Carvacrol and HP-β-Cyclodextrin Complexes: Extensive Characterization and Potential Cytotoxic Effect in Human Colorectal Carcinoma Cells
Abstract
1. Introduction
2. Materials and Methods
2.1. Materials
2.2. Study of Solubility at Different pH Levels
Quantification of Essential Carvacrol by GC-MS Analysis
2.3. Preparation of the Solid Complexes of Essential Carvacrol
2.3.1. Ultrasound (US)
2.3.2. Complexation Process Using Microwave Irradiation (MWI)
2.3.3. Spray Drying
2.3.4. Determination of Yield (Y), Encapsulation Efficiency (EE), and Drug Loading (DL)
2.4. Characterization of Solids Complexes of Essential Carvacrol
2.4.1. NMR Study of the Supramolecular Structure of Carvacrol/HP-β-CDs Complex
2.4.2. Molecular Docking Simulations
2.4.3. Differential Scanning Calorimetry and Thermogravimetric Analysis
2.4.4. Fourier Transform Infrared Spectroscopy (FTIR)
2.4.5. Scanning Electron Microscopy (SEM)
2.5. Cell Culture
2.5.1. Cell Viability Assay
2.5.2. In Vitro Release
2.6. Statistics
3. Results and Discussion
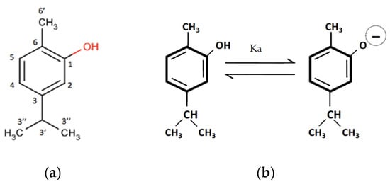
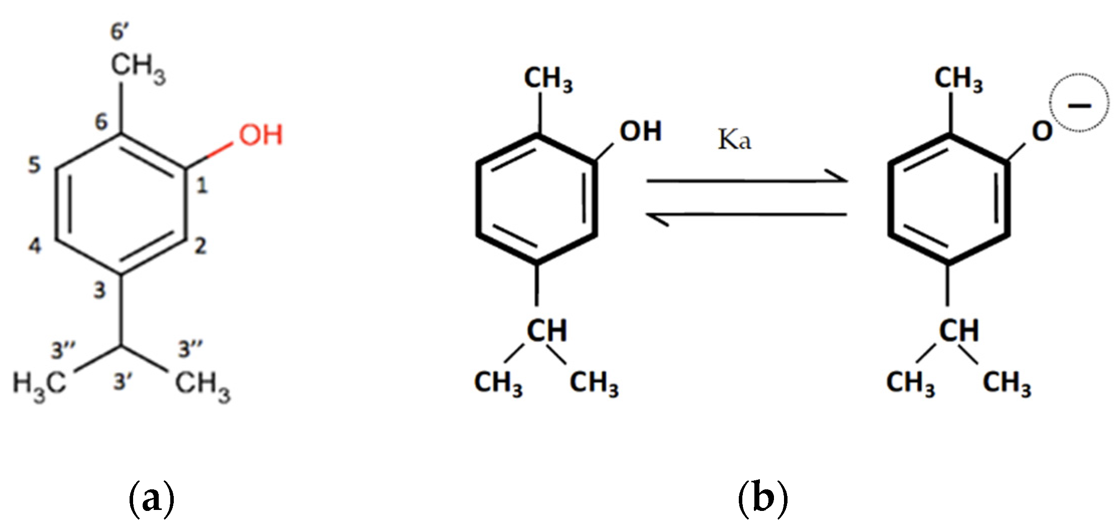
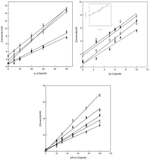
3.1. Formation of Inclusion Complexes at Different pHs
3.2. Preparation of the Solids Complexes of Essential Carvacrol with HP-β-CDs
3.3. NMR Study of the Supramolecular Structure of the Carvacrol/HP-β-CDs Complex
3.4. Molecular Docking Simulations
3.5. Differential Scanning Calorimetry (DSC) and Thermogravimetric Analysis (TG)
3.6. FTIR
3.7. The Cytotoxicity of Carvacrol and Its Complexes
4. Conclusions
Author Contributions
Funding
Institutional Review Board Statement
Informed Consent Statement
Data Availability Statement
Acknowledgments
Conflicts of Interest
References
- Ni, Z.-J.; Wang, X.; Shen, Y.; Thakur, K.; Han, J.; Zhang, J.-G.; Hu, F.; Wei, Z.-J. Recent Updates on the Chemistry, Bioactivities, Mode of Action, and Industrial Applications of Plant Essential Oils. Trends Food Sci. Technol. 2021, 110, 78–89. [Google Scholar] [CrossRef]
- Guimarães, A.C.; Meireles, L.M.; Lemos, M.F.; Guimarães, M.C.C.; Endringer, D.C.; Fronza, M.; Scherer, R. Antibacterial Activity of Terpenes and Terpenoids Present in Essential Oils. Molecules 2019, 24, 2471. [Google Scholar] [CrossRef] [PubMed]
- Sarrazin, S.; da Silva, L.; de Assunção, A.; Oliveira, R.; Calao, V.; da Silva, R.; Stashenko, E.; Maia, J.; Mourão, R. Antimicrobial and Seasonal Evaluation of the Carvacrol-Chemotype Oil from Lippia Origanoides Kunth. Molecules 2015, 20, 1860–1871. [Google Scholar] [CrossRef] [PubMed]
- Evergetis, E.; Michaelakis, A.; Papachristos, D.P.; Badieritakis, E.; Kapsaski-Kanelli, V.N.; Haroutounian, S.A. Seasonal Variation and Bioactivity of the Essential Oils of Two Juniperus Species against Aedes (Stegomyia) Albopictus (Skuse, 1894). Parasitol. Res. 2016, 115, 2175–2183. [Google Scholar] [CrossRef] [PubMed]
