Development and Evaluation of Cannabidiol Orodispersible Tablets Using a 23-Factorial Design
Abstract
:1. Introduction
- do not necessitate chewing;
- disintegration takes place directly in the mouth;
- pleasant taste;
- increased stability compared to solutions, emulsions, and suspensions;
- can be manufactured as controlled released pharmaceutical formulations;
- high amounts of Active Pharmaceutical Ingredient (API) can be used;
- ability to confer the advantages of a liquid formulation in a solid form;
- the API has to be compatible with the used excipients;
- the ODT has to be easy to handle;
- the palatability properties have to be taken into consideration;
- after oral administration no waste or small waste should be found in the oral cavity;
- the API should not be influenced by the temperature and humidity conditions and their variation [30];
- the ability to trespass the buccal mucosa;
- partly unionized at the buccal cavity pH;
- the capacity of passing through the gastrointestinal epithelium;
- a long half-life—in this case, CBD has a half-life of 24 h;
2. Materials and Methods
2.1. Powder Characterization
2.2. Experimental Design Optimization
2.3. CBD ODT Manufacturing Steps
2.4. Evaluation of the Dimensional Parameters Belonging to the CBD ODTs Developed
2.5. Evaluation of the Dependent Parameter
2.5.1. Friability
2.5.2. Crushing Strength
2.5.3. Disintegration Time
2.5.4. In Vitro Dissolution Test
2.6. Development and Validation of a UHPLC Method for the Quantification of the Released CBD
2.6.1. Reagents
2.6.2. Instruments
2.6.3. Stock Solution and Quality Control Samples
2.6.4. Validation Criteria
3. Results and Discussion
3.1. Powder Evaluation
3.2. Evaluation of the Qualitative and Quantitative Dimensional Parameters Belonging to the CBD ODTs
3.2.1. Uniformity of Mass
3.2.2. CBD-ODTs Average Radius, Diameter, and Thickness
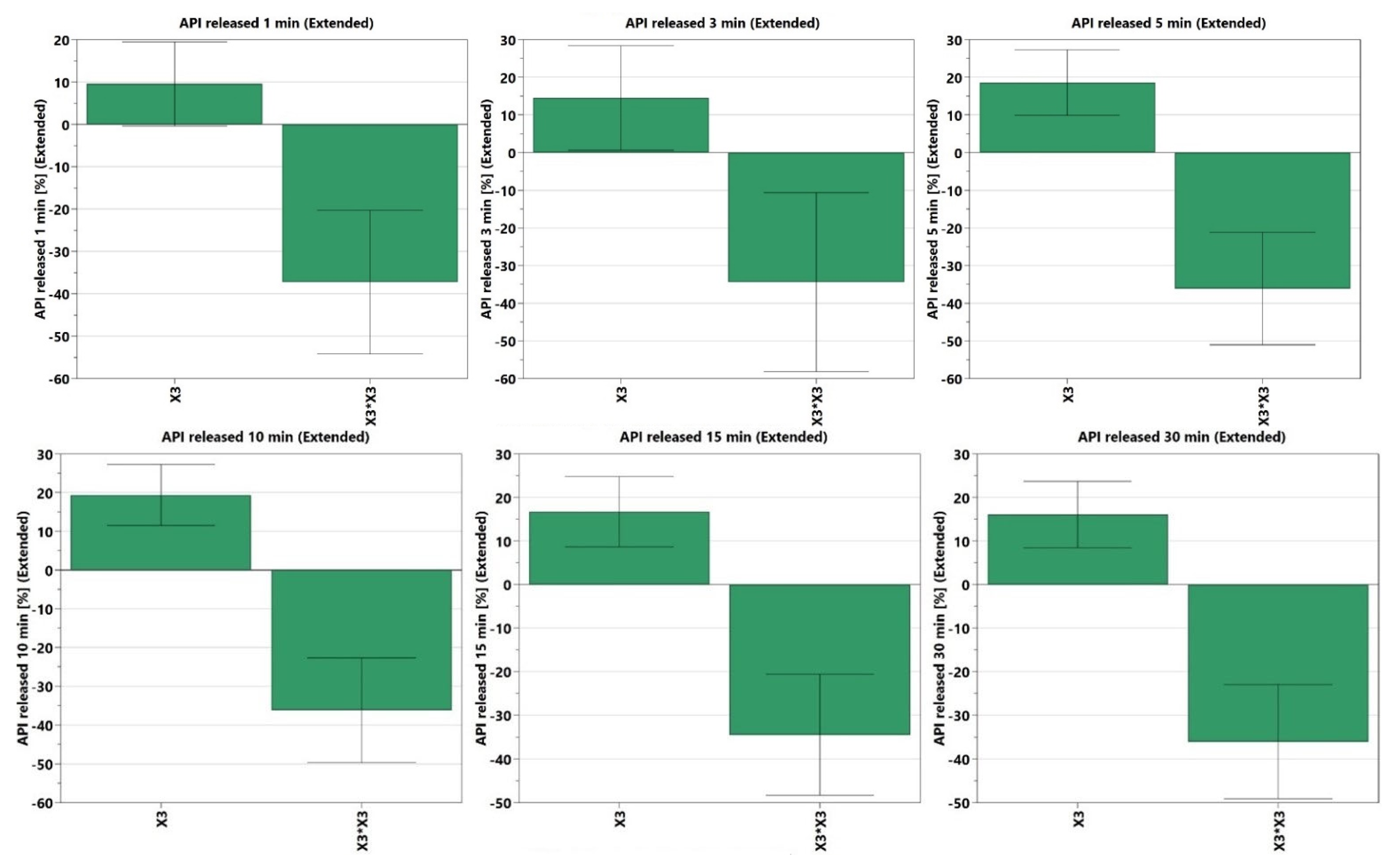
3.3. Developing CBD ODTs—23 Full Factorial Design
3.4. Development and Validation of a UHPLC Method for the Quantification of the Released CBD
3.5. CBD ODT Optimization
- Pharmaceutical formulation: orodispersible tablets;
- Administration route: oral;
- API amount: 10 mg CBD;
- Packaging: PVC blister;
- Presentation: white tablet, with intact, fine margins with a diameter of 9 mm;
- API identification: CBD;
- Dissolution: more than 80% at 30 min [31].
