Effect of Polar Head Group Modifications on the Tumor Retention of Phospholipid Ether Analogs: Role of the Quaternary Nitrogen
Abstract
1. Introduction
2. Materials and Methods
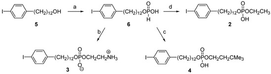
2.1. Chemistry
2.2. Radioiodination of Phospholipid Analogs
2.3. Biology
3. Results and Discussion
4. Rationale
5. Conclusions
Supplementary Materials
Author Contributions
Funding
Institutional Review Board Statement
Informed Consent Statement
Data Availability Statement
Acknowledgments
Conflicts of Interest
References
- Mollinedo, F.; Gajate, C.; Martin-Santamaria, S.; Gago, F. ET-18-OCH3 (Edelfosine): A selective antitumor lipid targeting apoptosis through intracellular activation of Fas/CD95 death receptor. Curr. Med. Chem. 2004, 11, 3163–3184. [Google Scholar] [CrossRef] [PubMed]
- Gajate, C.; Mollinedo, F. Biological activities, mechanisms of action and biomedical prospect of the antitumor ether phospholipid ET-18-OCH3 (edelfosine), a proapoptotic agent in tumor cells. Curr. Drug Metab. 2002, 3, 491–525. [Google Scholar] [CrossRef]
- Weichert, J.P.; Clark, P.A.; Kandela, I.K.; Vaccaro, A.M.; Clarke, W.; Longino, M.A.; Pinchuk, A.N.; Farhoud, M.; Swanson, K.I.; Floberg, J.M.; et al. Alkylphosphocholine Analogs for Broad Spectrum Cancer Imaging and Therapy. Sci. Transl. Med. 2014, 6, 240ra75. [Google Scholar] [CrossRef] [PubMed]
- Jendrossek, V.; Handrick, R. Membrane targeted anticancer drugs: Potent inducers of apoptosis and putative radiosensitisers. Curr. Med. Chem.–Anti-Cancer Agents 2003, 3, 343–353. [Google Scholar] [CrossRef] [PubMed]
- Zaremberg, V.; Ganesan, S.; Mahadeo, M. Lipids and Membrane Microdomains: The Glycerolipid and Alkylphosphocholine Class of Cancer Chemotherapeutic Drugs. In Lipid Signaling in Human Diseases; Gomez-Cambronero, J., Frohman, M.A., Eds.; Springer Nature Switzerland AG: Berlin/Heidelberg, Germany, 2020; pp. 261–288. [Google Scholar]
- Jaffrès, P.A.; Gajate, C.; Bouchet, A.M.; Couthon-Gourvès, H.; Chantôme, A.; Potier-Cartereau, M.; Besson, P.; Bougnoux, P.; Mollinedo, F.; Vandier, C. Alkyl ether lipids, ion channels and lipid raft reorganization in cancer therapy. Pharmacol. Ther. 2016, 165, 114–131. [Google Scholar] [CrossRef] [PubMed]
- Meyer, K.L.; Schwendner, S.W.; Counsell, R.E. Potential tumor or organ-imaging agents. 30. Radioiodinated phospholipid ethers. J. Med. Chem. 1989, 32, 2142–2147. [Google Scholar] [CrossRef]
- Plotzke, K.P.; Rampy, M.A.; Meyer, K.; Ruyan, M.; Fisher, S.J.; Wahl, R.L.; Skinner, R.W.S.; Gross, M.D.; Counsell, R.E. Biodistribution, metabolism, and excretion of radioiodinated phospholipid ether analogs in tumor-bearing rats. J. Nucl. Biol. Med. 1993, 37, 264–272. [Google Scholar]
- Rampy, M.A.; Chou, T.S.; Pinchuk, A.N.; Skinner, R.W.S.; Gross, M.D.; Fisher, S.; Wahl, R.L.; Counsell, R.E. Synthesis and biological evaluation of radioiodinated phospholipids ether analogs. Nucl. Med. Biol. 1995, 22, 505–512. [Google Scholar] [CrossRef]
- Rampy, M.A.; Pinchuk, A.N.; Weichert, J.P.; Skinner, R.W.S.; Fisher, S.J.; Wahl, R.L.; Gross, M.D.; Counsell, R.E. Synthesis and biological evaluation of radioiodinated phospholipids ether stereoisomers. J. Med. Chem. 1995, 38, 3156–3162. [Google Scholar] [CrossRef]