- Kiazolu, J.B.; Intisar, A.; Zhang, L.; Wang, Y.; Zhang, R.; Wu, Z.; Zhang, W. Phytochemical Screening and Chemical Variability in Volatile Oils of Aerial Parts of Morinda Morindoides. Nat. Prod. Res. 2016, 30, 2249–2252. [Google Scholar] [CrossRef]
- Kimera, F.; Sewilam, H.; Fouad, W.M.; Suloma, A. Efficient Utilization of Aquaculture Effluents to Maximize Plant Growth, Yield, and Essential Oils Composition of Origanum Majorana Cultivation. Ann. Agric. Sci. 2021, 66, 1–7. [Google Scholar] [CrossRef]
- Kachur, K.; Suntres, Z. The Antibacterial Properties of Phenolic Isomers, Carvacrol and Thymol. Crit. Rev. Food Sci. Nutr. 2020, 60, 3042–3053. [Google Scholar] [CrossRef]
- Sampaio, L.A.; Pina, L.T.S.; Serafini, M.R.; Tavares, D.D.S.; Guimaraes, A.G. Antitumor Effects of Carvacrol and Thymol: A Systematic Review. Front. Pharmacol. 2021, 12, 702487. [Google Scholar] [CrossRef]
- Sun, C.; Cao, J.; Wang, Y.; Huang, L.; Chen, J.; Wu, J.; Zhang, H.; Chen, Y.; Sun, C. Preparation and Characterization of Pectin-Based Edible Coating Agent Encapsulating Carvacrol/HPβCD Inclusion Complex for Inhibiting Fungi. Food Hydrocoll. 2022, 125, 107374. [Google Scholar] [CrossRef]
- Wang, L.; Wang, D.; Wu, X.; Xu, R.; Li, Y. Antiviral Mechanism of Carvacrol on HSV-2 Infectivity through Inhibition of RIP3-Mediated Programmed Cell Necrosis Pathway and Ubiquitin-Proteasome System in BSC-1 Cells. BMC Infect. Dis. 2020, 20, 832. [Google Scholar] [CrossRef]
- Sun, X.; Cameron, R.G.; Bai, J. Effect of Spray-Drying Temperature on Physicochemical, Antioxidant and Antimicrobial Properties of Pectin/Sodium Alginate Microencapsulated Carvacrol. Food Hydrocoll. 2020, 100, 105420. [Google Scholar] [CrossRef]
- Ghorani, V.; Alavinezhad, A.; Rajabi, O.; Boskabady, M.H. Carvacrol Improves Pulmonary Function Tests, Oxidant/Antioxidant Parameters and Cytokine Levels in Asthmatic Patients: A Randomized, Double-Blind, Clinical Trial. Phytomedicine 2021, 85, 153539. [Google Scholar] [CrossRef] [PubMed]
- Cicalău, G.; Babes, P.; Calniceanu, H.; Popa, A.; Ciavoi, G.; Iova, G.; Ganea, M.; Scrobotă, I. Anti-Inflammatory and Antioxidant Properties of Carvacrol and Magnolol, in Periodontal Disease and Diabetes Mellitus. Molecules 2021, 26, 6899. [Google Scholar] [CrossRef]
- Gonçalves, N.D.; Duarte, M.C.T.; Prata, A.S.; Rodrigues, R.A.F. Antimicrobial Activity of Cashew Gum–Gelatin Coacervates as a Food Ingredient. ACS Agric. Sci. Technol. 2021, 1, 597–605. [Google Scholar] [CrossRef]
- Anthero, A.G.D.S.; Bezerra, E.O.; Comunian, T.A.; Procópio, F.R.; Hubinger, M.D. Effect of Modified Starches and Gum Arabic on the Stability of Carotenoids in Paprika Oleoresin Microparticles. Dry. Technol. 2021, 39, 1927–1940. [Google Scholar] [CrossRef]
