Liposomal Formulations to Improve Antioxidant Power of Myrtle Berry Extract for Potential Skin Application
Abstract
:1. Introduction
2. Materials and Methods
2.1. Materials
2.2. Plant Material and Extract Preparation
2.3. HPLC–DAD Analysis
2.4. Vesicle Preparation and Characterization
2.5. Antioxidant Assays
2.6. Fibroblast Cell Culture
- Cells unexposed (negative control) or exposed to 500 μM 2,2′-azobis(2-methylpropionamidine) dihydrochloride (AAPH; Fluka-Sigma-Aldrich Inc., St. Louis, MO, USA), a peroxyl radical generator used as a positive control, for 4 and 23 h;
- Cells exposed to myrtle aqueous solution or myrtle liposomes, previously diluted to reach the required doses of myrtle (0.1, 1.0 and 10 μg/well), for 5 and 24 h;
- Cells exposed to myrtle aqueous solution or myrtle liposomes, previously diluted to reach the required dose of myrtle (10 μg/well), for 1 h and co-incubated with 500 μM AAPH for a further 4 h.
2.7. Assessment of Viability
2.8. Assessment of Cellular Reactive Oxygen Species (ROS) and Cell Morphology
2.9. Statistical Analysis of Data
3. Results
3.1. Quantification of Phenolic Compounds
3.2. Vesicle Design and Characterization
3.3. Antioxidant Assays
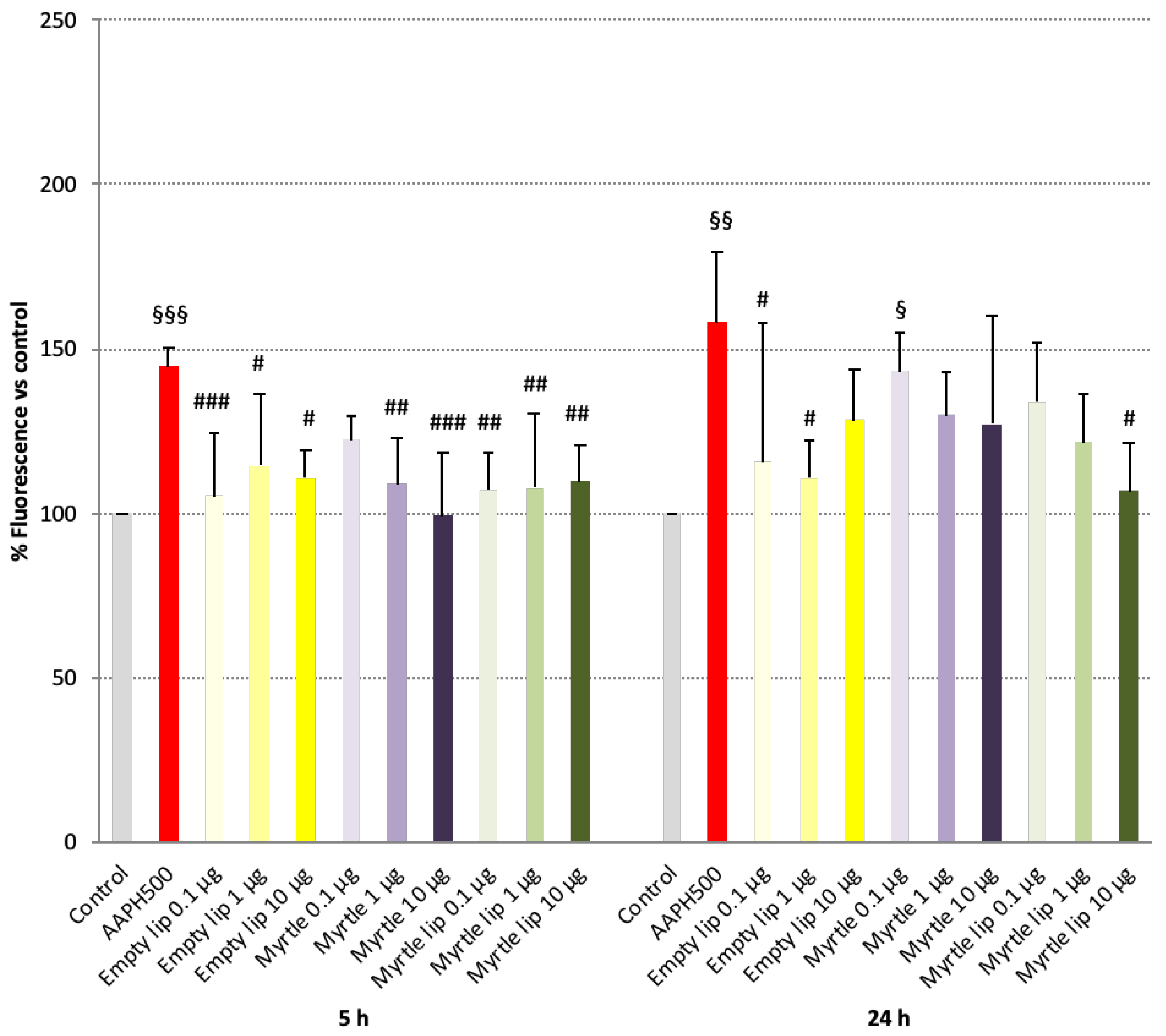
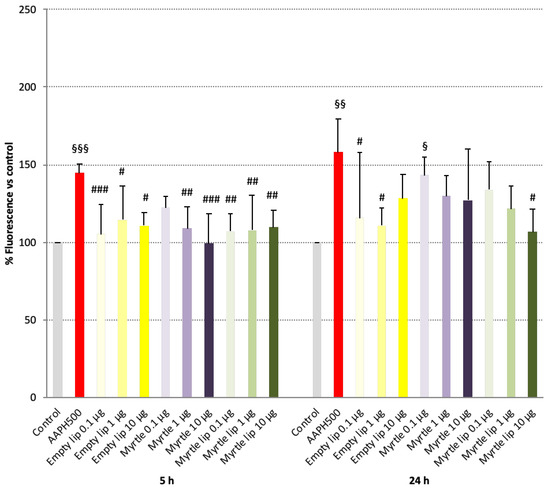
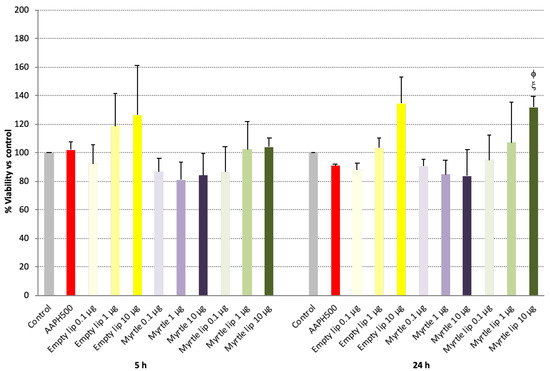
3.4. Cell Viability and Anti-ROS Activity
4. Discussion
5. Conclusions
Author Contributions
Funding
Data Availability Statement
Acknowledgments
Conflicts of Interest
References
- Jabri, M.A.; Marzouki, L.; Sebai, H. Ethnobotanical, phytochemical and therapeutic effects of Myrtus communis L. berries seeds on gastrointestinal tract diseases: A review. Arch. Physiol. Biochem. 2018, 124, 390–396. [Google Scholar] [CrossRef] [PubMed]
- Siracusa, L.; Napoli, E.; Tuttolomondo, T.; Licata, M.; La Bella, S.; Gennaro, M.C.; Leto, C.; Sarno, M.; Sperlinga, E.; Ruberto, G. A Two-Year Bio-Agronomic and Chemotaxonomic Evaluation of Wild Sicilian Myrtle (Myrtus communis L.) Berries and Leaves. Chem. Biodivers. 2019, 16, e1800575. [Google Scholar] [CrossRef] [PubMed]
- Correddu, F.; Maldini, M.; Addis, R.; Petretto, G.L.; Palomba, M.; Battacone, G.; Pulina, G.; Nudda, A.; Pintore, G. Myrtus communis liquor byproduct as a source of bioactive compounds. Foods 2019, 8, 237. [Google Scholar] [CrossRef] [Green Version]
