A Comprehensive Overview of Globally Approved JAK Inhibitors
Abstract
1. Introduction
1.1. Structure of JAKs
1.2. JAK-STAT Pathway
1.3. Therapeutic Potential of JAK Inhibition
1.4. Classification of JAK Inhibitors
1.4.1. Reversible JAK Inhibitors
ATP-Competitive Inhibitors
- Type I JAK Inhibitors
- Type II JAK Inhibitors
- Allosteric JAK Inhibitors
1.4.2. Irreversible JAK3 Inhibitors
1.5. Mutation of JAKs
1.6. Crystal Structure of JAKs
1.7. JAK Inhibitors Approved for Clinical Use
1.7.1. Abrocitinib
Approval History
Synthesis
Target Kinases
Crystal Structures
Pharmacological Activities and Uses
Metabolism
1.7.2. Baricitinib
Approval History
Synthesis
Target Kinases
Crystal Structures
Pharmacological Activities and Uses
Metabolism
1.7.3. Delgocitinib
Approval History
Synthesis
Target Kinases
Crystal Structures
Pharmacological Activities and Uses
Metabolism
1.7.4. Fedratinib
Approval History
Synthesis
Target Kinases
Crystal Structures
Pharmacological Activities and Uses
Metabolism
1.7.5. Filgotinib
Approval History
Synthesis
Target Kinases
Crystal Structures
Pharmacological Activities and Uses
Metabolism
1.7.6. Oclacitinib
Approval History
Synthesis
Target Kinases
Crystal Structures
Pharmacological Activities and Uses
Metabolism
1.7.7. Pacritinib
Approval History
Synthesis
Target Kinases
Crystal Structures
Pharmacological Activities and Uses
Metabolism
1.7.8. Peficitinib
Approval History
Synthesis
Target Kinases
Crystal Structures
Pharmacological Activities and Uses
Metabolism
1.7.9. Ruxolitinib
Approval History
Synthesis
Target Kinases
Crystal Structures
Pharmacological Activities and Uses
Metabolism
1.7.10. Tofacitinib
Approval History
Synthesis
Target Kinases
Crystal Structures
Pharmacological Activities and Uses
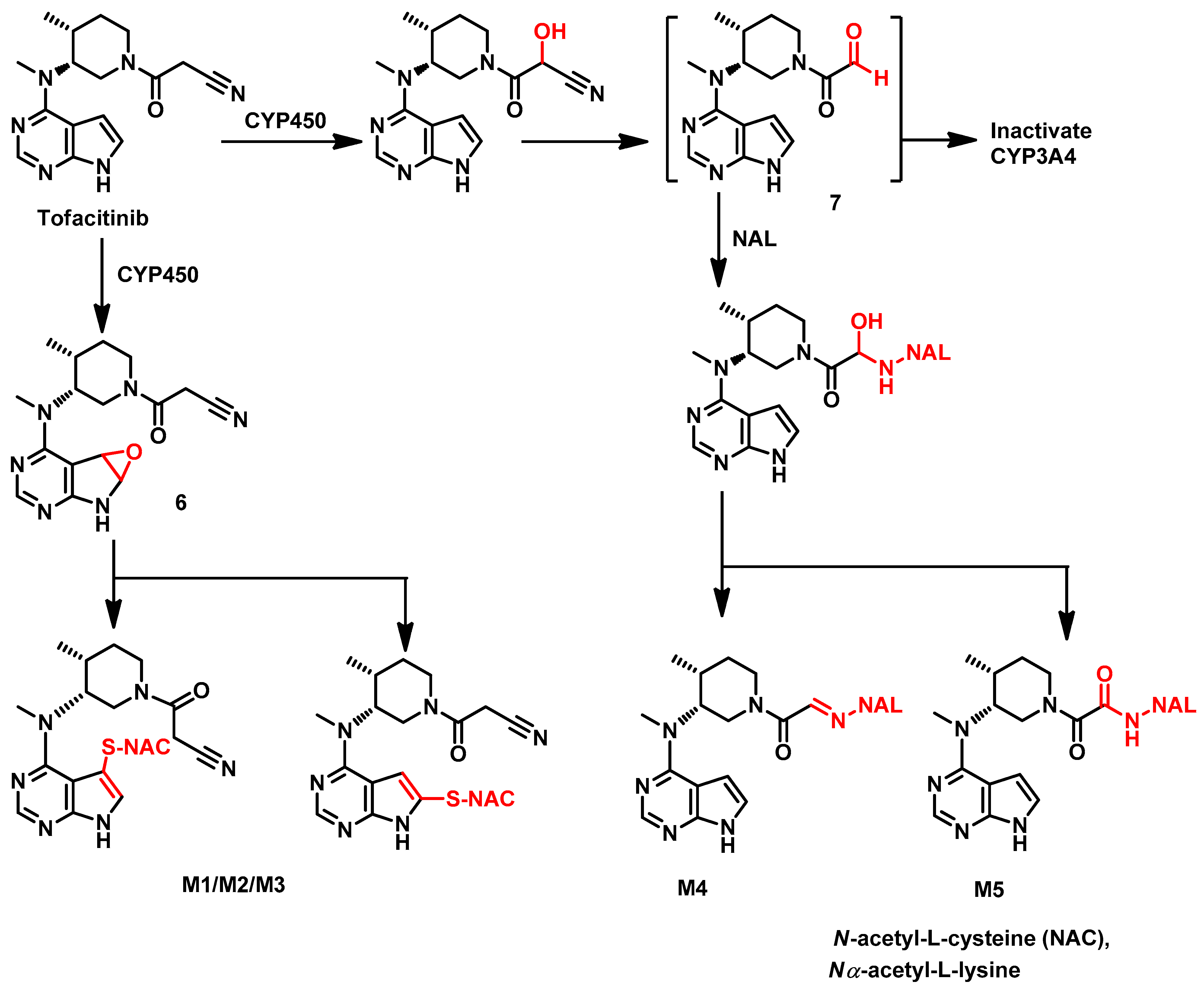
Metabolism
1.7.11. Upadacitinib
Approval History
Synthesis
Target Kinases
Crystal Structures
Pharmacological Activities and Uses
Metabolism
2. Conclusions
3. Perspective
Author Contributions
Funding
Institutional Review Board Statement
Informed Consent Statement
Conflicts of Interest
References
- Yamaoka, K.; Saharinen, P.; Pesu, M.; Holt, V.E.T., 3rd; Silvennoinen, O.; O’Shea, J.J. The Janus kinases (Jaks). Genome Biol. 2004, 5, 253. [Google Scholar] [CrossRef] [PubMed]
- Wilks, A.F. Two putative protein-tyrosine kinases identified by application of the polymerase chain reaction. Proc. Natl. Acad. Sci. USA 1989, 86, 1603–1607. [Google Scholar] [CrossRef] [PubMed]
- Banerjee, S.; Biehl, A.; Gadina, M.; Hasni, S.; Schwartz, D.M. JAK-STAT signaling as a target for inflammatory and autoimmune diseases: Current and future prospects. Drugs 2017, 77, 521–546. [Google Scholar] [CrossRef]
- Aittomäki, S.; Pesu, M. Therapeutic targeting of the Jak/STAT pathway. Basic Clin. Pharmacol. Toxicol. 2014, 114, 18–23. [Google Scholar] [CrossRef] [PubMed]
- Abroun, S.; Saki, N.; Ahmadvand, M.; Asghari, F.; Salari, F.; Rahim, F. STATs: An old story, yet mesmerizing. Cell J. 2015, 17, 395–411. [Google Scholar] [CrossRef]
- Liau, N.P.D.; Laktyushin, A.; Morris, R.; Sandow, J.J.; Nicola, N.A.; Kershaw, N.J.; Babon, J.J. Enzymatic characterization of wild-type and mutant janus kinase 1. Cancers 2019, 11, 1701. [Google Scholar] [CrossRef]
- Min, X.; Ungureanu, D.; Maxwell, S.; Hammarén, H.; Thibault, S.; Hillert, E.-K.; Ayres, M.; Greenfield, B.; Eksterowicz, J.; Gabel, C.; et al. Structural and functional characterization of the JH2 pseudokinase domain of JAK family tyrosine kinase 2 (TYK2). J. Biol. Chem. 2015, 290, 27261–27270. [Google Scholar] [CrossRef]
- Garrido-Trigo, A.; Salas, A. Molecular structure and function of Janus kinases: Implications for the development of inhibitors. J. Crohns. Colitis 2020, 14, S713–S724. [Google Scholar] [CrossRef]
- Ferrao, R.; Lupardus, P.J. The Janus kinase (JAK) FERM and SH2 domains: Bringing specificity to JAK-receptor interactions. Front. Endocrinol. 2017, 8, 71. [Google Scholar] [CrossRef]
- Kiu, H.; Nicholson, S.E. Biology and significance of the JAK/STAT signalling pathways. Growth Factors 2012, 30, 88–106. [Google Scholar] [CrossRef]
- Bryan, M.C.; Rajapaksa, N.S. Kinase inhibitors for the treatment of immunological disorders: Recent advances. J. Med. Chem. 2018, 61, 9030–9058. [Google Scholar] [CrossRef] [PubMed]
- Xu, P.; Shen, P.; Yu, B.; Xu, X.; Ge, R.; Cheng, X.; Chen, Q.; Bian, J.; Li, Z.; Wang, J. Janus kinases (JAKs): The efficient therapeutic targets for autoimmune diseases and myeloproliferative disorders. Eur. J. Med. Chem. 2020, 192, 112155. [Google Scholar] [CrossRef] [PubMed]
- Hammarén, H.M.; Virtanen, A.T.; Raivola, J.; Silvennoinen, O. The regulation of JAKs in cytokine signaling and its breakdown in disease. Cytokine 2019, 118, 48–63. [Google Scholar] [CrossRef]
- Yasuda, T.; Fukada, T.; Nishida, K.; Nakayama, M.; Matsuda, M.; Miura, I.; Dainichi, T.; Fukuda, S.; Kabashima, K.; Nakaoka, S.; et al. Hyperactivation of JAK1 tyrosine kinase induces stepwise, progressive pruritic dermatitis. J. Clin. Investig. 2016, 126, 2064–2076. [Google Scholar] [CrossRef] [PubMed]
- Shen, Y.; Liu, Y.; Ke, X.; Kang, H.-Y.; Hu, G.-H.; Hong, S.-L. Association between JAK1 gene polymorphisms and susceptibility to allergic rhinitis. Asian Pac. J. Allergy Immunol. 2016, 34, 124–129. [Google Scholar] [CrossRef] [PubMed]
- Wills-Karp, M.; Luyimbazi, J.; Xu, X.; Schofield, B.; Neben, T.Y.; Karp, C.L.; Donaldson, D.D. Interleukin-13: Central mediator of allergic asthma. Science 1998, 282, 2258–2261. [Google Scholar] [CrossRef] [PubMed]
- Harris, C.; Cummings, J.R.F. JAK1 inhibition and inflammatory bowel disease. Rheumatology 2021, 60, ii45–ii51. [Google Scholar] [CrossRef] [PubMed]
- Virtanen, A.T.; Haikarainen, T.; Raivola, J.; Silvennoinen, O. Selective JAKinibs: Prospects in inflammatory and autoimmune diseases. BioDrugs 2019, 33, 15–32. [Google Scholar] [CrossRef]
- Zak, M.; Hanan, E.J.; Lupardus, P.; Brown, D.G.; Robinson, C.; Siu, M.; Lyssikatos, J.P.; Romero, F.A.; Zhao, G.; Kellar, T.; et al. Discovery of a class of highly potent Janus Kinase 1/2 (JAK1/2) inhibitors demonstrating effective cell-based blockade of IL-13 signaling. Bioorg. Med. Chem. Lett. 2019, 29, 1522–1531. [Google Scholar] [CrossRef]
- Schwartz, D.M.; Kanno, Y.; Villarino, A.; Ward, M.; Gadina, M.; O’Shea, J.J. JAK inhibition as a therapeutic strategy for immune and inflammatory diseases. Nat. Rev. Drug Discov. 2017, 16, 843–862. [Google Scholar] [CrossRef]
- Menet, C.J. A dual inhibition, a better solution: Development of a JAK1/TYK2 inhibitor. J. Med. Chem. 2018, 61, 8594–8596. [Google Scholar] [CrossRef] [PubMed]
- Wrobleski, S.T.; Moslin, R.; Lin, S.; Zhang, Y.; Spergel, S.; Kempson, J.; Tokarski, J.S.; Strnad, J.; Zupa-Fernandez, A.; Cheng, L.; et al. Highly selective inhibition of tyrosine kinase 2 (TYK2) for the treatment of autoimmune diseases: Discovery of the allosteric inhibitor BMS-986165. J. Med. Chem. 2019, 62, 8973–8995. [Google Scholar] [CrossRef] [PubMed]
- Buchert, M.; Burns, C.J.; Ernst, M. Targeting JAK kinase in solid tumors: Emerging opportunities and challenges. Oncogene 2016, 35, 939–951. [Google Scholar] [CrossRef] [PubMed]
- Kilpivaara, O.; Levine, R.L. JAK2 and MPL mutations in myeloproliferative neoplasms: Discovery and science. Leukemia 2008, 22, 1813–1817. [Google Scholar] [CrossRef] [PubMed]
- Treliński, J.; Robak, T. JAK inhibitors: Pharmacology and clinical activity in chronic myeloprolipherative neoplasms. Curr. Med. Chem. 2013, 20, 1147–1161. [Google Scholar] [CrossRef] [PubMed]
- Nielsen, C.; Birgens, H.S.; Nordestgaard, B.G.; Kjaer, L.; Bojesen, S.E. The JAK2 V617F somatic mutation, mortality and cancer risk in the general population. Haematologica 2011, 96, 450–453. [Google Scholar] [CrossRef]
- Leroy, E.; Constantinescu, S.N. Rethinking JAK2 inhibition: Towards novel strategies of more specific and versatile Janus kinase inhibition. Leukemia 2017, 31, 1023–1038. [Google Scholar] [CrossRef]
- Mascarenhas, J.; Hoffman, R. Ruxolitinib: The first FDA approved therapy for the treatment of myelofibrosis. Clin. Cancer Res. Off. J. Am. Assoc. Cancer Res. 2012, 18, 3008–3014. [Google Scholar] [CrossRef]
