Adsorbent Precoating by Lyophilization: A Novel Green Solvent Technique to Enhance Cinnarizine Release from Solid Self-Nanoemulsifying Drug Delivery Systems (S-SNEDDS)
Abstract
1. Introduction
2. Materials and Methods
2.1. Materials
2.2. Drug-Free and Drug-Loaded Liquid Self-Nanoemulsifying Drug Delivery Systems (L-SNEDDS) Preparation
2.3. Precoating (Curing) of Adsorbent Using Hydrophilic Polymers
2.4. Preparation of Cured Solid Self-Nanoemulsifying Drug Delivery Systems
2.5. Determination of CN Encapsulation Efficiency
2.6. Optimization and Characterization of S-SNEDDS
2.6.1. Powder Properties
2.6.2. Differential Scanning Calorimetry (DSC)
2.6.3. X-ray Powder Diffraction (XRD)
2.6.4. Analysis of Droplet Size, PDI, and Zeta Potential of L-SNEDDS and S-SNEDDS
2.6.5. Scanning Electron Microscopy (SEM)
2.6.6. The Brunauer–Emmett–Teller (BET)
2.7. In Vitro Dissolution Tests
2.8. In Vitro Lipolysis
Initial Digestion Rate Evaluation
2.9. Accelerated Stability Studies
2.10. CN Quantification by UPLC Assay
2.11. Statistical Analysis
3. Results
3.1. Characterization of Solid SNEDDS
3.1.1. Powder Properties
3.1.2. Differential Scanning Calorimetry (DSC)
3.1.3. X-ray Diffraction (XRD)
3.1.4. Droplet Size and Zeta Potential
3.1.5. Scanning Electron Microscopy (SEM)
3.1.6. The Brunauer–Emmett–Teller (BET) Analysis
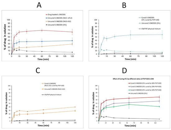
3.2. In Vitro Dissolution
3.2.1. Effect of the Adsorbent Type on CN Release
3.2.2. Effect of PVP Physical Mixture and Different Adsorbents Curing on CN Release
3.2.3. Effect of Curing Polymer (PVP-k30) Ratio on CN Release
3.3. In Vitro Lipolysis
3.4. Accelerated Stability Studies
4. Discussion
5. Conclusions
Author Contributions
Funding
Institutional Review Board Statement
Informed Consent Statement
Data Availability Statement
Acknowledgments
Conflicts of Interest
References
- Gupta, S.; Kesarla, R.; Omri, A. Formulation Strategies to Improve the Bioavailability of Poorly Absorbed Drugs with Special Emphasis on Self-Emulsifying Systems. ISRN Pharm. 2013, 2013, 1–16. [Google Scholar] [CrossRef] [PubMed]
- Shahba, A.A.; Tashish, A.Y.; Alanazi, F.K.; Kazi, M. Combined self-nanoemulsifying and solid dispersion systems showed enhanced cinnarizine release in hypochlorhydria/achlorhydria dissolution model. Pharmaceutics 2021, 13, 627. [Google Scholar] [CrossRef]
- Ahmed, A.R.; Mota, J.P.; Shahba, A.A.-W.; Irfan, M. Chapter 3—Aqueous Polymeric Coatings: New Opportunities in Drug Delivery Systems. Drug Deliv. Asp. 2020, 4, 33–56. [Google Scholar]
- Shahba, A.A.; Alanazi, F.K.; Mohsin, K.; Abdel-Hamid, M. Stability assessment of cinnarizine in self-emulsifying drug delivery systems. Lat. Am. J. Pharm. 2012, 31, 549–554. [Google Scholar]
