The Combination of Predictive Factors of Pharmacokinetic Origin Associates with Enhanced Disease Control during Treatment of Pediatric Crohn’s Disease with Infliximab
Abstract
:1. Introduction
2. Materials and Methods
2.1. Patients
2.2. Clinical PK Testing
2.3. Outcome Variables
2.4. Statistical Analysis
3. Results
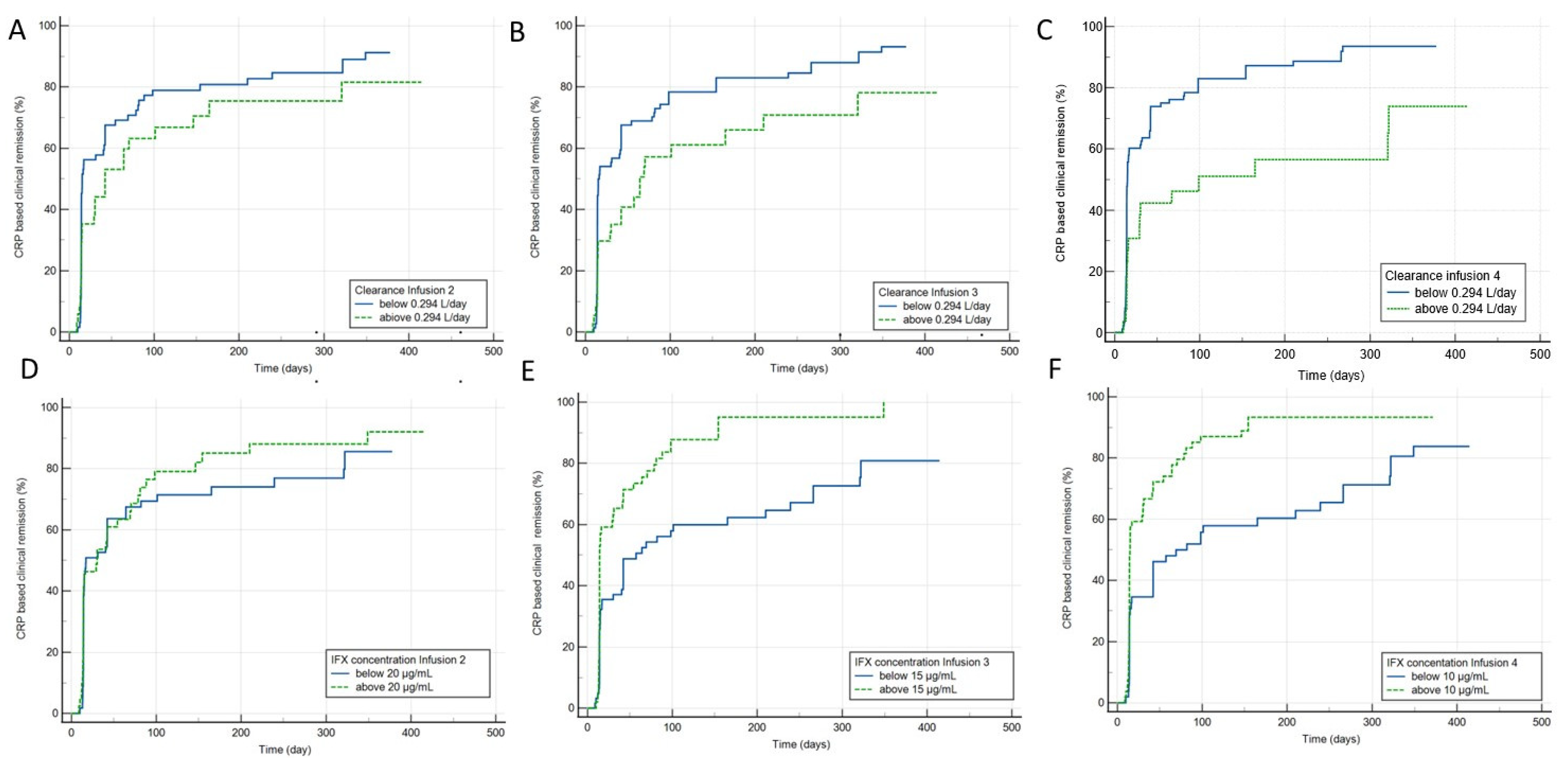
3.1. Baseline Clearance and Disease Control Achieved during Induction Period
3.2. Pharmacokinetic Parameter(s) during Induction Impact Outcomes during Maintenance
3.3. Pharmacokinetic Parameter(s) during Maintenance Impacts Outcomes
4. Discussion
Supplementary Materials
Author Contributions
Funding
Institutional Review Board Statement
Informed Consent Statement
Data Availability Statement
Acknowledgments
Conflicts of Interest
References
- Cheifetz, A.S.; Abreu, M.T.; Afif, W.; Cross, R.K.; Dubinsky, M.C.; Loftus, E.V., Jr.; Osterman, M.T.; Saroufim, A.; Siegel, C.A.; Yarur, A.J.; et al. A Comprehensive Literature Review and Expert Consensus Statement on Therapeutic Drug Monitoring of Biologics in Inflammatory Bowel Disease. Am. J. Gastroenterol. 2021, 116, 2014–2025. [Google Scholar] [CrossRef] [PubMed]
- Vande Casteele, N.; Herfarth, H.; Katz, J.; Falck-Ytter, Y.; Singh, S. American Gastroenterological Association Institute Technical Review on the Role of Therapeutic Drug Monitoring in the Management of Inflammatory Bowel Diseases. Gastroenterology 2017, 153, 835–857. [Google Scholar] [CrossRef] [PubMed]
- Strik, A.S.; Löwenberg, M.; Mould, D.R.; Berends, S.E.; Ponsioen, C.I.; van den Brande, J.M.H.; Jansen, J.M.; Hoekman, D.R.; Brandse, J.F.; Duijvestein, M.; et al. Efficacy of dashboard driven dosing of infliximab in inflammatory bowel disease patients; a randomized controlled trial. Scand. J. Gastroenterol. 2021, 56, 145–154. [Google Scholar] [CrossRef] [PubMed]
- Baert, F.; Noman, M.; Vermeire, S.; Van Assche, G.; D’ Haens, G.; Carbonez, A.; Rutgeerts, P. Influence of immunogenicity on the long-term efficacy of infliximab in Crohn’s disease. N. Engl. J. Med. 2003, 348, 601–608. [Google Scholar] [CrossRef] [PubMed]
- Irving, P.M.; Gecse, K.B. Optimizing Therapies Using Therapeutic Drug Monitoring: Current Strategies and Future Perspectives. Gastroenterology 2022, 162, 1512–1524. [Google Scholar] [CrossRef] [PubMed]
- Yarur, A.J.; Jain, A.; Sussman, D.A.; Barkin, J.S.; Quintero, M.A.; Princen, F.; Kirkland, R.; Deshpande, A.R.; Singh, S.; Abreu, M.T. The association of tissue anti-TNF drug levels with serological and endoscopic disease activity in inflammatory bowel disease: The ATLAS study. Gut 2016, 65, 249–255. [Google Scholar] [CrossRef]