- Raedler, L.A. Jakafi (Ruxolitinib): First FDA-approved medication for the treatment of patients with polycythemia vera. Am. Health Drug Benefits 2015, 8, 75–79. [Google Scholar]
- Hart, S.; Goh, K.C.; Novotny-Diermayr, V.; Tan, Y.C.; Madan, B.; Amalini, C.; Ong, L.C.; Kheng, B.; Cheong, A.; Zhou, J.; et al. Pacritinib (SB1518), a JAK2/FLT3 inhibitor for the treatment of acute myeloid leukemia. Blood Cancer J. 2011, 1, e44. [Google Scholar] [CrossRef]
- Yang, T.; Hu, M.; Qi, W.; Yang, Z.; Tang, M.; He, J.; Chen, Y.; Bai, P.; Yuan, X.; Zhang, C.; et al. Discovery of potent and orally effective dual Janus kinase 2/FLT3 inhibitors for the treatment of acute myelogenous leukemia and myeloproliferative neoplasms. J. Med. Chem. 2019, 62, 10305–10320. [Google Scholar] [CrossRef] [PubMed]
- Hu, X.; Li, J.; Fu, M.; Zhao, X.; Wang, W. The JAK/STAT signaling pathway: From bench to clinic. Signal Transduct. Target. Ther. 2021, 6, 402. [Google Scholar] [CrossRef] [PubMed]
- Angelini, J.; Talotta, R.; Roncato, R.; Fornasier, G.; Barbiero, G.; Dal Cin, L.; Brancati, S.; Scaglione, F. JAK-Inhibitors for the treatment of rheumatoid arthritis: A focus on the present and an outlook on the future. Biomolecules 2020, 10, 1002. [Google Scholar] [CrossRef] [PubMed]
- Vainchenker, W.; Leroy, E.; Gilles, L.; Marty, C.; Plo, I.; Constantinescu, S.N. JAK inhibitors for the treatment of myeloproliferative neoplasms and other disorders. F1000Research 2018, 7, 82. [Google Scholar] [CrossRef] [PubMed]
- Wernig, G.; Kharas, M.G.; Okabe, R.; Moore, S.A.; Leeman, D.S.; Cullen, D.E.; Gozo, M.; McDowell, E.P.; Levine, R.L.; Doukas, J.; et al. Efficacy of TG101348, a selective JAK2 inhibitor, in treatment of a murine model of JAK2V617F-induced polycythemia vera. Cancer Cell 2008, 13, 311–320. [Google Scholar] [CrossRef]
- Singh, D.; Bogus, M.; Moskalenko, V.; Lord, R.; Moran, E.J.; Crater, G.D.; Bourdet, D.L.; Pfeifer, N.D.; Woo, J.; Kaufman, E.; et al. A phase 2 multiple ascending dose study of the inhaled pan-JAK inhibitor nezulcitinib (TD-0903) in severe COVID-19. Eur. Respir. J. 2021, 58, 2100673. [Google Scholar] [CrossRef]
- Andraos, R.; Qian, Z.; Bonenfant, D.; Rubert, J.; Vangrevelinghe, E.; Scheufler, C.; Marque, F.; Régnier, C.H.; De Pover, A.; Ryckelynck, H.; et al. Modulation of activation-loop phosphorylation by JAK inhibitors is binding mode dependent. Cancer Discov. 2012, 2, 512–523. [Google Scholar] [CrossRef]
- Wu, S.-C.; Li, L.S.; Kopp, N.; Montero, J.; Chapuy, B.; Yoda, A.; Christie, A.L.; Liu, H.; Christodoulou, A.; van Bodegom, D.; et al. Activity of the type II JAK2 inhibitor CHZ868 in B cell acute lymphoblastic leukemia. Cancer Cell 2015, 28, 29–41. [Google Scholar] [CrossRef]
- Burke, J.R.; Cheng, L.; Gillooly, K.M.; Strnad, J.; Zupa-Fernandez, A.; Catlett, I.M.; Zhang, Y.; Heimrich, E.M.; McIntyre, K.W.; Cunningham, M.D.; et al. Autoimmune pathways in mice and humans are blocked by pharmacological stabilization of the TYK2 pseudokinase domain. Sci. Transl. Med. 2019, 11, eaaw1736. [Google Scholar] [CrossRef]
- Lipka, D.B.; Hoffmann, L.S.; Heidel, F.; Markova, B.; Blum, M.-C.; Breitenbuecher, F.; Kasper, S.; Kindler, T.; Levine, R.L.; Huber, C.; et al. LS104, a non-ATP-competitive small-molecule inhibitor of JAK2, is potently inducing apoptosis in JAK2V617F-positive cells. Mol. Cancer Ther. 2008, 7, 1176–1184. [Google Scholar] [CrossRef]
- Jatiani, S.S.; Cosenza, S.C.; Reddy, M.V.R.; Ha, J.H.; Baker, S.J.; Samanta, A.K.; Olnes, M.J.; Pfannes, L.; Sloand, E.M.; Arlinghaus, R.B.; et al. A non-ATP-competitive dual inhibitor of JAK2 and BCR-ABL kinases: Elucidation of a novel therapeutic spectrum based on substrate competitive inhibition. Genes Cancer 2010, 1, 331–345. [Google Scholar] [CrossRef] [PubMed]
- Alexander, M.; Luo, Y.; Raimondi, G.; O’Shea, J.J.; Gadina, M. Jakinibs of all trades: Inhibiting cytokine signaling in immune-mediated pathologies. Pharmaceuticals 2022, 15, 48. [Google Scholar] [CrossRef] [PubMed]
- Casimiro-Garcia, A.; Trujillo, J.I.; Vajdos, F.; Juba, B.; Banker, M.E.; Aulabaugh, A.; Balbo, P.; Bauman, J.; Chrencik, J.; Coe, J.W.; et al. Identification of cyanamide-based Janus kinase 3 (JAK3) covalent inhibitors. J. Med. Chem. 2018, 61, 10665–10699. [Google Scholar] [CrossRef] [PubMed]
- Goedken, E.R.; Argiriadi, M.A.; Banach, D.L.; Fiamengo, B.A.; Foley, S.E.; Frank, K.E.; George, J.S.; Harris, C.M.; Hobson, A.D.; Ihle, D.C.; et al. Tricyclic covalent inhibitors selectively target Jak3 through an active site thiol. J. Biol. Chem. 2015, 290, 4573–4589. [Google Scholar] [CrossRef] [PubMed]
- Forster, M.; Chaikuad, A.; Bauer, S.M.; Holstein, J.; Robers, M.B.; Corona, C.R.; Gehringer, M.; Pfaffenrot, E.; Ghoreschi, K.; Knapp, S.; et al. Selective JAK3 Inhibitors with a covalent reversible binding mode targeting a new induced fit binding pocket. Cell Chem. Biol. 2016, 23, 1335–1340. [Google Scholar] [CrossRef]
- Telliez, J.-B.; Dowty, M.E.; Wang, L.; Jussif, J.; Lin, T.; Li, L.; Moy, E.; Balbo, P.; Li, W.; Zhao, Y.; et al. Discovery of a JAK3-selective inhibitor: Functional differentiation of JAK3-selective inhibition over pan-JAK or JAK1-selective inhibition. ACS Chem. Biol. 2016, 11, 3442–3451. [Google Scholar] [CrossRef]
- Dassault Systems BIOVIA. Discovery Studio Visualizer, version 16.1.0.15350; Dassault Systems: San Diego, CA, USA, 2016. [Google Scholar]
- Almalki, F.A.; Shawky, A.M.; Abdalla, A.N.; Gouda, A.M. Icotinib, almonertinib, and olmutinib: A 2D similarity/docking-based study to predict the potential binding modes and interactions into EGFR. Molecules 2021, 26, 6423. [Google Scholar] [CrossRef]
- Abourehab, M.A.S.; Alqahtani, A.M.; Almalki, F.A.; Zaher, D.M.; Abdalla, A.N.; Gouda, A.M.; Beshr, E.A.M. Pyrrolizine/indolizine-NSAID hybrids: Design, synthesis, biological evaluation, and molecular docking studies. Molecules 2021, 26, 6582. [Google Scholar] [CrossRef]
- Abourehab, M.A.S.; Alqahtani, A.M.; Youssif, B.G.M.; Gouda, A.M. Globally approved EGFR inhibitors: Insights into their syntheses, target kinases, biological activities, receptor interactions, and metabolism. Molecules 2021, 26, 6677. [Google Scholar] [CrossRef]
- Arulogun, S.O.; Choong, H.-L.; Taylor, D.; Ambrosoli, P.; Magor, G.; Irving, I.M.; Keng, T.-B.; Perkins, A.C. JAK1 somatic mutation in a myeloproliferative neoplasm. Haematologica 2017, 102, e324–e327. [Google Scholar] [CrossRef][Green Version]
- Musumeci, F.; Greco, C.; Giacchello, I.; Fallacara, A.L.; Ibrahim, M.M.; Grossi, G.; Brullo, C.; Schenone, S. An update on JAK inhibitors. Curr. Med. Chem. 2019, 26, 1806–1832. [Google Scholar] [CrossRef] [PubMed]
- Levine, R.L.; Pardanani, A.; Tefferi, A.; Gilliland, D.G. Role of JAK2 in the pathogenesis and therapy of myeloproliferative disorders. Nat. Rev. Cancer 2007, 7, 673–683. [Google Scholar] [CrossRef] [PubMed]
- Degryse, S.; Bornschein, S.; de Bock, C.E.; Leroy, E.; Vanden Bempt, M.; Demeyer, S.; Jacobs, K.; Geerdens, E.; Gielen, O.; Soulier, J.; et al. Mutant JAK3 signaling is increased by loss of wild-type JAK3 or by acquisition of secondary JAK3 mutations in T-ALL. Blood 2018, 131, 421–425. [Google Scholar] [CrossRef] [PubMed]
- O’Shea, J.J.; Husa, M.; Li, D.; Hofmann, S.R.; Watford, W.; Roberts, J.L.; Buckley, R.H.; Changelian, P.; Candotti, F. JAK3 and the pathogenesis of severe combined immunodeficiency. Mol. Immunol. 2004, 41, 727–737. [Google Scholar] [CrossRef]
- Nemoto, M.; Hattori, H.; Maeda, N.; Akita, N.; Muramatsu, H.; Moritani, S.; Kawasaki, T.; Maejima, M.; Ode, H.; Hachiya, A.; et al. Compound heterozygous TYK2 mutations underlie primary immunodeficiency with T-cell lymphopenia. Sci. Rep. 2018, 8, 6956. [Google Scholar] [CrossRef]
- Wu, P.; Chen, S.; Wu, B.; Chen, J.; Lv, G. A TYK2 gene mutation c.2395G>A leads to TYK2 deficiency: A case report and literature review. Front. Pediatr. 2020, 8, 253. [Google Scholar] [CrossRef]
- Menet, C.J.; van Rompaey, L.; Geney, R. Advances in the discovery of selective JAK inhibitors. Prog. Med. Chem. 2013, 52, 153–223. [Google Scholar] [CrossRef]