- Usai, M.; Marchetti, M.; Culeddu, N.; Mulas, M. Chemotaxonomic evaluation by volatolomics analysis of fifty-two genotypes of Myrtus communis L. Plants 2020, 9, 1288. [Google Scholar] [CrossRef] [PubMed]
- Serreli, G.; Jerković, I.; Gil, K.A.; Marijanović, Z.; Pacini, V.; Tuberoso, C.I.G. Phenolic Compounds, Volatiles and Antioxidant Capacity of White Myrtle Berry Liqueurs. Plant Foods Hum. Nutr. 2017, 72, 205–210. [Google Scholar] [CrossRef]
- Hennia, A.; Miguel, M.; Nemmiche, S. Antioxidant Activity of Myrtus communis L. and Myrtus nivellei Batt. & Trab. Extracts: A Brief Review. Medicines 2018, 5, 89. [Google Scholar] [CrossRef] [Green Version]
- Kordali, S.; Usanmaz, A.; Cakir, A.; Komaki, A.; Ercisli, S. Antifungal and Herbicidal Effects of Fruit Essential Oils of Four Myrtus communis Genotypes. Chem. Biodivers. 2016, 13, 77–84. [Google Scholar] [CrossRef]
- Jabri, M.A.; Hajaji, S.; Rtibi, K.; Sebai, H. Role of Anti-Inflammatory, Reactive Oxygen Species Scavenging Activity and Nematicidal Properties of Myrtle Berry Seeds on Helminthiasis Treatment. J. Med. Food 2021, 24, 377–384. [Google Scholar] [CrossRef]
- Jabri, M.A.; Marzouki, L.; Sebai, H. Myrtle berries seeds aqueous extract abrogates chronic alcohol consumption-induced erythrocytes osmotic stability disturbance, haematological and biochemical toxicity. Lipids Health Dis. 2018, 17, 94. [Google Scholar] [CrossRef] [Green Version]
- Jabri, M.A.; Rtibi, K.; Ben-Said, A.; Aouadhi, C.; Hosni, K.; Sakly, M.; Sebai, H. Antidiarrhoeal, antimicrobial and antioxidant effects of myrtle berries (Myrtus communis L.) seeds extract. J. Pharm. Pharmacol. 2016, 68, 264–274. [Google Scholar] [CrossRef]
- Jabri, M.A.; Tounsi, H.; Rtibi, K.; Marzouki, L.; Sakly, M.; Sebai, H. Ameliorative and antioxidant effects of myrtle berry seed (Myrtus communis) extract during reflux-induced esophagitis in rats. Pharm. Biol. 2016, 54, 1575–1585. [Google Scholar] [CrossRef] [Green Version]
- Wannes, W.A.; Marzouk, B. Characterization of myrtle seed (Myrtus communis var. baetica) as a source of lipids, phenolics, and antioxidant activities. J. Food Drug Anal. 2016, 24, 316–323. [Google Scholar] [CrossRef] [PubMed] [Green Version]
