Itraconazole-Loaded Ufasomes: Evaluation, Characterization, and Anti-Fungal Activity against Candida albicans
Abstract
1. Introduction
2. Materials and Methods
2.1. Materials
2.2. Preparation of the ITZ-Loaded Ufasomes
2.3. Evaluation of the Prepared ITZ-Loaded Ufasomes
2.3.1. Determination of ITZ Percentage Encapsulation Efficiency (%EE)
2.3.2. Determination of Particle Size and Polydispersity Index
2.3.3. Zeta Potential
2.4. Experimental Design
2.5. Characterization of the Selected ITZ-Loaded Ufasomes
2.5.1. Morphological Examination by Transmission Electron Microscope (TEM)
2.5.2. Differential Scanning Calorimetry (DSC)
2.5.3. X-ray Diffraction Study
2.6. In Vitro Microbiology Evaluation on the Selected Formula on Candida albicans
2.6.1. Strains Selection and Cultivation
2.6.2. Antifungal Activities Evaluation Using the Agar Well Diffusion Method
2.6.3. Evaluation of the Minimum Inhibitory Concentration (MIC) of ITZ
2.6.4. Enzyme Secretion Assay
Proteinase Enzyme Secretion Assay
Phospholipase Enzyme Secretion Assay
2.6.5. Expression of Interleukin 1β
2.6.6. Flow Cytometry Analysis of TLR-4
3. Results and Discussion
3.1. Preparation of ITZ-Loaded Ufasomes
3.2. Evaluation of ITZ-Loaded Ufasomes
3.2.1. Effect on the Tested Formulation Variables on %EE
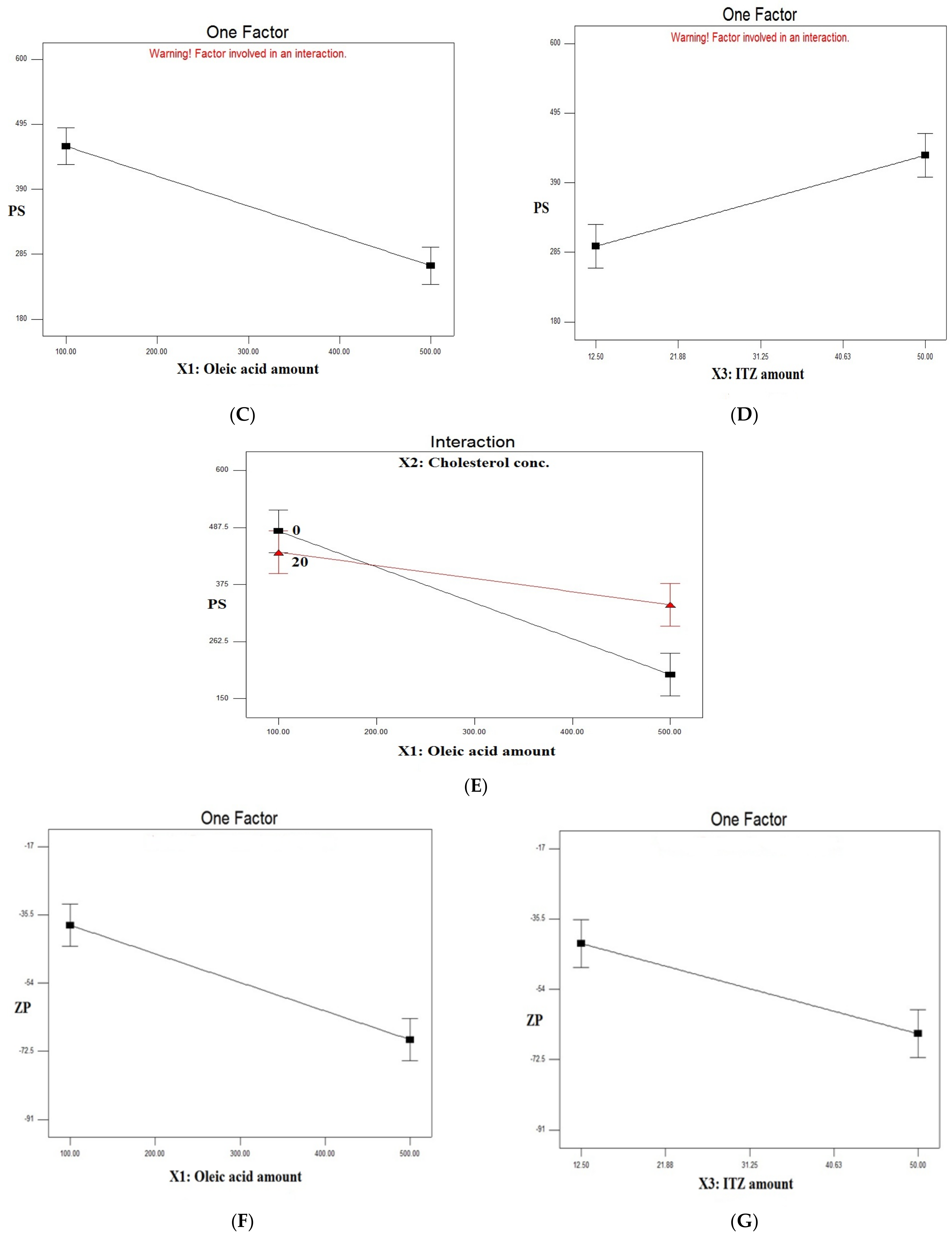
3.2.2. Effect of the Tested Formulation Variables on PS and PDI
3.2.3. Effect of the Tested Formulation Variables on ZP
3.3. Evaluation of the Best Achieved ITZ-Loaded Ufasomes
3.3.1. Morphological Examination Using TEM
3.3.2. Differential Scanning Calorimetry (DSC)
3.3.3. X-ray Diffraction Study
3.4. In Vitro Microbiology Evaluation of the Selected Formula on Candida albicans
3.4.1. Strain Selection and Cultivation
3.4.2. Antifungal Activity Evaluation Using the Agar Well Diffusion Method
3.4.3. Evaluation of the Minimum Inhibitory Concentration (MIC) of ITZ
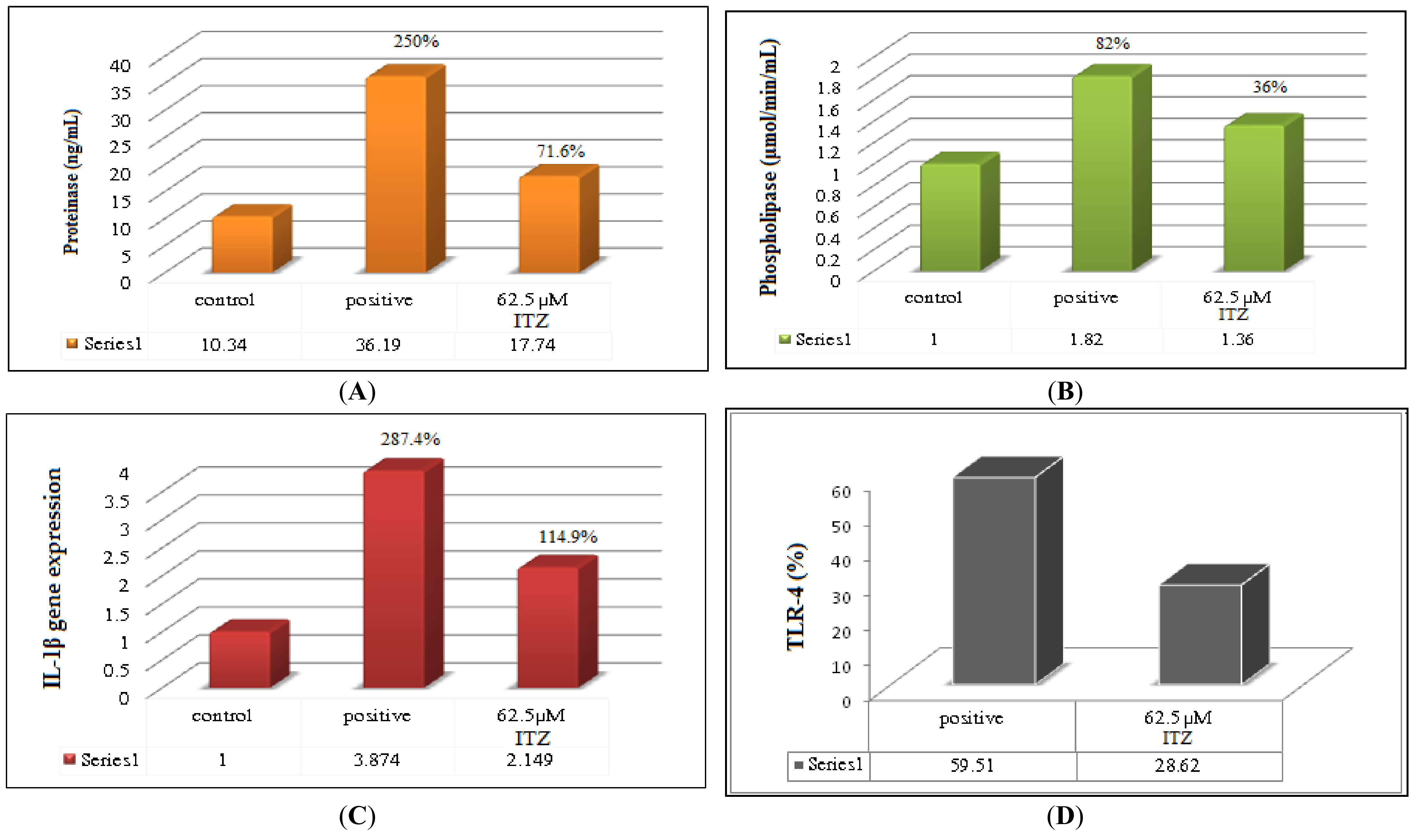
3.4.4. Enzyme Secretion Assay
Proteinases Enzyme Secretion Assay
Phospholipase Enzyme Secretion Assay
3.4.5. Expression of Interleukin 1β
3.4.6. Flow Cytometry Analysis of TLR-4
4. Conclusions
Author Contributions
Funding
Institutional Review Board Statement
Informed Consent Statement
Data Availability Statement
Conflicts of Interest
References