- Friability < 1%;
- Good crushing strength;
- Minimum disintegration time;
- Target amount of CBD is 100% released by 30 min.
4. Conclusions
Supplementary Materials
Author Contributions
Funding
Institutional Review Board Statement
Informed Consent Statement
Data Availability Statement
Acknowledgments
Conflicts of Interest
Abbreviations
| ODT | Orodispersible Tablet |
| CBD | Cannabidiol |
| PODTG2 | Prosolv® ODT G2 |
| PETsp | Prosolv® EasyTab sp |
| CCS | Vivasol® Sodium Croscarmellose |
| EMCS | Emcosoy® STS IP |
| Ph. Eur. | European Pharmacopeia |
| FDA | Food and Drug Administration |
| EMA | European Medical Agency |
| THC | Tetrahydrocannabinol |
| API | Active Pharmaceutical Ingredient |
| QbD | Quality by design |
| OFAT | One factor at a time |
| DoE | Design of Experiments |
| SRB | Sorbitol |
| MNT | Mannitol |
| PLX407 | Poloxamer 407 |
| BFL | Banana flavor |
| ICH | International Committee of Harmonization |
| UHPLC | Ultra-High-Pressure Chromatography |
| UV-VIS | Ultraviolet-Visible |
| ACN | Acetonitrile |
| SD | Standard Deviation |
| USP | United States Pharmacopeia |
| ANOVA | Analysis of Variance |
| R2 | Coefficient of determination |
| R2 adj. | The adjusted coefficient of determination |
| Q2 | Variation of the response |
| SDY | The standard deviation of the Y |
| RSD | Residual Standard Deviation |
| N | Number of experiments |
| LLOQ | The lowest limit of quantification |
| IQCS | Intermediate quality control standard |
| ULOQ | The upper limit of quantification |
References
- de Freitas Neto, J.L.; do Nascimento Gomes Barbosa, I.; de Melo, C.G.; Ângelos, M.A.; Dos Santos Mendes, L.M.; Ferreira, M.R.A.; Rolim, L.A.; Soares, L.A.L.; da Silva, R.M.F.; Neto, P.J.R. Development of Pediatric Orodispersible Tablets Based on Efavirenz as a New Therapeutic Alternative. Curr. HIV Res. 2020, 18, 342–353. [Google Scholar] [CrossRef] [PubMed]
- Desai, N.; Redfearn, A.; MacLeod, G.; Tuleu, C.; Hanson, B.; Orlu, M. How Do Orodispersible Tablets Behave in an In Vitro Oral Cavity Model: A Pilot Study. Pharmaceutics 2020, 12, 651. [Google Scholar] [CrossRef]
- Council of Europ. European Pharmacopoeia, 10th ed.; Council of Europ: Strasbourg, France, 2021. [Google Scholar]
- Slavkova, M.; Breitkreutz, J. Orodispersible drug formulations for children and elderly. Eur. J. Pharm. Sci. 2015, 75, 2–9. [Google Scholar] [CrossRef]
- van Riet-Nales, D.A.; Schobben, A.F.; Vromans, H.; Egberts, T.C.; Rademaker, C.M. Safe and effective pharmacotherapy in infants and preschool children: Importance of formulation aspects. Arch. Dis. Child. 2016, 101, 662–669. [Google Scholar] [CrossRef] [PubMed]
- Hannan, P.A.; Khan, J.A.; Khan, A.; Safiullah, S. Oral Dispersible System: A New Approach in Drug Delivery System. Indian J. Pharm. Sci. 2016, 78, 2–7. [Google Scholar] [CrossRef] [PubMed] [Green Version]
- Delompré, T.; Lenoir, L.; Martin, C.; Briand, L.; Salles, C. Characterizing the Dynamic Taste and Retro-Nasal Aroma Properties of Oral Nutritional Supplements Using Temporal Dominance of Sensation and Temporal Check-All-That-Apply Methods. Foods 2020, 9, 1456. [Google Scholar] [CrossRef] [PubMed]
- Mehanna, M.M.; Mneimneh, A.T.; Domiati, S.; Allam, A.N. Tadalafil-Loaded Limonene-Based Orodispersible Tablets: Formulation, in vitro Characterization and in vivo Appraisal of Gastroprotective Activity. Int. J. Nanomed. 2020, 15, 10099–10112. [Google Scholar] [CrossRef]
