Nanocrystal Preparation of Poorly Water-Soluble Drugs with Low Metal Contamination Using Optimized Bead-Milling Technology
Abstract
1. Introduction
2. Materials and Methods
2.1. Materials
2.2. Procedure for Bead Milling
2.3. Determination of the Particle Size Distribution in the Drug Nanocrystal Suspensions
2.4. Determination of the Dissolution Rates of the Drug Nanocrystal Suspensions
2.5. Determination of Metal Contamination in the Drug Nanocrystal Suspensions
3. Results and Discussion
3.1. Reproducibility Validation of the Optimized Milling Parameters in Bead Milling
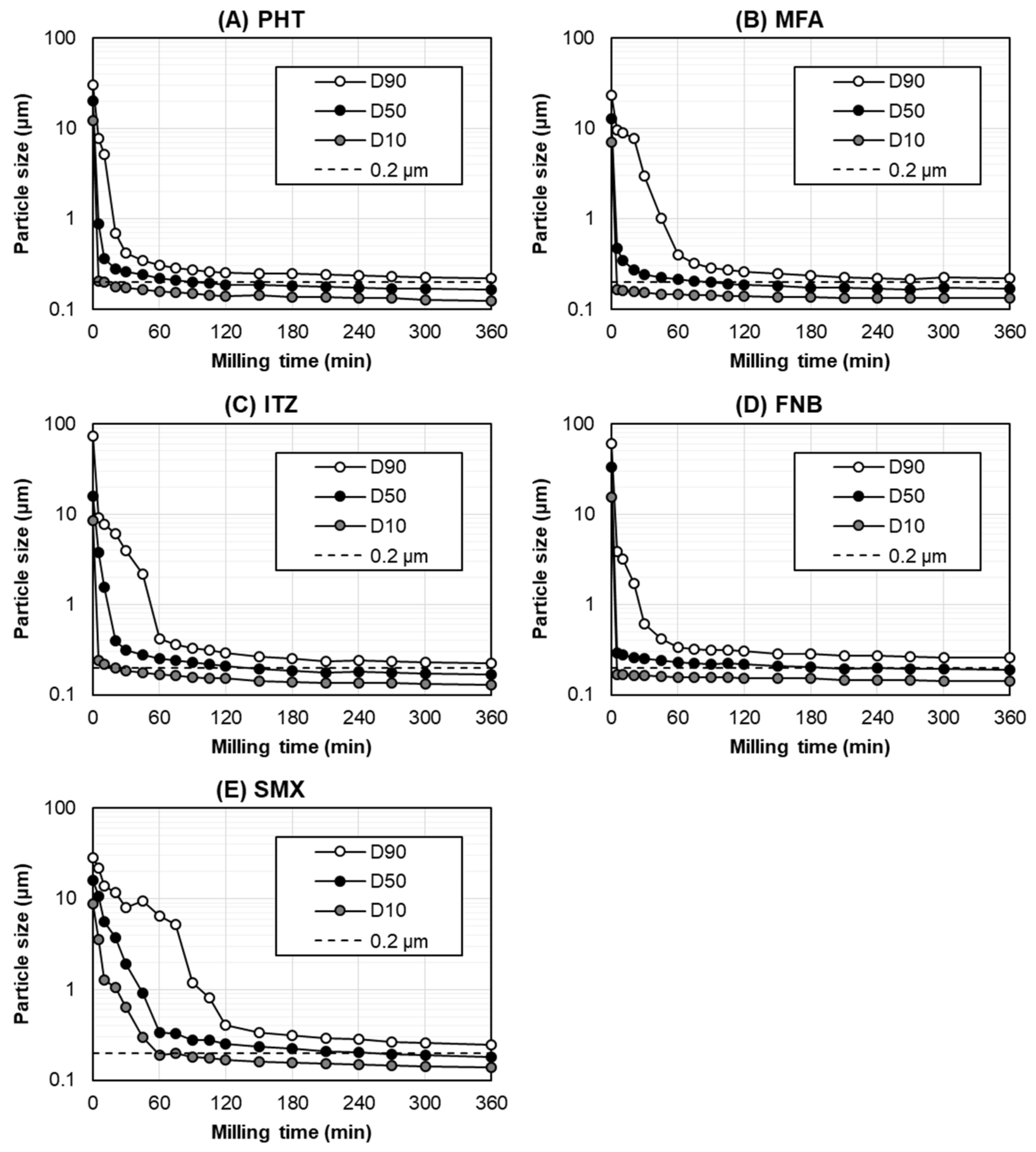
3.2. Particle Size after Bead Milling with the Optimized Parameters
3.3. Metal Contamination after Bead Milling with the Optimized Parameters
4. Conclusions
Author Contributions
Funding
Institutional Review Board Statement
Informed Consent Statement
Data Availability Statement
Conflicts of Interest
References
- Loftsson, T.; Brewster, M.E. Pharmaceutical applications of cyclodextrins: Basic science and product development. J. Pharm. Pharmacol. 2010, 62, 1607–1621. [Google Scholar] [CrossRef] [PubMed]
- Di Maio, S.; Carrier, R.L. Gastrointestinal contents in fasted state and post-lipid ingestion: In vivo measurements and in vitro models for studying oral drug delivery. J. Control Release 2011, 151, 110–122. [Google Scholar] [CrossRef] [PubMed]
- Kalepu, S.; Nekkanti, V. Insoluble drug delivery strategies: Review of recent advances and business prospects. Acta Pharm. Sin. B 2015, 5, 442–453. [Google Scholar] [CrossRef] [PubMed]
- Jackson, M.J.; Kestur, U.S.; Hussain, M.A.; Taylor, L.S. Dissolution of danazol amorphous solid dispersions: Supersaturation and phase behavior as a function of drug loading and polymer type. Mol. Pharm. 2016, 13, 223–231. [Google Scholar] [CrossRef] [PubMed]
- Li, M.; Azad, M.; Davé, R.; Bilgili, E. Nanomilling of drugs for bioavailability enhancement: A holistic formulation-process perspective. Pharmaceutics 2016, 8, 17. [Google Scholar] [CrossRef] [PubMed]
- Cherniakov, I.; Domb, A.J.; Hoffman, A. Self-nano-emulsifying drug delivery systems: An update of the biopharmaceutical aspects. Expert Opin. Drug Deliv. 2015, 12, 1121–1133. [Google Scholar] [CrossRef] [PubMed]
- Junghanns, J.U.; Müller, R.H. Nanocrystal technology, drug delivery and clinical applications. Int. J. Nanomed. 2008, 3, 295–309. [Google Scholar] [CrossRef]