- Pinchuk, A.N.; Rampy, M.A.; Longino, M.A.; Skinner, R.W.S.; Gross, M.D.; Weichert, J.P.; Counsell, R.E. Synthesis and structure-activity relationship effects on the tumor avidity of radioiodinated phospholipid ether analogues. J. Med. Chem. 2006, 49, 2155–2165. [Google Scholar] [CrossRef]
- Vogler, W.R.; Olson, A.C.; Okamoto, S.; Shoji, M.; Raynor, R.L.; Kuo, J.F.; Berdel, W.E.; Eibl, H.; Hajdu, J.; Nomura, H. Comparison of selective cytotoxicity of alkyl lysophospholipids. Lipids 1991, 26, 1418–1423, (2-(N-pyridinio)ethyl analog). [Google Scholar] [CrossRef] [PubMed]
- Stekar, J.; Hilgard, P.; Voegeli, R.; Maurer, H.R.; Engel, J.; Kutscher, B.; Noessner, G.; Schumacher, W. Antineoplastic activity and tolerability of a novel heterocyclic alkylphospholipid, D-20133. Cancer Chemother. Pharmacol. 1993, 32, 437–444, (2-(N-methylpiperidinio)ethyl analog). [Google Scholar] [CrossRef] [PubMed]
- Koufaki, M.; Polychroniou, V.; Calogeropoulou, T.; Tsotinis, A.; Drees, M.; Fiebig, H.H.; LeClerc, S.; Hendriks, H.R.; Makriyannis, A. Alkyl and alkoxyethyl antineoplastic phospholipids. J. Med. Chem. 1996, 39, 2609–2614, (2-(N-methylmorpholino)ethyl and 2-(N-methylpiperidino)ethyl analogs). [Google Scholar] [CrossRef] [PubMed]
- Duclos, R.I., Jr.; Chia, H.H.; Abdelmageed, O.H.; Esber, H.; Fournier, D.J.; Makriyannis, A. Syntheses of racemic and nearly optically pure ether lipids and evaluation of in vitro antineoplastic activities. J. Med. Chem. 1994, 37, 4147–4154, (chiral methylcholine, 2-(N,N-dimethylamino)ethyl, 2-(N-methylpyrrolidino)ethyl and 2-(N-methylmorpholino)ethyl analogs). [Google Scholar] [CrossRef]
- Hilgard, P.; Klenner, T.; Stekar, J.; Noessner, G.; Kutscher, B.; Engel, J. D-21266, a new heterocyclic alkylphospholipid with antitumour activity. Eur. J. Cancer 1997, 33, 442–446, (1,1-dimethyl-piperidin-4-yl analog, Perifosine). [Google Scholar] [CrossRef]
- Van Ummersen, L.; Binger, K.; Volkman, J.; Marnocha, R.; Tutsch, K.; Kolesar, J.; Arzoomanian, R.; Alberti, D.; Wilding, G. A phase I trial of perifosine (NSC 639966) on a loading dose/maintenance dose schedule in patients with advanced cancer. Clin. Cancer Res. 2004, 10, 7450–7456, 1,1-dimethyl-piperidin-4-yl analog (Perifosine). [Google Scholar] [CrossRef]
- Miyazaki, H.; Ohkawa, N.; Nakamura, N.; Ito, T.; Sada, T.; Oshima, T.; Koike, H. Lactone and cyclic ether analogs of platelet-activating factor. Synthesis and biological activities. Chem. Pharm. Bull. 1989, 37, 2379–2390, (ω-(thiazolio)alkyl analogs). [Google Scholar] [CrossRef]
- Miyazaki, H.; Nakamura, N.; Ito, T.; Sada, T.; Oshima, T.; Koike, H. Synthesis and antagonistic activities of enantiomers of cyclic platelet-activating factor analogs. Chem. Pharm. Bull. 1989, 37, 2391–2397, (ω-(thiazolio)alkyl analogs). [Google Scholar] [CrossRef]
- Hong, C.I.; Nechaev, A.; Kirisits, A.J.; Vig, R.; West, C.R.; Manouilov, K.K.; Chu, C.K. Nucleoside conjugates. 15. Synthesis and biological activity of anti-HIV nucleoside conjugates of ether and thioether phospholipids. J. Med. Chem. 1996, 39, 1771–1777. [Google Scholar] [CrossRef]