- Muñoz, H.; García, S.; Ruiz, A. Contribution to determining the antioxidant capacity of melatonin in orodispersible tablets-comparison with reference antioxidants. Arch. Med. Sci. 2020, 16, 871–877. [Google Scholar] [CrossRef]
- Thabet, Y.; Klingmann, V.; Breitkreutz, J. Drug Formulations: Standards and Novel Strategies for Drug Administration in Pediatrics. J. Clin. Pharmacol. 2018, 58, S26–S35. [Google Scholar] [CrossRef] [Green Version]
- Papadopoulos, N.G.; Zuberbier, T. The safety and tolerability profile of bilastine for chronic urticaria in children. Clin. Transl. Allergy 2019, 23, 55. [Google Scholar] [CrossRef] [Green Version]
- Badgujar, B.P.; Mundada, A.S. The technologies used for developing orally disintegrating tablets: A review. Acta Pharm. 2011, 61, 117–139. [Google Scholar] [CrossRef] [PubMed]
- Ondo, W.G.; Hunter, C.; Isaacson, S.H.; Silver, D.E.; Stewart, R.M.; Tetrud, J.W.; Davidson, A. Tolerability and efficacy of switching from oral selegiline to Zydis selegiline in patients with Parkinson’s disease. Parkinsonism Relat. Disord. 2011, 17, 117–118. [Google Scholar] [CrossRef] [PubMed]
- Shukla, D.; Chakraborty, S.; Singh, S.; Mishra, B. Mouth Dissolving Tablets I: An Overview of Formulation Technology. Sci Pharm 2009, 77, 309–326. [Google Scholar] [CrossRef] [Green Version]
- Chinwala, M. Recent Formulation Advances and Therapeutic Usefulness of Orally Disintegrating Tablets (ODTs). Pharmacy 2020, 8, 186. [Google Scholar] [CrossRef]
- MacCallum, C.A.; Russo, E.B. Practical considerations in medical cannabis administration and dosing. Eur. J. Intern. Me 2018, 49, 12–19. [Google Scholar] [CrossRef]
- Huestis, M.A.; Solimini, R.; Pichini, S.; Pacifici, R.; Carlier, J.; Busardò, F.P. Cannabidiol Adverse Effects and Toxicity. Curr. Neuropharmacol. 2019, 17, 974–989. [Google Scholar] [CrossRef]
- Lucas, C.J.; Galettis, P.; Schneider, J. The pharmacokinetics and the pharmacodynamics of cannabinoids. Br. J. Clin. Pharmacol. 2018, 84, 2477–2482. [Google Scholar] [CrossRef] [Green Version]
- Arzimanoglou, A.; Brandl, U.; Cross, J.H.; Gil-Nagel, A.; Lagae, L.; Landmark, C.J.; Specchio, N.; Nabbout, R.; Thiele, E.A.; Gubbay, O. The Cannabinoids International Experts Panel; Collaborators. Epilepsy and cannabidiol: A guide to treatment. Epileptic. Disord. 2020, 22, 1–14. [Google Scholar] [CrossRef]
- García-Gutiérrez, M.S.; Navarrete, F.; Gasparyan, A.; Austrich-Olivares, A.; Sala, F.; Manzanares, J. Cannabidiol: A Potential New Alternative for the Treatment of Anxiety, Depression, and Psychotic Disorders. Biomolecules 2020, 10, 1575. [Google Scholar] [CrossRef]
- Shannon, S.; Lewis, N.; Lee, H.; Hughes, S. Cannabidiol in Anxiety and Sleep: A Large Case Series. Perm. J. 2019, 23, 18–41. [Google Scholar] [CrossRef] [Green Version]
- Amin, M.R.; Ali, D.W. Pharmacology of Medical Cannabis. Adv. Exp. Med. Biol. 2019, 1162, 151–165. [Google Scholar] [CrossRef]
- VanDolah, H.J.; Bauer, B.A.; Mauck, K.F. Clinicians’ Guide to Cannabidiol and Hemp Oils. Mayo. Clin. Proc. 2019, 94, 1840–1851. [Google Scholar] [CrossRef] [PubMed] [Green Version]
- Vlad, R.A.; Hancu, G.; Ciurba, A.; Antonoaea, P.; Rédai, E.M.; Todoran, N.; Silasi, O.; Muntean, D.L. Cannabidiol-therapeutic and legal aspects. Pharmazie 2020, 75, 463–469. [Google Scholar] [PubMed]
- Giacoppo, S.; Bramanti, P.; Mazzon, E. Sativex in the management of multiple sclerosis-related spasticity: An overview of the last decade of clinical evaluation. Mult. Scler. Relat. Disord. 2017, 17, 22–31. [Google Scholar] [CrossRef] [PubMed]