- Mapook, A.; Hyde, K.D.; Hassan, K.; Kemkuignou, B.; Čmoková, A.; Surup, F.; Kuhnert, E.; Paomephan, P.; Cheng, T.; de Hoog, S.; et al. Ten decadal advances in fungal biology leading towards human well-being. Fungal Divers. 2022, 116, 547–614. [Google Scholar] [CrossRef] [PubMed]
- Köhler, J.R.; Casadevall, A.; Perfect, J. The Spectrum of Fungi That Infects Humans. Cold Spring Harb. Perspect. Med. 2014, 5, a019273. [Google Scholar] [CrossRef] [PubMed]
- Kobayashi, G. Disease Mechanisms of Fungi. In Medical Microbiology, 4th ed.; Baron, S., Ed.; University of Texas Medical Branch at Galveston: Galveston, TX, USA, 1996. [Google Scholar]
- Garcia-Solache, M.A.; Casadevall, A. Global Warming Will Bring New Fungal Diseases for Mammals. mBio 2010, 1, e00061-10. [Google Scholar] [CrossRef] [PubMed]
- Calderone, R.; Fonzi, W.A. Virulence factors of Candida albicans. Trends Microbiol. 2001, 9, 327–335. [Google Scholar] [CrossRef] [PubMed]
- Hidron, A.; Edwards, J.R.; Patel, J.; Horan, T.C.; Sievert, D.M.; Pollock, D.A.; Fridkin, S.K. Antimicrobial-resistant pathogens associated with healthcare-associated infections: Annual summary of data reported to the National Healthcare Safety Network at the Centers for Disease Control and Prevention, 2006–2007. Infect. Control. Hosp. Epidemiol. 2008, 29, 996–1011. [Google Scholar] [CrossRef]
- Wisplinghoff, H.; Bischoff, T.; Tallent, S.M.; Seifert, H.; Wenzel, R.P.; Edmond, M.B. Nosocomial Bloodstream Infections in US Hospitals: Analysis of 24,179 Cases from a Prospective Nationwide Surveillance Study. Clin. Infect. Dis. 2004, 39, 309–317. [Google Scholar] [CrossRef]
- Morgan, J.; Meltzer, M.I.; Plikaytis, B.D.; Sofair, A.N.; Huie-White, S.; Wilcox, S.; Harrison, L.H.; Seaberg, E.C.; Hajjeh, R.A.; Teutsch, S.M. Excess Mortality, Hospital Stay, and Cost Due to Candidemia: A Case-Control Study Using Data From Population-Based Candidemia Surveillance. Infect. Control Hosp. Epidemiol. 2005, 26, 540–547. [Google Scholar] [CrossRef]
- Cowen, L.E.; Steinbach, W.J. Stress, Drugs, and Evolution: The Role of Cellular Signaling in Fungal Drug Resistance. Eukaryot. Cell 2008, 7, 747–764. [Google Scholar] [CrossRef]
- Martin, M.V. The use of fluconazole and itraconazole in the treatment of Candida albicans infections: A review. J. Antimicrob. Chemother. 1999, 44, 429–437. [Google Scholar] [CrossRef]