- Vazquez, M.L.; Kaila, N.; Strohbach, J.W.; Trzupek, J.D.; Brown, M.F.; Flanagan, M.E.; Mitton-Fry, M.J.; Johnson, T.A.; TenBrink, R.E.; Arnold, E.P.; et al. Identification of N-{cis-3-[Methyl(7H-pyrrolo[2,3-d]pyrimidin-4-yl)amino]cyclobutyl}propane-1-sulfonamide (PF-04965842): A selective JAK1 clinical candidate for the treatment of autoimmune diseases. J. Med. Chem. 2018, 61, 1130–1152. [Google Scholar] [CrossRef]
- Lucet, I.S.; Fantino, E.; Styles, M.; Bamert, R.; Patel, O.; Broughton, S.E.; Walter, M.; Burns, C.J.; Treutlein, H.; Wilks, A.F.; et al. The structural basis of Janus kinase 2 inhibition by a potent and specific pan-Janus kinase inhibitor. Blood 2006, 107, 176–183. [Google Scholar] [CrossRef]
- Thoma, G.; Nuninger, F.; Falchetto, R.; Hermes, E.; Tavares, G.A.; Vangrevelinghe, E.; Zerwes, H.-G. Identification of a potent Janus kinase 3 inhibitor with high selectivity within the Janus kinase family. J. Med. Chem. 2011, 54, 284–288. [Google Scholar] [CrossRef]
- Fensome, A.; Ambler, C.M.; Arnold, E.; Banker, M.E.; Clark, J.D.; Dowty, M.E.; Efremov, I.V.; Flick, A.; Gerstenberger, B.S.; Gifford, R.S.; et al. Design and optimization of a series of 4-(3-azabicyclo[3.1.0]hexan-3-yl)pyrimidin-2-amines: Dual inhibitors of TYK2 and JAK1. Bioorg. Med. Chem. 2020, 28, 115481. [Google Scholar] [CrossRef] [PubMed]
- Meydan, N.; Grunberger, T.; Dadi, H.; Shahar, M.; Arpaia, E.; Lapidot, Z.; Leeder, J.S.; Freedman, M.; Cohen, A.; Gazit, A.; et al. Inhibition of acute lymphoblastic leukaemia by a JAK-2 inhibitor. Nature 1996, 379, 645–648. [Google Scholar] [CrossRef] [PubMed]
- Coricello, A.; Mesiti, F.; Lupia, A.; Maruca, A.; Alcaro, S. Inside perspective of the synthetic and computational toolbox of JAK inhibitors: Recent updates. Molecules 2020, 25, 3321. [Google Scholar] [CrossRef] [PubMed]
- Markham, A. Baricitinib: First global approval. Drugs 2017, 77, 697–704. [Google Scholar] [CrossRef]
- Blair, H.A. Fedratinib: First approval. Drugs 2019, 79, 1719–1725. [Google Scholar] [CrossRef]
- Duggan, S.; Keam, S.J. Upadacitinib: First approval. Drugs 2019, 79, 1819–1828. [Google Scholar] [CrossRef]
- Markham, A.; Keam, S.J. Peficitinib: First global approval. Drugs 2019, 79, 887–891. [Google Scholar] [CrossRef]
- Dhillon, S. Delgocitinib: First approval. Drugs 2020, 80, 609–615. [Google Scholar] [CrossRef]
- Dhillon, S.; Keam, S.J. Filgotinib: First approval. Drugs 2020, 80, 1987–1997. [Google Scholar] [CrossRef]
- Connor, C.G.; DeForest, J.C.; Dietrich, P.; Do, N.M.; Doyle, K.M.; Eisenbeis, S.; Greenberg, E.; Griffin, S.H.; Jones, B.P.; Jones, K.N.; et al. Development of a nitrene-type rearrangement for the commercial route of the JAK1 inhibitor abrocitinib. Org. Process Res. Dev. 2021, 25, 608–615. [Google Scholar] [CrossRef]
- Deeks, E.D.; Duggan, S. Abrocitinib: First approval. Drugs 2021, 81, 2149–2157. [Google Scholar] [CrossRef] [PubMed]
- Eichenfield, L.F.; Flohr, C.; Sidbury, R.; Siegfried, E.; Szalai, Z.; Galus, R.; Yao, Z.; Takahashi, H.; Barbarot, S.; Feeney, C.; et al. Efficacy and safety of abrocitinib in combination with topical therapy in adolescents with moderate-to-severe atopic dermatitis: The JADE TEEN randomized clinical trial. JAMA Dermatol. 2021, 157, 1165–1173. [Google Scholar] [CrossRef] [PubMed]
- Bieber, T.; Simpson, E.L.; Silverberg, J.I.; Thaçi, D.; Paul, C.; Pink, A.E.; Kataoka, Y.; Chu, C.-Y.; DiBonaventura, M.; Rojo, R.; et al. Abrocitinib versus placebo or dupilumab for atopic dermatitis. N. Engl. J. Med. 2021, 384, 1101–1112. [Google Scholar] [CrossRef]
- Blauvelt, A.; Silverberg, J.I.; Lynde, C.W.; Bieber, T.; Eisman, S.; Zdybski, J.; Gubelin, W.; Simpson, E.L.; Valenzuela, F.; Criado, P.R.; et al. Abrocitinib induction, randomized withdrawal, and retreatment in patients with moderate-to-severe atopic dermatitis: Results from the JAK1 Atopic dermatitis efficacy and safety (JADE) REGIMEN phase 3 trial. J. Am. Acad. Dermatol. 2022, 86, 104–112. [Google Scholar] [CrossRef]
- Wang, E.Q.; Le, V.; O’Gorman, M.; Tripathy, S.; Dowty, M.E.; Wang, L.; Malhotra, B.K. Effects of hepatic impairment on the pharmacokinetics of abrocitinib and its metabolites. J. Clin. Pharmacol. 2021, 61, 1311–1323. [Google Scholar] [CrossRef] [PubMed]
- European Medicines Agency EMA/MB/69923/2010, Abrocitinib Assessment Report. Available online: https://www.ema.europa.eu/en/documents/assessment-report/cibinqo-epar-public-assessment-report_en.pdf (accessed on 14 February 2022).
- FDA Fact Sheet for Healthcare Providers Emergency use Authorization (EUA) of Baricitinib. Available online: https://www.fda.gov/media/143823/download (accessed on 20 April 2022).
- Rodgers, J.D.; Shepard, S. Azetidine and Cyclobutane Derivatives as JAK Inhibitors. US Patent 8,158,616, 17 April 2012. [Google Scholar]
- Xu, J.; Cai, J.; Chen, J.; Zong, X.; Wu, X.; Ji, M.; Wang, P. An efficient synthesis of baricitinib. J. Chem. Res. 2016, 40, 205–208. [Google Scholar] [CrossRef]
- Azad, M.A.K.; Pandey, G.; Singh, K.; Prasad, M. Process for the Preparation of Baricitinib and an Intermediate Thereof. U.S. Patent US10526350B2, 7 January 2020. [Google Scholar]
- Cui, X.; Du, J.; Jia, Z.; Wang, X.; Jia, H. A green and facile synthesis of an industrially important quaternary heterocyclic intermediates for baricitinib. BMC Chem. 2019, 13, 123. [Google Scholar] [CrossRef] [PubMed]
- Clark, J.D.; Flanagan, M.E.; Telliez, J.-B. Discovery and development of Janus kinase (JAK) inhibitors for inflammatory diseases. J. Med. Chem. 2014, 57, 5023–5038. [Google Scholar] [CrossRef]
- Sorrell, F.J.; Szklarz, M.; Abdul Azeez, K.R.; Elkins, J.M.; Knapp, S. Family-wide structural analysis of human numb-associated protein kinases. Structure 2016, 24, 401–411. [Google Scholar] [CrossRef]
- Davis, R.R.; Li, B.; Yun, S.Y.; Chan, A.; Nareddy, P.; Gunawan, S.; Ayaz, M.; Lawrence, H.R.; Reuther, G.W.; Lawrence, N.J.; et al. Structural insights into JAK2 inhibition by ruxolitinib, fedratinib, and derivatives thereof. J. Med. Chem. 2021, 64, 2228–2241. [Google Scholar] [CrossRef]
- Chang, Y.; Min, J.; Jarusiewicz, J.; Actis, M.; Bradford, S.Y.-C.; Mayasundari, A.; Yang, L.; Chepyala, D.; Alcock, L.J.; Roberts, K.G.; et al. Degradation of Janus kinases in CRLF2-rearranged acute lymphoblastic leukemia. Blood. 2021, 138, 2313–2326. [Google Scholar] [CrossRef] [PubMed]
- Wan, M.; Cao, X. BMP signaling in skeletal development. Biochem. Biophys. Res. Commun. 2005, 328, 651–657. [Google Scholar] [CrossRef] [PubMed]
- Al-Salama, Z.T.; Scott, L.J. Baricitinib: A review in rheumatoid arthritis. Drugs 2018, 78, 761–772. [Google Scholar] [CrossRef] [PubMed]
- Wallace, D.J.; Furie, R.A.; Tanaka, Y.; Kalunian, K.C.; Mosca, M.; Petri, M.A.; Dörner, T.; Cardiel, M.H.; Bruce, I.N.; Gomez, E.; et al. Baricitinib for systemic lupus erythematosus: A double-blind, randomised, placebo-controlled, phase 2 trial. Lancet 2018, 392, 222–231. [Google Scholar] [CrossRef]
- Guttman-Yassky, E.; Silverberg, J.I.; Nemoto, O.; Forman, S.B.; Wilke, A.; Prescilla, R.; de la Peña, A.; Nunes, F.P.; Janes, J.; Gamalo, M.; et al. Baricitinib in adult patients with moderate-to-severe atopic dermatitis: A phase 2 parallel, double-blinded, randomized placebo-controlled multiple-dose study. J. Am. Acad. Dermatol. 2019, 80, 913–921.e9. [Google Scholar] [CrossRef]
- Hasan, M.J.; Rabbani, R.; Anam, A.M.; Huq, S.M.R. Additional baricitinib loading dose improves clinical outcome in COVID-19. Open Med. 2021, 16, 41–46. [Google Scholar] [CrossRef]
- Kalil, A.C.; Patterson, T.F.; Mehta, A.K.; Tomashek, K.M.; Wolfe, C.R.; Ghazaryan, V.; Marconi, V.C.; Ruiz-Palacios, G.M.; Hsieh, L.; Kline, S.; et al. Baricitinib plus remdesivir for hospitalized adults with COVID-19. N. Engl. J. Med. 2020, 384, 795–807. [Google Scholar] [CrossRef]
- Izumo, T.; Kuse, N.; Awano, N.; Tone, M.; Sakamoto, K.; Takada, K.; Muto, Y.; Fujimoto, K.; Saiki, A.; Ito, Y.; et al. Clinical impact of combination therapy with baricitinib, remdesivir, and dexamethasone in patients with severe COVID-19. Respir. Investig. 2021, 59, 799–803. [Google Scholar] [CrossRef]
- Eli Lilly & Co. Baricitinib. U.S. Food and Drug Administration Website. Available online: https://www.accessdata.fda.gov/drugsatfda_docs/nda/2018/207924Orig1s000PharmR.pdf (accessed on 16 February 2022).