- Meissner, H.; Cascella, M. Cannabidiol (CBD). In StatPearls [Internet]. Treasure Island (FL); StatPearls Publishing: Las Vegas, NV, USA, 2021. [Google Scholar]
- Gaston, T.E.; Szaflarski, J.P. Cannabis for the Treatment of Epilepsy: An Update. Curr. Neurol. Neurosci. Rep. 2018, 8, 73. [Google Scholar] [CrossRef]
- Devinsky, O.; Patel, A.D.; Thiele, E.A.; Wong, M.H.; Appleton, R.; Harden, C.L.; Greenwood, S.; Morrison, G.; Sommerville, K. GWPCARE1 Part A Study Group. Randomized, dose-ranging safety trial of cannabidiol in Dravet syndrome. Neurology 2018, 90, e1204–e1211. [Google Scholar] [CrossRef] [Green Version]
- Fiani, B.; Sarhadi, K.J.; Soula, M.; Zafar, A.; Quadri, S.A. Current application of cannabidiol (CBD) in the management and treatment of neurological disorders. Neurol. Sci. 2020, 41, 3085–3098. [Google Scholar] [CrossRef]
- Paudel, K.S.; Hammell, D.C.; Agu, R.U.; Valiveti, S.; Stinchcomb, A.L. Cannabidiol bioavailability after nasal and transdermal application: Effect of permeation enhancers. Drug Dev. Ind. Pharm. 2010, 36, 1088–1097. [Google Scholar] [CrossRef]
- United States Pharmacopeial Convention Committee of Revision (Ed.) United States Pharmacopeia-National Formulary, 44th ed; United States Pharmacopeial Convention: North Bethesda, MD, USA, 2021. [Google Scholar]
- Zimmer, Ł.; Kasperekm, R.; Poleszak, E. Zastosowanie β-cyklodekstryn w formulacji tabletek ODT zawierających ibuprofen [Application of β-cyclodextrin in the formulation of ODT tablets containing ibuprofen]. Polim. Med. 2014, 44, 231–235. [Google Scholar]
- World Health Organization. The International Pharmacopoeia. Geneva:World Health Organization, Dept. of Essential Medicines and Pharmaceutical Policies; World Health Organization: Geneva, Switzerland, 2008. [Google Scholar]
- Kim, J.Y.; Chun, M.H.; Choi, D.H. Control Strategy for Process Development of High-Shear Wet Granulation and Roller Compaction to Prepare a Combination Drug Using Integrated Quality by Design. Pharmaceutics 2021, 13, 80. [Google Scholar] [CrossRef]
- Chun, M.-H.; Kim, J.Y.; Park, E.-S.; Choi, D.H. Development of a Robust Control Strategy for Fixed-Dose Combination Bilayer Tablets with Integrated Quality by Design, Statistical, and Process Analytical Technology Approach. Pharmaceutics 2021, 13, 1443. [Google Scholar] [CrossRef] [PubMed]
- Barbălată, C.I.; Porfire, A.S.; Sesarman, A.; Rauca, V.-F.; Banciu, M.; Muntean, D.; Știufiuc, R.; Moldovan, A.; Moldovan, C.; Tomuță, I. A Screening Study for the Development of Simvastatin-Doxorubicin Liposomes, a Co-Formulation with Future Perspectives in Colon Cancer Therapy. Pharmaceutics 2021, 13, 1526. [Google Scholar] [CrossRef] [PubMed]
- Vlad, R.-A.; Antonoaea, P.; Todoran, N.; Muntean, D.-L.; Redai, E.-M.; Silași, O.-A.; Tătaru, A.; Bîrsan, M.; Imre, S.; Ciurba, A. Pharmacotechnical and analytical preformulation studies for cannabidiol orodispersible tablets. SPJ 2021, 29, 1029–1042. [Google Scholar] [CrossRef] [PubMed]
- Aodah, A.H.; Fayed, M.H.; Alalaiwe, A.; Alsulays, B.B.; Aldawsari, M.F.; Khafagy, E.-S. Design, Optimization, and Correlation of In Vitro/In Vivo Disintegration of Novel Fast Orally Disintegrating Tablet of High Dose Metformin Hydrochloride Using Moisture Activated Dry Granulation Process and Quality by Design Approach. Pharmaceutics 2020, 12, 598. [Google Scholar] [CrossRef]
- ICH Harmonized Tripartite Guideline: Pharmaceutical Development, Q8 (R2). Available online: www.ich.org/fileadmin/Public_Web_Site/ICH_Products/Guidelines/Quality/Q8_R1/Step4/Q8_R2_Guideline.pdf (accessed on 6 June 2022).