- Chen, S.; Sun, K.-Y.; Feng, X.-W.; Ran, X.; Lama, J.; Ran, Y.-P. Efficacy and safety of itraconazole use in infants. World J. Pediatr. 2016, 12, 399–407. [Google Scholar] [CrossRef]
- Lee, W.; Lee, D.G. Reactive oxygen species modulate itraconazole-induced apoptosis via mitochondrial disruption in Candida albicans. Free Radic. Res. 2018, 52, 39–50. [Google Scholar] [CrossRef]
- Pedersen, K.K.; Høyer-Hansen, M.H.; Litman, T.; Hædersdal, M.; Olesen, U.H. Topical Delivery of Hedgehog Inhibitors: Current Status and Perspectives. Int. J. Mol. Sci. 2022, 23, 14191. [Google Scholar] [CrossRef]
- EMA, European Medicine Agency. Fungitraxx: EPAR- Product Informations. Fungitraxx. 2019. Available online: https://www.ema.europa.eu/en/medicines/veterinary/EPAR/fungitraxx (accessed on 20 October 2022).
- Kesharwani, P.; Fatima, M.; Singh, V.; Sheikh, A.; Almalki, W.H.; Gajbhiye, V.; Sahebkar, A. Itraconazole and Difluorinated-Curcumin Containing Chitosan Nanoparticle Loaded Hydrogel for Amelioration of Onychomycosis. Biomimetics 2022, 7, 206. [Google Scholar] [CrossRef]
- Anjani, Q.K.; Bin Sabri, A.H.; Utomo, E.; Domínguez-Robles, J.; Donnelly, R.F. Elucidating the Impact of Surfactants on the Performance of Dissolving Microneedle Array Patches. Mol. Pharm. 2022, 19, 1191–1208. [Google Scholar] [CrossRef]
- Mehrandish, S.; Mirzaeei, S. Design of Novel Nanoemulsion Formulations for Topical Ocular Delivery of Itraconazole: Development, Characterization and in Vitro Bioassay. Adv. Pharm. Bull. 2021, 12, 93. [Google Scholar] [CrossRef]
- Li, X.; Li, D.; Liu, Z. Superiority of biomimetic micelle-entrapped nanoporous silica xerogel to deliver poorly water-soluble itraconazole. RSC Adv. 2022, 12, 28422–28432. [Google Scholar] [CrossRef]
- Kumar, M.; Tiwari, A.; Asdaq, S.M.B.; Nair, A.B.; Bhatt, S.; Shinu, P.; Al Mouslem, A.K.; Jacob, S.; Alamri, A.S.; Alsanie, W.F.; et al. Itraconazole loaded nano-structured lipid carrier for topical ocular delivery: Optimization and evaluation. Saudi J. Biol. Sci. 2021, 29, 1–10. [Google Scholar] [CrossRef]
- National Center for Biotechnology Information. PubChem Compound Summary for CID 55283, Itraconazole. 2022. Available online: https://pubchem.ncbi.nlm.nih.gov/compound/55283 (accessed on 20 October 2022).