- Shahba, A.A.W.; Alanazi, F.K.; Abdel-Rahman, S.I. Stabilization benefits of single and multi-layer self-nanoemulsifying pellets: A poorly-water soluble model drug with hydrolytic susceptibility. PLoS ONE 2018, 13, e0198469. [Google Scholar] [CrossRef] [PubMed]
- Lei, Y.; Lu, Y.; Qi, J.; Nie, S.; Hu, F.; Pan, W.; Wu, W. Solid self-nanoemulsifying cyclosporin A pellets prepared by fluid-bed coating: Preparation, characterization and in vitro redispersibility. Int. J. Nanomed. 2011, 6, 795–805. [Google Scholar] [CrossRef]
- Beg, S.; Katare, O.P.; Saini, S.; Garg, B.; Khurana, R.K.; Singh, B. Solid self-nanoemulsifying systems of olmesartan medoxomil: Formulation development, micromeritic characterization, in vitro and in vivo evaluation. Powder Technol. 2016, 294, 93–104. [Google Scholar] [CrossRef]
- Gumaste, S.G.; Freire, B.O.S.; Serajuddin, A.T.M. Development of solid SEDDS, VI: Effect of precoating of Neusilin® US2 with PVP on drug release from adsorbed self-emulsifying lipid-based formulations. Eur. J. Pharm. Sci. 2017, 110, 124–133. [Google Scholar] [CrossRef]
- Alwadei, M.; Kazi, M.; Alanazi, F.K. Novel oral dosage regimen based on self-nanoemulsifying drug delivery systems for codelivery of phytochemicals—Curcumin and thymoquinone. Saudi Pharm. J. 2019, 27, 866–876. [Google Scholar] [CrossRef]
- Alhasani, K.F.; Kazi, M.; Ibrahim, M.A.; Shahba, A.A.; Alanazi, F.K. Self-nanoemulsifying ramipril tablets: A novel delivery system for the enhancement of drug dissolution and stability. Int. J. Nanomed. 2019, 14, 5435–5448. [Google Scholar] [CrossRef]
- Patki, M.; Patel, K. Development of a solid supersaturated self-nanoemulsifying preconcentrate (S-superSNEP) of fenofibrate using dimethylacetamide and a novel co-processed excipient. Drug Dev. Ind. Pharm. 2019, 45, 405–414. [Google Scholar] [CrossRef]
- Gumaste, S.G.; Dalrymple, D.M.; Serajuddin, A.T.M. Development of solid SEDDS, V: Compaction and drug release properties of tablets prepared by adsorbing lipid-based formulations onto neusilin® US2. Pharm. Res. 2013, 30, 3186–3199. [Google Scholar] [CrossRef]
- Shahba, A.A.-W.; Mohsin, K.; Alanazi, F.K. Novel self-nanoemulsifying drug delivery systems (SNEDDS) for oral delivery of cinnarizine: Design, optimization, and in-vitro assessment. AAPS PharmSciTech 2012, 13, 967–977. [Google Scholar] [CrossRef]
- Seaman, J.S.; Bowers, S.P.; Dixon, P.; Schindler, L. Dissolution of Common Psychiatric Medications in a Roux-en-Y Gastric Bypass Model. Psychosomatics 2005, 46, 250–253. [Google Scholar] [CrossRef]
- Yska, J.P.; Punter, R.J.; Woerdenbag, H.J.; Emous, M.; Frijlink, H.W.; Wilffert, B.; Van Roon, E.N. A gastrointestinal simulation system for dissolution of oral solid dosage forms before and after Roux-en-Y gastric bypass. Eur. J. Hosp. Pharm. 2019, 26, 152–156. [Google Scholar] [CrossRef]