- Politis, S.N.; Colombo, P.; Colombo, G.; Rekkas, D.M. Design of experiments (DoE) in pharmaceutical development. Drug Dev. Ind. Pharm. 2017, 43, 889–901. [Google Scholar]
- Muntean, A.C.; Negoi, O.I.; Rus, L.L.; Vonica, A.L.; Tomuță, I. Formulation of orodispersible tablets containing paracetamol and their in vitro characterization-a QbD approach. Farmacia 2020, 68, 436–446. [Google Scholar] [CrossRef]
- Brniak, W.; Maślak, E.; Jachowicz, R. Orodispersible films and tablets with prednisolone microparticles. Eur. J. Pharm. Sci. 2015, 75, 81–90. [Google Scholar] [CrossRef]
- Petrovick, G.F.; Kleinebudde, P.; Breitkreutz, J. Orodispersible tablets containing taste-masked solid lipid pellets with metformin hydrochloride: Influence of process parameters on tablet properties. Eur. J. Pharm. Biopharm. 2018, 122, 137–145. [Google Scholar] [CrossRef]
- Pabari, R.M.; Ramtoola, Z. Application of face centered central composite design to optimise compression force and tablet diameter for the formulation of mechanically strong and fast disintegrating orodispersible tablets. Int. J. Pharm. 2012, 430, 18–25. [Google Scholar] [CrossRef]
- Zidan, A.S.; Aljaeid, B.M.; Mokhtar, M.; Shehata, T.M. Taste-masked orodispersible tablets of cyclosporine self-nanoemulsion lyophilized with dry silica. Pharm. Dev. Technol. 2015, 20, 652–661. [Google Scholar] [CrossRef]
- Kambayashi, A.; Sako, K.; Kondo, H. Characterization of the buccal and gastric transit of orally disintegrating tablets in humans using gamma scintigraphy. Int. J. Pharm. 2020, 576, 118937. [Google Scholar] [CrossRef] [PubMed]
- Casian, T.; Bogdan, C.; Tarta, D.; Moldovan, M.; Tomuta, I.; Iurian, S. Assessment of oral formulation-dependent characteristics of orodispersible tablets using texture profiles and multivariate data analysis. J. Pharm. Biomed. Anal. 2018, 152, 47–56. [Google Scholar] [CrossRef] [PubMed]
- Jannini, E.A.; Droupy, S. Needs and Expectations of Patients with Erectile Dysfunction: An Update on Pharmacological Innovations in Phosphodiesterase Type 5 Inhibition with Focus on Sildenafil. Sex. Med. 2019, 7, 1–10. [Google Scholar] [CrossRef] [PubMed] [Green Version]
- Aboelwafa, A.A.; Fahmy, R.H. A pilot human pharmacokinetic study and influence of formulation factors on orodispersible tablet incorporating meloxicam solid dispersion using factorial design. Pharm. Dev. Technol. 2012, 17, 1–14. [Google Scholar] [CrossRef]
- Kasliwal, N.; Negi, J.S.; Jugran, V.; Jain, R. Formulation, development, and performance evaluation of metoclopramide HCl oro-dispersible sustained release tablet. Arch. Pharm. Res. 2011, 34, 1691–1700. [Google Scholar] [CrossRef]
- Silva, B.M.A.; Vicente, S.; Cunha, S.; Coelho, J.F.J.; Silva, C.; Reis, M.S.; Simoes, S. Retrospective Quality by Design (rQbD) applied to the optimization of orodispersible films. Int. J. Pharm. 2017, 528, 655–663. [Google Scholar]
- Elkhodairy, K.A.; Hassan, M.A.; Afifi, S.A. Formulation and optimization of orodispersible tablets of flutamide. Saudi. Pharm. J. 2014, 22, 53–61. [Google Scholar] [CrossRef]
- Abed, K.K.; Hussein, A.A.; Ghareeb, M.M.; Abdulrasool, A.A. Formulation and optimization of orodispersible tablets of diazepam. AAPS Pharm. Sci. Tech. 2010, 11, 356–361. [Google Scholar] [CrossRef] [Green Version]
