Nanocrytals-Mediated Oral Drug Delivery: Enhanced Bioavailability of Amiodarone
Abstract
1. Introduction
2. Materials and Methods
2.1. Chemicals and Reagents
2.2. Methods
2.2.1. Preparation of AMH Nanocrystals
2.2.2. Optimization Parameters
2.2.3. Characterization of Optimized AMH Nanocrystal Formulation
Drug Content Analysis
Particle Size Distribution, Zeta Potential and Polydispersity Index
Fourier Transformer Infrared Spectroscopy (FTIR)
Scanning Electron Microscopy
X-ray Powder Diffraction
2.2.4. In Vitro Characterization
Saturation Solubility
In Vitro Dissolution
2.2.5. In-Vivo Characterization
In Vivo Pharmacokinetics
2.2.6. Storage Stability
2.3. Statistical Analysis
3. Results and Discussion
3.1. Optimization of Nanocrytals
3.1.1. Formulation, Characterization and Optimization of AMH-NCs on the Basis of Zetasizer Results
3.1.2. Effect of the Homogenization on the Particle Size of Nanocrystals
3.2. Characterization of Nanocrystals
3.2.1. Particle Size Distribution, Polydispersity Index and Zeta Potential
3.2.2. Fourier Transformed Infrared (FTIR) Spectroscopic Analysis
3.2.3. Morphological Analysis
3.2.4. Characterization by X-ray Powder Diffraction (XPRD)
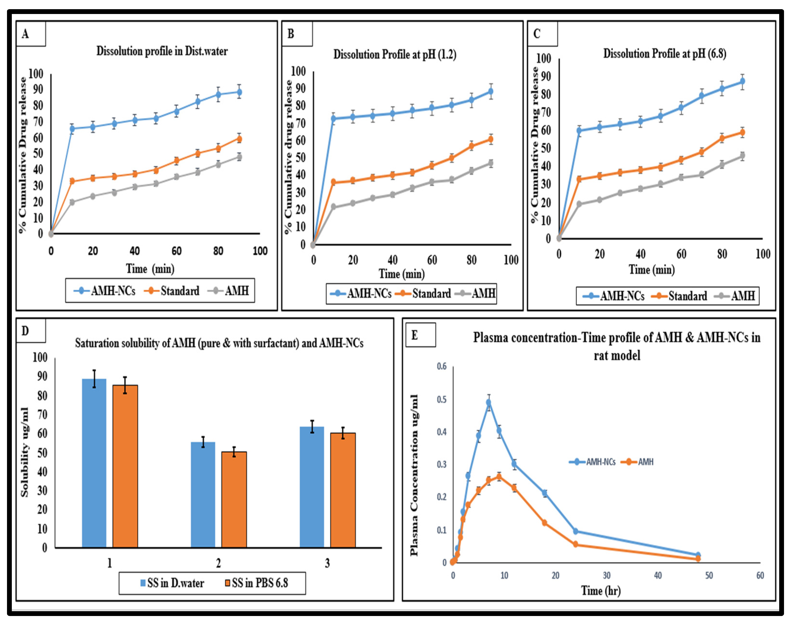
3.3. Saturation Solubility
3.4. Dissolution Test
3.5. In Vivo Studies
In Vivo Pharmacokinetics Studies
3.6. Storage Stability of Optimized AMH-NCs Formulation
4. Conclusions
Author Contributions
Funding
Institutional Review Board Statement
Informed Consent Statement
Data Availability Statement
Acknowledgments
Conflicts of Interest
References
- Essa, E.; Negm, M.; Eldin, E.Z.; El Maghraby, G. Fast disintegrating tablets of amiodarone for intra-oral administration. J. Appl. Pharm. Sci. 2017, 7, 64–72. [Google Scholar] [CrossRef][Green Version]
- Zingale, E.; Bonaccorso, A.; Carbone, C.; Musumeci, T.; Pignatello, R. Drug Nanocrystals: Focus on Brain Delivery from Therapeutic to Diagnostic Applications. Pharmaceutics 2022, 14, 691. [Google Scholar] [CrossRef] [PubMed]
- Rubim, A.M.; Rubenick, J.B.; Gregolin, E.; Laporta, L.V.; Leitenberg, R.; Rolim, C.M.B. Amiodarone hydrochloride: Enhancement of solubility and dissolution rate by solid dispersion technique. Braz. J. Pharm. Sci. 2015, 51, 957–966. [Google Scholar] [CrossRef]
- Hou, Y.; Shao, J.; Fu, Q.; Li, J.; Sun, J.; He, Z. Spray-dried nanocrystals for a highly hydrophobic drug: Increased drug loading, enhanced redispersity, and improved oral bioavailability. Int. J. Pharm. 2017, 516, 372–379. [Google Scholar] [CrossRef] [PubMed]
- Khan, D.; Qindeel, M.; Ahmed, N.; Asad, M.I.; Shah, K.U.; Rehman, A.U. Development of an intelligent, stimuli-responsive transdermal system for efficient delivery of ibuprofen against rheumatoid arthritis. Int. J. Pharm. 2021, 610, 121242. [Google Scholar] [CrossRef]
