In Silico Drug Repurposing Framework Predicts Repaglinide, Agomelatine and Protokylol as TRPV1 Modulators with Analgesic Activity
Abstract
1. Introduction
2. Materials and Methods
2.1. Datasets Curation
2.2. Ligand-Based Models
2.2.1. Activity Scores
2.2.2. Binary Classification Model
2.3. Structure-Based Approaches
2.4. Integrated Repurposing Model
2.5. Statistical Analysis, Machine Learning and Performance Metrics
3. Results
3.1. Dataset Preparation
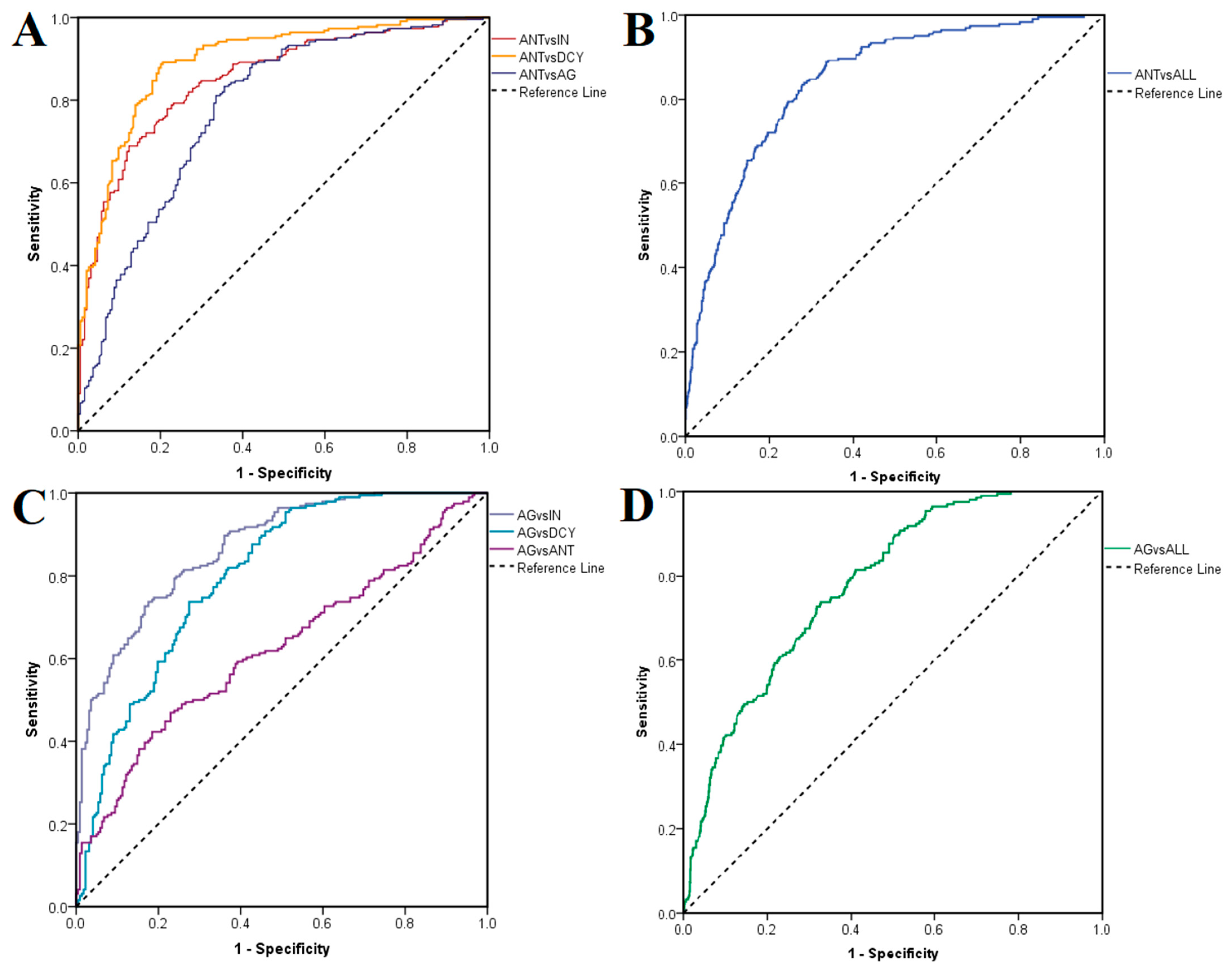
3.2. Activity Scores
3.3. Binary Classification
3.4. Molecular Docking Simulations
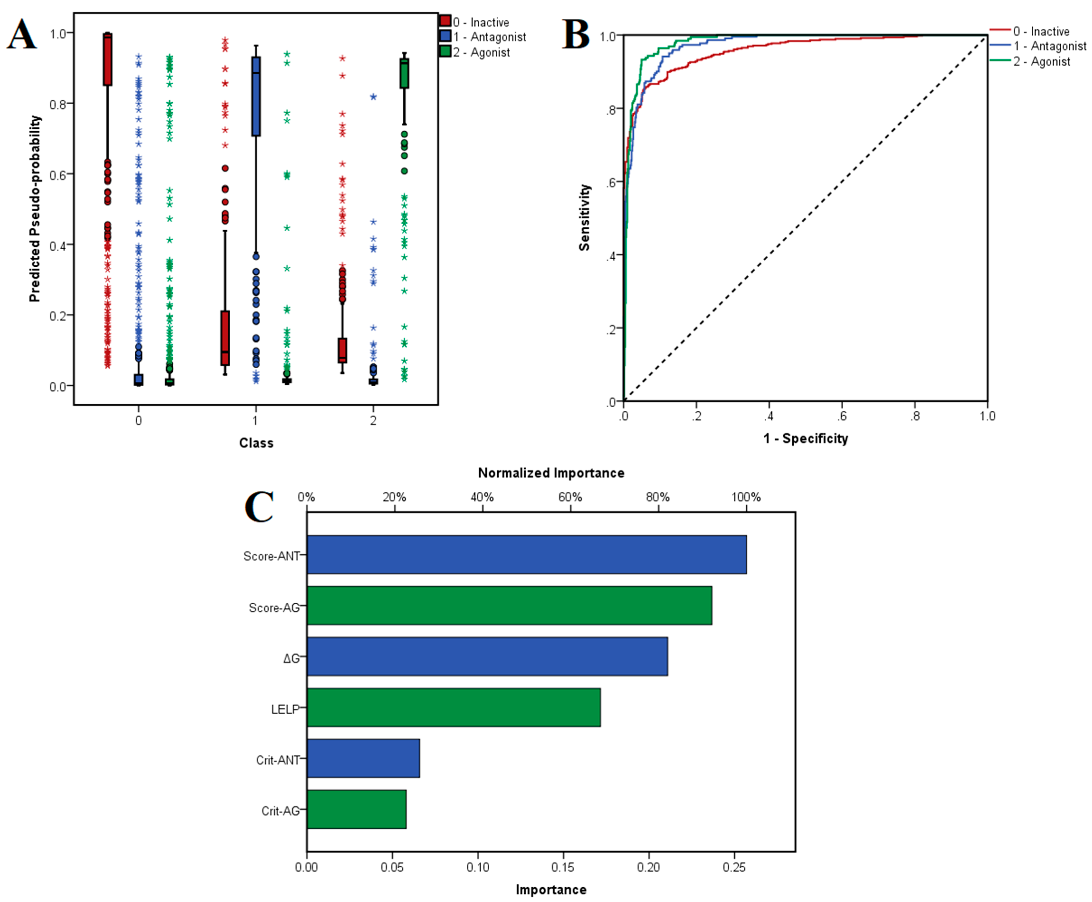
3.5. Integrated Predictive Model Based on Neural Networks
3.6. Prediction of Potential TRPV1 Modulators through Drug Repurposing
4. Discussion
5. Conclusions
Supplementary Materials
Author Contributions
Funding
Data Availability Statement
Conflicts of Interest
References
- Finnerup, N.B.; Scholz, J.; First, M.B.; Barke, A.; Cohen, M.; Smith, B.H.; Aziz, Q.; Kaasa, S.; Vlaeyen, J.W.S.; Bennett, M.I.; et al. Chronic pain as a symptom or a disease: The IASP Classification of Chronic Pain for the International Classification of Diseases (ICD-11) Rolf-Detlef. Pain 2018, 160, 19–27. [Google Scholar]
- Szallasi, A.; Sheta, M. Targeting TRPV1 for pain relief: Limits, losers and laurels. Expert Opin. Investig. Drugs 2012, 21, 1351–1369. [Google Scholar] [CrossRef] [PubMed]
- Iftinca, M.; Defaye, M.; Altier, C. TRPV1-Targeted Drugs in Development for Human Pain Conditions. Drugs 2021, 81, 7–27. [Google Scholar] [CrossRef] [PubMed]
- Harbaugh, C.M.; Suwanabol, P.A. Optimizing Pain Control During the Opioid Epidemic. Surg. Clin. N. Am. 2019, 99, 867–883. [Google Scholar] [CrossRef] [PubMed]
- Domenichiello, A.F.; Ramsden, C.E. The silent epidemic of chronic pain in older adults. Prog. Neuro-Psychopharmacol. Biol. Psychiatry 2019, 93, 284–290. [Google Scholar] [CrossRef] [PubMed]