- Ukawa, K.; Imamiya, E.; Yamamoto, H.; Aono, T.; Kozai, Y.; Okutani, T.; Nomura, H.; Honma, Y.; Hozumi, M.; Kudo, I.; et al. Synthesis and antitumor activity of new amphiphilic alkylglycerolipids substituted with a polar head group, 2-(2-trimethylammonioethoxy)ethyl or a congeneric oligo(ethyleneoxy)ethyl group. Chem. Pharm. Bull. 1989, 37, 3277–3285. [Google Scholar] [CrossRef]
- Stekar, J.; Noessner, G.; Kutscher, B.; Engel, J.; Hilgard, P. Synthesis, antitumor activity, and tolerability of phospholipids containing nitrogen homologues. Angew. Chem. Int. Ed. 1995, 34, 238–240. [Google Scholar] [CrossRef]
- Kates, M.; Adams, G.A.; Blank, M.L.; Snyder, F. Chemical synthesis and physiological activity of sulfonium analogues of platelet activating factor. Lipids 1991, 26, 1095–1101. [Google Scholar] [CrossRef]
- Bittman, R. The 2003 ASBMB-Avanti award in lipids address: Applications of novel synthetic lipids to biological problems. Chem. Phys. Lipids 2004, 129, 111–131, (Phosphonocholine analogs). [Google Scholar] [CrossRef]
- Kley, J.T.; Unger, C.; Massing, U. Synthesis of isosteric phosphono analogs of biologically active alkylphosphocholines. Monatsh. Chem. 1998, 129, 173–185, (3-(trimethylammonio)propylphosphonate analogs). [Google Scholar] [CrossRef]
- Ukawa, K.; Imamiya, E.; Yamamoto, H.; Mizuno, K.; Tasaka, A.; Terashita, Z.; Okutani, T.; Nomura, H.; Kasukabe, T.; Hozumi, M.; et al. Synthesis and antitumor activity of new alkylphospholipids containing modifications of the phosphocholine moiety. Chem. Pharm. Bull. 1989, 37, 1249–1255. [Google Scholar] [CrossRef]
- Jendrossek, V.; Hammersen, K.; Erdlenbruch, B.; Kugler, W.; Kruegener, R.; Eibl, H.; Lakomek, M. Structure-activity relationships of alkylphosphocholine derivatives: Antineoplastic action on brain tumor cell lines in vitro. Cancer Chemother. Pharmacol. 2002, 50, 71–79. [Google Scholar] [CrossRef]
- Geilen, C.C.; Haase, A.; Wieder, T.; Arndt, D.; Zeisig, R.; Reutter, W. Phospholipid analogues: Side chain- and polar head group-dependent effects on phosphatidylcholine biosynthesis. J. Lipid Res. 1994, 35, 625–632. [Google Scholar] [CrossRef] [PubMed]
- Alunni-Bistocchi, G.; Orvietani, P.L.; Ricci, A.; Binaglia, L.; Orlando, M.; Orlando, P. Synthesis of 1-O-alkyl-2-O-methyl-glycerophospholipids with potential antitumor activity. Farmaco 1990, 45, 499–509. [Google Scholar] [PubMed]
- Brachwitz, H.; Langen, P.; Dube, G.; Schildt, J.; Paltauf, F.; Hermetter, A. Halo lipids. 10. Synthesis and cytostatic activity of O-alkylglycerophospho-L-serine analogs. Chem. Phys. Lipids 1990, 54, 89–98. [Google Scholar] [CrossRef]
- Brachwitz, H.; Ölke, M.; Bergmann, J.; Langen, P. Alkylphospho-L-serine analogues: Synthesis of cytostatically active alkylphosphono derivatives. Bioorg. Med. Chem. Lett. 1997, 7, 1739–1742. [Google Scholar] [CrossRef]
- Kazi, A.B.; Hajdu, J. Synthesis of phosphoserine and phosphothreonine ether-glycerolipids via 2,2,2-trichloro-t-butyl phosphodichloridite coupling. Tetrahedron Lett. 1992, 33, 2291–2294. [Google Scholar] [CrossRef]
- Ishaq, K.S.; Capobianco, M.; Piantadosi, C.; Noseda, A.; Daniel, L.W.; Modest, E.J. Synthesis and biological evaluation of ether-linked derivatives of phosphatidylinositol. Pharm. Res. 1989, 6, 216–224. [Google Scholar] [CrossRef]