- Patel, D.; Jani, R.; Patel, C. Ufasomes: A vesicular drug delivery. Syst. Rev. Pharm. 2011, 2, 72. [Google Scholar] [CrossRef]
- Gebicki, J.M.; Hicks, M. Ufasomes are Stable Particles surrounded by Unsaturated Fatty Acid Membranes. Nature 1973, 243, 232–234. [Google Scholar] [CrossRef]
- Mittal, R.; Sharma, A.; Arora, S. Ufasomes Mediated Cutaneous Delivery of Dexamethasone: Formulation and Evaluation of Anti-Inflammatory Activity by Carrageenin-Induced Rat Paw Edema Model. J. Pharm. 2013, 2013, 680580. [Google Scholar] [CrossRef]
- Bhattacharya, S. Preparation and characterizations of glyceryl oleate ufasomes of terbinafine hydrochloride: A novel approach to trigger Candida albicans fungal infection. Future J. Pharm. Sci. 2021, 7, 3. [Google Scholar] [CrossRef]
- Sharma, A.; Arora, S. Formulation and In Vitro Evaluation of Ufasomes for Dermal Administration of Methotrexate. ISRN Pharm. 2012, 2012, 873653. [Google Scholar] [CrossRef] [PubMed]
- Kumar, P.; Singh, S.K.; Handa, V.; Kathuria, H. Oleic Acid Nanovesicles of Minoxidil for Enhanced Follicular Delivery. Medicines 2018, 5, 103. [Google Scholar] [CrossRef] [PubMed]
- Salama, A.H.; Aburahma, M.H. Ufasomes nano-vesicles-based lyophilized platforms for intranasal delivery of cinnarizine: Preparation, optimization, ex-vivohistopathological safety assessment and mucosal confocal imaging. Pharm. Dev. Technol. 2016, 21, 706–715. [Google Scholar] [CrossRef] [PubMed]
- Luke, P.M.; Joseph, T.M. Ufasomes: Rising technology for delivery of drugs. Int. J. Pharm. Sci. Res. 2021, 11, 1. [Google Scholar] [CrossRef]
- Stetefeld, J.; McKenna, S.A.; Patel, T.R. Dynamic light scattering: A practical guide and applications in biomedical sciences. Biophys. Rev. 2016, 8, 409–427. [Google Scholar] [CrossRef]
- Al-Mahallawi, A.M.; Ahmed, D.; Hassan, M.; El-Setouhy, D.A. Enhanced ocular delivery of clotrimazole via loading into mucoadhesive microemulsion system: In vitro characterization and in vivo assessment. J. Drug Deliv. Sci. Technol. 2021, 64, 102561. [Google Scholar] [CrossRef]
- Elsherif, N.; Al-Mahallawi, A.; Abdelkhalek, A.; Shamma, R. Investigation of the Potential of Nebivolol Hydrochloride-Loaded Chitosomal Systems for Tissue Regeneration: In Vitro Characterization and In Vivo Assessment. Pharmaceutics 2021, 13, 700. [Google Scholar] [CrossRef]
- Liu, Y.; Zhang, D.; Qiao, Z.-Y.; Qi, G.-B.; Liang, X.-J.; Chen, X.-G.; Wang, H. A Peptide-Network Weaved Nanoplatform with Tumor Microenvironment Responsiveness and Deep Tissue Penetration Capability for Cancer Therapy. Adv. Mater. 2015, 27, 5034–5042. [Google Scholar] [CrossRef]
- Daoussi, R.; Vessot, S.; Andrieu, J.; Monnier, O. Sublimation kinetics and sublimation end-point times during freeze-drying of pharmaceutical active principle with organic co-solvent formulations. Chem. Eng. Res. Des. 2009, 87, 899–907. [Google Scholar] [CrossRef]
- Chauhan, A.; Chauhan, P. Powder XRD technique and its applications in science and technology. J. Anal. Bioanal. Tech. 2014, 5, 1–5. [Google Scholar] [CrossRef]
- Bolla, P.K.; Meraz, C.A.; Rodriguez, V.A.; Deaguero, I.; Singh, M.; Yellepeddi, V.K.; Renukuntla, J. Clotrimazole Loaded Ufosomes for Topical Delivery: Formulation Development and In-Vitro Studies. Molecules 2019, 24, 3139. [Google Scholar] [CrossRef]
- Pasetto, S.; Pardi, V.; Murata, R.M. Anti-HIV-1 Activity of Flavonoid Myricetin on HIV-1 Infection in a Dual-Chamber In Vitro Model. PLoS ONE 2014, 9, e115323. [Google Scholar] [CrossRef]
- Jacobs, J.; Dixson, J.; Gabel, M.; Bergmann, D.; DeCory, J.; Geffre, C. Antimicrobial screening on fourteen traditional American Indian medicinal plants. Proc. South Dak. Acad. Sci. 2010, 89, 85–93. [Google Scholar]
- Santana, I.L.; Gonçalves, L.M.; De Vasconcellos, A.A.; da Silva, W.J.; Cury, J.A.; Cury, A.D.B. Dietary Carbohydrates Modulate Candida albicans Biofilm Development on the Denture Surface. PLoS ONE 2013, 8, e64645. [Google Scholar] [CrossRef]
- Pinheiro, C.R.; Coelho, A.L.; de Oliveira, C.E.; Gasparoto, T.H.; Garlet, G.P.; Silva, J.S.; Santos, C.F.; Cavassani, K.A.; Hogaboam, C.M.; Campanelli, A.P. Recognition of Candida albicans by gingival fibroblasts: The role of TLR2, TLR4/CD14, and MyD88. Cytokine 2018, 106, 67–75. [Google Scholar] [CrossRef]