- Szolcsányi, J.; Sándor, Z. Multisteric TRPV1 nocisensor: A target for analgesics. Trends Pharmacol. Sci. 2012, 33, 646–655. [Google Scholar] [CrossRef] [PubMed]
- Kym, P.R.; Kort, M.E.; Hutchins, C.W. Analgesic potential of TRPV1 antagonists. Biochem. Pharmacol. 2009, 78, 211–216. [Google Scholar] [CrossRef] [PubMed]
- Trevisani, M.; Szallasi, A. Targeting TRPV1: Challenges and Issues in Pain Management. Open Drug Discov. J. 2010, 2, 37–49. [Google Scholar] [CrossRef]
- Premkumar, L.; Sikand, P. TRPV1: A Target for Next Generation Analgesics. Curr. Neuropharmacol. 2008, 6, 151–163. [Google Scholar] [CrossRef]
- Szallasi, A.; Cruz, F.; Geppetti, P. TRPV1: A therapeutic target for novel analgesic drugs? Trends Mol. Med. 2006, 12, 545–554. [Google Scholar] [CrossRef] [PubMed]
- Gunthorpe, M.J.; Chizh, B.A. Clinical development of TRPV1 antagonists: Targeting a pivotal point in the pain pathway. Drug Discov. Today 2009, 14, 56–67. [Google Scholar] [CrossRef]
- Caterina, M.J.; Schumacher, M.A.; Tominaga, M.; Rosen, T.A.; Levine, J.D.; Julius, D. The capsaicin receptor: A heat-activated ion channel in the pain pathway. Nature 1997, 389, 816–824. [Google Scholar] [CrossRef] [PubMed]
- Leong, M.S.; Copenhaver, D. Potent Neurotoxins for Cancer Pain Treatment, 2nd ed.; Elsevier: Amsterdam, The Netherlands, 2018; ISBN 9780128053539. [Google Scholar]
- Pethö, G.; Izydorczyk, I.; Reeh, P.W. Effects of TRPV1 receptor antagonists on stimulated iCGRP release from isolated skin of rats and TRPV1 mutant mice. Pain 2004, 109, 284–290. [Google Scholar] [CrossRef]
- Davis, J.B.; Gray, J.; Gunthorpe, M.J.; Hatcher, J.P.; Davey, P.T.; Overend, P.; Harries, M.H.; Latcham, J.; Clapham, C.; Atkinson, K.; et al. Vanilloid receptor-1 is essential for inflammatory thermal hyperalgesia. Nature 2000, 405, 183–187. [Google Scholar] [CrossRef] [PubMed]