- Simões, M.F.; Pinto, R.M.A.; Simões, S. Hot-melt extrusion in the pharmaceutical industry: Toward filing a new drug application. Drug Discov. Today 2019, 24, 1749–1768. [Google Scholar] [CrossRef] [PubMed]
- Nakarani, M.; Misra, A.K.; Patel, J.K.; Vaghani, S.S. Itraconazole nanosuspension for oral delivery: Formulation, characterization and in vitro comparison with marketed formulation. Daru 2010, 18, 84–90. [Google Scholar]
- Komasaka, T.; Fujimura, H.; Tagawa, T.; Sugiyama, A.; Kitano, Y. Practical method for preparing nanosuspension formulations for toxicology studies in the discovery stage: Formulation optimization and in vitro/in vivo evaluation of nanosized poorly water-soluble compounds. Chem. Pharm. Bull. 2014, 62, 1073–1082. [Google Scholar] [CrossRef]
- Singh, V.; Chandra, D.; Singh, P.; Kumar, S.; Singh, A.P. Nanosuspension: Way to enhance the bioavailability of poorly soluble drug. Int. J. Curr. Pharm. Res. 2013, 1, 277–287. [Google Scholar]
- Kumar, S.; Jog, R.; Shen, J.; Zolnik, B.; Sadrieh, N.; Burgess, D.J. Formulation and performance of danazol nano-crystalline suspensions and spray dried powders. Pharm. Res. 2015, 32, 1694–1703. [Google Scholar] [CrossRef] [PubMed]
- Baert, L.; van ’t Klooster, G.; Dries, W.; François, M.; Wouters, A.; Basstanie, E.; Iterbeke, K.; Stappers, F.; Stevens, P.; Schueller, L.; et al. Development of a long-acting injectable formulation with nanoparticles of rilpivirine (TMC278) for HIV treatment. Eur. J. Pharm. Biopharm. 2009, 72, 502–508. [Google Scholar] [CrossRef] [PubMed]
- Bhakay, A.; Rahman, M.; Dave, R.N.; Bilgili, E. Bioavailability enhancement of poorly water-soluble drugs via nanocomposites: Formulation-processing aspects and challenges. Pharmaceutics 2018, 10, 86. [Google Scholar] [CrossRef] [PubMed]
- Rahman, M.; Hussain, A.; Iqbal, Z.; Harwansh, R.K.; Singh, L.R.; Ahmad, S. Nanosuspension: A potential nanoformulation for improved delivery of poorly bioavailable drug. Micro Nanosyst. 2013, 5, 273–287. [Google Scholar] [CrossRef]
- Patel, V.R.; Agrawal, Y.K. Nanosuspension: An approach to enhance solubility of drugs. J. Adv. Pharm. Technol. Res. 2011, 2, 81–87. [Google Scholar] [CrossRef] [PubMed]
- Peltonen, L.; Hirvonen, J. Pharmaceutical nanocrystals by nanomilling: Critical process parameters, particle fracturing and stabilization methods. J. Pharm. Pharmacol. 2010, 62, 1569–1579. [Google Scholar] [CrossRef] [PubMed]