- Qiao, L.X.; Nan, F.J.; Kunkel, M.; Gallegos, A.; Powis, G.; Kozikowski, A.P. 3-Deoxy-D-myo-inositol 1-phosphate, 1-phosphonate, and ether lipid analogues as inhibitors of phosphatidylinositol-3-kinase signaling and cancer cell growth. J. Med. Chem. 1998, 41, 3303–3306. [Google Scholar] [CrossRef] [PubMed]
- Weichert, J.P.; VanDort, M.E.; Groziak, M.P.; Counsell, R.E. Radioiodination via isotope exchange in pivalic acid. Appl. Radiat. Isot. 1986, 37, 907–913. [Google Scholar] [CrossRef]
- Mangner, T.J.; Wu, J.L.; Wieland, D.M. Solid-phase exchange radioiodination of aryl iodides. Facilitation by ammonium sulfate. J. Org. Chem. 1982, 47, 1484–1488. [Google Scholar] [CrossRef]
- Lindh, I.; Stawinski, J. A general method for the synthesis of glycerophospholipids and their analogues via H-phosphonate intermediates. J. Org. Chem. 1989, 54, 1338–1342. [Google Scholar] [CrossRef]
- Stawinski, J.; Kraszewski, A. How to get the most out of two phosphorus chemistries. Studies on H-phosphonates. Acc. Chem. Res. 2002, 35, 952–960. [Google Scholar] [CrossRef]
- Bishop, F.E.; Dive, C.; Freeman, S.; Gescher, A. Is metabolism an important arbiter of anticancer activity of ether lipids? Metabolism of SRI 62-834 and hexadecylphosphocholine by [31P]-NMR spectroscopy and comparison of their cytotoxicities with those of their metabolites. Cancer Chemother. Pharmacol. 1992, 31, 85–92. [Google Scholar] [CrossRef]
- Rampy, M.A. Strategies for Tumor Imaging with Radioiodinated Phospholipid Ether Analogs. Ph.D. Thesis, The University of Michigan, Ann Arbor, MI, USA, 1995. [Google Scholar]
- Bergelson, L.D. Tumor lipids. Prog. Chem. Fats Lipids 1972, 13, 1–59. [Google Scholar] [CrossRef]
- Arthur, G.; Schweizer, F.; Ogunsina, M. Synthetic Glycosylated Ether Glycerolipids as Anticancer Agents. In Carbohydrates in Drug Design and Discovery; Jimenez-Barbero, J., Canada, F.J., Martin-Santamaria, S., Eds.; The Royal Society of Chemistry: Cambridge, UK, 2015; pp. 151–179. [Google Scholar]
- Nachtigal, M.W.; Musaphir, P.; Dhiman, S.; Altman, A.D.; Schweizer, F.; Arthur, G. Cytotoxic capacity of a novel glycosylated antitumor ether lipid in chemotherapy-resistant high grade serous ovarian cancer in vitro and in vivo. Transl. Oncol. 2021, 14, 101203. [Google Scholar] [CrossRef]
- Patel, R.; Hernandez, R.; Carlson, P.; Grudzinski, J.; Bates, A.; Jagodinski, J.; Erbe, A.; Marsh, I.; Aluicio-Sarduy, E.; Rakhmilevich, A.; et al. Low-dose targeted radionuclide therapy renders immunologically “cold” tumors responsive to immune checkpoint blockade. Sci. Transl. Med. 2021, 13, eabb3631. [Google Scholar] [CrossRef] [PubMed]
- Zhang, R.R.; Schroeder, A.B.; Grudzinski, J.J.; Rosenthal, E.L.; Warram, J.M.; Pinchuk, A.N.; Eliceiri, K.W.; Kuo, J.S.; Weichert, J.P. Beyond the margins: Real-time detection of cancer using targeted fluorophores. Nat. Rev. Clin. Oncol. 2017, 14, 347–364. [Google Scholar] [CrossRef] [PubMed]
- Hernandez, R.; Walker, K.L.; Grudzinski, J.J.; Aluicio-Sarduy, E.; Patel, R.; Zahm, C.D.; Pinchuk, A.N.; Massey, C.F.; Bitton, A.N.; Brown, R.J.; et al. (90)Y-NM600 targeted radionuclide therapy induces immunologic memory in syngeneic models of T-cell Non-Hodgkin’s Lymphoma. Commun. Biol. 2019, 2, 79. [Google Scholar] [CrossRef] [PubMed]
