0.05; *** p = 0.0002; **** p < 0.0001; ** p = 0.0020.
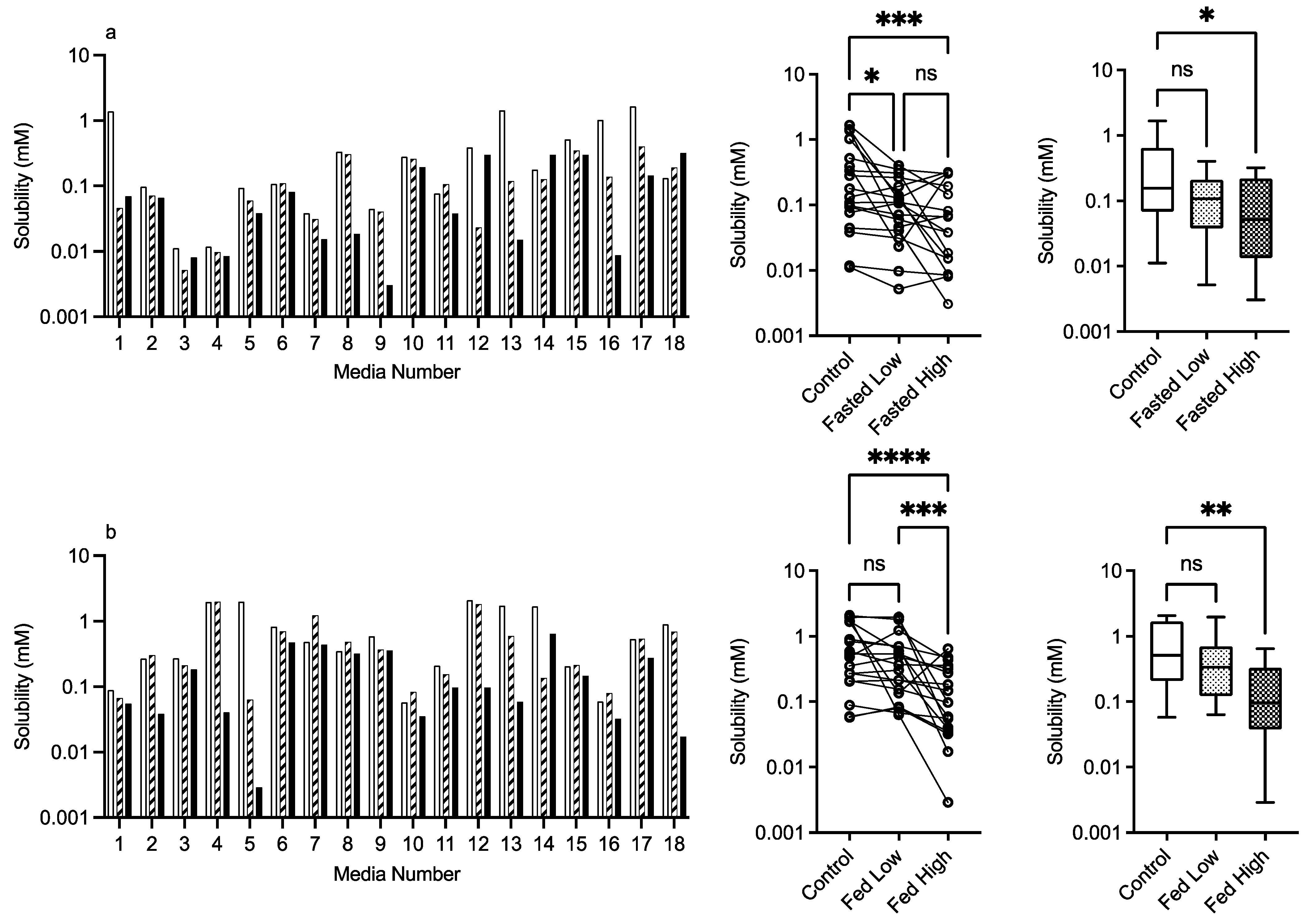
3.2.5. Chitosan
control (no excipient),
low excipient concentration,
high excipient concentration. Matched Friedman non-parametric comparison of groups (control, low excipient and high excipient concentration). Non-matched Kruskal–Wallis comparison of groups,
control no excipient,
low excipient concentration,
high excipient concentration. Box and whisker plots—see legend in Figure 1. (a) Friedman comparison: ns = no significant difference, p > 0.05; *** p < 0.0007; **** p < 0.0001; Kruskal–Wallis comparison, *** p < 0.0004. (b) ns = no significant difference, p > 0.05; ** p = 0.0042; **** p < 0.0001; Kruskal–Wallis comparison, *** p < 0.0004.