- Inkyo, M.; Tahara, T.; Iwaki, T.; Iskandar, F.; Hogan, C.J.; Okuyama, K. Experimental investigation of nanoparticle dispersion by beads milling with centrifugal bead separation. J. Colloid Interface Sci. 2006, 304, 535–540. [Google Scholar] [CrossRef] [PubMed]
- Li, M.; Yaragudi, N.; Afolabi, A.; Dave, R.; Bilgili, E. Sub-100nm drug particle suspensions prepared via wet milling with low bead contamination through novel process intensification. Chem. Eng. Sci. 2015, 130, 207–220. [Google Scholar] [CrossRef]
- Uemoto, Y.; Kondo, K.; Niwa, T. Cryo-milling using a spherical sugar: Contamination-free media milling technology. Eur. J. Pharm. Sci. 2019, 136, 104934. [Google Scholar] [CrossRef]
- Uemoto, Y.; Toda, S.; Adachi, A.; Kondo, K.; Niwa, T. Ultra cryo-milling with liquid nitrogen and dry ice beads: Characterization of dry ice as milling beads for application to various drug compounds. Chem. Pharm. Bull. 2018, 66, 794–804. [Google Scholar] [CrossRef] [PubMed]
- Merisko-Liversidge, E.; Liversidge, G.G.; Cooper, E.R. Nanosizing: A formulation approach for poorly water-soluble compounds. Eur. J. Pharm. Sci. 2003, 18, 113–120. [Google Scholar] [CrossRef]
- Czekai, D.A.; Reed, R.G. Apparatus for sanitary wet milling. US Patent 6,582,285, 24 June 2003. [Google Scholar]
- Tanaka, H.; Ochii, Y.; Moroto, Y.; Hirata, D.; Ibaraki, T.; Ogawara, K. Optimization of milling parameters for low metal contamination in bead milling technology. BPB Rep. 2022, 5, 45–49. [Google Scholar] [CrossRef]
- Lee, J.; Choi, J.Y.; Park, C.H. Characteristics of polymers enabling nano-comminution of water-insoluble drugs. Int. J. Pharm. 2008, 355, 328–336. [Google Scholar] [CrossRef]
- Funahashi, I.; Kondo, K.; Ito, Y.; Yamada, M.; Niwa, T. Novel contamination-free wet milling technique using ice beads for poorly water-soluble compounds. Int. J. Pharm. 2019, 563, 413–425. [Google Scholar] [CrossRef]
- Tanaka, H.; Ochii, Y.; Moroto, Y.; Ibaraki, T.; Ogawara, K.I. Development of novel bead milling technology with less metal contamination by pH optimization of the suspension medium. Chem. Pharm. Bull. 2021, 69, 81–85. [Google Scholar] [CrossRef]
- Merisko-Liversidge, E.; Liversidge, G.G. Nanosizing for oral and parenteral drug delivery: A perspective on formulating poorly water soluble compounds using wet media milling technology. Adv. Drug Deliv. Rev. 2011, 63, 427–440. [Google Scholar] [CrossRef] [PubMed]