- Fuentes, G.; Doucet, E.N.; Abraham, A.; Rodgers, N.K.; Alonso, F.; Euceda, N.; Quinones, M.H.; Riascos, P.A.; Pierre, K.; Sarker, N.H. Nanocomposite liposomes for pH-controlled porphyrin release into human prostate cancer cells. RSC Adv. 2020, 10, 17094–17100. [Google Scholar] [CrossRef]
- Chen, I.; Szostak, J.W. A Kinetic Study of the Growth of Fatty Acid Vesicles. Biophys. J. 2004, 87, 988–998. [Google Scholar] [CrossRef]
- Kumar, L.; Verma, S.; Kumar, S.; Prasad, D.N.; Jain, A.K. Fatty acid vesicles acting as expanding horizon for transdermal delivery. Artif. Cells Nanomed. Biotechnol. 2016, 45, 251–260. [Google Scholar] [CrossRef]
- Ai, X.; Zhong, L.; Niu, H.; He, Z. Thin-film hydration preparation method and stability test of DOX-loaded disulfide-linked polyethylene glycol 5000-lysine-di-tocopherol succinate nanomicelles. Asian J. Pharm. Sci. 2014, 9, 244–250. [Google Scholar] [CrossRef]
- Peltonen, L.; Aitta, J.; Hyvönen, S.; Karjalainen, M.; Hirvonen, J. Improved entrapment efficiency of hydrophilic drug substance during nanoprecipitation of poly (I) lactide nanoparticles. AAPS PharmSciTech 2004, 5, 115–120. [Google Scholar] [PubMed]
- Sciolla, F.; Truzzolillo, D.; Chauveau, E.; Trabalzini, S.; Di Marzio, L.; Carafa, M.; Marianecci, C.; Sarra, A.; Bordi, F.; Sennato, S. Influence of drug/lipid interaction on the entrapment efficiency of isoniazid in liposomes for antitubercular therapy: A multi-faced investigation. Colloids Surf. B Biointerfaces 2021, 208, 112054. [Google Scholar] [CrossRef] [PubMed]
- El-Say, K.M. Maximizing the encapsulation efficiency and the bioavailability of controlled-release cetirizine microspheres using Draper–Lin small composite design. Drug Des. Dev. Ther. 2016, 10, 825–839. [Google Scholar] [CrossRef] [PubMed]
- Dhillon, V.; Sharma, S.; Jain, S.; Arora, S.; Sharma, A. Formulation characterization and evaluation of new topical 5-FU by drug entrapment in oleic acid vesicles. Am. J. Pharm. Res. 2011, 1, 1–16. [Google Scholar]
- Zakir, F.; Vaidya, B.; Goyal, A.K.; Malik, B.; Vyas, S.P. Development and characterization of oleic acid vesicles for the topical delivery of fluconazole. Drug Deliv. 2010, 17, 238–248. [Google Scholar] [CrossRef]
- Souto, E.; Wissing, S.A.; Barbosa, C.M.; Müller, R.H. Development of a controlled release formulation based on SLN and NLC for topical clotrimazole delivery. Int. J. Pharm. 2004, 278, 71–77. [Google Scholar] [CrossRef]
- Emami, J.; Rezazadeh, M.; Varshosaz, J.; Tabbakhian, M.; Aslani, A. Formulation of LDL Targeted Nanostructured Lipid Carriers Loaded with Paclitaxel: A Detailed Study of Preparation, Freeze Drying Condition, and In Vitro Cytotoxicity. J. Nanomater. 2012, 2012, 21. [Google Scholar] [CrossRef]
- Uprit, S.; Sahu, R.K.; Roy, A.; Pare, A. Preparation and characterization of minoxidil loaded nanostructured lipid carrier gel for effective treatment of alopecia. Saudi Pharm. J. 2013, 21, 379–385. [Google Scholar] [CrossRef]
- Lasch, J.; Laub, R.; Wohlrab, W. How deep do intact liposomes penetrate into human skin? J. Control. Release 1992, 18, 55–58. [Google Scholar] [CrossRef]
- Danaei, M.; Dehghankhold, M.; Ataei, S.; Hasanzadeh Davarani, F.; Javanmard, R.; Dokhani, A.; Khorasani, S.; Mozafari, M.R. Impact of Particle Size and Polydispersity Index on the Clinical Applications of Lipidic Nanocarrier Systems. Pharmaceutics 2018, 10, 57. [Google Scholar] [CrossRef]
- Waqas, M.K.; Sadia, H.; Khan, M.I.; Omer, M.O.; Siddique, M.I.; Qamar, S.; Zaman, M.; Butt, M.H.; Mustafa, M.W.; Rasool, N. Development and characterization of niosomal gel of fusidic acid: In-vitro and ex-vivo approaches. Des. Monomers Polym. 2022, 25, 165–174. [Google Scholar] [CrossRef]
- Jamal, A.; Asseri, A.H.; Ali, E.M.M.; El-Gowily, A.H.; Khan, M.I.; Hosawi, S.; Alsolami, R.; Ahmed, T.A. Preparation of 6-Mercaptopurine Loaded Liposomal Formulation for Enhanced Cytotoxic Response in Cancer Cells. Nanomaterials 2022, 12, 4029. [Google Scholar] [CrossRef]
- Marín, R.R.; Babick, F.; Hillemann, L. Zeta potential measurements for non-spherical colloidal particles—Practical issues of characterisation of interfacial properties of nanoparticles. Colloids Surf. A Physicochem. Eng. Asp. 2017, 532, 516–521. [Google Scholar] [CrossRef]