- Han, Y.; Cheng, J.; Ruan, N.; Jiao, Z. Preparation of Liposomes Composed of Supercritical Carbon Dioxide-Philic Phospholipids Using the Rapid Expansion of Supercritical Solution Process. J. Drug Deliv. Sci. Technol. 2021, 64, 102568. [Google Scholar] [CrossRef]
- Bagheri, R.; Ariaii, P.; Motamedzadegan, A. Characterization, Antioxidant and Antibacterial Activities of Chitosan Nanoparticles Loaded with Nettle Essential Oil. Food Meas. 2021, 15, 1395–1402. [Google Scholar] [CrossRef]
- Kfoury, M.; Auezova, L.; Greige-Gerges, H.; Fourmentin, S. Encapsulation in Cyclodextrins to Widen the Applications of Essential Oils. Environ. Chem. Lett. 2019, 17, 129–143. [Google Scholar] [CrossRef]
- Xiao, Z.; Zhang, Y.; Niu, Y.; Ke, Q.; Kou, X. Cyclodextrins as Carriers for Volatile Aroma Compounds: A Review. Carbohydr. Polym. 2021, 269, 118292. [Google Scholar] [CrossRef]
- da Rocha Neto, A.C.; de Oliveira da Rocha, A.B.; Maraschin, M.; Di Piero, R.M.; Almenar, E. Factors Affecting the Entrapment Efficiency of β-Cyclodextrins and Their Effects on the Formation of Inclusion Complexes Containing Essential Oils. Food Hydrocoll. 2018, 77, 509–523. [Google Scholar] [CrossRef]
- Santos, E.H.; Kamimura, J.A.; Hill, L.E.; Gomes, C.L. Characterization of Carvacrol Beta-Cyclodextrin Inclusion Complexes as Delivery Systems for Antibacterial and Antioxidant Applications. LWT Food Sci. Technol. 2015, 60, 583–592. [Google Scholar] [CrossRef]
- Menezes, P.D.P.; Serafini, M.R.; de Carvalho, Y.M.B.G.; Santana, D.V.S.; Lima, B.S.; Quintans-Júnior, L.J.; Marreto, R.N.; de Aquino, T.M.; Sabino, A.R.; Scotti, L.; et al. Kinetic and physical-chemical study of the inclusion complex of β-cyclodextrin containing carvacrol. J. Mol. Struct. 2016, 1125, 323–330. [Google Scholar] [CrossRef]
- Bethanis, K.; Tzamalis, P.; Tsorteki, F.; Kokkinou, A.; Christoforides, E.; Mentzafos, D. Structural Study of the Inclusion Compounds of Thymol, Carvacrol and Eugenol in β-Cyclodextrin by X-Ray Crystallography. J. Incl. Phenom. Macrocycl. Chem. 2013, 77, 163–173. [Google Scholar] [CrossRef]
- Gaur, S.; Lopez, E.C.; Ojha, A.; Andrade, J.E. Functionalization of Lipid-Based Nutrient Supplement with Β-Cyclodextrin Inclusions of Oregano Essential Oil. J. Food Sci. 2018, 83, 1748–1756. [Google Scholar] [CrossRef] [PubMed]
- Kamimura, J.A.; Santos, E.H.; Hill, L.E.; Gomes, C.L. Antimicrobial and Antioxidant Activities of Carvacrol Microencapsulated in Hydroxypropyl-Beta-Cyclodextrin. LWT Food Sci. Technol. 2014, 57, 701–709. [Google Scholar] [CrossRef]
- Connors, K.A.; Higuchi, T. Phase Solubility Techniques. Adv. Anal. Chem. Instrum. 1965, 4, 117–211. [Google Scholar]
- Lucas-Abellán, C.; Fortea, M.I.; Gabaldón, J.A.; Núñez-Delicado, E. Complexation of Resveratrol by Native and Modified Cyclodextrins: Determination of Complexation Constant by Enzymatic, Solubility and Fluorimetric Assays. Food Chem. 2008, 111, 262–267. [Google Scholar] [CrossRef]