- Keck, C.; Muller, R. Drug nanoparticles of poorly soluble drugs produced by high pressure homogenization. Eur. J. Pharm. Biopharm. 2006, 62, 3–16. [Google Scholar] [CrossRef]
- Dizaj, S.M.; Vazifehasl, Z.; Salatin, S.; Adibkia, K.; Javadzadeh, Y. Nanosizing of drugs: Effect on dissolution rate. Res. Pharm. Sci. 2015, 10, 95–104. [Google Scholar]
- Franco, P.; De Marco, I. Nanoparticles and Nanocrystals by Supercritical CO2-Assisted Techniques for Pharmaceutical Applications: A Review. Appl. Sci. 2021, 11, 1476. [Google Scholar] [CrossRef]
- Jahangir, A.S.; Imam, S.S.; Muheem, A.; Chettupalli, A.; Abbasi, F.A.; Nadeem, M.S.; Kazmi, I.; Afzal, M.; Alshehri, S. Nanocrystals: Characterization Overview, Applications in drug delivery, and their toxicity concern. J. Pharm. Innov. 2020, 17, 237–248. [Google Scholar] [CrossRef]
- O’Neil, M.J. (Ed.) The Merck Index: An Encyclopedia of Chemicals, Drugs, and Biologicals, 14th ed.; Merck: Branchburg, NJ, USA, 2006. [Google Scholar]
- Takahama, H.; Shigematsu, H.; Asai, T.; Matsuzaki, T.; Sanada, S.; Fu, H.Y.; Okuda, K.; Yamato, M.; Asanuma, H.; Asano, Y.; et al. Liposomal amiodarone augments anti-arrhythmic effects and reduces hemodynamic adverse effects in an ischemia/ reperfusion rat model. Cardiovasc Drugs Ther. 2013, 27, 125–132. [Google Scholar] [CrossRef]
- Cooper, E.R. Nanoparticles: A personal experience for formulating poorly water soluble drugs. J. Control. Release 2010, 141, 300–302. [Google Scholar] [CrossRef] [PubMed]
- Zhuge, Y.; Zheng, Z.; Xie, M.; Li, L.; Wang, F.; Gao, F. Preparation of liposomal amiodarone and investigation of its cardiomyocyte-targeting ability in cardiac radiofrequency ablation rat model. Int. J. Nanomed. 2016, 11, 2359–2367. [Google Scholar] [CrossRef] [PubMed]
- Patil, S.S.; Shaikh, Y.H.; Panchal, C.V.; Wakode, S.J.; Poul, B.B. Method development and validation of amiodarone in bulk and pharmaceutical dosage form by RP-HPLC. IJPAR 2015, 2320–2831. [Google Scholar]
- Pouretedal, H.R. Preparation and characterization of azithromycin nanodrug using solvent/antisolvent method. Int. Nano Lett. 2014, 4, 103–119. [Google Scholar] [CrossRef]
- Lindfors, L.; Skantze, P.; Skantze, U.; Rasmusson, M.; Zackrisson, A.; Olsson, U. Amorphous drug nanosuspensions Inhibition of Ostwald ripening. Langmuir 2006, 22, 906–910. [Google Scholar] [CrossRef]
- Deng, J. Understanding Paclitaxel/Pluronic F127 Nanocrystals Prepared by the Stabilization of Nanocrystal (SNC) Method; University of North Carolina at Chapel Hill: Chapel Hill, NC, USA, 2009. [Google Scholar]
- Jiang, T.; Han, N.; Zhao, B.; Xie, Y.; Wang, S. Enhanced dissolution rate and oral bioavailability of simvastatin nanocrystal prepared by sonoprecipitation. Drug Dev. Ind. Pharm. 2012, 1230–1239. [Google Scholar] [CrossRef] [PubMed]