control (no excipient),
low excipient concentration,
high excipient concentration. Matched Friedman non-parametric comparison of groups (control, low excipient and high excipient concentration). Non-matched Kruskal–Wallis comparison of groups,
control no excipient,
low excipient concentration,
high excipient concentration. Box and whisker plots—see legend in Figure 1. (a) Friedman comparison: ns = no significant difference, p > 0.05; *** p < 0.0007; **** p < 0.0001; Kruskal–Wallis comparison, *** p < 0.0004. (b) ns = no significant difference, p > 0.05; ** p = 0.0042; **** p < 0.0001; Kruskal–Wallis comparison, *** p < 0.0004.


4. Discussion
4.1. Control Excipient-Free Solubility Measurements
4.2. Effect of Excipients on Fenofibrate Equilibrium Solubility
4.2.1. Mannitol
4.2.2. PVP K12 and K29/32
4.2.3. HPMC E3 and E50
4.2.4. Chitosan
5. Conclusions
Supplementary Materials
Author Contributions
Funding
Institutional Review Board Statement
Informed Consent Statement
Data Availability Statement
Acknowledgments
Conflicts of Interest
References
- Amidon, G.L.; Lennernas, H.; Shah, V.P.; Crison, J.R. A Theoretical Basis For a Biopharmaceutic Drug Classification—The Correlation Of In-Vitro Drug Product Dissolution and In-Vivo Bioavailability. Pharm. Res. 1995, 12, 413–420. [Google Scholar] [CrossRef] [PubMed]
- Rosenberger, J.; Butler, J.; Dressman, J. A Refined Developability Classification System. J. Pharm. Sci. 2018, 107, 2020–2032. [Google Scholar] [CrossRef] [PubMed]
- Klein, S. The use of biorelevant dissolution media to forecast the in vivo performance of a drug. AAPS J. 2010, 12, 397–406. [Google Scholar] [CrossRef] [PubMed]
- Park, J.M.; Chae, S.I.; Noh, Y.S.; Lee, S.J.; Shim, W.S.; Yoon, J.M.; Hwang, S.J.; Lee, K.T.; Chung, E.K. Pharmacokinetics and bioequivalence of two fenofibrate choline formulations in healthy subjects under fed and fasted condition. Int. J. Clin. Pharmacol. Ther. 2019, 57, 217–228. [Google Scholar] [CrossRef] [PubMed]
- Lipinski, C.A.; Lombardo, F.; Dominy, B.W.; Feeney, P.J. Experimental and computational approaches to estimate solubility and permeability in drug discovery and development settings. Adv. Drug Deliv. Rev. 2001, 46, 3–26. [Google Scholar] [CrossRef] [PubMed]
- Savjani, K.T.; Gajjar, A.K.; Savjani, J.K. Drug solubility: Importance and enhancement techniques. ISRN Pharm. 2012, 2012, 195727. [Google Scholar] [CrossRef] [PubMed]
- Clarysse, S.; Brouwers, J.; Tack, J.; Annaert, P.; Augustijns, P. Intestinal drug solubility estimation based on simulated intestinal fluids: Comparison with solubility in human intestinal fluids. Eur. J. Pharm. Sci. 2011, 43, 260–269. [Google Scholar] [CrossRef] [PubMed]
- Dahlgren, D.; Roos, C.; Johansson, P.; Tannergren, C.; Lundqvist, A.; Langguth, P.; Sjoblom, M.; Sjogren, E.; Lennernas, H. The effects of three absorption-modifying critical excipients on the in vivo intestinal absorption of six model compounds in rats and dogs. Int. J. Pharm. 2018, 547, 158–168. [Google Scholar] [CrossRef] [PubMed]
- Augustijns, P.; Wuyts, B.; Hens, B.; Annaert, P.; Butler, J.; Brouwers, J. A review of drug solubility in human intestinal fluids: Implications for the prediction of oral absorption. Eur. J. Pharm. Sci. 2014, 57, 322–332. [Google Scholar] [CrossRef] [PubMed]