- Petretto, G.L.; Maldini, M.; Addis, R.; Chessa, M.; Foddai, M.; Rourke, J.P.; Pintore, G. Variability of chemical composition and antioxidant activity of essential oils between Myrtus communis var. Leucocarpa DC and var. Melanocarpa DC. Food Chem. 2016, 197, 124–131. [Google Scholar] [CrossRef] [PubMed]
- González-de-Peredo, A.V.; Vázquez-Espinosa, M.; Espada-Bellido, E.; Ferreiro-González, M.; Amores-Arrocha, A.; Palma, M.; Barbero, G.F.; Jiménez-Cantizano, A. Discrimination of myrtle ecotypes from different geographic areas according to their morphological characteristics and anthocyanins composition. Plants 2019, 8, 328. [Google Scholar] [CrossRef] [PubMed] [Green Version]
- González de Peredo, A.V.; Vázquez-Espinosa, M.; Espada-Bellido, E.; Jiménez-Cantizano, A.; Ferreiro-González, M.; Amores-Arrocha, A.; Palma, M.; Barroso, C.G.; Barbero, G.F. Development of new analytical microwave-assisted extraction methods for bioactive compounds from myrtle (Myrtus communis L.). Molecules 2018, 23, 2992. [Google Scholar] [CrossRef] [Green Version]
- Bouaoudia-Madi, N.; Boulekbache-Makhlouf, L.; Kadri, N.; Dahmoune, F.; Remini, H.; Dairi, S.; Oukhmanou-Bensidhoum, S.; Madani, K. Phytochemical analysis of Myrtus communis plant: Conventional versus microwave assisted-extraction procedures. J. Complement. Integr. Med. 2017, 14, 20160098. [Google Scholar] [CrossRef] [PubMed]
- Franco, A.M.; Tocci, N.; Guella, G.; Dell’Agli, M.; Sangiovanni, E.; Perenzoni, D.; Vrhovsek, U.; Mattivi, F.; Manca, G. Myrtle Seeds (Myrtus communis L.) as a Rich Source of the Bioactive Ellagitannins Oenothein B and Eugeniflorin D2. ACS Omega 2019, 4, 15966–15974. [Google Scholar] [CrossRef] [Green Version]
- Usai, M.; Marchetti, M.; Culeddu, N.; Mulas, M. Chemical composition of myrtle (Myrtus communis l.) berries essential oils as observed in a collection of genotypes. Molecules 2018, 23, 2502. [Google Scholar] [CrossRef] [Green Version]
- Pereira, P.; Cebola, M.J.; Oliveira, M.C.; Bernardo Gil, M.G. Antioxidant capacity and identification of bioactive compounds of Myrtus communis L. extract obtained by ultrasound-assisted extraction. J. Food Sci. Technol. 2017, 54, 4362–4369. [Google Scholar] [CrossRef]
- Tumen, I.; Senol, F.S.; Orhan, I.E. Inhibitory potential of the leaves and berries of Myrtus communis L. (myrtle) against enzymes linked to neurodegenerative diseases and their antioxidant actions. Int. J. Food Sci. Nutr. 2012, 63, 387–392. [Google Scholar] [CrossRef]