- Zhang, H.X.; Wang, J.X.; Zhang, Z.B.; Le, Y.; Shen, Z.G.; Chen, J.F. Micronization of atorvastatin calcium by antisolvent precipitation process. Int. J. Pharm. 2009, 374, 106–113. [Google Scholar] [CrossRef]
- Kesisoglou, F.; Panmai, S.; Wu, Y. Nanosizing oral formulation development and biopharmaceutical evaluation. Adv. Drug Deliv. Rev. 2007, 59, 631–644. [Google Scholar] [CrossRef]
- Han, S.D.; Jung, S.W.; Jang, S.W.; Jung, H.J.; Son, M.; Kim, M.B.; Kang, M.J. Preparation of solid dispersion of dronedarone hydrochloride with soloplus® by hot melt extrusion technique for enhanced drug release. Chem. Pharm. Bull. 2015, 295–299. [Google Scholar] [CrossRef]
- Abdelbary, A.A.; Al-Mahallawi, A.M.; Abdelrahim, M.E.; Ali, A.M. Preparation, optimization, and in vitro simulated inhalation delivery of carvedilol nanoparticles loaded on a coarse carrier intended for pulmonary administration. Int. J. Nanomed. 2015, 10, 6339–6346. [Google Scholar] [CrossRef]
- Sastry, S.V.; Nyshadham, J.R.; Fix, J.A. Recent technological advances in oral drug delivery—A review. Pharm. Sci. Technol. Today 2000, 3, 138–145. [Google Scholar] [CrossRef]
- Liu, D.; Xu, H.; Tian, B.; Yuan, K.; Pan, H.; Ma, S.; Yang, X.; Pan, W. Fabrication of carvedilol nanosuspensions through the anti-solvent precipitation–ultrasonication method for the improvement of dissolution rate and oral bioavailability. AAPS PharmSciTech 2012, 13, 295–304. [Google Scholar] [CrossRef] [PubMed]





| Formulation Code | Drug (%age) | Pluronic F-127 (%) | Tween 80 (%) | PEG 6000 (%) | Antisolvent Precipitation | Antisolvent Precipitation with Homogenization | ||
|---|---|---|---|---|---|---|---|---|
| Size (nm) | PDI | Size (nm) | PDI | |||||
| F1 | 2 | 2 | - | - | 581 ± 2.1 | 0.438 | 601 ± 2.1 | 0.41 |
| F2 | 2 | 3 | - | - | 483 ± 1.7 | 0.211 | 392 ± 1.8 | 0.342 |
| F3 | 2 | 4 | - | - | 311 ± 2.43 | 0.344 | 221 ± 1.2 | 0.333 |
| F4 | 2 | 5 | - | - | 319 ± 1.8 | 0.296 | 312 ± 1.6 | 0.291 |
| F5 | 2 | - | 2 | - | 586 ± 2.4 | 0.821 | 473 ± 2.1 | 0.687 |
| F6 | 2 | - | 3 | - | 402 ± 1.9 | 0.568 | 448 ± 1.8 | 0.553 |
| F7 | 2 | - | 4 | - | 433 ± 2.3 | 0.399 | 364 ± 2.1 | 0.200 |
| F8 | 2 | - | 5 | - | 400 ± 1.9 | 0.378 | 401 ± 1.9 | 0.234 |
| F9 | 2 | - | - | 2 | 695 ± 2.4 | 0.761 | 540 ± 2.4 | 0.431 |
| F10 | 2 | - | - | 3 | 542 ± 1.9 | 0.654 | 531 ± 1.8 | 0.419 |
| F11 | 2 | - | - | 4 | 490 ± 2.0 | 0.543 | 463 ± 1.9 | 0.365 |
| F12 | 2 | - | - | 5 | 489 ± 2.1 | 0.540 | 471 ± 1.9 | 0.433 |
| Method | Parameters | Formulation Code (Surfactant Concentration Used) | |||||||||||
|---|---|---|---|---|---|---|---|---|---|---|---|---|---|
| Pluronic F-127 2% | Pluronic F-127 3% | Pluronic F-127 4% | Pluronic F-125 5% | PEG 6000 2% | PEG 6000 3% | PEG 6000 4% | PEG 6000 5% | Tween 80 2% | Tween 80 3% | Tween 80 4% | Tween 80 5% | ||