- Marzouk, M.A.; Osman, D.A.; Mohamed, O.S. In vitro and in vivo evaluation of taste-masked orodispersible tablets of fluoxetine hydrochloride for the treatment of depression. Drug Dev. Ind. Pharm. 2021, 47, 645–653. [Google Scholar] [CrossRef]
- Belayneh, A.; Molla, F.; Kahsay, G. Formulation and Optimization of Monolithic Fixed-Dose Combination of Metformin HCl and Glibenclamide Orodispersible Tablets. Adv. Pharmacol. Pharm. Sci. 2020, 2020, 3546597. [Google Scholar] [CrossRef] [Green Version]
- Ravula, A.; Chandasana, H.; Setlow, B.; Febo, M.; Bruijnzeel, A.W.; Derendorf, H. Simultaneous quantification of cannabinoids tetrahydrocannabinol, cannabidiol and CB1 receptor antagonist in rat plasma: An application to characterize pharmacokinetics after passive cannabis smoke inhalation and co-administration of rimonabant. J. Pharm. Biomed. Anal. 2018, 160, 119–125. [Google Scholar] [CrossRef] [PubMed]
- Zgair, A.; Wong, J.C.; Sabri, A.; Fischer, P.M.; Barrett, D.A.; Constantinescu, C.S.; Gershkovich, P. Development of a simple and sensitive HPLC–UV method for the simultaneous determination of cannabidiol and Λ9-tetrahydrocannabinol in rat plasma. J. Pharm. Biomed. Anal. 2015, 114, 145–151. [Google Scholar] [PubMed]
- Mandrioli, M.; Tura, M.; Scotti, S.; Gallina Toschi, T. Fast Detection of 10 Cannabinoids by RP-HPLC-UV Method in Cannabis sativa L. Molecules 2019, 24, 2113. [Google Scholar] [CrossRef] [PubMed] [Green Version]
- Grafinger, K.E.; Krönert, S.; Broillet, A.; Weinmann, W. Cannabidiol and tetrahydrocannabinol concentrations in commercially available CBD E-liquids in Switzerland. Forensic. Sci. Int. 2020, 310, 110261. [Google Scholar] [CrossRef]
- Devinsky, O.; Patel, A.D.; Cross, J.H.; Villanueva, V.; Wirrell, E.C.; Privitera, M.; Greenwood, S.M.; Roberts, C.; Checketts, D.; VanLandingham, K.E.; et al. GWPCARE3 Study Group. Effect of Cannabidiol on Drop Seizures in the Lennox-Gastaut Syndrome. N. Engl. J. Med. 2018, 378, 1888–1897. [Google Scholar] [CrossRef] [Green Version]
- Vlad, R.A.; Trifan, E.B.; Antonoaea, P.; Redai, E.M.; Kovacs, B.; Todoran, N.; Tătaru, A.; Ciurba, A. Developing and evaluation of orodispersible tablets containing caffeine. Rom. J. Pharm. Pract. 2021, 14, 34–40. [Google Scholar] [CrossRef]






| Components | Formulation Code | ||||||||||
|---|---|---|---|---|---|---|---|---|---|---|---|
| O1 | O2 | O3 | O4 | O5 | O6 | O7 | O8 | O9 | O10 | O11 | |
| CBD 1 | 10 | 10 | 10 | 10 | 10 | 10 | 10 | 10 | 10 | 10 | 10 |
| PETsp 2 | - | 168.44 | - | 168.44 | 148.44 | - | 148.44 | - | - | ||
| PODTG2 3 | 168.44 | - | 168.44 | - | 148.44 | - | 148.44 | - | 158.44 | 158.44 | 158.44 |
| CCS 4 | - | - | 7.5 | 7.5 | - | - | 7.5 | 7.5 | - | - | - |
| EMCS 5 | 7.5 | 7.5 | - | - | 7.5 | 7.5 | - | - | 7.5 | 7.5 | 7.5 |
| SRB 6 | 6.56 | 6.56 | 6.56 | 6.56 | 6.56 | 6.56 | 6.56 | 6.56 | 6.56 | 6.56 | 6.56 |
| MNT 7 | 5 | 5 | 5 | 5 | 5 | 5 | 5 | 5 | 5 | 5 | 5 |
| PLX407 8 | - | - | - | - | 20 | 20 | 20 | 20 | 10 | 10 | 10 |
| BFL 9 | 2.5 | 2.5 | 2.5 | 2.5 | 2.5 | 2.5 | 2.5 | 2.5 | 2.5 | 2.5 | 2.5 |
| Final mass (mg) | 200 | 200 | 200 | 200 | 200 | 200 | 200 | 200 | 200 | 200 | 200 |
| Independent Factors | Level | |||
|---|---|---|---|---|
| Factor 1 Co-processed Excipient Type | X1 | −1 PODTG2 | 0 PODTG2 a | +1 PETsp |
| Factor 2 Superdisintegrant type | X2 | −1 EMCS | 0 EMCS a | +1 CCS |