- Loftsson, T.; Brewster, M.E. Cyclodextrins as Functional Excipients: Methods to Enhance Complexation Efficiency. J. Pharm. Sci. 2012, 101, 3019–3032. [Google Scholar] [CrossRef]
- Di Battista, C.A.; Constenla, D.; Ramírez-Rigo, M.V.; Piña, J. The Use of Arabic Gum, Maltodextrin and Surfactants in the Microencapsulation of Phytosterols by Spray Drying. Powder Technol. 2015, 286, 193–201. [Google Scholar] [CrossRef]
- Frascareli, E.C.; Silva, V.M.; Tonon, R.V.; Hubinger, M.D. Effect of Process Conditions on the Microencapsulation of Coffee Oil by Spray Drying. Food Bioprod. Process. 2012, 90, 413–424. [Google Scholar] [CrossRef]
- Del Toro-Sánchez, C.L.; Ayala-Zavala, J.F.; Machi, L.; Santacruz, H.; Villegas-Ochoa, M.A.; Alvarez-Parrilla, E.; González-Aguilar, G.A. Controlled Release of Antifungal Volatiles of Thyme Essential Oil from β-Cyclodextrin Capsules. J. Incl. Phenom. Macrocycl. Chem. 2010, 67, 431–441. [Google Scholar] [CrossRef]
- Trott, O.; Olson, A.J. AutoDock Vina: Improving the Speed and Accuracy of Docking with a New Scoring Function, Efficient Optimization, and Multithreading. J. Comput. Chem. 2009, 31, 455–461. [Google Scholar] [CrossRef]
- Morris, G.M.; Huey, R.; Lindstrom, W.; Sanner, M.F.; Belew, R.K.; Goodsell, D.S.; Olson, A.J. AutoDock4 and AutoDockTools4: Automated Docking with Selective Receptor Flexibility. J. Comput. Chem. 2009, 30, 2785–2791. [Google Scholar] [CrossRef]
- Rodríguez-López, M.I.; Mercader-Ros, M.T.; López-Miranda, S.; Pellicer, J.A.; Pérez-Garrido, A.; Pérez-Sánchez, H.; Núñez-Delicado, E.; Gabaldón, J.A. Thorough Characterization and Stability of HP-β-Cyclodextrin Thymol Inclusion Complexes Prepared by Microwave Technology: A Required Approach to a Successful Application in Food Industry: Characterization of HP-β-Cyclodextrin Thymol Inclusion Complexes. J. Sci. Food Agric. 2019, 99, 1322–1333. [Google Scholar] [CrossRef] [PubMed]
- Ishiguro, T.; Sakata, Y.; Arima, H.; Iohara, D.; Anraku, M.; Uekama, K.; Hirayama, F. Release Control of Fragrances by Complexation with β-Cyclodextrin and Its Derivatives. J. Incl. Phenom. Macrocycl. Chem. 2018, 92, 147–155. [Google Scholar] [CrossRef]
- Rodríguez-López, M.I.; Mercader-Ros, M.T.; Lucas-Abellán, C.; Pellicer, J.A.; Pérez-Garrido, A.; Pérez-Sánchez, H.; Yáñez-Gascón, M.J.; Gabaldón, J.A.; Núñez-Delicado, E. Comprehensive Characterization of Linalool-HP-β-Cyclodextrin Inclusion Complexes. Molecules 2020, 25, 5069. [Google Scholar] [CrossRef]
- Kfoury, M.; Landy, D.; Auezova, L.; Greige-Gerges, H.; Fourmentin, S. Effect of Cyclodextrin Complexation on Phenylpropanoids’ Solubility and Antioxidant Activity. Beilstein J. Org. Chem. 2014, 10, 2322–2331. [Google Scholar] [CrossRef]