- Barbosa, J.; Abdelsadig, M.S.; Conway, B.; Merchant, H.A. Using zeta potential to study the ionisation behaviour of polymers employed in modified-release dosage forms and estimating their pKa. Int. J. Pharm. X 2019, 1, 100024. [Google Scholar] [CrossRef]
- Hanaor, D.; Michelazzi, M.; Leonelli, C.; Sorrell, C.C. The effects of carboxylic acids on the aqueous dispersion and electrophoretic deposition of ZrO2. J. Eur. Ceram. Soc. 2012, 32, 235–244. [Google Scholar] [CrossRef]
- Nimesh, S.; Chandra, R.; Gupta, N. Advances in Nanomedicine for the Delivery of Therapeutic Nucleic Acids; Woodhead Publishing: Sawston, UK, 2017. [Google Scholar]
- Levy, M.Y.; Schutze, W.; Fuhrer, C.; Benita, S. Characterization of diazepam submicron emulsion interface: Role of oleic acid. J. Microencapsul. 1994, 11, 79–92. [Google Scholar] [CrossRef]
- Washington, C.; Davis, S. Ageing effects in patenterai fat emulsions: The role of fatty acids. Int. J. Pharm. 1987, 39, 33–37. [Google Scholar] [CrossRef]
- Feng, B.; Ashraf, M.A.; Peng, L. Characterization of particle shape, zeta potential, loading efficiency and outdoor stability for chitosan-ricinoleic acid loaded with rotenone. Open Life Sci. 2016, 11, 380–386. [Google Scholar] [CrossRef]
- Shehatta, I.; Al-Marzouqi, A.H.; Jobe, B.; Dowaidar, A. Enhancement of aqueous solubility of itraconazole by complexation with cyclodextrins using supercritical carbon dioxide. Can. J. Chem. 2005, 83, 1833–1838. [Google Scholar] [CrossRef]
- Chowdary, K.P.R.; Rao, S.S. Investigation of Dissolution Enhancement of Itraconazole by Solid Dispersion in Superdisintegrants. Drug Dev. Ind. Pharm. 2000, 26, 1207–1211. [Google Scholar] [CrossRef]
- Fadke, J.; Desai, J.; Thakkar, H. Formulation Development of Spherical Crystal Agglomerates of Itraconazole for Preparation of Directly Compressible Tablets with Enhanced Bioavailability. AAPS PharmSciTech 2015, 16, 1434–1444. [Google Scholar] [CrossRef] [PubMed][Green Version]
- Shrestha, S.K.; Fosso, M.Y.; Garneau-Tsodikova, S. A combination approach to treating fungal infections. Sci. Rep. 2015, 5, 17070. [Google Scholar] [CrossRef] [PubMed]
- Grant, S.; Clissold, S.P. Itraconazole. Drugs 1989, 37, 310–344. [Google Scholar] [CrossRef] [PubMed]
- Samaranayake, L.P.; MacFarlane, T.W.; Williamson, M.I. Comparison of Sabouraud dextrose and Pagano-Levin agar media for detection and isolation of yeasts from oral samples. J. Clin. Microbiol. 1987, 25, 162–164. [Google Scholar] [CrossRef] [PubMed]
- Saigal, S.; Bhargava, A.; Mehra, S.K.; Dakwala, F. Identification of Candida albicans by using different culture medias and its association in potentially malignant and malignant lesions. Contemp. Clin. Dent. 2011, 2, 188–193. [Google Scholar] [CrossRef] [PubMed]
- Hadi, H.; Jassim Alsultany, S. Isolation and identification Candida species among renal failure Iraqi patients. Drug Invent. Today 2020, 14, 1–5. [Google Scholar]
- Singh, S.; Ahmad, S.; Mehta, D.; Alam, S. Antibacterial Activity in Pyrimidine Derivatives in Lab, Using Agar Well-diffusion Method-An Update on Novel Research. Pharm. Sci. Technol. 2020, 3, 40. [Google Scholar] [CrossRef]
- Mamdapure, S. Evaluation of Antimicrobial Activity of Different Pepsodent and Colgate Toothpastes on Oral Flora of ‘Lactobacillus acidophilus’. Evaluation 1940, 2349, 638x. [Google Scholar]
- Balouiri, M.; Sadiki, M.; Ibnsouda, S.K. Methods for in vitro evaluating antimicrobial activity: A review. J. Pharm. Anal. 2016, 6, 71–79. [Google Scholar] [CrossRef]
- Walters, D.; Raynor, L.; Mitchell, A.; Walker, R.; Walker, K. Antifungal Activities of Four Fatty Acids against Plant Pathogenic Fungi. Mycopathologia 2004, 157, 87–90. [Google Scholar] [CrossRef]
- Muthamil, S.; Prasath, K.G.; Priya, A.; Precilla, P.; Pandian, S.K. Global proteomic analysis deciphers the mechanism of action of plant derived oleic acid against Candida albicans virulence and biofilm formation. Sci. Rep. 2020, 10, 5113. [Google Scholar] [CrossRef]
- Kowalska-Krochmal, B.; Dudek-Wicher, R. The Minimum Inhibitory Concentration of Antibiotics: Methods, Interpretation, Clinical Relevance. Pathogens 2021, 10, 165. [Google Scholar] [CrossRef]