- Krieckaert, C.L.; van Tubergen, A.; Gehin, J.E.; Hernández-Breijo, B.; Le Mélédo, G.; Balsa, A.; Böhm, P.; Cucnik, S.; Elkayam, O.; Goll, G.L.; et al. EULAR points to consider for therapeutic drug monitoring of biopharmaceuticals in inflammatory rheumatic and musculoskeletal diseases. Ann. Rheum. Dis. 2023, 82, 65–73. [Google Scholar] [CrossRef] [PubMed]
- Vande Casteele, N.; Jeyarajah, J.; Jairath, V.; Feagan, B.G.; Sandborn, W.J. Infliximab Exposure-Response Relationship and Thresholds Associated with Endoscopic Healing in Patients with Ulcerative Colitis. Clin. Gastroenterol. Hepatol. 2019, 17, 1814–1821. [Google Scholar] [CrossRef]
- Battat, R.; Hemperly, A.; Truong, S.; Whitmire, N.; Boland, B.S.; Dulai, P.S.; Holmer, A.K.; Nguyen, N.H.; Singh, S.; Vande Casteele, N.; et al. Baseline Clearance of Infliximab Is Associated with Requirement for Colectomy in Patients with Acute Severe Ulcerative Colitis. Clin. Gastroenterol. Hepatol. 2021, 19, 511–518. [Google Scholar] [CrossRef]
- Kevans, D.; Murthy, S.; Mould, D.R.; Silverberg, M.S. Accelerated Clearance of Infliximab is Associated with Treatment Failure in Patients With Corticosteroid-Refractory Acute Ulcerative Colitis. J. Crohns. Colitis 2018, 12, 662–669. [Google Scholar] [CrossRef]
- Kantasiripitak, W.; Wang, Z.; Spriet, I.; Ferrante, M.; Dreesen, E. Recent advances in clearance monitoring of monoclonal antibodies in patients with inflammatory bowel diseases. Expert. Rev. Clin. Pharmacol. 2021, 14, 1455–1466. [Google Scholar] [CrossRef] [PubMed]
- Funk, R.S.; Shakhnovich, V.; Cho, Y.K.; Polireddy, K.; Jausurawong, T.; Gress, K.; Becker, M.L. Factors associated with reduced infliximab exposure in the treatment of pediatric autoimmune disorders: A cross-sectional prospective convenience sampling study. Pediatr. Rheumatol. Online J. 2021, 19, 62. [Google Scholar] [CrossRef] [PubMed]
- Kennedy, N.A.; Heap, G.A.; Green, H.D.; Hamilton, B.; Bewshea, C.; Walker, G.J.; Thomas, A.; Nice, R.; Perry, M.H.; Bouri, S.; et al. Predictors of anti-TNF treatment failure in anti-TNF-naive patients with active luminal Crohn’s disease: A prospective, multicentre, cohort study. Lancet. Gastroenterol. Hepatol. 2019, 4, 341–353. [Google Scholar] [CrossRef] [PubMed]
- Dubinsky, M.C.; Mendiolaza, M.L.; Phan, B.L.; Moran, H.R.; Tse, S.S.; Mould, D.R. Dashboard-Driven Accelerated Infliximab Induction Dosing Increases Infliximab Durability and Reduces Immunogenicity. Inflamm. Bowel Dis. 2022, 28, 1375–1385. [Google Scholar] [CrossRef] [PubMed]