| Sol-precipitation without homogenization | PS (nm) | 561 ± 2.1 | 483 ± 1.7 | 311 ± 2.43 | 319 ± 1.8 | 695 ± 2.4 | 542 ± 1.9 | 490 ± 2.0 | 489 ± 2.1 | 586 ± 2.4 | 402 ± 1.9 | 433 ± 2.3 | 400 ± 1.9 |
| PDI | 0.438 | 0.211 | 0.344 | 0.296 | 0.761 | 0.654 | 0.543 | 0.540 | 0.821 | 0.568 | 0.399 | 0.378 | |
| Sol- precipitation with homogenization | PS (nm) | 601 ± 2.1 | 392 ± 1.8 | 221 ± 1.2 | 312 ± 1.6 | 540 ± 2.4 | 531 ± 1.8 | 463 ± 1.9 | 471 ± 1.9 | 473 ± 2.1 | 448 ± 1.8 | 364 ± 2.1 | 401 ± 1.9 |
| PDI | 0.41 | 0.342 | 0.207 | 0.291 | 0.431 | 0.419 | 0.365 | 0.433 | 0.687 | 0.553 | 0.200 | 0.234 | |
| Formulation | Test | ||
|---|---|---|---|
| Parameters | Cmax (ng/mL) | Tmax (hr) | AUC0–48 (ng/mL) |
| AMH-NCs | 0.491 ± 0.045 | 6.78 ± 0.24 | 7387 ± 12.41 |
| AMH | 0.299 ± 0.037 | 7.12 ± 0.27 | 5900 ± 9.83 |
| Time Month | Physical Appearance | Color Change | Particle Size | Drug Content |
|---|---|---|---|---|
| 0 month | Homogenous | No change(white) | 221 ± 0.14 | 92.54 ± 0.45 |
| 1 month | Homogenous | No change | 223 ± 1.29 | 90.91 ± 1.22 |
| 3 month | Homogenous | No change | 227 ± 1.31 | 90.87 ± 0.51 |
Publisher’s Note: MDPI stays neutral with regard to jurisdictional claims in published maps and institutional affiliations. |
© 2022 by the authors. Licensee MDPI, Basel, Switzerland. This article is an open access article distributed under the terms and conditions of the Creative Commons Attribution (CC BY) license (https://creativecommons.org/licenses/by/4.0/).
Share and Cite
Awan, A.M.; Farid, A.; Shah, S.U.; Khan, D.; Ur Rehman, F.; Dar, M.J.; Iftikhar, T.; Ghazanfar, S.; Galanakis, C.M.; Alamri, A.S.; et al. Nanocrytals-Mediated Oral Drug Delivery: Enhanced Bioavailability of Amiodarone. Pharmaceutics 2022, 14, 1300. https://doi.org/10.3390/pharmaceutics14061300
Awan AM, Farid A, Shah SU, Khan D, Ur Rehman F, Dar MJ, Iftikhar T, Ghazanfar S, Galanakis CM, Alamri AS, et al. Nanocrytals-Mediated Oral Drug Delivery: Enhanced Bioavailability of Amiodarone. Pharmaceutics. 2022; 14(6):1300. https://doi.org/10.3390/pharmaceutics14061300
Chicago/Turabian StyleAwan, Anum Munir, Arshad Farid, Shefaat Ullah Shah, Dildar Khan, Fiza Ur Rehman, Muhammad Junaid Dar, Tayyaba Iftikhar, Shakira Ghazanfar, Charis M. Galanakis, Abdulhakeem S. Alamri, and et al. 2022. "Nanocrytals-Mediated Oral Drug Delivery: Enhanced Bioavailability of Amiodarone" Pharmaceutics 14, no. 6: 1300. https://doi.org/10.3390/pharmaceutics14061300
APA StyleAwan, A. M., Farid, A., Shah, S. U., Khan, D., Ur Rehman, F., Dar, M. J., Iftikhar, T., Ghazanfar, S., Galanakis, C. M., Alamri, A. S., Asdaq, S. M. B., & Shah, K. U. (2022). Nanocrytals-Mediated Oral Drug Delivery: Enhanced Bioavailability of Amiodarone. Pharmaceutics, 14(6), 1300. https://doi.org/10.3390/pharmaceutics14061300