- Shahba, A.A.W.; Mohsin, K.; Alanazi, F.K.; Abdel-Rahman, S.I. Optimization of self-nanoemulsifying formulations for weakly basic lipophilic drugs: Role of acidification and experimental design. Braz. J. Pharm. Sci. 2016, 52, 653–668. [Google Scholar] [CrossRef][Green Version]
- Shahba, A.A.W.; Ahmed, A.R.; Mohsin, K.; Abdel-Rahman, S.I.; Alanazi, F.K. Solidification of cinnarizine self-nanoemulsifying drug delivery systems by fluid bed coating: Optimization of the process and formulation variables. Pharmazie 2017, 72, 143–151. [Google Scholar] [CrossRef]
- Shahba, A.A.W.; Ahmed, A.R.; Alanazi, F.K.; Mohsin, K.; Abdel-Rahman, S.I. Multi-Layer Self-Nanoemulsifying Pellets: An Innovative Drug Delivery System for the Poorly Water-Soluble Drug Cinnarizine. AAPS PharmSciTech 2018, 19, 2087–2102. [Google Scholar] [CrossRef]
- Kazi, M.; Shahba, A.A.; Alrashoud, S.; Alwadei, M.; Sherif, A.Y.; Alanazi, F.K. Bioactive self-nanoemulsifying drug delivery systems (Bio-SNEDDS) for combined oral delivery of curcumin and piperine. Molecules 2020, 25, 1703. [Google Scholar] [CrossRef]
- Abdel-Hamid, M.; Shahba, A.; Mohsin, K.; Alanazi, F. Ultra performance liquid chromatography assay for cinnarizine in lipid-based formulations. Asian J. Chem. 2012, 24, 595–600. [Google Scholar]
- Shah, R.B.; Tawakkul, M.A.; Khan, M.A. Comparative evaluation of flow for pharmaceutical powders and granules. AAPS PharmSciTech 2008, 9, 250–258. [Google Scholar] [CrossRef] [PubMed]
- Geldart, D.; Abdullah, E.C.; Hassanpour, A.; Nwoke, L.C.; Wouters, I. Characterization of powder flowability using measurement of angle of repose. China Particuology 2006, 4, 104–107. [Google Scholar] [CrossRef]
- Beakawi Al-Hashemi, H.M.; Baghabra Al-Amoudi, O.S. A review on the angle of repose of granular materials. Powder Technol. 2018, 330, 397–417. [Google Scholar] [CrossRef]
- Badran, M.M.; Mady, M.M.; Ghannam, M.M.; Shakeel, F. Preparation and characterization of polymeric nanoparticles surface modified with chitosan for target treatment of colorectal cancer. Int. J. Biol. Macromol. 2017, 95, 643–649. [Google Scholar] [CrossRef] [PubMed]
- Alshadidi, A.; Shahba, A.A.W.; Sales, I.; Rashid, M.A.; Kazi, M. Combined curcumin and lansoprazole-loaded bioactive solid self-nanoemulsifying drug delivery systems (Bio-ssnedds). Pharmaceutics 2022, 14, 1–22. [Google Scholar] [CrossRef]
- Galia, E.; Nicolaides, D.; Horter, R.; Lodenberg, C.; Reppas, J.B.D. Galia1997_Evaluation of various media for dissolution testing.pdf. Pharm. Res. 1998, 15, 698–705. [Google Scholar] [CrossRef]
- Mohsin, K. Design of lipid-based formulations for oral administration of poorly water-soluble drug fenofibrate: Effects of digestion. AAPS PharmSciTech 2012, 13, 637–646. [Google Scholar] [CrossRef]
- The United States Pharmacopeial Convention <1174> Powder Flow. US Pharm. 2012, 35, 801–804.