- Bou-Chacra, N.; Melo, K.J.C.; Morales, I.A.C.; Stippler, E.S.; Kesisoglou, F.; Yazdanian, M.; Lobenberg, R. Evolution of Choice of Solubility and Dissolution Media After Two Decades of Biopharmaceutical Classification System. AAPS J. 2017, 19, 989–1001. [Google Scholar] [CrossRef] [PubMed]
- Khadra, I.; Zhou, Z.; Dunn, C.; Wilson, C.G.; Halbert, G. Statistical investigation of simulated intestinal fluid composition on the equilibrium solubility of biopharmaceutics classification system class II drugs. Eur. J. Pharm. Sci. 2015, 67, 65–75. [Google Scholar] [CrossRef] [PubMed]
- Zhou, Z.; Dunn, C.; Khadra, I.; Wilson, C.G.; Halbert, G.W. Statistical investigation of simulated fed intestinal media composition on the equilibrium solubility of oral drugs. Eur. J. Pharm. Sci. 2017, 99, 95–104. [Google Scholar] [CrossRef] [PubMed]
- Ainousah, B.E.; Perrier, J.; Dunn, C.; Khadra, I.; Wilson, C.G.; Halbert, G. Dual Level Statistical Investigation of Equilibrium Solubility in Simulated Fasted and Fed Intestinal Fluid. Mol. Pharm. 2017, 14, 4170–4180. [Google Scholar] [CrossRef] [PubMed]
- Abuhassan, Q.; Khadra, I.; Pyper, K.; Halbert, G.W. Small scale in vitro method to determine a bioequivalent equilibrium solubility range for fasted human intestinal fluid. Eur. J. Pharm. Biopharm. 2021, 168, 90–96. [Google Scholar] [CrossRef] [PubMed]
- Ines Silva, M.; Khadra, I.; Pyper, K.; Halbert, G.W. Small scale in vitro method to determine a potential bioequivalent equilibrium solubility range for fed human intestinal fluid. Eur. J. Pharm. Biopharm. 2022, 177, 126–134. [Google Scholar] [CrossRef] [PubMed]
- Sugano, K.; Okazaki, A.; Sugimoto, S.; Tavornvipas, S.; Omura, A.; Mano, T. Solubility and dissolution profile assessment in drug discovery. Drug Metab. Pharmacokinet. 2007, 22, 225–254. [Google Scholar] [CrossRef] [PubMed]
- Leuner, C.; Dressman, J. Improving drug solubility for oral delivery using solid dispersions. Eur. J. Pharm. Biopharm. 2000, 50, 47–60. [Google Scholar] [CrossRef] [PubMed]
- Rask, M.B.; Knopp, M.M.; Olesen, N.E.; Holm, R.; Rades, T. Influence of PVP/VA copolymer composition on drug-polymer solubility. Eur. J. Pharm. Sci. 2016, 85, 10–17. [Google Scholar] [CrossRef] [PubMed]
- Knopp, M.M.; Tajber, L.; Tian, Y.; Olesen, N.E.; Jones, D.S.; Kozyra, A.; Lobmann, K.; Paluch, K.; Brennan, C.M.; Holm, R.; et al. Comparative Study of Different Methods for the Prediction of Drug-Polymer Solubility. Mol. Pharm. 2015, 12, 3408–3419. [Google Scholar] [CrossRef] [PubMed]
- Rowe, R.C. Handbook of Pharmaceutical Excipients, 7th ed.; Pharmaceutical Press: London, UK, 2013; Volume 18, p. 544. [Google Scholar] [CrossRef]
- McPherson, S.; Perrier, J.; Dunn, C.; Khadra, I.; Davidson, S.; Ainousah, B.E.; Wilson, C.G.; Halbert, G. Small scale design of experiment investigation of equilibrium solubility in simulated fasted and fed intestinal fluid. Eur. J. Pharm. Biopharm. 2020, 150, 14–23. [Google Scholar] [CrossRef] [PubMed]
- Yadav, P.S.; Kumar, V.; Singh, U.P.; Bhat, H.R.; Mazumder, B. Physicochemical characterization and in vitro dissolution studies of solid dispersions of ketoprofen with PVP K30 and d-mannitol. Saudi Pharm. J. 2013, 21, 77–84. [Google Scholar] [CrossRef] [PubMed]