- Bauters, T.G.M.; Swinne, D.; Stove, V.; Nelis, H.J. Detection of Single Cells of Cryptococcus neoformans in Clinical Samples by Solid-Phase Cytometry. J. Clin. Microbiol. 2003, 41, 1736–1737. [Google Scholar] [CrossRef][Green Version]
- Cordeiro, R.; Teixeira, C.; Brilhante, R.; Castelo-Branco, D.; Paiva, M.; Giffoni Leite, J.; Lima, D.; Monteiro, A.; Sidrim, J.; Rocha, M. Minimum inhibitory concentrations of amphotericin B, azoles and caspofungin against Candida species are reduced by farnesol. Med. Mycol. 2013, 51, 53–59. [Google Scholar] [CrossRef]
- Erum, R.; Samad, F.; Khan, A.; Kazmi, S.U. A comparative study on production of extracellular hydrolytic enzymes of Candida species isolated from patients with surgical site infection and from healthy individuals and their co-relation with antifungal drug resistance. BMC Microbiol. 2020, 20, 368. [Google Scholar] [CrossRef]
- Lermann, U.; Morschhäuser, J. Secreted aspartic proteases are not required for invasion of reconstituted human epithelia by Candida albicans. Microbiology 2008, 154, 3281–3295. [Google Scholar] [CrossRef]
- Fayez, M.M.; Swelum, A.A.; Alharbi, N.K.; AlRokban, A.H.; Almubarak, A.; Almubarak, A.H.; Alaql, F.; Ahmed, A.E. Multilocus Sequence Typing and Antifungal Susceptibility of Candida albicans Isolates From Milk and Genital Tract of Dromedary Camel. Front. Vet. Sci. 2022, 9, 905962. [Google Scholar] [CrossRef]
- Mohammadi, F.; Ghasemi, Z.; Familsatarian, B.; Salehi, E.; Sharifynia, S.; Barikani, A.; Mirzadeh, M.; Hosseini, M.A. Relationship between antifungal susceptibility profile and virulence factors in Candida albicans isolated from nail specimens. Rev. Soc. Bras. Med. Trop. 2020, 53, e20190214. [Google Scholar] [CrossRef]
- Wächtler, B.; Citiulo, F.; Jablonowski, N.; Förster, S.; Dalle, F.; Schaller, M.; Wilson, D.; Hube, B. Candida albicans-Epithelial Interactions: Dissecting the Roles of Active Penetration, Induced Endocytosis and Host Factors on the Infection Process. PLoS ONE 2012, 7, e36952. [Google Scholar] [CrossRef]
- Lotfali, E.; Fattahi, M.; Ghasemi, R.; Zakermashhadi, F.; Shafiei, M.; Borzouie, M.; Rabiei, M.M. Enhancement of the Anti-biofilm Activity of Gold Nanoparticles—Itraconazole Conjugates in Resistant Candida glabrata. Recent Adv. Anti-Infect. Drug Discov. Former. Recent Pat. Anti-Infect. Drug Discov. 2021, 16, 137–147. [Google Scholar] [CrossRef]
- Trösken, E.R.; Adamska, M.; Arand, M.; Zarn, J.A.; Patten, C.; Völkel, W.; Lutz, W.K. Comparison of lanosterol-14α-demethylase (CYP51) of human and Candida albicans for inhibition by different antifungal azoles. Toxicology 2006, 228, 24–32. [Google Scholar] [CrossRef] [PubMed]
- Zuza-Alves, D.L.; De Medeiros, S.S.T.Q.; De Souza, L.B.F.C.; Silva-Rocha, W.P.; Francisco, E.C.; De Araújo, M.C.B.; Lima-Neto, R.; Neves, R.P.; Melo, A.S.D.A.; Chaves, G.M. Evaluation of Virulence Factors In vitro, Resistance to Osmotic Stress and Antifungal Susceptibility of Candida tropicalis Isolated from the Coastal Environment of Northeast Brazil. Front. Microbiol. 2016, 7, 1783. [Google Scholar] [CrossRef] [PubMed]
- Zhang, L.-J.; Wang, X.-D.; Wan, X.-F.; Hasimu, H.; Abliz, P. The Effects of Different Fungi on the IL-1β Expression in Mouse Dendritic Cells. Jundishapur J. Microbiol. 2020, 13, e104089. [Google Scholar] [CrossRef]
- Kullberg, B.J.; Wout, J.W.V.; Poell, R.J.; van Furth, R. Combined effect of fluconazole and recombinant human interleukin-1 on systemic candidiasis in neutropenic mice. Antimicrob. Agents Chemother. 1992, 36, 1225–1229. [Google Scholar] [CrossRef] [PubMed][Green Version]
- Shin, T.R.; Lee, Y.M.; Koh, Y. The Effect of Itraconazole Pretreatment in Lipopolysaccharide-Induced Acute Lung Injury in Rats. Korean J. Crit. Care Med. 2010, 25, 149–154. [Google Scholar] [CrossRef]
- Yu, H.-P.; Liu, F.-C.; Umoro, A.; Lin, Z.-C.; Elzoghby, A.O.; Hwang, T.-L.; Fang, J.-Y. Oleic acid-based nanosystems for mitigating acute respiratory distress syndrome in mice through neutrophil suppression: How the particulate size affects therapeutic efficiency. J. Nanobiotechnol. 2020, 18, 25. [Google Scholar] [CrossRef] [PubMed]
- Akira, S.; Uematsu, S.; Takeuchi, O. Pathogen recognition and innate immunity. Cell 2006, 124, 783–801. [Google Scholar] [CrossRef]