- Eli Lilly Australia Pty Ltd. Olumiant Australian Public Assessment Report for Baricitinib. Available online: https://www.tga.gov.au/sites/default/files/auspar-baricitinib-190321.pdf (accessed on 16 February 2022).
- Noji, S.; Hara, Y.; Miura, T.; Yamanaka, H.; Maeda, K.; Hori, A.; Yamamoto, H.; Obika, S.; Inoue, M.; Hase, Y.; et al. Discovery of a Janus kinase inhibitor bearing a highly three-dimensional spiro scaffold: JTE-052 (delgocitinib) as a new dermatological agent to treat inflammatory skin disorders. J. Med. Chem. 2020, 63, 7163–7185. [Google Scholar] [CrossRef]
- Takiguchi, H.; Higashi, A.; Watanabe, T.; Takeichi, T.; Shimazaki, T.; Inaba, T. Stereocontrolled synthesis of delgocitinib, a JAK inhibitor for the treatment of atopic dermatitis. Org. Process Res. Dev. 2021, 25, 342–348. [Google Scholar] [CrossRef]
- Nakagawa, H.; Nemoto, O.; Igarashi, A.; Saeki, H.; Kaino, H.; Nagata, T. Delgocitinib ointment, a topical Janus kinase inhibitor, in adult patients with moderate to severe atopic dermatitis: A phase 3, randomized, double-blind, vehicle-controlled study and an open-label, long-term extension study. J. Am. Acad. Dermatol. 2020, 82, 823–831. [Google Scholar] [CrossRef] [PubMed]
- Tanimoto, A.; Ogawa, Y.; Oki, C.; Kimoto, Y.; Nozawa, K.; Amano, W.; Noji, S.; Shiozaki, M.; Matsuo, A.; Shinozaki, Y.; et al. Pharmacological properties of JTE-052: A novel potent JAK inhibitor that suppresses various inflammatory responses in vitro and in vivo. Inflamm. Res. 2015, 64, 41–51. [Google Scholar] [CrossRef] [PubMed]
- Worm, M.; Bauer, A.; Elsner, P.; Mahler, V.; Molin, S.; Nielsen, T.S.S. Efficacy and safety of topical delgocitinib in patients with chronic hand eczema: Data from a randomized, double-blind, vehicle-controlled phase IIa study. Br. J. Dermatol. 2020, 182, 1103–1110. [Google Scholar] [CrossRef] [PubMed]
- Xie, Z.; Yang, X.; Duan, Y.; Han, J.; Liao, C. Small-molecule kinase inhibitors for the treatment of nononcologic diseases. J. Med. Chem. 2021, 64, 1283–1345. [Google Scholar] [CrossRef]
- Nakagawa, H.; Nemoto, O.; Yamada, H.; Nagata, T.; Ninomiya, N. Phase 1 studies to assess the safety, tolerability and pharmacokinetics of JTE-052 (a novel Janus kinase inhibitor) ointment in Japanese healthy volunteers and patients with atopic dermatitis. J. Dermatol. 2018, 45, 701–709. [Google Scholar] [CrossRef]
- Japan Tobacco Inc. Report on the Deliberation Results, Corectim Ointment 0.5% (Delgocitinib). Available online: https://www.pmda.go.jp/files/000240793.pdf (accessed on 16 February 2022).
- Flick, A.C.; Leverett, C.A.; Ding, H.X.; McInturff, E.; Fink, S.J.; Mahapatra, S.; Carney, D.W.; Lindsey, E.A.; DeForest, J.C.; France, S.P.; et al. Synthetic approaches to the new drugs approved during 2019. J. Med. Chem. 2021, 64, 3604–3657. [Google Scholar] [CrossRef]
- Wang, Y.; Li, H. Diphenylaminopyrimidine Compound for Inhibiting Kinase Activity. U.S. Patent US20200071303A1, 5 March 2020. [Google Scholar]
- Noronha, G.; Mak, C.C.; Cao, J.; Renick, J.; McPherson, A.; Zeng, B.; Pathak, V.P.; Lohse, D.L.; Hood, J.D.; Soll, R.M. Preparation of Pyrimidine Derivatives as JAK Kinases Inhibitors. U.S. Patent US20110212077A1, 1 September 2011. [Google Scholar]
- Tefferi, A. N-tert-Butyl-3-[(5-methyl-2-{[4-(2-pyrrolidin-1- ylethoxy)phenyl]amino}pyrimidin-4-yl)amino]benzenesulfonamide for treating myelofibrosis. WO2012060847A1, 10 May 2012. [Google Scholar]
- Ciceri, P.; Müller, S.; O’Mahony, A.; Fedorov, O.; Filippakopoulos, P.; Hunt, J.P.; Lasater, E.A.; Pallares, G.; Picaud, S.; Wells, C.; et al. Dual kinase-bromodomain inhibitors for rationally designed polypharmacology. Nat. Chem. Biol. 2014, 10, 305–312. [Google Scholar] [CrossRef]
- Ember, S.W.J.; Zhu, J.-Y.; Olesen, S.H.; Martin, M.P.; Becker, A.; Berndt, N.; Georg, G.I.; Schönbrunn, E. Acetyl-lysine binding site of bromodomain-containing protein 4 (BRD4) interacts with diverse kinase inhibitors. ACS Chem. Biol. 2014, 9, 1160–1171. [Google Scholar] [CrossRef]
- Talpaz, M.; Kiladjian, J.-J. Fedratinib, a newly approved treatment for patients with myeloproliferative neoplasm-associated myelofibrosis. Leukemia 2021, 35, 1–17. [Google Scholar] [CrossRef]
- Poubel, C.P.; Mansur, M.B.; Boroni, M.; Emerenciano, M. FLT3 overexpression in acute leukaemias: New insights into the search for molecular mechanisms. Biochim. Biophys. Acta Rev. Cancer 2019, 1872, 80–88. [Google Scholar] [CrossRef]
- Muller, S.; Filippakopoulos, P.; Knapp, S. Bromodomains as therapeutic targets. Expert Rev. Mol. Med. 2011, 13, e29. [Google Scholar] [CrossRef] [PubMed]
- Ogasawara, K.; Xu, C.; Kanamaluru, V.; Siebers, N.; Surapaneni, S.; Ridoux, L.; Palmisano, M.; Krishna, G. Excretion balance and pharmacokinetics following a single oral dose of [14C]-fedratinib in healthy subjects. Cancer Chemother. Pharmacol. 2020, 86, 307–314. [Google Scholar] [CrossRef] [PubMed]
- Menet, C.J.M.; van Rompaey, L.J.C.; Robert, S.; Blanc, J.; Jouannigot, N.; Hodges, A.J.; Smits, K.K. Novel Compounds Useful for the Treatment of Degenerative and Inflammatory Diseases. WO2010010190A1, 28 January 2021. [Google Scholar]
- Ayala-Aguilera, C.C.; Valero, T.; Lorente-Macías, Á.; Baillache, D.J.; Croke, S.; Unciti-Broceta, A. Small molecule kinase inhibitor drugs (1995–2021): Medical indication, pharmacology, and synthesis. J. Med. Chem. 2021, 65, 1047–1131. [Google Scholar] [CrossRef] [PubMed]
- Van Rompaey, L.; Galien, R.; van der Aar, E.M.; Clement-Lacroix, P.; Nelles, L.; Smets, B.; Lepescheux, L.; Christophe, T.; Conrath, K.; Vandeghinste, N.; et al. Preclinical characterization of GLPG0634, a selective inhibitor of JAK1, for the treatment of inflammatory diseases. J. Immunol. 2013, 191, 3568–3577. [Google Scholar] [CrossRef] [PubMed]
- Menet, C.J.; Fletcher, S.R.; Van Lommen, G.; Geney, R.; Blanc, J.; Smits, K.; Jouannigot, N.; Deprez, P.; van der Aar, E.M.; Clement-Lacroix, P.; et al. Triazolopyridines as selective JAK1 inhibitors: From hit identification to GLPG0634. J. Med. Chem. 2014, 57, 9323–9342. [Google Scholar] [CrossRef] [PubMed]
- Newton, A.S.; Deiana, L.; Puleo, D.E.; Cisneros, J.A.; Cutrona, K.J.; Schlessinger, J.; Jorgensen, W.L. JAK2 JH2 Fluorescence polarization assay and crystal structures for complexes with three small molecules. ACS Med. Chem. Lett. 2017, 8, 614–617. [Google Scholar] [CrossRef]
- Norman, P. Selective JAK inhibitors in development for rheumatoid arthritis. Expert Opin. Investig. Drugs 2014, 23, 1067–1077. [Google Scholar] [CrossRef] [PubMed]
- Vanhoutte, F.; Mazur, M.; Voloshyn, O.; Stanislavchuk, M.; Van der Aa, A.; Namour, F.; Galien, R.; Meuleners, L.; van ’t Klooster, G. Efficacy, safety, pharmacokinetics, and pharmacodynamics of filgotinib, a selective JAK-1 inhibitor, after short-term treatment of rheumatoid arthritis: Results of two randomized phase IIa trials. Arthritis Rheumatol. 2017, 69, 1949–1959. [Google Scholar] [CrossRef] [PubMed]
- Westhovens, R.; Taylor, P.C.; Alten, R.; Pavlova, D.; Enríquez-Sosa, F.; Mazur, M.; Greenwald, M.; Van der Aa, A.; Vanhoutte, F.; Tasset, C.; et al. Filgotinib (GLPG0634/GS-6034), an oral JAK1 selective inhibitor, is effective in combination with methotrexate (MTX) in patients with active rheumatoid arthritis and insufficient response to MTX: Results from a randomised, dose-finding study (DARWIN 1). Ann. Rheum. Dis. 2017, 76, 998–1008. [Google Scholar] [CrossRef] [PubMed]
- Labetoulle, R.; Paul, S.; Roblin, X. Filgotinib for the treatment of Crohn’s disease. Expert Opin. Investig. Drugs 2018, 27, 295–300. [Google Scholar] [CrossRef] [PubMed]
- Vermeire, S.; Schreiber, S.; Petryka, R.; Kuehbacher, T.; Hebuterne, X.; Roblin, X.; Klopocka, M.; Goldis, A.; Wisniewska-Jarosinska, M.; Baranovsky, A.; et al. Clinical remission in patients with moderate-to-severe Crohn’s disease treated with filgotinib (the FITZROY study): Results from a phase 2, double-blind, randomised, placebo-controlled trial. Lancet 2017, 389, 266–275. [Google Scholar] [CrossRef]
- Feagan, B.G.; Danese, S.; Loftus, E.V.J.; Vermeire, S.; Schreiber, S.; Ritter, T.; Fogel, R.; Mehta, R.; Nijhawan, S.; Kempiński, R.; et al. Filgotinib as induction and maintenance therapy for ulcerative colitis (SELECTION): A phase 2b/3 double-blind, randomised, placebo-controlled trial. Lancet 2021, 397, 2372–2384. [Google Scholar] [CrossRef]