- Elliott, M.A.; Ford, S.J.; Walker, A.A.; Hargreaves, R.H.J.; Halbert, G.W. Development of a lyophilised RH1 formulation: A novel DT diaphorase activated alkylating agent. J. Pharm. Pharmacol. 2002, 54, 487–492. [Google Scholar] [CrossRef] [PubMed]
- Yalkowsky, S.H.; Rubino, J.T. Solubilization by Cosolvents. 1. Organic Solutes in Propylene-Glycol Water Mixtures. J. Pharm. Sci. 1985, 74, 416–421. [Google Scholar] [CrossRef] [PubMed]
- Kleberg, K.; Jacobsen, J.; Mullertz, A. Characterising the behaviour of poorly water soluble drugs in the intestine: Application of biorelevant media for solubility, dissolution and transport studies. J. Pharm. Pharmacol. 2010, 62, 1656–1668. [Google Scholar] [CrossRef] [PubMed]
- Bevernage, J.; Forier, T.; Brouwers, J.; Tack, J.; Annaert, P.; Augustijns, P. Excipient-mediated supersaturation stabilization in human intestinal fluids. Mol. Pharm. 2011, 8, 564–570. [Google Scholar] [CrossRef] [PubMed]
- Pigliacelli, C.; Belton, P.; Wilde, P.; Qi, S. Probing the molecular interactions between pharmaceutical polymeric carriers and bile salts in simulated gastrointestinal fluids using NMR spectroscopy. J. Colloid Interface Sci. 2019, 551, 147–154. [Google Scholar] [CrossRef] [PubMed]
- Li, C.L.; Martini, L.G.; Ford, J.L.; Roberts, M. The use of hypromellose in oral drug delivery. J. Pharm. Pharmacol. 2005, 57, 533–546. [Google Scholar] [CrossRef] [PubMed]
- Wang, Q.Z.; Chen, X.G.; Liu, N.; Wang, S.X.; Liu, C.S.; Meng, X.H.; Liu, C.G. Protonation constants of chitosan with different molecular weight and degree of deacetylation. Carbohydr. Polym. 2006, 65, 194–201. [Google Scholar] [CrossRef]
- Kubbinga, M.; Augustijns, P.; Garcia, M.A.; Heinen, C.; Wortelboer, H.M.; Verwei, M.; Langguth, P. The effect of chitosan on the bioaccessibility and intestinal permeability of acyclovir. Eur. J. Pharm. Biopharm. 2019, 136, 147–155. [Google Scholar] [CrossRef] [PubMed]
- Nadai, M.; Tajiri, C.; Yoshizumi, H.; Suzuki, Y.; Zhao, Y.L.; Kimura, M.; Tsunekawa, Y.; Hasegawa, T. Effect of chitosan on gastrointestinal absorption of water-insoluble drugs following oral administration in rats. Biol. Pharm. Bull. 2006, 29, 1941–1946. [Google Scholar] [CrossRef] [PubMed][Green Version]
- Dahlgren, D.; Cano-Cebrian, M.J.; Olander, T.; Hedeland, M.; Sjoblom, M.; Lennernas, H. Regional Intestinal Drug Permeability and Effects of Permeation Enhancers in Rat. Pharmaceutics 2020, 12, 242. [Google Scholar] [CrossRef] [PubMed]
- Riethorst, D.; Mols, R.; Duchateau, G.; Tack, J.; Brouwers, J.; Augustijns, P. Characterization of Human Duodenal Fluids in Fasted and Fed State Conditions. J. Pharm. Sci. 2016, 105, 673–681. [Google Scholar] [CrossRef] [PubMed]
| Component | MWt (g/mol) | Substance | Fasted State | Fed State | ||
|---|---|---|---|---|---|---|
| Lower | Upper | Lower | Upper | |||
| Bile salt | 515.70 | Sodium taurocholate | 1.5 mM | 5.9 mM | 3.6 mM | 15 mM |
| Lecithin | 750.00 | Phosphatidylcholine | 0.2 mM | 0.75 mM | 0.5 mM | 3.75 mM |
| Fatty acid | 304.44 | Sodium oleate | 0.5 mM | 15 mM | 0.8 mM | 25 mM |
| Mono-glyceride | 358.57 | Glyceryl monooleate | 0.1 mM | 2.8 mM | 1 mM | 9 mM |