- Syversen, S.W.; Goll, G.L.; Jørgensen, K.K.; Olsen, I.C.; Sandanger, Ø.; Gehin, J.E.; Warren, D.J.; Sexton, J.; Mørk, C.; Jahnsen, J.; et al. Therapeutic drug monitoring of infliximab compared to standard clinical treatment with infliximab: Study protocol for a randomised, controlled, open, parallel-group, phase IV study (the NOR-DRUM study). Trials 2020, 21, 13. [Google Scholar] [CrossRef]
- Sánchez-Hernández, J.G.; Rebollo, N.; Martin-Suarez, A.; Calvo, M.V.; Muñoz, F. A 3-year prospective study of a multidisciplinary early proactive therapeutic drug monitoring programme of infliximab treatments in inflammatory bowel disease. Br. J. Clin. Pharmacol. 2020, 86, 1165–1175. [Google Scholar] [CrossRef] [PubMed]
- D’Haens, G.; Vermeire, S.; Lambrecht, G.; Baert, F.; Bossuyt, P.; Pariente, B.; Buisson, A.; Bouhnik, Y.; Filippi, J.; Vander Woude, J.; et al. Increasing Infliximab Dose Based on Symptoms, Biomarkers, and Serum Drug Concentrations Does Not Increase Clinical, Endoscopic, and Corticosteroid-Free Remission in Patients with Active Luminal Crohn’s Disease. Gastroenterology 2018, 154, 1343–1351. [Google Scholar] [CrossRef]
- Syversen, S.W.; Bolstad, N.; Haavardsholm, E.A. Therapeutic Drug Monitoring vs Standard Therapy during Infliximab Induction in Patients with Chronic Immune-Mediated Inflammatory Diseases-Reply. JAMA 2021, 326, 1069–1070. [Google Scholar] [CrossRef]
- Vande Casteele, N.; Ferrante, M.; Van Assche, G.; Ballet, V.; Compernolle, G.; Van Steen, K.; Simoens, S.; Rutgeerts, P.; Gils, A.; Vermeire, S. Trough concentrations of infliximab guide dosing for patients with inflammatory bowel disease. Gastroenterology 2015, 148, 1320–1329. [Google Scholar] [CrossRef]
- Pradeu, T.; Jaeger, S.; Vivier, E. The speed of change: Towards a discontinuity theory of immunity? Nat. Rev. Immunol. 2013, 13, 764–769. [Google Scholar] [CrossRef]
- Sazonovs, A.; Kennedy, N.A.; Moutsianas, L.; Heap, G.A.; Rice, D.L.; Reppell, M.; Bewshea, C.M.; Chanchlani, N.; Walker, G.J.; Perry, M.H.; et al. HLA-DQA1*05 Carriage Associated with Development of Anti-Drug Antibodies to Infliximab and Adalimumab in Patients with Crohn’s Disease. Gastroenterology 2020, 158, 189–199. [Google Scholar] [CrossRef] [PubMed]
- Spencer, E.A.; Stachelski, J.; Dervieux, T.; Dubinsky, M.C. Failure to Achieve Target Drug Concentrations during Induction and Not HLA-DQA1∗05 Carriage Is Associated with Antidrug Antibody Formation in Patients with Inflammatory Bowel Disease. Gastroenterology 2022, 162, 1746–1748. [Google Scholar] [CrossRef] [PubMed]