- Jin, X.; Qin, Q.; Lin, Z.; Chen, W.; Qu, J. Expression of Toll-Like Receptors in the Fusarium solani Infected Cornea. Curr. Eye Res. 2008, 33, 319–324. [Google Scholar] [CrossRef]
- Takeuchi, O.; Hoshino, K.; Kawai, T.; Sanjo, H.; Takada, H.; Ogawa, T.; Takeda, K.; Akira, S. Differential Roles of TLR2 and TLR4 in Recognition of Gram-Negative and Gram-Positive Bacterial Cell Wall Components. Immunity 1999, 11, 443–451. [Google Scholar] [CrossRef]
- Netea, M.; Van der Graaf, C.; Van der Meer, J.W.M.; Kullberg, B.J. Recognition of fungal pathogens by Toll-like receptors. Eur. J. Clin. Microbiol. Infect. Dis. 2004, 23, 672–676. [Google Scholar] [CrossRef]
- Gil, M.; Murciano, C.; Yanez, A.; Gozalbo, D. Role of Toll-like receptors in systemic Candida albicans infections. Interactions 2016, 8, 21–22. [Google Scholar] [CrossRef]
- Semlali, A.; Leung, K.P.; Curt, S.; Rouabhia, M. Antimicrobial decapeptide KSL-W attenuates Candida albicans virulence by modulating its effects on Toll-like receptor, human β-defensin, and cytokine expression by engineered human oral mucosa. Peptides 2011, 32, 859–867. [Google Scholar] [CrossRef]







| Independent Variables | Levels of Variables |
|---|---|
| X1: Oleic acid amount (mg) | 100.0 500.0 |
| X2: Cholesterol concentration (%) | 0.00 20.0 |
| X3: Drug amount (mg) | 12.5 25.0 50.0 |
| Responses | Constraints |
| Y1: %EE | Maximum |
| Y2: PS | Minimum |
| Y3: ZP | Maximum |
| Formula Number | Independent Variables | Dependent Responses | |||||
|---|---|---|---|---|---|---|---|
| X1: Oleic Acid Amount (mg) | X2: Cholesterol Concentration (%) | X3: Drug Amount (mg) | Y1: %EE * (%) | Y2: PS * (nm) | Y3: ZP * (mV) | PDI * | |
| F1 | 100 | 0 | 12.5 | 98.9 ± 0.2 | 280 ± 5 | −18 ± 0.8 | 0.44 ± 0.0 |
| F2 | 100 | 0 | 25 | 96.1 ± 0.5 | 558 ± 29 | −49 ± 0.3 | 0.64 ± 0.1 |
| F3 | 100 | 0 | 50 | 95.7 ± 0.9 | 570 ± 19 | −52 ± 0.4 | 0.53 ± 0.1 |
| F4 | 100 | 20 | 12.5 | 96.2 ± 0.2 | 268 ± 10 | −31 ± 0.7 | 0.70 ± 0.0 |
| F5 | 100 | 20 | 25 | 87.7 ± 0.4 | 544 ± 39 | −19 ± 0.3 | 0.83 ± 0.1 |
| F6 | 100 | 20 | 50 | 90.9 ± 1.3 | 467 ± 13 | −51 ± 0.3 | 0.37 ± 0.0 |
| F7 | 500 | 0 | 12.5 | 95.3 ± 0.6 | 208 ± 3 | −78 ± 0.4 | 0.18 ± 0.0 |
| F8 | 500 | 0 | 25 | 83.6 ± 0.6 | 185 ± 3 | −22 ± 0.3 | 0.27 ± 0.0 |
| F9 | 500 | 0 | 50 | 99.4 ± 0.7 | 190 ± 1 | −82 ± 0.4 | 0.29 ± 0.0 |
| F10 | 500 | 20 | 12.5 | 95.6 ± 0.9 | 314 ± 2 | −66 ± 0.4 | 0.42 ± 0.0 |
| F11 | 500 | 20 | 25 | 100.5 ± 0.1 | 230 ± 5 | −71 ± 0.2 | 0.41 ± 0.1 |
| F12 | 500 | 20 | 50 | 98.3 ± 0.1 | 445 ± 8 | −90 ± 0.2 | 0.47 ± 0.0 |
Disclaimer/Publisher’s Note: The statements, opinions and data contained in all publications are solely those of the individual author(s) and contributor(s) and not of MDPI and/or the editor(s). MDPI and/or the editor(s) disclaim responsibility for any injury to people or property resulting from any ideas, methods, instructions or products referred to in the content. |
© 2022 by the authors. Licensee MDPI, Basel, Switzerland. This article is an open access article distributed under the terms and conditions of the Creative Commons Attribution (CC BY) license (https://creativecommons.org/licenses/by/4.0/).
Share and Cite
Hashem, S.M.; Gad, M.K.; Anwar, H.M.; Saleh, N.M.; Shamma, R.N.; Elsherif, N.I. Itraconazole-Loaded Ufasomes: Evaluation, Characterization, and Anti-Fungal Activity against Candida albicans. Pharmaceutics 2023, 15, 26. https://doi.org/10.3390/pharmaceutics15010026
Hashem SM, Gad MK, Anwar HM, Saleh NM, Shamma RN, Elsherif NI. Itraconazole-Loaded Ufasomes: Evaluation, Characterization, and Anti-Fungal Activity against Candida albicans. Pharmaceutics. 2023; 15(1):26. https://doi.org/10.3390/pharmaceutics15010026
Chicago/Turabian StyleHashem, Sara M., Mary K. Gad, Hend M. Anwar, Neveen M. Saleh, Rehab N. Shamma, and Noha I. Elsherif. 2023. "Itraconazole-Loaded Ufasomes: Evaluation, Characterization, and Anti-Fungal Activity against Candida albicans" Pharmaceutics 15, no. 1: 26. https://doi.org/10.3390/pharmaceutics15010026
APA StyleHashem, S. M., Gad, M. K., Anwar, H. M., Saleh, N. M., Shamma, R. N., & Elsherif, N. I. (2023). Itraconazole-Loaded Ufasomes: Evaluation, Characterization, and Anti-Fungal Activity against Candida albicans. Pharmaceutics, 15(1), 26. https://doi.org/10.3390/pharmaceutics15010026