- Mease, P.; Coates, L.C.; Helliwell, P.S.; Stanislavchuk, M.; Rychlewska-Hanczewska, A.; Dudek, A.; Abi-Saab, W.; Tasset, C.; Meuleners, L.; Harrison, P.; et al. Efficacy and safety of filgotinib, a selective Janus kinase 1 inhibitor, in patients with active psoriatic arthritis (EQUATOR): Results from a randomised, placebo-controlled, phase 2 trial. Lancet 2018, 392, 2367–2377. [Google Scholar] [CrossRef]
- Namour, F.; Diderichsen, P.M.; Cox, E.; Vayssière, B.; Van der Aa, A.; Tasset, C.; Van’t Klooster, G. Pharmacokinetics and pharmacokinetic/pharmacodynamic modeling of filgotinib (GLPG0634), a selective JAK1 inhibitor, in support of phase IIB dose selection. Clin. Pharmacokinet. 2015, 54, 859–874. [Google Scholar] [CrossRef] [PubMed]
- Van’t Klooster, G.A.E.; Brys, R.C.X.; Van Rompaey, L.J.C.; Namour, F.S. Aminotriazolopyridine for Use in the Treatment of Inflammation, and Pharmaceutical Compositions Thereof. WO2013189771A1, 27 December 2013. [Google Scholar]
- Namour, F.; Desrivot, J.; Van der Aa, A.; Harrison, P.; Tasset, C.; van’t Klooster, G. Clinical confirmation that the selective JAK1 inhibitor filgotinib (GLPG0634) has a low liability for drug-drug interactions. Drug Metab. Lett. 2016, 10, 38–48. [Google Scholar] [CrossRef] [PubMed]
- Gonzales, A.J.; Bowman, J.W.; Fici, G.J.; Zhang, M.; Mann, D.W.; Mitton-Fry, M. Oclacitinib (APOQUEL®) is a novel Janus kinase inhibitor with activity against cytokines involved in allergy. J. Vet. Pharmacol. Ther. 2014, 37, 317–324. [Google Scholar] [CrossRef] [PubMed]
- Berlinski, P.J.; Birchmeier, M.J.; Bowman, J.W.; Gonzales, A.J.; Kamerling, S.G.; Mann, D.W.; Mitton-Fry, M.J. Pyrrolo[2,3-d]Pyrimidine Compounds. WO2010020905A1, 25 February 2010. [Google Scholar]
- Haugh, I.M.; Watson, I.T.; Alan Menter, M. Successful treatment of atopic dermatitis with the JAK1 inhibitor oclacitinib. Bayl. Univ. Med. Cent. Proc. 2018, 31, 524–525. [Google Scholar] [CrossRef] [PubMed]
- Cosgrove, S.B.; Wren, J.A.; Cleaver, D.M.; Martin, D.D.; Walsh, K.F.; Harfst, J.A.; Follis, S.L.; King, V.L.; Boucher, J.F.; Stegemann, M.R. Efficacy and safety of oclacitinib for the control of pruritus and associated skin lesions in dogs with canine allergic dermatitis. Vet. Dermatol. 2013, 24, 479-e114. [Google Scholar] [CrossRef] [PubMed]
- Rynhoud, H.; Gibson, J.S.; Meler, E.; Soares Magalhães, R.J. The association between the use of oclacitinib and antibacterial therapy in dogs with allergic dermatitis: A retrospective case-control study. Front. Vet. Sci. 2021, 8, 631443. [Google Scholar] [CrossRef] [PubMed]
- Banovic, F.; Tarigo, J.; Gordon, H.; Barber, J.P.; Gogal, R.M.J. Immunomodulatory in vitro effects of oclacitinib on canine T-cell proliferation and cytokine production. Vet. Dermatol. 2019, 30, 17-e6. [Google Scholar] [CrossRef] [PubMed]
- De Caro Martins, G.; da Costa-Val, A.P.; Coura, F.M.; Diamantino, G.M.L.; Nogueira, M.M.; de Oliveira Melo-Junior, O.A.; Giunchetti, R.C.; da Silveira-Lemos, D.; Melo, M.M. Immunomodulatory effect of long-term oclacitinib maleate therapy in dogs with atopic dermatitis. Vet. Dermatol. 2021, 33, 142-e40. [Google Scholar] [CrossRef] [PubMed]
- Collard, W.T.; Hummel, B.D.; Fielder, A.F.; King, V.L.; Boucher, J.F.; Mullins, M.A.; Malpas, P.B.; Stegemann, M.R. The pharmacokinetics of oclacitinib maleate, a Janus kinase inhibitor, in the dog. J. Vet. Pharmacol. Ther. 2014, 37, 279–285. [Google Scholar] [CrossRef] [PubMed]
- Zoetisus.com APOQUEL® (Oclacitinib Tablet): Fast-Acting and Safe Itch Relief for Dogs. Available online: https://www.zoetisus.com/products/dogs/apoquel/assets/downloadable-resources/1413113_m03r_apl_infosheet_fda_labelupdate-_1__new2019.pdf (accessed on 14 February 2022).
- FDA Approves Drug for Adults with Rare Form of Bone Marrow Disorder. Available online: https://www.fda.gov/drugs/news-events-human-drugs/fda-approves-drug-adults-rare-form-bone-marrow-disorder (accessed on 17 April 2022).
- William, A.D.; Lee, A.C.-H.; Blanchard, S.; Poulsen, A.; Teo, E.L.; Nagaraj, H.; Tan, E.; Chen, D.; Williams, M.; Sun, E.T.; et al. Discovery of the macrocycle 11-(2-pyrrolidin-1-yl-ethoxy)-14,19-dioxa-5,7,26-triaza-tetracyclo[19.3.1.1(2,6).1(8,12)]heptacosa-1(25),2(26),3,5,8,10,12(27),16,21,23-decaene (SB1518), a potent Janus kinase 2/fms-like tyrosine kinase-3 (JAK2/FLT3) inhibitor. J. Med. Chem. 2011, 54, 4638–4658. [Google Scholar] [CrossRef] [PubMed]
- Singer, J.W.; Al-Fayoumi, S.; Ma, H.; Komrokji, R.S.; Mesa, R.; Verstovsek, S. Comprehensive kinase profile of pacritinib, a nonmyelosuppressive Janus kinase 2 inhibitor. J. Exp. Pharmacol. 2016, 8, 11–19. [Google Scholar] [CrossRef]
- Klaeger, S.; Heinzlmeir, S.; Wilhelm, M.; Polzer, H.; Vick, B.; Koenig, P.-A.; Reinecke, M.; Ruprecht, B.; Petzoldt, S.; Meng, C.; et al. The target landscape of clinical kinase drugs. Science 2017, 358, eaan4368. [Google Scholar] [CrossRef] [PubMed]
- Mesa, R.A.; Vannucchi, A.M.; Mead, A.; Egyed, M.; Szoke, A.; Suvorov, A.; Jakucs, J.; Perkins, A.; Prasad, R.; Mayer, J.; et al. Pacritinib versus best available therapy for the treatment of myelofibrosis irrespective of baseline cytopenias (PERSIST-1): An international, randomised, phase 3 trial. Lancet. Haematol. 2017, 4, e225–e236. [Google Scholar] [CrossRef]
- Mascarenhas, J.; Hoffman, R.; Talpaz, M.; Gerds, A.T.; Stein, B.; Gupta, V.; Szoke, A.; Drummond, M.; Pristupa, A.; Granston, T.; et al. Pacritinib vs best available therapy, including ruxolitinib, in patients with myelofibrosis: A randomized clinical trial. JAMA Oncol. 2018, 4, 652–659. [Google Scholar] [CrossRef]
- Hosseini, M.M.; Kurtz, S.E.; Abdelhamed, S.; Mahmood, S.; Davare, M.A.; Kaempf, A.; Elferich, J.; McDermott, J.E.; Liu, T.; Payne, S.H.; et al. Inhibition of interleukin-1 receptor-associated kinase-1 is a therapeutic strategy for acute myeloid leukemia subtypes. Leukemia 2018, 32, 2374–2387. [Google Scholar] [CrossRef]
- Jeon, J.Y.; Zhao, Q.; Buelow, D.R.; Phelps, M.; Walker, A.R.; Mims, A.S.; Vasu, S.; Behbehani, G.; Blachly, J.; Blum, W.; et al. Preclinical activity and a pilot phase I study of pacritinib, an oral JAK2/FLT3 inhibitor, and chemotherapy in FLT3-ITD-positive AML. Investig. New Drugs 2020, 38, 340–349. [Google Scholar] [CrossRef]
- Jensen, K.V.; Cseh, O.; Aman, A.; Weiss, S.; Luchman, H.A. The JAK2/STAT3 inhibitor pacritinib effectively inhibits patient-derived GBM brain tumor initiating cells in vitro and when used in combination with temozolomide increases survival in an orthotopic xenograft model. PLoS ONE 2017, 12, e0189670. [Google Scholar] [CrossRef]
- Jayaraman, R.; Pasha, M.K.; Williams, A.; Goh, K.C.; Ethirajulu, K. Metabolism and disposition of pacritinib (SB1518), an orally active Janus kinase 2 inhibitor in preclinical species and humans. Drug Metab. Lett. 2015, 9, 28–47. [Google Scholar] [CrossRef] [PubMed]
- Inoue, T.; Tanaka, A.; Nakai, K.; Sasaki, H.; Takahashi, F.; Shirakami, S.; Hatanaka, K.; Nakajima, Y.; Mukoyoshi, K.; Hamaguchi, H.; et al. Heterocyclic Janus Kinase 3 Inhibitors. WO2007077949A1, 12 July 2007. [Google Scholar]
- Ito, M.; Yamazaki, S.; Yamagami, K.; Kuno, M.; Morita, Y.; Okuma, K.; Nakamura, K.; Chida, N.; Inami, M.; Inoue, T.; et al. A novel JAK inhibitor, peficitinib, demonstrates potent efficacy in a rat adjuvant-induced arthritis model. J. Pharmacol. Sci. 2017, 133, 25–33. [Google Scholar] [CrossRef] [PubMed]
- Takeuchi, T.; Tanaka, Y.; Iwasaki, M.; Ishikura, H.; Saeki, S.; Kaneko, Y. Efficacy and safety of the oral Janus kinase inhibitor peficitinib (ASP015K) monotherapy in patients with moderate to severe rheumatoid arthritis in Japan: A 12-week, randomised, double-blind, placebo-controlled phase IIb study. Ann. Rheum. Dis. 2016, 75, 1057–1064. [Google Scholar] [CrossRef] [PubMed]
- Hamaguchi, H.; Amano, Y.; Moritomo, A.; Shirakami, S.; Nakajima, Y.; Nakai, K.; Nomura, N.; Ito, M.; Higashi, Y.; Inoue, T. Discovery and structural characterization of peficitinib (ASP015K) as a novel and potent JAK inhibitor. Bioorg. Med. Chem. 2018, 26, 4971–4983. [Google Scholar] [CrossRef] [PubMed]
- Zhang, J.-M.; An, J. Cytokines, inflammation, and pain. Int. Anesthesiol. Clin. 2007, 45, 27–37. [Google Scholar] [CrossRef]
- Takeuchi, T.; Tanaka, Y.; Tanaka, S.; Kawakami, A.; Song, Y.-W.; Chen, Y.-H.; Rokuda, M.; Izutsu, H.; Ushijima, S.; Kaneko, Y. Safety and effectiveness of peficitinib (ASP015K) in patients with rheumatoid arthritis: Final results (32 months of mean peficitinib treatment) from a long-term, open-label extension study in Japan, Korea, and Taiwan. Rheumatol. Ther. 2021, 8, 425–442. [Google Scholar] [CrossRef]