- Wang, S.L.; Ohrmund, L.; Hauenstein, S.; Salbato, J.; Reddy, R.; Monk, P.; Lockton, S.; Ling, N.; Singh, S. Development and validation of a homogeneous mobility shift assay for the measurement of infliximab and antibodies-to-infliximab levels in patient serum. J. Immunol. Methods 2012, 382, 177–188. [Google Scholar] [CrossRef] [PubMed]
- Primas, C.; Reinisch, W.; Panetta, J.C.; Eser, A.; Mould, D.R.; Dervieux, T. Model Informed Precision Dosing Tool Forecasts Trough Infliximab and Associates with Disease Status and Tumor Necrosis Factor-Alpha Levels of Inflammatory Bowel Diseases. J. Clin. Med. 2022, 11, 3316. [Google Scholar] [CrossRef] [PubMed]
- Whaley, K.G.; Xiong, Y.; Karns, R.; Hyams, J.S.; Kugathasan, S.; Boyle, B.M.; Walters, T.D.; Kelsen, J.; LeLeiko, N.; Shapiro, J.; et al. Multicenter Cohort Study of Infliximab Pharmacokinetics and Therapy Response in Pediatric Acute Severe Ulcerative Colitis. Clin. Gastroenterol. Hepatol. 2023, 21, 1338–1347. [Google Scholar] [CrossRef] [PubMed]
- Colman, R.J.; Xiong, Y.; Mizuno, T.; Hyams, J.S.; Noe, J.D.; Boyle, B.; D’Haens, G.R.; van Limbergen, J.; Chun, K.; Yang, J.; et al. Antibodies-to-infliximab accelerate clearance while dose intensification reverses immunogenicity and recaptures clinical response in paediatric Crohn’s disease. Aliment. Pharmacol. Ther. 2022, 55, 593–603. [Google Scholar] [CrossRef] [PubMed]
- Petitcollin, A.; Brochard, C.; Siproudhis, L.; Tron, C.; Verdier, M.C.; Lemaitre, F.; Lucidarme, C.; Bouguen, G.; Bellissant, É. Pharmacokinetic Parameters of Infliximab Influence the Rate of Relapse after De-Escalation in Adults with Inflammatory Bowel Diseases. Clin. Pharmacol. Ther. 2019, 106, 605–615. [Google Scholar] [CrossRef]
- Assa, A.; Matar, M.; Turner, D.; Broide, E.; Weiss, B.; Ledder, O.; Guz-Mark, A.; Rinawi, F.; Cohen, S.; Topf-Olivestone, C.; et al. Proactive Monitoring of Adalimumab Trough Concentration Associated with Increased Clinical Remission in Children with Crohn’s Disease Compared with Reactive Monitoring. Gastroenterology 2019, 157, 985–996. [Google Scholar] [CrossRef]
- Negoescu, D.M.; Enns, E.A.; Swanhorst, B.; Baumgartner, B.; Campbell, J.P.; Osterman, M.T.; Papamichael, K.; Cheifetz, A.S.; Vaughn, B.P. Proactive Vs Reactive Therapeutic Drug Monitoring of Infliximab in Crohn’s Disease: A Cost-Effectiveness Analysis in a Simulated Cohort. Inflamm. Bowel Dis. 2020, 26, 103–111. [Google Scholar] [CrossRef]