- Grudzinski, J.J.; Hernandez, R.; Marsh, I.; Patel, R.B.; Aluicio-Sarduy, E.; Engle, J.; Morris, Z.; Bednarz, B.; Weichert, J.P. Preclinical Characterization of (86/90)Y-NM600 in a Variety of Murine and Human Cancer Tumor Models. J. Nucl. Med. 2019, 60, 1622–1628. [Google Scholar] [CrossRef] [PubMed]





| Tissue | 1 (NM346) | 2 (NM400) | 3 (NM401) | 4 (NM402) |
|---|---|---|---|---|
| Adrenal | ----- | 0.04 ± 0.01 | 0.18 ± 0.02 | 0.05 ± 0.00 |
| Blood | 0.22 ± 0.03 | 0.07 ± 0.00 | 0.19 ± 0.05 | 0.04 ± 0.01 |
| Bone Marrow | ----- | 0.05 ± 0.01 | 0.13 ± 0.01 | 0.03 ± 0.01 |
| Duodenum | 0.80 ± 0.06 | 0.13 ± 0.01 | 0.32 ± 0.06 | 0.40 ± 0.02 |
| Fat | ----- | 0.03 ± 0.02 | 0.11 ± 0.03 | 0.02 ± 0.00 |
| Heart | ----- | 0.03 ± 0.00 | 0.11 ± 0.02 | 0.02 ± 0.00 |
| Kidney | ----- | 0.82 ± 0.02 | 1.32 ± 0.23 | 0.31 ± 0.03 |
| Liver | 0.84 ± 0.12 | 1.30 ± 0.07 | 1.14 ± 0.17 | 3.30 ± 0.48 |
| Lung | 0.68 ± 0.11 | 0.07 ± 0.01 | 0.26 ± 0.05 | 0.04 ± 0.00 |
| Muscle | ----- | 0.02 ± 0.00 | 0.06 ± 0.02 | 0.02 ± 0.00 |
| Ovary | ----- | 0.06 ± 0.00 | 0.17 ± 0.03 | 0.04 ± 0.01 |
| Plasma | ----- | 0.10 ± 0.00 | 0.30 ± 0.09 | 0.06 ± 0.01 |
| Spleen | ----- | 0.04 ± 0.00 | 0.16 ± 0.03 | 0.02 ± 0.00 |
| Thyroid | 13.95 ± 0.80 | 49.30 ± 21.59 | 19.21 ± 3.65 | 28.88 ± 3.31 |
| Tumor | 2.04 ± 0.18 | 0.07 ± 0.03 | 0.36 ± 0.08 | 0.04 ± 0.01 |
| Tumor/Blood | 9.27 | 1.00 | 1.89 | 1.00 |
| Tumor/Kidney | ----- | 0.09 | 0.27 | 0.13 |
| Tumor/Liver | 2.43 | 0.05 | 0.32 | 0.01 |
Disclaimer/Publisher’s Note: The statements, opinions and data contained in all publications are solely those of the individual author(s) and contributor(s) and not of MDPI and/or the editor(s). MDPI and/or the editor(s) disclaim responsibility for any injury to people or property resulting from any ideas, methods, instructions or products referred to in the content. |
© 2023 by the authors. Licensee MDPI, Basel, Switzerland. This article is an open access article distributed under the terms and conditions of the Creative Commons Attribution (CC BY) license (https://creativecommons.org/licenses/by/4.0/).
Share and Cite
Pinchuk, A.N.; Rampy, M.A.; Longino, M.A.; Durkee, B.Y.; Counsell, R.E.; Weichert, J.P. Effect of Polar Head Group Modifications on the Tumor Retention of Phospholipid Ether Analogs: Role of the Quaternary Nitrogen. Pharmaceutics 2023, 15, 171. https://doi.org/10.3390/pharmaceutics15010171
Pinchuk AN, Rampy MA, Longino MA, Durkee BY, Counsell RE, Weichert JP. Effect of Polar Head Group Modifications on the Tumor Retention of Phospholipid Ether Analogs: Role of the Quaternary Nitrogen. Pharmaceutics. 2023; 15(1):171. https://doi.org/10.3390/pharmaceutics15010171
Chicago/Turabian StylePinchuk, Anatoly N., Mark A. Rampy, Marc A. Longino, Ben Y. Durkee, Raymond E. Counsell, and Jamey P. Weichert. 2023. "Effect of Polar Head Group Modifications on the Tumor Retention of Phospholipid Ether Analogs: Role of the Quaternary Nitrogen" Pharmaceutics 15, no. 1: 171. https://doi.org/10.3390/pharmaceutics15010171
APA StylePinchuk, A. N., Rampy, M. A., Longino, M. A., Durkee, B. Y., Counsell, R. E., & Weichert, J. P. (2023). Effect of Polar Head Group Modifications on the Tumor Retention of Phospholipid Ether Analogs: Role of the Quaternary Nitrogen. Pharmaceutics, 15(1), 171. https://doi.org/10.3390/pharmaceutics15010171