| Factor 3 PLX407 concentration | X3 | −1 0% | 0 5% | +1 10% |
| Responses | Name | Measuring Unit | Admitted/Targeted Value |
|---|---|---|---|
| Y1 | Friability | % | <1% |
| Y2 | Crushing strength | N | 35–75 N |
| Y3 | Disintegration time | s | <180 s |
| Y4 | CBD released—1 min | % | Maximized |
| Y5 | CBD released—3 min | % | Maximized |
| Y6 | CBD released—5 min | % | Maximized |
| Y7 | CBD released—10 min | % | Maximized |
| Y8 | CBD released—15 min | % | Maximized |
| Y9 | CBD released—30 min | % | 100% |
| Evaluated Parameter | Formulation Code | ||||||||||
|---|---|---|---|---|---|---|---|---|---|---|---|
| O1 | O2 | O3 | O4 | O5 | O6 | O7 | O8 | O9 | O10 | O11 | |
| Code | Average Value ± SD | ||||||||||
| Da | 0.60 ± 0.016 | 0.40 ± 0.009 | 0.63 ± 0.006 | 0.41 ± 0.002 | 0.48 ± 0.009 | 0.36 ± 0.005 | 0.5 ± 0.002 | 0.38 ± 0.012 | 0.51 ± 0.01 | 0.5 ± 0.005 | 0.51 ± 0.021 |
| Dt | 0.74 ± 0.022 | 0.52 ± 0.011 | 0.80 ± 0.013 | 0.65 ± 0.034 | 0.65 ± 0.0017 | 0.51 ± 0.010 | 0.67 ± 0.018 | 0.53 ± 0.011 | 0.69 ± 0.019 | 0.69 ± 0.019 | 0.69 ± 0.019 |
| ε | 0.18 ± 0.041 | 0.24 ± 0.002 | 0.22 ± 0.004 | 0.37 ± 0.029 | 0.24 ± 0.034 | 0.29 ± 0.004 | 0.25 ± 0.051 | 0.27 ± 0.007 | 0.26 ± 0.005 | 0.27 ± 0.013 | 0.26 ± 0.01 |
| CI | 18.18 ± 4.14 | 24 ± 0.22 | 21.87 ± 0.48 | 36.73 ± 2.91 | 24.39 ± 3.49 | 29.09 ± 0.43 | 25 ± 5.11 | 26.92 ± 0.726 | 25.64 ± 0.53 | 27.5 ± 1.3 | 25.64 ± 1.02 |
| HR | 1.22 ± 0.056 | 1.32 ± 0.003 | 1.28 ± 0.007 | 1.58 ± 0.073 | 1.32 ± 0.061 | 1.41 ± 0.008 | 1.33 ± 0.09 | 1.37 ± 0.013 | 1.34 ± 0.009 | 1.37 ± 0.024 | 1.34 ± 0.018 |
| Code | Average Weight ± SD (mg) | Diameter ± SD (mm) | Average Radius (mm) | Thickness ± SD (mm) |
|---|---|---|---|---|
| O1 | 0.2017 ± 0.0059 | 9.060 ± 0.003 | 4.530 | 2.809 ± 0.017 |
| O2 | 0.2021 ± 0.0054 | 9.061 ± 0.002 | 4.531 | 2.921 ± 0.036 |
| O3 | 0.1981 ± 0.0076 | 9.041 ± 0.012 | 4.521 | 2.457 ± 0.054 |
| O4 | 0.1993 ± 0.0046 | 9.059 ± 0.004 | 4.529 | 2.715 ± 0.086 |
| O5 | 0.1993 ± 0.0059 | 9.122 ± 0.004 | 4.561 | 2.565 ± 0.127 |
| O6 | 0.1979 ± 0.0047 | 9.094 ± 0.004 | 4.547 | 2.899 ± 0.005 |
| O7 | 0.2044 ± 0.0049 | 9.080 ± 0.006 | 4.540 | 2.790 ± 0.061 |
| O8 | 0.1970 ± 0.0057 | 9.083 ± 0.010 | 4.542 | 2.458 ± 0.123 |
| O9 | 0.1991 ± 0.0053 | 9.037 ± 0.017 | 4.519 | 2.360 ± 0.061 |
| O10 | 0.1973 ± 0.0066 | 9.032 ± 0.008 | 4.516 | 2.376 ± 0.058 |
| O11 | 0.1993 ± 0.0045 | 9.076 ± 0.012 | 4.538 | 2.374 ± 0.024 |
| Evaluated Parameter | Formulation Code | ||||||||||
|---|---|---|---|---|---|---|---|---|---|---|---|
| Code | O1 | O2 | O3 | O4 | O5 | O6 | O7 | O8 | O9 | O10 | O11 |
| Y1 | 0.65 | 0.29 | 0.35 | 0.252 | 0.24 | 0.71 | 0.49 | 0.62 | 0.51 | 0.30 | 0.46 |
| Y2 | 44.17 ± 8.9 | 67.5 ± 9.2 | 34.67 ± 6.77 | 80.33 ± 11.88 | 19.33 ± 2.56 | 28.5 ± 6.05 | 31.17 ± 7.15 | 28.67 ± 10.08 | 26 ± 8.45 | 43.13 ± 3.48 | 53.13 ± 4.98 |
| Y3 | 21.87 ± 1.86 | 9.6 ± 0.86 | 28.95 ± 5.35 | 8.64 ± 1.74 | 137.52 ± 4.95 | 20.84 ± 4.28 | 41.07 ± 2.38 | 88.08 ± 5.76 | 29.55 ± 3.04 | 13.82 ± 2.26 | 18.21 ± 2.58 |
| Y4 | 4.11 ± 1.12 | 3.21 ± 1.24 | 1.15 ± 0.08 | 4.49 ± 1.01 | 7.03 ± 1.07 | 46.51 ± 1.12 | 37.65 ± 1.22 | 7.17 ± 1.45 | 64.68 ± 1.65 | 67.77 ± 1.78 | 48.92 ± 1.21 |
| Y5 | 14.74 ± 1.43 | 7.59 ± 2.12 | 2.7 ± 0.12 | 7.92 ± 1.56 | 7.41 ± 1.87 | 68.55 ± 1.76 | 61.79 ± 2.11 | 24.68 ± 2.34 | 70.62 ± 2.65 | 76.48 ± 2.46 | 55.19 ± 1.34 |