- Papamichael, K.; Jairath, V.; Zou, G.; Cohen, B.; Ritter, T.; Sands, B.; Siegel, C.; Valentine, J.; Smith, M.; Vande Casteele, N.; et al. Proactive infliximab optimisation using a pharmacokinetic dashboard versus standard of care in patients with Crohn’s disease: Study protocol for a randomised, controlled, multicentre, open-label study (the OPTIMIZE trial). BMJ Open 2022, 12, e057656. [Google Scholar] [CrossRef]
- Papamichael, K.; Vajravelu, R.K.; Vaughn, B.P.; Osterman, M.T.; Cheifetz, A.S. Proactive Infliximab Monitoring Following Reactive Testing is Associated with Better Clinical Outcomes than Reactive Testing alone in Patients with Inflammatory Bowel Disease. J. Crohns. Colitis 2018, 12, 804–810. [Google Scholar] [CrossRef]
- Fernandes, S.R.; Bernardo, S.; Simões, C.; Gonçalves, A.R.; Valente, A.; Baldaia, C.; Moura Santos, P.; Correia, L.A.; Tato Marinho, R. Proactive Infliximab Drug Monitoring Is Superior to Conventional Management in Inflammatory Bowel Disease. Inflamm. Bowel Dis. 2020, 26, 263–270. [Google Scholar] [CrossRef]
- Dubinsky, M.C.; Phan, B.L.; Singh, N.; Rabizadeh, S.; Mould, D.R. Pharmacokinetic Dashboard-Recommended Dosing Is Different than Standard of Care Dosing in Infliximab-Treated Pediatric IBD Patients. AAPS J. 2017, 19, 215–222. [Google Scholar] [CrossRef]




| Standard Dosing | Proactive Dosing | Overall | |
|---|---|---|---|
| Pre-infusion 1 (patient number) | 37 | 108 | 145 |
| Gender (female) | 45.9% (17/37) | 44.4% (48/108) | 44.8% (65/145) |
| Age (years) | 13.0 [10.0–14.0] | 13.5 [11.2–15.2] | 13.3 [11.0–15.1] |
| Immunosuppressants | 21.6% (8/37) | 7.4% (8/108) | 11.0% (16/145) |
| Dose (mg/kg) | 5.0 [5.0–5.0] | 5.0 [5.0–10.0] | 5.0 [5.0–5.2] |
| Weight (kg) | 39.1 [29.5–52.9] | 41.5 [30.3–53.0] | 41.5 [29.9–52.9] |
| Clearance baseline (L/day) | 0.234 [0.179–0.260] | 0.271 [0.227–0.327] | 0.257 [0.213–0.310] |
| Albumin (g/dL) | 4.0 [3.5–4.3] | 3.2 [2.8–3.7] | 3.4 [2.9–3.9] |
| CRP-based clinical remission | 8.1% (3/37) | 14.8% (16/108) | 13.1% (19/145) |
| Pre-infusion 2 (patient number) | 36 | 105 | 141 |
| Time (days) | 14.0 [14.0–14.0] | 14.0 [13.1–14.2] | 14.0 [13.3–14.0] |
| Dose (mg/kg) | 5.0 [5.0–5.0] | 5.1 [5.0–9.9] | 5.0 [5.0–6.0] |
| Weight (kg) | 40.1 [30.7–52.9] | 41.3 [31.3–54.0] | 40.8 [31.0–54.0] |
| Albumin (g/dL) | 3.9 [3.7–4.2] | 3.6 [3.3–3.9] | 3.7 [3.4–4.0] |
| Clearance (L/day) | 0.208 [0.194–0.249] | 0.243 [0.200–0.308] | 0.234 [0.196–0.302] |
| IFX (µg/mL) | 16.2 [10.4–27.5] | 22.0 [15.4–32.1] | 20.8 [14.6–30.4] |
| ATI positive status | 5.4% (2/37) | 0.0% (0/108) | 1.4% (2/145) |