- Baumgartner, R.; Teubl, B.J.; Tetyczka, C.; Roblegg, E. Rational design and characterization of a nanosuspension for intraoral administration considering physiological conditions. J. Pharm. Sci. 2016, 105, 257–267. [Google Scholar] [CrossRef]
- George, M.; Ghosh, I. Identifying the correlation between drug/stabilizer properties and critical quality attributes (CQAs) of nanosuspension formulation prepared by wet media milling technology. Eur. J. Pharm. Sci. 2013, 48, 142–152. [Google Scholar] [CrossRef] [PubMed]
- Fujii, H.; Watano, S. Development of universal formulation with superior re-dispersion using nanocrystal approach with simultaneous identification of API physicochemical properties. Chem. Pharm. Bull. 2019, 67, 1050–1060. [Google Scholar] [CrossRef] [PubMed]
- Bruno, J.A.; Doty, B.D.; Gustow, E.; Illig, K.J.; Rajagopalan, N.; Sarpotdar, P. Method of Grinding Pharmaceutical Substances. U.S. Patent 5,518,187, 21 May 1996. [Google Scholar]
- Bae, S.K.; Park, S.J.; Shim, E.J.; Mun, J.H.; Kim, E.Y.; Shin, J.G.; Shon, J.H. Increased oral bioavailability of itraconazole and its active metabolite, 7-hydroxyitraconazole, when coadministered with a vitamin C beverage in healthy participants. J. Clin. Pharmacol. 2011, 51, 444–451. [Google Scholar] [CrossRef]



| Drug | MW (g/mol) 1 | Tm (°C) 1 | Cs (μg/mL) 2 | Intact Particle Size (μm) 3 | Suspension pH 4 | |
|---|---|---|---|---|---|---|
| D50 | D90 | |||||
| PHT | 252.27 | 295 | 37.8 | 20.06 | 30.56 | 4.17 |
| MFA | 241.29 | 230 | 36.2 | 12.88 | 23.37 | 4.14 |
| ITZ | 705.65 | 168 | 0.00964 | 15.83 | 73.11 | 4.61 |
| FNB | 360.84 | 83 | 0.42 | 32.84 | 60.21 | 4.05 |
| SMX | 253.28 | 168 | 610 | 16.12 | 28.10 | 4.13 |
| Particle Size Distribution | Contaminant Concentration (μg/mL) | |||||||
|---|---|---|---|---|---|---|---|---|
| D10 (μm) | D50 (μm) | D90 (μm) | Span | Zr | Y | Al | Total | |
| Run-1 | 0.1451 | 0.1972 | 0.2575 | 0.57 | 0.86 | 0.39 | 0.13 | 1.38 |
| Run-2 | 0.1453 | 0.1976 | 0.2680 | 0.62 | 0.69 | 0.31 | 0.20 | 1.20 |
| Run-3 | 0.1491 | 0.1998 | 0.2732 | 0.62 | 0.64 | 0.35 | 0.24 | 1.23 |
| Average | 0.1465 | 0.1982 | 0.2662 | 0.60 | 0.73 | 0.35 | 0.19 | 1.27 |
| SD | 0.0018 | 0.0011 | 0.0065 | 0.02 | 0.09 | 0.03 | 0.05 | 0.08 |
| Time Point | Milling Parameters | Drug | Milling Time (min) | Particle Size Distribution | Contaminant Concentration (μg/mL) | ||||||
|---|---|---|---|---|---|---|---|---|---|---|---|
| D10 (μm) | D50 (μm) | D90 (μm) | Span | Zr | Y | Al | Total | ||||
| Target particle size (<0.2 μm) | Not optimized 1 | PHT | 120 | 0.1504 | 0.1990 | 0.2693 | 0.60 | 10.17 | 0.87 | 2.93 | 13.97 |