- Jabri, M.A.; Rtibi, K.; Sakly, M.; Marzouki, L.; Sebai, H. Role of gastrointestinal motility inhibition and antioxidant properties of myrtle berries (Myrtus communis L.) juice in diarrhea treatment. Biomed. Pharmacother. 2016, 84, 1937–1944. [Google Scholar] [CrossRef]
- Paknejad, M.S.; Eftekhari, K.; Rahimi, R.; Vigeh, M.; Naghizadeh, A.; Karimi, M. Myrtle (Myrtus communis L.) fruit syrup for gastroesophageal reflux disease in children: A double-blind randomized clinical trial. Phyther. Res. 2021, 35, 6369–6376. [Google Scholar] [CrossRef]
- Zohalinezhad, M.E.; Hosseini-Asl, M.K.; Akrami, R.; Nimrouzi, M.; Salehi, A.; Zarshenas, M.M. Myrtus communis L. Freeze-Dried Aqueous Extract Versus Omeprazol in Gastrointestinal Reflux Disease: A Double-Blind Randomized Controlled Clinical Trial. J. Evid.-Based Complement. Altern. Med. 2016, 21, 23–29. [Google Scholar] [CrossRef]
- Aggul, A.G.; Demir, G.M.; Gulaboglu, M. Ethanol Extract of Myrtle (Myrtus communis L.) Berries as a Remedy for Streptozotocin-Induced Oxidative Stress in Rats. Appl. Biochem. Biotechnol. 2021, 194, 1645–1658. [Google Scholar] [CrossRef] [PubMed]
- Khodaie, S.-A.; Emadi, F.; Naseri, M.; Kamalinejad, M.; Riahi, S.M.; Alijaniha, F.; Roghani, M. The Effect of Myrtus communis Aqueous Extract-Containing Gel on Wound Healing in Streptozotocin-Induced Diabetic Rats. Curr. Drug Discov. Technol. 2020, 17, 542–547. [Google Scholar] [CrossRef] [PubMed]
- Daraee, H.; Etemadi, A.; Kouhi, M.; Alimirzalu, S.; Akbarzadeh, A. Application of liposomes in medicine and drug delivery. Artif. Cells Nanomed. Biotechnol. 2016, 44, 381–391. [Google Scholar] [CrossRef] [PubMed]
- Lee, M.K. Liposomes for enhanced bioavailability of water-insoluble drugs: In vivo evidence and recent approaches. Pharmaceutics 2020, 12, 264. [Google Scholar] [CrossRef] [Green Version]
- Guimarães, D.; Cavaco-Paulo, A.; Nogueira, E. Design of liposomes as drug delivery system for therapeutic applications. Int. J. Pharm. 2021, 601, 120571. [Google Scholar] [CrossRef]