| CRP-based clinical remission | 33.3% (12/36) | 70.5% (74/105) | 61.0% (86/141) |
| Pre-Infusion 3 (patient number) | 35 | 106 | 141 |
| Time (days) | 42.0 [42.0–42.0] | 38.0 [32.3–42.0] | 42.0 [34.9–42.0] |
| Dose (g/kg) | 5.0 [5.0–5.0] | 5.1 [5.0–10.0] | 5.0 [5.0–9.9] |
| Weight (kg) | 41.1 [30.9–54.4] | 42.6 [32.8–54.8] | 42.4 [32.7–54.9] |
| Albumin (g/dL) | 4.1 [3.8–4.4] | 3.9 [3.7–4.1] | 3.9 [3.7–4.2] |
| Clearance (L/day) | 0.213 [0.170–0.405] | 0.212 [0.174–0.300] | 0.212 [0.174–0.324] |
| IFX (µg/mL) | 7.4 [1.3–21.3] | 15.5 [10.8–24.2] | 14.9 [7.9–23.0] |
| ATI positive status | 8.3% (3/36) | 6.7% (7/105) | 7.1% (10/141) |
| CRP-based clinical remission | 40.0% (14/35) | 69.8% (74/106) | 62.4% (88/141) |
| Pre-Infusion 4 (patient number) | 32 | 104 | 136 |
| Time (days) | 98.0 [98.0–98.0] | 74.2 [63.0–90.9] | 83.4 [66.1–98.0] |
| Dose (mg/kg) | 5.0 [5.0–5.0] | 10.0 [6.9–10.0] | 9.9 [5.0–10.0] |
| Weight (kg) | 42.2 [32.0–54.8] | 44.9 [34.0–56.2] | 43.9 [33.5–55.9] |
| Albumin (g/dL) | 4.0 [3.7–4.2] | 4.0 [3.8–4.2] | 4.0 [3.7–4.2] |
| Clearance (L/day) | 0.215 [0.149–0.262] | 0.188 [0.155–0.269] | 0.190 [0.153–0.267] |
| IFX (µg/mL) | 4.5 [1.3–9.2] | 12.2 [7.8–17.7] | 10.4 [5.7–15.0] |
| ATI positive status | 28.6% (10/35) | 0.9% (1/106) | 7.8% (11/141) |
| CRP-based clinical remission | 43.8% (14/32) | 74.0% (77/104) | 66.9% (91/136) |
| Maintenance (patient number) | 32 | 103 | 135 |
| Number of cycles | 120 | 299 | 419 |
| Dose (mg/kg) | 5.0 [5.0–5.0] | 10.0 [9.9–10.0] | 9.9 [5.0–10.0] |
| Weight (kg) | 43.4 (34.1–56.5) | 46.0 (34.8–59.5) | 45.5 (34.7–58.6) |
| Albumin (g/dL) | 3.9 (3.7–4.2) | 4.0 (3.9–4.2) | 4.0 (3.8–4.2) |
| Clearance (L/day) | 0.185 (0.134–0.244) | 0.200 (0.160–0.262) | 0.192 (0.154–0.253) |
| IFX (µg/mL) | 4.4 (1.1–6.8) | 12.4 (8.3–17.9) | 10.0 (5.2–15.9) |
| ATI positive status | 26.7% (32/120) | 4.7% (14/299) | 11.0% (46/419) |
| CRP-based clinical remission | 60% (72/120) | 76.9% (230/299) | 72.0% (302/419) |
| Sustained CRP-based clinical remission | 31% (10/32) | 58% (60/103) | 52% (70/135) |
| Parameter * | Second Infusion Estimates | Third Infusion Estimates | Fourth Infusion Estimates | |
|---|---|---|---|---|
| Time only (days) | θpop | 0.75 ± 0.45 (p = 0.096) | 0.68 ± 0.43 (p = 0.114) | 0.35 ± 0.47 (p = 0.456) |
| θtime | 0.004 ± 0.001 (p < 0.001) | 0.004 ± 0.002 (p = 0.003) | 0.006 ± 0.002 (p = 0.003) | |
| −2LL | 360.7 | 413.7 | 412.5 | |
| Time (days) and IFX Concentrations (µg/mL) | θpop | 0.185 ± 0.667 (p = 0.782) | −1.33 ± 0.56 (p = 0.0018) | −1.02 ± 0.56 (p = 0.069) |