| Cholesterol | 386.65 | Cholesterol | 0.1 mM | 0.26 mM | 0.13 mM | 1 mM |
| pH | Sodium hydroxide/hydrochloric acid qs | 5 | 7 | 5 | 7 | |
| BS:PL ratio | 7.5 | 7.9 | 7.2 | 4 | ||
| Excipient/Concentration | ||||||||||||
|---|---|---|---|---|---|---|---|---|---|---|---|---|
| Mannitol | PVP LG | PVP K29/32 | HPMC E3 | HPMC E50 | Chitosan | |||||||
| Media | Low | High | Low | High | Low | High | Low | High | Low | High | Low | High |
| Factor | Fasted | |||||||||||
| pH | −S | −S | −S | −S | −S | −S | −S | NS | NS | NS | NS | NS |
| Na Oleate | +S | +S | +S | +S | +S | +S | +S | +S | +S | +S | +S | NS |
| Bile Salt | NS | NS | NS | NS | NS | NS | NS | +S | NS | NS | NS | NS |
| Lecithin | NS | NS | NS | NS | NS | NS | NS | NS | NS | NS | NS | +S |
| MG | NS | NS | NS | NS | NS | NS | NS | NS | NS | NS | NS | NS |
| Cholesterol | NS | NS | NS | NS | NS | NS | NS | NS | NS | NS | NS | NS |
| BS/PL ratio | NS | NS | NS | NS | NS | NS | NS | NS | NS | NS | NS | NS |
| Fed | ||||||||||||
| pH | NS | NS | NS | NS | NS | NS | NS | NS | NS | NS | NS | −S |
| Na Oleate | NS | NS | NS | NS | NS | NS | NS | NS | NS | NS | NS | NS |
| Bile Salt | NS | NS | NS | NS | NS | NS | NS | NS | NS | NS | NS | NS |
| Lecithin | NS | NS | NS | NS | NS | NS | NS | +S | NS | NS | NS | +S |
| MG | NS | NS | NS | NS | NS | NS | NS | NS | NS | NS | NS | NS |
| Cholesterol | NS | NS | NS | NS | NS | NS | NS | NS | NS | NS | NS | NS |
| BS/PL ratio | NS | NS | NS | NS | NS | NS | NS | NS | NS | NS | NS | NS |
Disclaimer/Publisher’s Note: The statements, opinions and data contained in all publications are solely those of the individual author(s) and contributor(s) and not of MDPI and/or the editor(s). MDPI and/or the editor(s) disclaim responsibility for any injury to people or property resulting from any ideas, methods, instructions or products referred to in the content. |
© 2023 by the authors. Licensee MDPI, Basel, Switzerland. This article is an open access article distributed under the terms and conditions of the Creative Commons Attribution (CC BY) license (https://creativecommons.org/licenses/by/4.0/).
Share and Cite
Ainousah, B.E.; Khadra, I.; Halbert, G.W. Excipient Impact on Fenofibrate Equilibrium Solubility in Fasted and Fed Simulated Intestinal Fluids Assessed Using a Design of Experiment Protocol. Pharmaceutics 2023, 15, 2484. https://doi.org/10.3390/pharmaceutics15102484
Ainousah BE, Khadra I, Halbert GW. Excipient Impact on Fenofibrate Equilibrium Solubility in Fasted and Fed Simulated Intestinal Fluids Assessed Using a Design of Experiment Protocol. Pharmaceutics. 2023; 15(10):2484. https://doi.org/10.3390/pharmaceutics15102484
Chicago/Turabian StyleAinousah, Bayan E., Ibrahim Khadra, and Gavin W. Halbert. 2023. "Excipient Impact on Fenofibrate Equilibrium Solubility in Fasted and Fed Simulated Intestinal Fluids Assessed Using a Design of Experiment Protocol" Pharmaceutics 15, no. 10: 2484. https://doi.org/10.3390/pharmaceutics15102484
APA StyleAinousah, B. E., Khadra, I., & Halbert, G. W. (2023). Excipient Impact on Fenofibrate Equilibrium Solubility in Fasted and Fed Simulated Intestinal Fluids Assessed Using a Design of Experiment Protocol. Pharmaceutics, 15(10), 2484. https://doi.org/10.3390/pharmaceutics15102484