| Y6 | 18.21 ± 2.43 | 11.35 ± 3.22 | 6.79 ± 2.4 | 12.32 ± 4.1 | 29.09 ± 3.3 | 72.81 ± 2.92 | 62.1 ± 3.11 | 51.45 ± 2.14 | 76.33 ± 2.45 | 82.6 ± 3.12 | 75.90 ± 2.34 |
| Y7 | 27.69 ± 3.21 | 14.71 ± 3.23 | 10.82 ± 2.55 | 14.73 ± 2.76 | 37.64 ± 2.76 | 73.07 ± 3.12 | 65.79 ± 3.14 | 64.90 ± 2.58 | 79.28 ± 3.45 | 84.12 ± 2.67 | 88.35 ± 2.12 |
| Y8 | 44.05 ± 2.65 | 22.93 ± 2.54 | 14.62 ± 2.65 | 20.53 ± 3.54 | 46.7 ± 2.87 | 75.54 ± 4.06 | 62.68 ± 2.45 | 66.74 ± 2.56 | 81.92 ± 2.67 | 87.91 ± 2.78 | 92.14 ± 2.56 |
| Y9 | 48.46 ± 3.4 | 30.16 ± 3.12 | 21.45 ± 3.21 | 29.55 ± 3.3 | 53.05 ± 3.5 | 76.33 ± 3.31 | 63.87 ± 3.21 | 80.16 ± 3.12 | 93.91 ± 3.13 | 92.49 ± 3.43 | 99.88 ± 2.89 |
| Code | R2 Adj | SDY | RSD | N |
|---|---|---|---|---|
| Y1 | 0.48 | 0.17 | 0.12 | 11 |
| Y2 | 0.72 | 18.83 | 9.97 | 11 |
| Y3 | 0.44 | 0.37 | 0.28 | 11 |
| Y4 | 0.74 | 26.66 | 13.57 | 11 |
| Y5 | 0.60 | 30.05 | 19.04 | 11 |
| Y6 | 0.84 | 30.03 | 11.94 | 11 |
| Y7 | 0.81 | 30.26 | 10.79 | 11 |
| Y8 | 0.79 | 27.98 | 11.09 | 11 |
| Y9 | 0.80 | 28.09 | 10.48 | 11 |
| Abbreviation | Mass (mg) |
|---|---|
| CBD | 10 |
| PODTG2 | 155.62 |
| EMCS | 7.5 |
| SRB | 6.56 |
| MNT | 5 |
| PLX407 | 12.82 |
| BFL | 2.5 |
| Final mass | 200 |
| Code | Estimated Values | Experimental Values | Residuals |
|---|---|---|---|
| Y1 | 0.41% | 0.23% | +0.18% |
| Y2 | 35 N | 36.83 ± 1.67 N | −1.83 N |
| Y3 | 37.14 s | 27.03 ± 1.57 s | +10.07 s |
| Y4 | 58.58% | 35.93 ± 2.1% | +22.63% |
| Y5 | 68.58% | 57.36 ± 3.1% | +11.22% |
| Y6 | 77.68% | 87.22 ± 2.85% | −9.54% |
| Y7 | 83.62% | 93.68 ± 2.32% | −10.06% |
| Y8 | 87.3% | 99.25 ± 4.15% | −11.95% |
| Y9 | 94.63% | 99.3 ± 6.74% | −4.67% |
Publisher’s Note: MDPI stays neutral with regard to jurisdictional claims in published maps and institutional affiliations. |
© 2022 by the authors. Licensee MDPI, Basel, Switzerland. This article is an open access article distributed under the terms and conditions of the Creative Commons Attribution (CC BY) license (https://creativecommons.org/licenses/by/4.0/).
Share and Cite
Vlad, R.-A.; Antonoaea, P.; Todoran, N.; Rédai, E.-M.; Bîrsan, M.; Muntean, D.-L.; Imre, S.; Hancu, G.; Farczádi, L.; Ciurba, A. Development and Evaluation of Cannabidiol Orodispersible Tablets Using a 23-Factorial Design. Pharmaceutics 2022, 14, 1467. https://doi.org/10.3390/pharmaceutics14071467
Vlad R-A, Antonoaea P, Todoran N, Rédai E-M, Bîrsan M, Muntean D-L, Imre S, Hancu G, Farczádi L, Ciurba A. Development and Evaluation of Cannabidiol Orodispersible Tablets Using a 23-Factorial Design. Pharmaceutics. 2022; 14(7):1467. https://doi.org/10.3390/pharmaceutics14071467
Chicago/Turabian StyleVlad, Robert-Alexandru, Paula Antonoaea, Nicoleta Todoran, Emöke-Margit Rédai, Magdalena Bîrsan, Daniela-Lucia Muntean, Silvia Imre, Gabriel Hancu, Lénárd Farczádi, and Adriana Ciurba. 2022. "Development and Evaluation of Cannabidiol Orodispersible Tablets Using a 23-Factorial Design" Pharmaceutics 14, no. 7: 1467. https://doi.org/10.3390/pharmaceutics14071467
APA StyleVlad, R.-A., Antonoaea, P., Todoran, N., Rédai, E.-M., Bîrsan, M., Muntean, D.-L., Imre, S., Hancu, G., Farczádi, L., & Ciurba, A. (2022). Development and Evaluation of Cannabidiol Orodispersible Tablets Using a 23-Factorial Design. Pharmaceutics, 14(7), 1467. https://doi.org/10.3390/pharmaceutics14071467