| θconcentration | 0.045 ± 0.021 (p = 0.032) | 0.114 ± 0.027 (p < 0.001) | 0.136 ± 0.032 (p < 0.001) | |
| θtime | 0.004 ± 0.001 (p < 0.001) | 0.004 ± 0.001 (p < 0.001) | 0.005 ± 0.001 (p < 0.001) | |
| −2LL | 355.3 (∆ = −5.4; p = 0.020) | 389.7 (∆ = −24.0; p < 0.001) | 398.3 (∆ = −14.2; p < 0.001) | |
| Time (days) and Clearance (L/day) | θpop | +2.5 ± 0.96 (p = 0.009) | +2.77 ± 0.80 (p = 0.001) | +3.11 ± 0.83 (p < 0.001) |
| θCL | −7.43 ± 2.88 (p = 0.001) | −8.35 ± 2.31 (p < 0.001) | −11.90 ± 2.79 (p < 0.001) | |
| θtime | +0.005 ± 0.002 (p = 0.012) | +0.004 ± 0.002 (p = 0.012) | +0.005 ± 0.002 (p < 0.001) | |
| −2LL | 354.4 (∆ = −6.3; p = 0.012) | 399.7 (∆ = −14.0; p < 0.001) | 391.7 (∆ = −20.8; p < 0.001) | |
| Time (days), IFX concentration (µg/mL) and Clearance (L/day) | θpop | −1.48 ± 1.04 (p = 0.155) | −0.07 ± 1.08 (p = 0.94) | +1.49 ± 0.93 (p = 0.109) |
| θconcentration | +0.038 ± 0.021 (p = 0.074) | +0.092 ± 0.030 (p = 0.002) | +0.087 ± 0.029 (p = 0.003) | |
| θCL | −6.33 ± 2.74 (p = 0.003) | −3.37 ± 2.34 (p = 0.015) | −9.14 ± 2.67 (p = 0.015) | |
| θtime | 0.046 ± 0.009 (p = 0.021) | +0.004 ± 0.002 (p = 0.012) | +0.004 ± 0.002 (p = 0.001) | |
| −2LL | 349.7 (∆ = −11.0; p = 0.001) | 387.4 (∆ = −26.3; p < 0.001) | 385.5 (∆ = −27.0; p < 0.001) |
| Predictive Factor, Clearance | Predictive Factor, IFX Concentrations | |||
|---|---|---|---|---|
| Pre-Infusion | L/day | Below Cutoff a | µg/mL | Above Cutoff b |
| Infusion 2 | ||||
| Not sustained | 0.259 [0.205–0.317] | 65% (35/55) | 17.0 [12.6–23.1] | 33% (18/55) |
| Sustained | 0.221 [0.194–0.266] | 77% (50/65) | 26.1 [17.0–34.9] | 61% (40/65) |
| p Value | p = 0.025 | p = 0.110 | p < 0.001 | p = 0.001 |
| Infusion 3 | ||||
| Not sustained | 0.241 [0.188–0.399] | 66.1% (41/63) | 12.1 [5.0–18.6] | 36% (23/63) |
| Sustained | 0.187 [0.154–0.239] | 85.0% (56/67) | 20.7 [12.7–31.1] | 67% (45/67) |
| p Value | p < 0.001 | p = 0.154 | p < 0.001 | p < 0.001 |
| Infusion 4 | ||||
| Not sustained | 0.247 [0.167–0.313] | 62.5% (40/64) | 7.8 [2.2–11.9] | 39% (25/64) |
| Sustained | 0.175 [0.132–0.214] | 97.1% (65/67) | 13.0 [8.7–18.8] | 67% (45/67) |
| p Value | p < 0.001 | p < 0.001 | p < 0.001 | p < 0.001 |
| Parameter * | Estimates | |
|---|---|---|
| Time only (days) | θpop | +0.65 ± 0.46 (p = 0.158) |
| θtime | +0.0047 ± 0.0014 (p < 0.001) | |
| −2LL | 424.8 | |
| Time (days) and IFX Concentrations (µg/mL) | θpop | −0.84 ± 0.63 (p = 0.312) |
| θtime | +0.0055 ± 0.0018 (p < 0.001) | |
| θconcentration | +0.120 ± 0.027 (p < 0.001) | |
| −2LL | 400.0 (∆ = −24.8; p < 0.001) | |