| Optimized 2 | PHT | 90 | 0.1491 | 0.1998 | 0.2732 | 0.62 | 0.64 | 0.35 | 0.24 | 1.23 | |
| MFA | 90 | 0.1419 | 0.1979 | 0.2864 | 0.73 | 0.71 | 0.29 | 0.26 | 1.26 | ||
| ITZ | 150 | 0.1428 | 0.1932 | 0.2664 | 0.64 | 0.35 | 0.35 | 0.36 | 1.06 | ||
| FNB | 210 | 0.1454 | 0.1955 | 0.2677 | 0.63 | 0.79 | 0.30 | 0.26 | 1.35 | ||
| SMX | 270 | 0.1437 | 0.1931 | 0.2655 | 0.63 | 0.98 | 0.32 | 0.24 | 1.54 | ||
| End of bead milling | Optimized 2 | PHT | 360 | 0.1241 | 0.1627 | 0.2168 | 0.57 | 1.48 | 0.39 | 0.30 | 2.17 |
| MFA | 360 | 0.1321 | 0.1686 | 0.2214 | 0.53 | 2.08 | 0.43 | 0.35 | 2.86 | ||
| ITZ | 360 | 0.1283 | 0.1664 | 0.2208 | 0.56 | 0.64 | 0.42 | 0.41 | 1.47 | ||
| FNB | 360 | 0.1415 | 0.1887 | 0.2553 | 0.60 | 1.20 | 0.35 | 0.34 | 1.89 | ||
| SMX | 360 | 0.1369 | 0.1810 | 0.2463 | 0.60 | 1.12 | 0.32 | 0.24 | 1.68 | ||
Publisher’s Note: MDPI stays neutral with regard to jurisdictional claims in published maps and institutional affiliations. |
© 2022 by the authors. Licensee MDPI, Basel, Switzerland. This article is an open access article distributed under the terms and conditions of the Creative Commons Attribution (CC BY) license (https://creativecommons.org/licenses/by/4.0/).
Share and Cite
Tanaka, H.; Ochii, Y.; Moroto, Y.; Hirata, D.; Ibaraki, T.; Ogawara, K.-i. Nanocrystal Preparation of Poorly Water-Soluble Drugs with Low Metal Contamination Using Optimized Bead-Milling Technology. Pharmaceutics 2022, 14, 2633. https://doi.org/10.3390/pharmaceutics14122633
Tanaka H, Ochii Y, Moroto Y, Hirata D, Ibaraki T, Ogawara K-i. Nanocrystal Preparation of Poorly Water-Soluble Drugs with Low Metal Contamination Using Optimized Bead-Milling Technology. Pharmaceutics. 2022; 14(12):2633. https://doi.org/10.3390/pharmaceutics14122633
Chicago/Turabian StyleTanaka, Hironori, Yuya Ochii, Yasushi Moroto, Daisuke Hirata, Tetsuharu Ibaraki, and Ken-ichi Ogawara. 2022. "Nanocrystal Preparation of Poorly Water-Soluble Drugs with Low Metal Contamination Using Optimized Bead-Milling Technology" Pharmaceutics 14, no. 12: 2633. https://doi.org/10.3390/pharmaceutics14122633
APA StyleTanaka, H., Ochii, Y., Moroto, Y., Hirata, D., Ibaraki, T., & Ogawara, K.-i. (2022). Nanocrystal Preparation of Poorly Water-Soluble Drugs with Low Metal Contamination Using Optimized Bead-Milling Technology. Pharmaceutics, 14(12), 2633. https://doi.org/10.3390/pharmaceutics14122633