- Genovese, M.C.; Greenwald, M.; Codding, C.; Zubrzycka-Sienkiewicz, A.; Kivitz, A.J.; Wang, A.; Shay, K.; Wang, X.; Garg, J.P.; Cardiel, M.H. Peficitinib, a JAK inhibitor, in combination with limited conventional synthetic disease-modifying antirheumatic drugs in the treatment of moderate-to-severe rheumatoid arthritis. Arthritis Rheumatol. 2017, 69, 932–942. [Google Scholar] [CrossRef]
- Tanaka, Y.; Izutsu, H. Peficitinib for the treatment of rheumatoid arthritis: An overview from clinical trials. Expert Opin. Pharmacother. 2020, 21, 1015–1025. [Google Scholar] [CrossRef]
- Takeuchi, T.; Tanaka, Y.; Tanaka, S.; Kawakami, A.; Song, Y.-W.; Chen, Y.-H.; Rokuda, M.; Izutsu, H.; Ushijima, S.; Kaneko, Y.; et al. Safety and effectiveness of peficitinib (ASP015K) in patients with rheumatoid arthritis: Interim data (22.7 months mean peficitinib treatment) from a long-term, open-label extension study in Japan, Korea, and Taiwan. Arthritis Res. Ther. 2020, 22, 47. [Google Scholar] [CrossRef]
- Kaneko, Y. Efficacy and safety of peficitinib in rheumatoid arthritis. Mod. Rheumatol. 2020, 30, 773–778. [Google Scholar] [CrossRef]
- Oda, K.; Cao, Y.J.; Sawamoto, T.; Nakada, N.; Fisniku, O.; Nagasaka, Y.; Sohda, K.-Y. Human mass balance, metabolite profile and identification of metabolic enzymes of [14C]ASP015K, a novel oral janus kinase inhibitor. Xenobiotica 2015, 45, 887–902. [Google Scholar] [CrossRef] [PubMed]
- Miyatake, D.; Shibata, T.; Toyoshima, J.; Kaneko, Y.; Oda, K.; Nishimura, T.; Katashima, M.; Sakaki, M.; Inoue, K.; Ito, T.; et al. Pharmacokinetics and safety of a single oral dose of peficitinib (ASP015K) in Japanese subjects with normal and impaired hepatic function. Clin. Pharmacol. Drug Dev. 2020, 9, 699–708. [Google Scholar] [CrossRef] [PubMed]
- Yang, W.; Zhu, G.; Qin, M.; Li, Z.; Wang, B.; Yang, J.; Wang, T. The effectiveness of ruxolitinib for acute/chronic graft-versus-host disease in children: A retrospective study. Drug Des. Devel. Ther. 2021, 15, 743–752. [Google Scholar] [CrossRef] [PubMed]
- Rodgers, D.J.; Shepard, S. Heteroaryl Substituted Pyrrolo[2,3-b]pyridines and Pyrrolo[2,3-b]pyrimidines as Janus Kinase Inhibitors. U.S. Patent US7598257B2, 16 October 2009. [Google Scholar]
- Haydl, A.M.; Xu, K.; Breit, B. Regio- and enantioselective synthesis of N-substituted pyrazoles by rhodium-catalyzed asymmetric addition to allenes. Angew. Chemie Int. Ed. 2015, 54, 7149–7153. [Google Scholar] [CrossRef] [PubMed]
- Lin, Q.; Meloni, D.; Pan, Y.; Xia, M.; Rodgers, J.; Shepard, S.; Li, M.; Galya, L.; Metcalf, B.; Yue, T.-Y.; et al. Enantioselective synthesis of Janus kinase inhibitor INCB018424 via an organocatalytic Aza-Michael reaction. Org. Lett. 2009, 11, 1999–2002. [Google Scholar] [CrossRef] [PubMed]
- Zhou, T.; Georgeon, S.; Moser, R.; Moore, D.J.; Caflisch, A.; Hantschel, O. Specificity and mechanism-of-action of the JAK2 tyrosine kinase inhibitors ruxolitinib and SAR302503 (TG101348). Leukemia 2014, 28, 404–407. [Google Scholar] [CrossRef]
- Duan, Y.; Chen, L.; Chen, Y.; Fan, X. c-Src binds to the cancer drug Ruxolitinib with an active conformation. PLoS ONE 2014, 9, e106225. [Google Scholar] [CrossRef]
- Quintás-Cardama, A.; Vaddi, K.; Liu, P.; Manshouri, T.; Li, J.; Scherle, P.A.; Caulder, E.; Wen, X.; Li, Y.; Waeltz, P.; et al. Preclinical characterization of the selective JAK1/2 inhibitor INCB018424: Therapeutic implications for the treatment of myeloproliferative neoplasms. Blood 2010, 115, 3109–3117. [Google Scholar] [CrossRef]
- Arana Yi, C.; Tam, C.S.; Verstovsek, S. Efficacy and safety of ruxolitinib in the treatment of patients with myelofibrosis. Future Oncol. 2015, 11, 719–733. [Google Scholar] [CrossRef]
- Verstovsek, S.; Mesa, R.A.; Gotlib, J.; Levy, R.S.; Gupta, V.; DiPersio, J.F.; Catalano, J.V.; Deininger, M.; Miller, C.; Silver, R.T.; et al. A double-blind, placebo-controlled trial of ruxolitinib for myelofibrosis. N. Engl. J. Med. 2012, 366, 799–807. [Google Scholar] [CrossRef]
- Tavallai, M.; Booth, L.; Roberts, J.L.; Poklepovic, A.; Dent, P. Rationally repurposing ruxolitinib (Jakafi (®)) as a solid tumor therapeutic. Front. Oncol. 2016, 6, 142. [Google Scholar] [CrossRef]
- Kim, B.S.; Howell, M.D.; Sun, K.; Papp, K.; Nasir, A.; Kuligowski, M.E. Treatment of atopic dermatitis with ruxolitinib cream (JAK1/JAK2 inhibitor) or triamcinolone cream. J. Allergy Clin. Immunol. 2020, 145, 572–582. [Google Scholar] [CrossRef] [PubMed]
- Papp, K.; Szepietowski, J.C.; Kircik, L.; Toth, D.; Eichenfield, L.F.; Leung, D.Y.M.; Forman, S.B.; Venturanza, M.E.; Sun, K.; Kuligowski, M.E.; et al. Efficacy and safety of ruxolitinib cream for the treatment of atopic dermatitis: Results from 2 phase 3, randomized, double-blind studies. J. Am. Acad. Dermatol. 2021, 85, 863–872. [Google Scholar] [CrossRef]
- Witkoff, B.; Logas, C.M.; Glick, B.P.; Del Rosso, J.Q. JAK inhibitors in the treatment of atopic dermatitis. Dermatol. Rev. 2022, 3, 20–28. [Google Scholar] [CrossRef]
- Sarmiento Maldonado, M.; Ramírez Villanueva, P.; Bertín Cortes-Monroy, P.; Jara Arias, V.; Soto Donoso, K.; Uribe Gonzalez, P.; Ocqueteau Tachini, M.; Perez-Simón, J.A. Compassionate use of ruxolitinib in acute and chronic graft versus host disease refractory both to corticosteroids and extracorporeal photopheresis. Exp. Hematol. Oncol. 2017, 6, 32. [Google Scholar] [CrossRef]
- Przepiorka, D.; Luo, L.; Subramaniam, S.; Qiu, J.; Gudi, R.; Cunningham, L.C.; Nie, L.; Leong, R.; Ma, L.; Sheth, C.; et al. FDA approval summary: Ruxolitinib for treatment of steroid-refractory acute graft-versus-host disease. Oncologist 2020, 25, e328–e334. [Google Scholar] [CrossRef] [PubMed]
- Shilling, A.D.; Nedza, F.M.; Emm, T.; Diamond, S.; McKeever, E.; Punwani, N.; Williams, W.; Arvanitis, A.; Galya, L.G.; Li, M.; et al. Metabolism, excretion, and pharmacokinetics of [14C]INCB018424, a selective Janus tyrosine kinase 1/2 inhibitor, in humans. Drug Metab. Dispos. 2010, 38, 2023–2031. [Google Scholar] [CrossRef]
- Shi, J.G.; Chen, X.; Emm, T.; Scherle, P.A.; McGee, R.F.; Lo, Y.; Landman, R.R.; McKeever, E.G.J.; Punwani, N.G.; Williams, W.V.; et al. The effect of CYP3A4 inhibition or induction on the pharmacokinetics and pharmacodynamics of orally administered ruxolitinib (INCB018424 phosphate) in healthy volunteers. J. Clin. Pharmacol. 2012, 52, 809–818. [Google Scholar] [CrossRef]
- Aschenbrenner, D.S. Tofacitinib trial prompts FDA review of adverse effects. Am. J. Nurs. 2019, 119, 25. [Google Scholar] [CrossRef]
- Berbert Ferreira, S.; Berbert Ferreira, R.; Neves Neto, A.C.; Assef, S.M.C.; Scheinberg, M. Topical tofacitinib: A Janus kinase inhibitor for the treatment of vitiligo in an adolescent patient. Case Rep. Dermatol. 2021, 13, 190–194. [Google Scholar] [CrossRef]
- Kostik, M.M.; Raupov, R.K.; Suspitsin, E.N.; Isupova, E.A.; Gaidar, E.V.; Gabrusskaya, T.V.; Kaneva, M.A.; Snegireva, L.S.; Likhacheva, T.S.; Miulkidzhan, R.S.; et al. The safety and efficacy of tofacitinib in 24 cases of pediatric rheumatic diseases: Single centre experience. Front. Pediatr. 2022, 10, 820586. [Google Scholar] [CrossRef] [PubMed]
- Mohanakrishnan, R.; Beier, S.; Deodhar, A. Tofacitinib for the treatment of active ankylosing spondylitis in adults. Expert Rev. Clin. Immunol. 2022, 18, 273–280. [Google Scholar] [CrossRef] [PubMed]
- Blumenkopf, T.A.; Flanagan, M.E.; Munchhof, M.J. Pyrrolo[2,3-d]pyrimidine Compounds. U.S. Patent US6956041B2, 18 October 2005. [Google Scholar]
- Cai, W.; Colony, J.L.; Frost, H.; Hudspeth, J.P.; Kendall, P.M.; Krishnan, A.M.; Makowski, T.; Mazur, D.J.; Phillips, J.; Ripin, D.H.B.; et al. Investigation of practical routes for the kilogram-scale production of cis-3-methylamino-4-methylpiperidines. Org. Process Res. Dev. 2005, 9, 51–56. [Google Scholar] [CrossRef]
- Williams, N.K.; Bamert, R.S.; Patel, O.; Wang, C.; Walden, P.M.; Wilks, A.F.; Fantino, E.; Rossjohn, J.; Lucet, I.S. Dissecting specificity in the Janus kinases: The structures of JAK-specific inhibitors complexed to the JAK1 and JAK2 protein tyrosine kinase domains. J. Mol. Biol. 2009, 387, 219–232. [Google Scholar] [CrossRef] [PubMed]
- Chrencik, J.E.; Patny, A.; Leung, I.K.; Korniski, B.; Emmons, T.L.; Hall, T.; Weinberg, R.A.; Gormley, J.A.; Williams, J.M.; Day, J.E.; et al. Structural and thermodynamic characterization of the TYK2 and JAK3 kinase domains in complex with CP-690550 and CMP-6. J. Mol. Biol. 2010, 400, 413–433. [Google Scholar] [CrossRef]