| Time (days) and Clearance (L/day) | θpop | +4.05 ± 0.57 (p < 0.001) |
| θtime | +0.0055 ± 0.0017 (p < 0.001) | |
| θCL | −16.71 ± 2.28 (p < 0.001) | |
| −2LL | 380.8 (∆ = −44.0; p < 0.001) | |
| Time (days), IFX concentration (µg/mL) and Clearance (L/day) | θpop | +1.98 ± 0.56 (p < 0.001) |
| θtime | +0.0058 ± 0.0016 (p < 0.001) | |
| θconcentration | +0.093 ± 0.025 (p < 0.001) | |
| θCL | −12.84 ± 2.27 (p < 0.001) | |
| −2LL | 371.0 (∆ = −53.8; p < 0.001) |
Disclaimer/Publisher’s Note: The statements, opinions and data contained in all publications are solely those of the individual author(s) and contributor(s) and not of MDPI and/or the editor(s). MDPI and/or the editor(s) disclaim responsibility for any injury to people or property resulting from any ideas, methods, instructions or products referred to in the content. |
© 2023 by the authors. Licensee MDPI, Basel, Switzerland. This article is an open access article distributed under the terms and conditions of the Creative Commons Attribution (CC BY) license (https://creativecommons.org/licenses/by/4.0/).
Share and Cite
Dubinsky, M.C.; Rabizadeh, S.; Panetta, J.C.; Spencer, E.A.; Everts-van der Wind, A.; Dervieux, T. The Combination of Predictive Factors of Pharmacokinetic Origin Associates with Enhanced Disease Control during Treatment of Pediatric Crohn’s Disease with Infliximab. Pharmaceutics 2023, 15, 2408. https://doi.org/10.3390/pharmaceutics15102408
Dubinsky MC, Rabizadeh S, Panetta JC, Spencer EA, Everts-van der Wind A, Dervieux T. The Combination of Predictive Factors of Pharmacokinetic Origin Associates with Enhanced Disease Control during Treatment of Pediatric Crohn’s Disease with Infliximab. Pharmaceutics. 2023; 15(10):2408. https://doi.org/10.3390/pharmaceutics15102408
Chicago/Turabian StyleDubinsky, Marla C., Shervin Rabizadeh, John C. Panetta, Elizabeth A. Spencer, Annelie Everts-van der Wind, and Thierry Dervieux. 2023. "The Combination of Predictive Factors of Pharmacokinetic Origin Associates with Enhanced Disease Control during Treatment of Pediatric Crohn’s Disease with Infliximab" Pharmaceutics 15, no. 10: 2408. https://doi.org/10.3390/pharmaceutics15102408
APA StyleDubinsky, M. C., Rabizadeh, S., Panetta, J. C., Spencer, E. A., Everts-van der Wind, A., & Dervieux, T. (2023). The Combination of Predictive Factors of Pharmacokinetic Origin Associates with Enhanced Disease Control during Treatment of Pediatric Crohn’s Disease with Infliximab. Pharmaceutics, 15(10), 2408. https://doi.org/10.3390/pharmaceutics15102408