- Montoro, P.; Serreli, G.; Gil, K.A.; D’Urso, G.; Kowalczyk, A.; Tuberoso, C.I.G. Evaluation of bioactive compounds and antioxidant capacity of edible feijoa (Acca sellowiana (O. Berg) Burret) flower extracts. J. Food Sci. Technol. 2020, 57, 2051–2060. [Google Scholar] [CrossRef]
- Sinico, C.; Caddeo, C.; Valenti, D.; Fadda, A.M.; Bilia, A.R.; Vincieri, F.F. Liposomes as Carriers for Verbascoside: Stability and Skin Permeation Studies. J. Liposome Res. 2008, 18, 83–90. [Google Scholar] [CrossRef]
- Caddeo, C.; Lucchesi, D.; Fernàndez-Busquets, X.; Valenti, D.; Penno, G.; Fadda, A.M.; Pucci, L. Efficacy of a resveratrol nanoformulation based on a commercially available liposomal platform. Int. J. Pharm. 2021, 608, 121086. [Google Scholar] [CrossRef] [PubMed]
- Tuberoso, C.I.G.; Boban, M.; Bifulco, E.; Budimir, D.; Pirisi, F.M. Antioxidant capacity and vasodilatory properties of Mediterranean food: The case of Cannonau wine, myrtle berries liqueur and strawberry-tree honey. Food Chem. 2013, 140, 686–691. [Google Scholar] [CrossRef] [PubMed]
- Gorjian, H.; Raftani Amiri, Z.; Mohammadzadeh Milani, J.; Ghaffari Khaligh, N. Preparation and characterization of the encapsulated myrtle extract nanoliposome and nanoniosome without using cholesterol and toxic organic solvents: A comparative study. Food Chem. 2021, 342, 128342. [Google Scholar] [CrossRef]
- Snoussi, A.; Hayet, B.H.K.; Essaidi, I.; Zgoulli, S.; Moncef, C.M.; Thonart, P.; Bouzouita, N. Improvement of the composition of Tunisian myrtle berries (Myrtus communis L.) alcohol extracts. J. Agric. Food Chem. 2012, 60, 608–614. [Google Scholar] [CrossRef] [PubMed]
- Polat, B.; Oba, S.; Karaman, K.; Arici, M.; Sagdic, O. Comparison of different solvent types for determination biological activities of myrtle berries collected from Turkey. Qual. Assur. Saf. Crop. Foods 2014, 6, 221–227. [Google Scholar] [CrossRef]






| Formulation | S75 | Myrtle Extract | PBS |
|---|---|---|---|
| Empty liposomes | 180 mg | 1 mL | |
| Myrtle liposomes | 180 mg | 20 mg | 1 mL |
| Formulation | MD nm ± SD | PI ± SD | ZP mV ± SD |
|---|---|---|---|
| Empty liposomes | 95 ± 4.6 | 0.20 ± 0.03 | −10 ± 1.1 |
| Myrtle liposomes | ** 102 ± 5.6 | 0.22 ± 0.02 | −10 ± 0.8 |
| No. | Compound | E% |
|---|---|---|
| 1 | Gallic acid | 90.4 ± 0.7 |
| 2 | Gallic acid derivative * | 89.7 ± 1.2 |
| 3 | Delphinidin-3-O-glucoside | 95.4 ± 0.6 |
| 4 | Cyanidin-3-O-glucoside | 96.2 ± 0.1 |