- Chamberlain, P.; Delker, S.; Pagarigan, B.; Mahmoudi, A.; Jackson, P.; Abbasian, M.; Muir, J.; Raheja, N.; Cathers, B. Crystal structures of PRK1 in complex with the clinical compounds lestaurtinib and tofacitinib reveal ligand induced conformational changes. PLoS ONE 2014, 9, e103638. [Google Scholar] [CrossRef]
- Fleischmann, R.; Kremer, J.; Cush, J.; Schulze-Koops, H.; Connell, C.A.; Bradley, J.D.; Gruben, D.; Wallenstein, G.V.; Zwillich, S.H.; Kanik, K.S. Placebo-controlled trial of tofacitinib monotherapy in rheumatoid arthritis. N. Engl. J. Med. 2012, 367, 495–507. [Google Scholar] [CrossRef]
- Van Vollenhoven, R.F.; Fleischmann, R.; Cohen, S.; Lee, E.B.; García Meijide, J.A.; Wagner, S.; Forejtova, S.; Zwillich, S.H.; Gruben, D.; Koncz, T.; et al. Tofacitinib or Adalimumab versus Placebo in Rheumatoid Arthritis. N. Engl. J. Med. 2012, 367, 508–519. [Google Scholar] [CrossRef] [PubMed]
- Van der Heijde, D.; Tanaka, Y.; Fleischmann, R.; Keystone, E.; Kremer, J.; Zerbini, C.; Cardiel, M.H.; Cohen, S.; Nash, P.; Song, Y.-W.; et al. Tofacitinib (CP-690,550) in patients with rheumatoid arthritis receiving methotrexate: Twelve-month data from a twenty-four–month phase III randomized radiographic study. Arthritis Rheum. 2013, 65, 559–570. [Google Scholar] [CrossRef]
- Gladman, D.; Rigby, W.; Azevedo, V.F.; Behrens, F.; Blanco, R.; Kaszuba, A.; Kudlacz, E.; Wang, C.; Menon, S.; Hendrikx, T.; et al. Tofacitinib for psoriatic arthritis in patients with an inadequate response to TNF inhibitors. N. Engl. J. Med. 2017, 377, 1525–1536. [Google Scholar] [CrossRef]
- Mease, P.; Hall, S.; FitzGerald, O.; van der Heijde, D.; Merola, J.F.; Avila-Zapata, F.; Cieślak, D.; Graham, D.; Wang, C.; Menon, S.; et al. Tofacitinib or adalimumab versus placebo for psoriatic arthritis. N. Engl. J. Med. 2017, 377, 1537–1550. [Google Scholar] [CrossRef] [PubMed]
- Sandborn, W.J.; Ghosh, S.; Panes, J.; Vranic, I.; Su, C.; Rousell, S.; Niezychowski, W. Tofacitinib, an oral Janus kinase inhibitor, in active ulcerative colitis. N. Engl. J. Med. 2012, 367, 616–624. [Google Scholar] [CrossRef] [PubMed]
- Huang, Z.; Lee, P.Y.; Yao, X.; Zheng, S.; Li, T. Tofacitinib treatment of refractory systemic juvenile idiopathic arthritis. Pediatrics 2019, 143, e20182845. [Google Scholar] [CrossRef] [PubMed]
- Dowty, M.E.; Lin, J.; Ryder, T.F.; Wang, W.; Walker, G.S.; Vaz, A.; Chan, G.L.; Krishnaswami, S.; Prakash, C. The pharmacokinetics, metabolism, and clearance mechanisms of tofacitinib, a Janus kinase inhibitor, in humans. Drug Metab. Dispos. 2014, 42, 759–773. [Google Scholar] [CrossRef]
- Guo, X.; Li, W.; Li, Q.; Chen, Y.; Zhao, G.; Peng, Y.; Zheng, J. Tofacitinib is a mechanism-based inactivator of cytochrome P450 3A4. Chem. Res. Toxicol. 2019, 32, 1791–1800. [Google Scholar] [CrossRef]
- Muensterman, E.; Engelhardt, B.; Gopalakrishnan, S.; Anderson, J.K.; Mohamed, M.-E.F. Upadacitinib pharmacokinetics and exposure-response analyses of efficacy and safety in psoriatic arthritis patients—Analyses of phase III clinical trials. Clin. Transl. Sci. 2022, 15, 267–278. [Google Scholar] [CrossRef]
- AbbVie U.S. FDA Approves RINVOQ® (Upadacitinib) to Treat Adults and Children 12 Years and Older with Refractory, Moderate to Severe Atopic Dermatitis. Available online: https://news.abbvie.com/news/press-releases/us-fda-approves-rinvoq-upadacitinib-to-treat-adults-and-children-12-years-and-older-with-refractory-moderate-to-severe-atopic-dermatitis.htm#:~:text=14%2C2022%2FPRNewswire%2F (accessed on 20 April 2022).
- AbbVie RINVOQ® (Upadacitinib) Receives FDA Approval for the Treatment of Adults with Moderately to Severely Active Ulcerative Colitis. Available online: https://news.abbvie.com/news/press-releases/rinvoq-upadacitinib-receives-fda-approval-for-treatment-adults-with-moderately-to-severely-active-ulcerative-colitis.htm (accessed on 19 April 2022).
- Allian, A.; Jayanth, J.; Mohamed, M.-E.; Mulhern, M.; Nordstroem, L.F.; Othman, A.; Rozema, M.; Bhagavatula, L.; Marroum, P.J.; Mayer, P.T. Processes for the Preparation of (3S,4R)-3-Ethyl-4-(3H-Imidazo[1,2-a]Pyrrolo[2,3-e]-Pyrazin-8-yl)-N-(2,2,2-Trifluoroethyl)Pyrrolidine-1-Carboxamide and Solid State Forms Thereof. WO2017066775A1, 20 April 2017. [Google Scholar]
- Parmentier, J.M.; Voss, J.; Graff, C.; Schwartz, A.; Argiriadi, M.; Friedman, M.; Camp, H.S.; Padley, R.J.; George, J.S.; Hyland, D.; et al. In vitro and in vivo characterization of the JAK1 selectivity of upadacitinib (ABT-494). BMC Rheumatol. 2018, 2, 23. [Google Scholar] [CrossRef]
- Padda, I.S.; Bhatt, R.; Parmar, M. Upadacitinib; StatPearls Publishing: Treasure Island, FL, USA, 2021. [Google Scholar]
- Strand, V.; Mease, P.J.; Soriano, E.R.; Kishimoto, M.; Salvarani, C.; Saffore, C.D.; Zueger, P.; McDearmon-Blondell, E.; Kato, K.; Gladman, D.D. Improvement in patient-reported outcomes in patients with psoriatic arthritis treated with upadacitinib versus placebo or adalimumab: Results from SELECT-PsA 1. Rheumatol. Ther. 2021, 8, 1789–1808. [Google Scholar] [CrossRef]
- Serhal, L.; Edwards, C.J. Upadacitinib for the treatment of rheumatoid arthritis. Expert Rev. Clin. Immunol. 2019, 15, 13–25. [Google Scholar] [CrossRef]
- Bergman, M.; Tundia, N.; Yang, M.; Orvis, E.; Clewell, J.; Bensimon, A. Economic benefit from improvements in quality of life with upadacitinib: Comparisons with tofacitinib and methotrexate in patients with rheumatoid arthritis. Adv. Ther. 2021, 38, 5649–5661. [Google Scholar] [CrossRef]
- Smolen, J.S.; Pangan, A.L.; Emery, P.; Rigby, W.; Tanaka, Y.; Vargas, J.I.; Zhang, Y.; Damjanov, N.; Friedman, A.; Othman, A.A.; et al. Upadacitinib as monotherapy in patients with active rheumatoid arthritis and inadequate response to methotrexate (select-monotherapy): A randomised, placebo-controlled, double-blind phase 3 study. Lancet 2019, 393, 2303–2311. [Google Scholar] [CrossRef]
- McInnes, I.B.; Anderson, J.K.; Magrey, M.; Merola, J.F.; Liu, Y.; Kishimoto, M.; Jeka, S.; Pacheco-Tena, C.; Wang, X.; Chen, L.; et al. Trial of upadacitinib and adalimumab for psoriatic arthritis. N. Engl. J. Med. 2021, 384, 1227–1239. [Google Scholar] [CrossRef]
- Burmester, G.R.; Winthrop, K.; Blanco, R.; Nash, P.; Goupille, P.; Azevedo, V.F.; Salvarani, C.; Rubbert-Roth, A.; Lesser, E.; Lippe, R.; et al. Safety profile of upadacitinib up to 3 years in psoriatic arthritis: An integrated analysis of two pivotal phase 3 trials. Rheumatol. Ther. 2021, 9, 521–539. [Google Scholar] [CrossRef] [PubMed]
- Funk, P.J.; Perche, P.O.; Singh, R.; Kelly, K.A.; Feldman, S.R. Comparing available JAK inhibitors for treating patients with psoriasis. Expert Rev. Clin. Immunol. 2022, 18, 281–294. [Google Scholar] [CrossRef]
- Blauvelt, A.; Teixeira, H.D.; Simpson, E.L.; Costanzo, A.; De Bruin-Weller, M.; Barbarot, S.; Prajapati, V.H.; Lio, P.; Hu, X.; Wu, T.; et al. Efficacy and safety of upadacitinib vs dupilumab in adults with moderate-to-severe atopic dermatitis: A randomized clinical trial. JAMA Dermatol. 2021, 157, 1047–1055. [Google Scholar] [CrossRef] [PubMed]
- Mohamed, M.-E.F.; Camp, H.S.; Jiang, P.; Padley, R.J.; Asatryan, A.; Othman, A.A. Pharmacokinetics, safety and tolerability of ABT-494, a novel selective JAK 1 inhibitor, in healthy volunteers and subjects with rheumatoid arthritis. Clin. Pharmacokinet. 2016, 55, 1547–1558. [Google Scholar] [CrossRef] [PubMed]
- Mohamed, M.-E.F.; Jungerwirth, S.; Asatryan, A.; Jiang, P.; Othman, A.A. Assessment of effect of CYP3A inhibition, CYP induction, OATP1B inhibition, and high-fat meal on pharmacokinetics of the JAK1 inhibitor upadacitinib. Br. J. Clin. Pharmacol. 2017, 83, 2242–2248. [Google Scholar] [CrossRef]
- Mohamed, M.-E.F.; Klünder, B.; Othman, A.A. Clinical pharmacokinetics of upadacitinib: Review of data relevant to the rheumatoid arthritis indication. Clin. Pharmacokinet. 2020, 59, 531–544. [Google Scholar] [CrossRef]
- Vainchenker, W.; Favale, F. Myelofibrosis, JAK2 inhibitors and erythropoiesis. Leukemia 2013, 27, 1219–1223. [Google Scholar] [CrossRef]
- Wood, H.; Chandler, A.; Nezamololama, N.; Papp, K.; Gooderham, M.J. Safety of Janus kinase (JAK) inhibitors in the short-term treatment of atopic dermatitis. Int. J. Dermatol. 2021. [Google Scholar] [CrossRef]