- Abouelatta, S.M.; Aboelwafa, A.A.; Khalil, R.M.; Elgazayerly, O.N. Floating lipid beads for the improvement of bioavailability of poorly soluble basic drugs: In-vitro optimization and in-vivo performance in humans. Eur. J. Pharm. Biopharm. 2015, 89, 82–92. [Google Scholar] [CrossRef]
- Gumaste, S.G.; Serajuddin, A.T.M. Development of solid SEDDS, VII: Effect of pore size of silica on drug release from adsorbed self-emulsifying lipid-based formulations. Eur. J. Pharm. Sci. 2017, 110, 134–147. [Google Scholar] [CrossRef]
- Baloch, J.; Sohail, M.F.; Sarwar, H.S.; Kiani, M.H.; Khan, G.M.; Jahan, S.; Rafay, M.; Chaudhry, M.T.; Yasinzai, M.; Shahnaz, G. Self-Nanoemulsifying Drug Delivery System (SNEDDS) for Improved Oral Bioavailability of Chlorpromazine: In Vitro and In Vivo Evaluation. Medicina 2019, 55, 2. [Google Scholar] [CrossRef]
- Rutkowski, S.; Si, T.; Gai, M.; Sun, M.; Frueh, J.; He, Q. Magnetically-guided hydrogel capsule motors produced via ultrasound assisted hydrodynamic electrospray ionization jetting. J. Colloid. Interface Sci. 2019, 541, 407–417. [Google Scholar] [CrossRef]
- Sukhorukov, G.B.; Donath, E.; Lichtenfeld, H.; Knippel, E.; Knippel, M.; Budde, A.; Möhwald, H. Layer-by-layer self assembly of polyelectrolytes on colloidal particles. Colloids Surfaces A Physicochem. Eng. Asp. 1998, 137, 253–266. [Google Scholar] [CrossRef]
- Byrn, S.R.; Xu, W.; Newman, A.W. Chemical reactivity in solid-state pharmaceuticals: Formulation implications. Adv. Drug Deliv. Rev. 2001, 48, 115–136. [Google Scholar] [CrossRef]
- Shahba, A.A.; Mohsin, K.; Alanazi, F.K. The studies of phase equilibria and efficiency assessment for self-emulsifying lipid-based formulations. AAPS PharmSciTech 2012, 13, 522–533. [Google Scholar] [CrossRef][Green Version]
- Tokumura, T.; Tsushima, Y.; Tatsuishi, K.; Kayano, M.; Machida, Y.; Nagai, T. Enhancement of the oral bioavailability of cinnarizine in oleic acid in beagle dogs. J. Pharm. Sci. 1987, 76, 286–288. [Google Scholar] [CrossRef]
- Dalal, L.; Allaf, A.W.; El-Zein, H. Formulation and in vitro evaluation of self-nanoemulsifying liquisolid tablets of furosemide. Sci. Rep. 2021, 11, 1315. [Google Scholar] [CrossRef]
- Hentzschel, C.M.; Sakmann, A.; Leopold, C.S. Suitability of various excipients as carrier and coating materials for liquisolid compacts. Drug Dev. Ind. Pharm. 2011, 37, 1200–1207. [Google Scholar] [CrossRef]
- Shahba, A.A.W.; Sherif, A.Y.; Elzayat, E.M.; Kazi, M. Combined Ramipril and Black Seed Oil Dosage Forms Using Bioactive Self-Nanoemulsifying Drug Delivery Systems (BIO-SNEDDSs). Pharmaceuticals 2022, 15, 1120. [Google Scholar] [CrossRef]















| Excipients * | Formulations | ||||
|---|---|---|---|---|---|
| Drug-Loaded L- SNEDDS | Uncured S-SNEDDS | 10% Cured S-SNEDDS | 20% Cured S-SNEDDS | 30% Cured S-SNEDDS | |
| CN | 8 | 4 | 4 | 4 | 4 |
| Oleic acid | 23 | 11.5 | 11.5 | 11.5 | 11.5 |
| Imwitor I308 | 23 | 11.5 | 11.5 | 11.5 | 11.5 |
| Kolliphor El | 46 | 23 | 23 | 23 | 23 |
| Syloid | - | 50 | 45 | 40 | 35 |
| PVP-K30 | - | - | 5 | 10 | 15 |
| SUM | 100 | 100 | 100 | 100 | 100 |
| Formulation | Test Attributes | Angle of Repose | Bulk Density | Tapped Density | Compressibility Index | Hausner Ratio |
|---|---|---|---|---|---|---|