- Hernández-Sánchez, P.; López-Miranda, S.; Guardiola, L.; Serrano-Martínez, A.; Gabaldón, J.A.; Nuñez-Delicado, E. Optimization of a Method for Preparing Solid Complexes of Essential Clove Oil with β-Cyclodextrins: Preparation of Solid Complexes of Essential Clove Oil with β-Cyclodextrins. J. Sci. Food Agric. 2017, 97, 420–426. [Google Scholar] [CrossRef]
- Dufour, G.; Bigazzi, W.; Wong, N.; Boschini, F.; de Tullio, P.; Piel, G.; Cataldo, D.; Evrard, B. Interest of Cyclodextrins in Spray-Dried Microparticles Formulation for Sustained Pulmonary Delivery of Budesonide. Int. J. Pharm. 2015, 495, 869–878. [Google Scholar] [CrossRef]
- Vehring, R. Pharmaceutical Particle Engineering via Spray Drying. Pharm. Res. 2008, 25, 999–1022. [Google Scholar] [CrossRef]
- Phunpee, S.; Ruktanonchai, U.R.; Yoshii, H.; Assabumrungrat, S.; Soottitantawat, A. Encapsulation of Lemongrass Oil with Cyclodextrins by Spray Drying and Its Controlled Release Characteristics. Biosci. Biotechnol. Biochem. 2017, 81, 718–723. [Google Scholar] [CrossRef] [PubMed]
- Zhang, Y.; Zhang, H.; Wang, F.; Wang, L.-X. Preparation and Properties of Ginger Essential Oil β-Cyclodextrin/Chitosan Inclusion Complexes. Coatings 2018, 8, 305. [Google Scholar] [CrossRef]
- Radünz, M.; dos Santos Hackbart, H.C.; Camargo, T.M.; Nunes, C.F.P.; de Barros, F.A.P.; Dal Magro, J.; Filho, P.J.S.; Gandra, E.A.; Radünz, A.L.; da Rosa Zavareze, E. Antimicrobial Potential of Spray Drying Encapsulated Thyme (Thymus Vulgaris) Essential Oil on the Conservation of Hamburger-like Meat Products. Int. J. Food Microbiol. 2020, 330, 108696. [Google Scholar] [CrossRef] [PubMed]
- Ribeiro, A.M.; Shahgol, M.; Estevinho, B.N.; Rocha, F. Microencapsulation of Vitamin A by Spray-Drying, Using Binary and Ternary Blends of Gum Arabic, Starch and Maltodextrin. Food Hydrocoll. 2020, 108, 106029. [Google Scholar] [CrossRef]
- Sosnik, A.; Seremeta, K.P. Advantages and Challenges of the Spray-Drying Technology for the Production of Pure Drug Particles and Drug-Loaded Polymeric Carriers. Adv. Colloid Interface Sci. 2015, 223, 40–54. [Google Scholar] [CrossRef]
- Eguinoa Gallo, A. Evaluación Del Uso de Ciclodextrinas Para El Control de La Difusión de Componentes Activos Desde Películas Comestibles a Sistemas Alimentarios. Master’s Thesis, Universidad Pública de Navarra, Navarra, Spain, 2014. [Google Scholar]
- Bergese, P.; Colombo, I.; Gervasoni, D.; Depero, L.E. Microwave Generated Nanocomposites for Making Insoluble Drugs Soluble. Mater. Sci. Eng. C 2003, 23, 791–795. [Google Scholar] [CrossRef]
- Tao, F.; Hill, L.E.; Peng, Y.; Gomes, C.L. Synthesis and Characterization of β-Cyclodextrin Inclusion Complexes of Thymol and Thyme Oil for Antimicrobial Delivery Applications. LWT Food Sci. Technol. 2014, 59, 247–255. [Google Scholar] [CrossRef]
- dos Santos, C.; Buera, M.P.; Mazzobre, M.F. Influence of Ligand Structure and Water Interactions on the Physical Properties of β-Cyclodextrins Complexes. Food Chem. 2012, 132, 2030–2036. [Google Scholar] [CrossRef]