| 5 | Petunidin-3-O-glucoside | 96.8 ± 1.4 |
| 6 | Peonidin-3-O-glucoside | 96.9 ± 1.1 |
| 7 | Malvidin-3-O-glucoside | 85.5 ± 4.3 |
| 8 | Myricetin-3-O-galactoside | 71.4 ± 2.3 |
| 9 | Myricetin-3-O-rhamnoside | 84.0 ± 4.4 |
| 10 | Ellagic acid | 78.7 ± 5.3 |
| Formulation | DPPH Assay | FRAP Assay | |
|---|---|---|---|
| AA (%) | TE (µg Trolox Equivalents/mL) | FE (µg Fe2+ Equivalents/mL) | |
| Myrtle solution | 96 ± 1.4 | 344 ± 22 | 1867 ± 32 |
| Empty liposomes | 39 ± 7.4 | 137 ± 19 | 602 ± 46 |
| Myrtle liposomes | ** 91 ± 0.8 | 326 ± 17 | 1831 ± 70 |
Publisher’s Note: MDPI stays neutral with regard to jurisdictional claims in published maps and institutional affiliations. |
© 2022 by the authors. Licensee MDPI, Basel, Switzerland. This article is an open access article distributed under the terms and conditions of the Creative Commons Attribution (CC BY) license (https://creativecommons.org/licenses/by/4.0/).
Share and Cite
De Luca, M.; Lucchesi, D.; Tuberoso, C.I.G.; Fernàndez-Busquets, X.; Vassallo, A.; Martelli, G.; Fadda, A.M.; Pucci, L.; Caddeo, C. Liposomal Formulations to Improve Antioxidant Power of Myrtle Berry Extract for Potential Skin Application. Pharmaceutics 2022, 14, 910. https://doi.org/10.3390/pharmaceutics14050910
De Luca M, Lucchesi D, Tuberoso CIG, Fernàndez-Busquets X, Vassallo A, Martelli G, Fadda AM, Pucci L, Caddeo C. Liposomal Formulations to Improve Antioxidant Power of Myrtle Berry Extract for Potential Skin Application. Pharmaceutics. 2022; 14(5):910. https://doi.org/10.3390/pharmaceutics14050910
Chicago/Turabian StyleDe Luca, Maria, Daniela Lucchesi, Carlo Ignazio Giovanni Tuberoso, Xavier Fernàndez-Busquets, Antonio Vassallo, Giuseppe Martelli, Anna Maria Fadda, Laura Pucci, and Carla Caddeo. 2022. "Liposomal Formulations to Improve Antioxidant Power of Myrtle Berry Extract for Potential Skin Application" Pharmaceutics 14, no. 5: 910. https://doi.org/10.3390/pharmaceutics14050910
APA StyleDe Luca, M., Lucchesi, D., Tuberoso, C. I. G., Fernàndez-Busquets, X., Vassallo, A., Martelli, G., Fadda, A. M., Pucci, L., & Caddeo, C. (2022). Liposomal Formulations to Improve Antioxidant Power of Myrtle Berry Extract for Potential Skin Application. Pharmaceutics, 14(5), 910. https://doi.org/10.3390/pharmaceutics14050910