| Pure SYL | Value | 37.2 ± 0.1 | 0.27 ± 0.01 | 0.23 ± 0.01 | 9.09 ± 0.37 | 1.10 ± 0.01 |
| Flow property * | Fair | - | - | Excellent | Excellent | |
| Cured SYL (10%PVP) | Value | 41 ± 0.1 | 0.19 ± 0.01 | 0.23 ± 0.01 | 18.75 ± 0.37 | 1.23 ± 0.01 |
| Flow property * | passable | - | - | Fair | Fair | |
| Cured SYL (20%PVP) | Value | 41.6 ± 0.1 | 0.19 ± 0.01 | 0.25 ± 0.01 | 18.75 ± 0.37 | 1.33 ± 0.01 |
| Flow property * | passable | - | - | passable | passable | |
| Cured SYL (30%PVP) | Value | 46.6 ± 0.1 | 0.20 ± 0.01 | 0.27 ± 0.01 | 26.67 ± 0.37 | 1.36 ± 0.01 |
| Flow property * | poor | - | - | poor | poor | |
| Cured S-SNEDDS (10% PVP) | Value | 39.9 ± 0.1 | 0.38 ± 0.01 | 0.43 ± 0.01 | 12.50 ± 0.37 | 1.14 ± 0.01 |
| Flow property * | Fair | - | - | Good | Good | |
| Cured S-SNEDDS (20% PVP) | Value | 43.3 ± 0.1 | 0.38 ± 0.01 | 0.43 ± 0.01 | 12.50 ± 0.37 | 1.14 ± 0.01 |
| Flow property * | passable | - | - | Good | Good | |
| Cured S-SNEDDS (30% PVP) | Value | 44.5 ± 0.1 | 0.27 ± 0.01 | 0.33 ± 0.01 | 18.18 ± 0.37 | 1.22 ± 0.01 |
| Flow property * | passable | - | - | Fair | Fair |
| Sample | Total Surface Area (m²/g) * | Pore Volume (cm3/g) ** | Average Pore Size (Å) *** |
|---|---|---|---|
| Pure SYL (uncured) | 309.5 | 1.83 | 239.5 |
| Cured SYL (10% PVP) | 271.4 | 1.51 | 226.3 |
| Cured SYL (20% PVP) | 266.6 | 1.44 | 219.5 |
| Cured SYL (30% PVP) | 236.9 | 1.15 | 205.3 |
Disclaimer/Publisher’s Note: The statements, opinions and data contained in all publications are solely those of the individual author(s) and contributor(s) and not of MDPI and/or the editor(s). MDPI and/or the editor(s) disclaim responsibility for any injury to people or property resulting from any ideas, methods, instructions or products referred to in the content. |
© 2022 by the authors. Licensee MDPI, Basel, Switzerland. This article is an open access article distributed under the terms and conditions of the Creative Commons Attribution (CC BY) license (https://creativecommons.org/licenses/by/4.0/).
Share and Cite
Tashish, A.Y.; Shahba, A.A.-W.; Alanazi, F.K.; Kazi, M. Adsorbent Precoating by Lyophilization: A Novel Green Solvent Technique to Enhance Cinnarizine Release from Solid Self-Nanoemulsifying Drug Delivery Systems (S-SNEDDS). Pharmaceutics 2023, 15, 134. https://doi.org/10.3390/pharmaceutics15010134
Tashish AY, Shahba AA-W, Alanazi FK, Kazi M. Adsorbent Precoating by Lyophilization: A Novel Green Solvent Technique to Enhance Cinnarizine Release from Solid Self-Nanoemulsifying Drug Delivery Systems (S-SNEDDS). Pharmaceutics. 2023; 15(1):134. https://doi.org/10.3390/pharmaceutics15010134
Chicago/Turabian StyleTashish, Ahmad Yousef, Ahmad Abdul-Wahhab Shahba, Fars Kaed Alanazi, and Mohsin Kazi. 2023. "Adsorbent Precoating by Lyophilization: A Novel Green Solvent Technique to Enhance Cinnarizine Release from Solid Self-Nanoemulsifying Drug Delivery Systems (S-SNEDDS)" Pharmaceutics 15, no. 1: 134. https://doi.org/10.3390/pharmaceutics15010134
APA StyleTashish, A. Y., Shahba, A. A.-W., Alanazi, F. K., & Kazi, M. (2023). Adsorbent Precoating by Lyophilization: A Novel Green Solvent Technique to Enhance Cinnarizine Release from Solid Self-Nanoemulsifying Drug Delivery Systems (S-SNEDDS). Pharmaceutics, 15(1), 134. https://doi.org/10.3390/pharmaceutics15010134