- Hamdi, H.; Abderrahim, R.; Meganem, F. Spectroscopic Studies of Inclusion Complex of β-Cyclodextrin and Benzidine Diammonium Dipicrate. Spectrochim. Acta Part A Mol. Biomol. Spectrosc. 2010, 75, 32–36. [Google Scholar] [CrossRef]
- Yuan, C.; Jin, Z.; Xu, X. Inclusion Complex of Astaxanthin with Hydroxypropyl-β-Cyclodextrin: UV, FTIR, 1H NMR and Molecular Modeling Studies. Carbohydr. Polym. 2012, 89, 492–496. [Google Scholar] [CrossRef]
- Kohata, S.; Jyodoi, K.; Ohyoshi, A. Thermal Decomposition of Cyclodextrins (α-, β-, γ-, and Modified β-CyD) and of Metal—(β-CyD) Complexes in the Solid Phase. Thermochim. Acta 1993, 217, 187–198. [Google Scholar] [CrossRef]
- Marini, A.; Berbenni, V.; Bruni, G.; Giordano, F.; Villa, M. Dehydration of β-Cyclodextrin: Facts and Opinions. Thermochim. Acta 1996, 279, 27–33. [Google Scholar] [CrossRef]
- Wen, J.; Liu, B.; Yuan, E.; Ma, Y.; Zhu, Y. Preparation and Physicochemical Properties of the Complex of Naringenin with Hydroxypropyl-β-Cyclodextrin. Molecules 2010, 15, 4401–4407. [Google Scholar] [CrossRef]
- Yang, Y.; Song, L.X. Study on the Inclusion Compounds of Eugenol with α-, β-, γ- and Heptakis (2,6-Di-O-Methyl)-β-Cyclodextrins. J. Incl. Phenom. Macrocycl. Chem. 2005, 53, 27–33. [Google Scholar] [CrossRef]
- Manne, A.S.N.; Hegde, A.R.; Raut, S.Y.; Rao, R.R.; Kulkarni, V.I.; Mutalik, S. Hot Liquid Extrusion Assisted Drug-Cyclodextrin Complexation: A Novel Continuous Manufacturing Method for Solubility and Bioavailability Enhancement of Drugs. Drug Deliv. Transl. Res. 2021, 11, 1273–1287. [Google Scholar] [CrossRef] [PubMed]












| Cyclodextrins | pH | S0 (mmol L−1) | KC (L mol−1) | CE | MR |
|---|---|---|---|---|---|
| α-CDs | 3.5 | 2.76 ± 0.20 | 108 ± 16 | 0.298 | 1:4 |
| 5.5 | 1.65 ± 0.16 | 192 ± 24 | 0.317 | 1:4 | |
| 6.5 | 0.92 ± 0.11 | 239 ± 42 | 0.220 | 1:5 | |
| 7.0 | 0.56 ± 0.03 | 400 ± 56 | 0.224 | 1:5 | |
| 8.5 | 0.76 ± 0.13 | 284 ± 37 | 0.216 | 1:5 | |
| β-CDs | 3.5 | 2.76 ± 0.20 | 140 ± 21 | 0.386 | 1:3 |
| 5.5 | 1.65 ± 0.16 | 748 ± 19 | 1.234 | 1:1 | |
| 6.5 | 0.92 ± 0.11 | 866 ± 180 | 0.797 | 1:2 | |
| 7.0 | 0.56 ± 0.03 | 3466 ± 115 | 1.941 | 1:1 | |
| 8.5 | 0.76 ± 0.13 | 580 ± 45 | 0.441 | 1:3 | |
| HP-β-CDs | 3.5 | 2.76 ± 0.20 | 198 ± 19 | 0.546 | 1:2 |
| 5.5 | 1.65 ± 0.16 | 327 ± 37 | 0.540 | 1:2 | |
| 6.5 | 0.92 ± 0.11 | 1521 ± 73 | 1.399 | 1:1 | |
| 7.0 | 0.56 ± 0.03 | 5042 ± 176 | 2.824 | 1:1 | |
| 8.5 | 0.76 ± 0.13 | 973 ± 94 | 0.739 | 1:2 |
| HP-β-CDs | MWI | US | ||
|---|---|---|---|---|
| EE (g/100 g) | DL (g/100 g) | EE (g/100 g) | DL (g/100 g) | |
| 20 mM | 51.96 ± 5 | 4.97 ± 0.04 | 50.60 ± 4 | 3.06 ± 0.04 |
| 30 mM | 54.90 ± 3 | 4.33 ± 0.05 | 50.86 ± 3 | 3.29 ± 0.05 |
| 50 mM | 66.37 ± 3 | 6.48 ± 0.07 | 64.55 ± 3 | 3.64 ± 0.08 |
| 75 mM | 55.31 ± 3 | 5.27 ± 0.08 | 54.50 ± 4 | 3.35 ± 0.03 |