- Minshawi, F.; Lanvermann, S.; McKenzie, E.; Jeffery, R.; Couper, K.; Papoutsopoulou, S.; Roers, A.; Muller, W. The generation of an engineered interleukin-10 protein with improved stability and biological function. Front. Immunol. 2020, 11, 1794. [Google Scholar] [CrossRef] [PubMed]
- Almoallim, H.M.; Alharbi, L.A. Rheumatoid arthritis in Saudi Arabia. Saudi Med. J. 2014, 35, 1442–1454. [Google Scholar] [PubMed]
- Hussain, W.; Janoudi, N.; Noorwali, A.; Omran, N.; Baamer, M.; Assiry, E.H.; Alrayes, H.; Alosaimi, H.; Ibrahim, A.; Gohary, S.; et al. Effect of adalimumab on work ability assessed in rheumatoid arthritis disease patients in Saudi Arabia (AWARDS). Open Rheumatol. J. 2015, 9, 46–50. [Google Scholar] [CrossRef]
- O’Shea, J.J.; Gadina, M. Selective Janus kinase inhibitors come of age. Nat. Rev. Rheumatol. 2019, 15, 74–75. [Google Scholar] [CrossRef] [PubMed]
- Pardanani, A.; Lasho, T.; Smith, G.; Burns, C.J.; Fantino, E.; Tefferi, A. CYT387, a selective JAK1/JAK2 inhibitor: In vitro assessment of kinase selectivity and preclinical studies using cell lines and primary cells from polycythemia vera patients. Leukemia 2009, 23, 1441–1445. [Google Scholar] [CrossRef]
- Sideris, N.; Vakirlis, E.; Tsentemeidou, A.; Kourouklidou, A.; Ioannides, D.; Sotiriou, E. Under development JAK inhibitors for dermatologic diseases. Mediterr. J. Rheumatol. 2020, 31, 137–144. [Google Scholar] [CrossRef]
- Ma, J.; Xing, W.; Coffey, G.; Dresser, K.; Lu, K.; Guo, A.; Raca, G.; Pandey, A.; Conley, P.; Yu, H.; et al. Cerdulatinib, a novel dual SYK/JAK kinase inhibitor, has broad anti-tumor activity in both ABC and GCB types of diffuse large B cell lymphoma. Oncotarget 2015, 6, 43881–43896. [Google Scholar] [CrossRef]
- Nogueira, M.; Puig, L.; Torres, T. JAK inhibitors for treatment of psoriasis: Focus on selective TYK2 inhibitors. Drugs 2020, 80, 341–352. [Google Scholar] [CrossRef]
- Schroeder, M.A.; Khoury, H.J.; Jagasia, M.; Ali, H.; Schiller, G.J.; Staser, K.; Choi, J.; Gehrs, L.; Arbushites, M.C.; Yan, Y.; et al. A phase 1 trial of itacitinib, a selective JAK1 inhibitor, in patients with acute graft-versus-host disease. Blood Adv. 2020, 4, 1656–1669. [Google Scholar] [CrossRef]
- Verstovsek, S.; Mesa, R.A.; Salama, M.E.; Li, L.; Pitou, C.; Nunes, F.P.; Price, G.L.; Giles, J.L.; D’Souza, D.N.; Walgren, R.A.; et al. A phase 1 study of the Janus kinase 2 (JAK2)(V617F) inhibitor, gandotinib (LY2784544), in patients with primary myelofibrosis, polycythemia vera, and essential thrombocythemia. Leuk. Res. 2017, 61, 89–95. [Google Scholar] [CrossRef]
- Verstovsek, S.; Odenike, O.; Singer, J.W.; Granston, T.; Al-Fayoumi, S.; Deeg, H.J. Phase 1/2 study of pacritinib, a next generation JAK2/FLT3 inhibitor, in myelofibrosis or other myeloid malignancies. J. Hematol. Oncol. 2016, 9, 137. [Google Scholar] [CrossRef] [PubMed]
- Genovese, M.C.; van Vollenhoven, R.F.; Pacheco-Tena, C.; Zhang, Y.; Kinnman, N. VX-509 (decernotinib), an oral selective JAK-3 inhibitor, in combination with methotrexate in patients with rheumatoid arthritis. Arthritis Rheumatol. 2016, 68, 46–55. [Google Scholar] [CrossRef] [PubMed]
- Tan, L.; Akahane, K.; McNally, R.; Reyskens, K.M.S.E.; Ficarro, S.B.; Liu, S.; Herter-Sprie, G.S.; Koyama, S.; Pattison, M.J.; Labella, K.; et al. Development of selective covalent Janus kinase 3 inhibitors. J. Med. Chem. 2015, 58, 6589–6606. [Google Scholar] [CrossRef] [PubMed]
- Tanaka, Y.; Luo, Y.; O’Shea, J.J.; Nakayamada, S. Janus kinase-targeting therapies in rheumatology: A mechanisms-based approach. Nat. Rev. Rheumatol. 2022, 18, 133–145. [Google Scholar] [CrossRef]
- Jin, W.; Stokes, J.M.; Eastman, R.T.; Itkin, Z.; Zakharov, A.V.; Collins, J.J.; Jaakkola, T.S.; Barzilay, R. Deep learning identifies synergistic drug combinations for treating COVID-19. Proc. Natl. Acad. Sci. USA 2021, 118, e2105070118. [Google Scholar] [CrossRef] [PubMed]
- Sayed Ahmed, H.A.; Merrell, E.; Ismail, M.; Joudeh, A.I.; Riley, J.B.; Shawkat, A.; Habeb, H.; Darling, E.; Goweda, R.A.; Shehata, M.H.; et al. Rationales and uncertainties for aspirin use in COVID-19: A narrative review. Fam. Med. Community Health 2021, 9, e000741. [Google Scholar] [CrossRef]
- Marconi, V.C.; Ramanan, A.V.; de Bono, S.; Kartman, C.E.; Krishnan, V.; Liao, R.; Piruzeli, M.L.B.; Goldman, J.D.; Alatorre-Alexander, J.; de Cassia Pellegrini, R.; et al. Efficacy and safety of baricitinib for the treatment of hospitalised adults with COVID-19 (COV-BARRIER): A randomised, double-blind, parallel-group, placebo-controlled phase 3 trial. Lancet Respir. Med. 2021, 9, 1407–1418. [Google Scholar] [CrossRef]
- Kmietowicz, Z. COVID-19: WHO recommends baricitinib and sotrovimab to treat patients. BMJ 2022, 376, o97. [Google Scholar] [CrossRef]
- Guimarães, P.O.; Quirk, D.; Furtado, R.H.; Maia, L.N.; Saraiva, J.F.; Antunes, M.O.; Kalil Filho, R.; Junior, V.M.; Soeiro, A.M.; Tognon, A.P.; et al. Tofacitinib in patients hospitalized with COVID-19 pneumonia. N. Engl. J. Med. 2021, 385, 406–415. [Google Scholar] [CrossRef] [PubMed]
- Seror, R.; Camus, M.; Salmon, J.-H.; Roux, C.; Dernis, E.; Basch, A.; Germain, V.; Leske, C.; Brousseau, S.; Truchetet, M.-E.; et al. Do JAK inhibitors affect immune response to COVID-19 vaccination? Data from the MAJIK-SFR Registry. Lancet. Rheumatol. 2022, 4, e8–e11. [Google Scholar] [CrossRef]



















































































| Drug | Target JAKs | Disease | Approval Date | Reference | Clinical Trials |
|---|---|---|---|---|---|
| Abrocitinib | JAK1, JAK2 | Atopic dermatitis | 2022 | [72] | NCT03627767, NCT03720470 |
| Baricitinib | JAK1, JAK2 | Rheumatoid arthritis | 2017 (EMA) 2018 (FDA) | [64,65] | NCT02265705, NCT01710358 |
| COVID-19 | 2020 (EUA) | [78] | NCT04421027, NCT04401579 | ||
| Delgocitinib | Nonselective | Atopic dermatitis | 2020 (Japan) | [69] | NCT03826901, NCT03725722 |
| Fedratinib | JAK2, JAK2V617F | Myelofibrosis | 2019 (FDA) | [66] | NCT00724334, NCT00631462 NCT01437787 |
| Filgotinib | JAK1 | Rheumatoid arthritis | 2020 (EMA) | [70] | NCT02873936, NCT02886728 |
| Oclacitinib | JAK1 | Canine allergic dermatitis | 2013 | [129] | NA * |
| Pacritinib | JAK2, JAK2V617F | Myelofibrosis | 2022 (FDA) | [138] | NCT04884191 |
| Peficitinib | Pan-JAK inhibitor | Rheumatoid arthritis | 2019 (Japan) | [68] | NCT01565655, NCT02308163 |
| Ruxolitinib | JAK1, JAK2 JAK2V617F | Myelofibrosis | 2011 | [28] | NCT00952289 |
| Polycythemia vera | 2014 | [29] | NCT02038036 | ||
| Acute and chronic graft-versus-host disease | 2019, 2021 | [160] | NCT03112603 NCT03147742 | ||
| Tofacitinib | JAK1, JAK2, JAK3 | Rheumatoid arthritis | 2012 (FDA) | [64] | NCT02187055 |
| Psoriatic arthritis | 2017 | [115] | NCT01877668 | ||
| Ulcerative colitis | 2018 | [115] | NCT03281304 | ||
| Juvenile idiopathic arthritis | 2020 | [179] | NCT02592434 | ||
| Ankylosing spondylitis | 2021 | [180] | NCT03502616 | ||
| Upadacitinib | JAK1 | Rheumatoid arthritis | 2019 | [67] | NCT02706847 |
| Psoriatic arthritis | 2021 | [195] | NCT03104400 | ||
| Atopic dermatitis | 2022 | [196] | NCT03738397 | ||
| Ulcerative colitis | 2022 | [197] | NCT02819635 |
Publisher’s Note: MDPI stays neutral with regard to jurisdictional claims in published maps and institutional affiliations. |
© 2022 by the authors. Licensee MDPI, Basel, Switzerland. This article is an open access article distributed under the terms and conditions of the Creative Commons Attribution (CC BY) license (https://creativecommons.org/licenses/by/4.0/).
Share and Cite
Shawky, A.M.; Almalki, F.A.; Abdalla, A.N.; Abdelazeem, A.H.; Gouda, A.M. A Comprehensive Overview of Globally Approved JAK Inhibitors. Pharmaceutics 2022, 14, 1001. https://doi.org/10.3390/pharmaceutics14051001
Shawky AM, Almalki FA, Abdalla AN, Abdelazeem AH, Gouda AM. A Comprehensive Overview of Globally Approved JAK Inhibitors. Pharmaceutics. 2022; 14(5):1001. https://doi.org/10.3390/pharmaceutics14051001
Chicago/Turabian StyleShawky, Ahmed M., Faisal A. Almalki, Ashraf N. Abdalla, Ahmed H. Abdelazeem, and Ahmed M. Gouda. 2022. "A Comprehensive Overview of Globally Approved JAK Inhibitors" Pharmaceutics 14, no. 5: 1001. https://doi.org/10.3390/pharmaceutics14051001
APA StyleShawky, A. M., Almalki, F. A., Abdalla, A. N., Abdelazeem, A. H., & Gouda, A. M. (2022). A Comprehensive Overview of Globally Approved JAK Inhibitors. Pharmaceutics, 14(5), 1001. https://doi.org/10.3390/pharmaceutics14051001