| 100 mM | 59.65 ± 3 | 4.34 ± 0.04 | 55.71 ± 2 | 2.90 ± 0.06 |
| Molecules | H-Atom | δ/ppm (Free) | δ/ppm (Complex) | Δδ (Complex-Free)/ppm |
|---|---|---|---|---|
| Carvacrol | H-C (5) | 6.566 | 6.577 | −0.011 |
| H-C (4) | 6.619 | 6.611 | 0.008 | |
| H-C (2) | 6.917 | 6.929 | −0.012 | |
| H-C (3′) | 2.74 | 2.758 | −0.018 | |
| H-C (6′) | 2.126 | 2.124 | 0.002 | |
| H-C (3″) | 1.176 | 1.195 | −0.019 | |
| HP-β-CDs | H-C (1) | 5.074 | 5.121 | −0.047 |
| H-C (2) | 3.723 | 3.73 | −0.007 | |
| H-C (3) | 3.947 | 3.952 | −0.005 | |
| H-C (4) | 3.418 | 3.417 | 0.001 | |
| H-C (5) | 3.534 | 3.533 | 0.001 | |
| H-C (6) | 3.821 | 3.815 | 0.006 | |
| H-C (9) | 1.126 | 1.125 | 0.001 |
Publisher’s Note: MDPI stays neutral with regard to jurisdictional claims in published maps and institutional affiliations. |
© 2022 by the authors. Licensee MDPI, Basel, Switzerland. This article is an open access article distributed under the terms and conditions of the Creative Commons Attribution (CC BY) license (https://creativecommons.org/licenses/by/4.0/).
Share and Cite
Rodríguez-López, M.I.; Mercader-Ros, M.T.; Pérez-Garrido, A.; Pérez-Sánchez, H.; Pellicer, J.A.; Lucas-Abellán, C.; Montoro-García, S.; Yáñez-Gascón, M.J.; Gil-Izquierdo, Á.; Núñez-Delicado, E.; et al. Carvacrol and HP-β-Cyclodextrin Complexes: Extensive Characterization and Potential Cytotoxic Effect in Human Colorectal Carcinoma Cells. Pharmaceutics 2022, 14, 2638. https://doi.org/10.3390/pharmaceutics14122638
Rodríguez-López MI, Mercader-Ros MT, Pérez-Garrido A, Pérez-Sánchez H, Pellicer JA, Lucas-Abellán C, Montoro-García S, Yáñez-Gascón MJ, Gil-Izquierdo Á, Núñez-Delicado E, et al. Carvacrol and HP-β-Cyclodextrin Complexes: Extensive Characterization and Potential Cytotoxic Effect in Human Colorectal Carcinoma Cells. Pharmaceutics. 2022; 14(12):2638. https://doi.org/10.3390/pharmaceutics14122638
Chicago/Turabian StyleRodríguez-López, María Isabel, María Teresa Mercader-Ros, Alfonso Pérez-Garrido, Horacio Pérez-Sánchez, José Antonio Pellicer, Carmen Lucas-Abellán, Silvia Montoro-García, María Josefa Yáñez-Gascón, Ángel Gil-Izquierdo, Estrella Núñez-Delicado, and et al. 2022. "Carvacrol and HP-β-Cyclodextrin Complexes: Extensive Characterization and Potential Cytotoxic Effect in Human Colorectal Carcinoma Cells" Pharmaceutics 14, no. 12: 2638. https://doi.org/10.3390/pharmaceutics14122638
APA StyleRodríguez-López, M. I., Mercader-Ros, M. T., Pérez-Garrido, A., Pérez-Sánchez, H., Pellicer, J. A., Lucas-Abellán, C., Montoro-García, S., Yáñez-Gascón, M. J., Gil-Izquierdo, Á., Núñez-Delicado, E., & Gabaldón, J. A. (2022). Carvacrol and HP-β-Cyclodextrin Complexes: Extensive Characterization and Potential Cytotoxic Effect in Human Colorectal Carcinoma Cells. Pharmaceutics, 14(12), 2638. https://doi.org/10.3390/pharmaceutics14122638