- Caterina, M.J.; Leffler, A.; Malmberg, A.B.; Martin, W.J.; Trafton, J.; Petersen-Zeitz, K.R.; Koltzenburg, M.; Basbaum, A.I.; Julius, D. Impaired nociception and pain sensation in mice lacking the capsaicin receptor. Science 2000, 288, 306–313. [Google Scholar] [CrossRef] [PubMed]
- Palazzo, E.; de Novellis, V.; Marabese, I.; Cuomo, D.; Rossi, F.; Berrino, L.; Rossi, F.; Maione, S. Interaction between vanilloid and glutamate receptors in the central modulation of nociception. Eur. J. Pharmacol. 2002, 439, 69–75. [Google Scholar] [CrossRef]
- Fattori, V.; Hohmann, M.S.N.; Rossaneis, A.C.; Pinho-Ribeiro, F.A.; Verri, W.A. Capsaicin: Current Understanding of Its Mechanisms and Therapy of Pain and Other Pre-Clinical and Clinical Uses. Molecules 2016, 21, 844. [Google Scholar] [CrossRef]
- Wong, G.Y.; Gavva, N.R. Therapeutic potential of vanilloid receptor TRPV1 agonists and antagonists as analgesics: Recent advances and setbacks. Brain Res. Rev. 2009, 60, 267–277. [Google Scholar] [CrossRef]
- Anand, P.; Bley, K. Topical capsaicin for pain management: Therapeutic potential and mechanisms of action of the new high-concentration capsaicin 8 patch. Br. J. Anaesth. 2011, 107, 490–502. [Google Scholar] [CrossRef]
- Smutzer, G.; Jacob, J.C.; Tran, J.T.; Shah, D.I.; Gambhir, S.; Devassy, R.K.; Tran, E.B.; Hoang, B.T.; McCune, J.F. Detection and modulation of capsaicin perception in the human oral cavity. Physiol. Behav. 2018, 194, 120–131. [Google Scholar] [CrossRef]
- Kissin, I.; Bright, C.A.; Bradley, E.L. Selective and long-lasting neural blockade with resiniferatoxin prevents inflammatory pain hypersensitivity. Anesth. Analg. 2002, 94, 1253–1258. [Google Scholar] [CrossRef] [PubMed]
- Honore, P.; Wismer, C.T.; Mikusa, J.; Zhu, C.Z.; Zhong, C.; Gauvin, D.M.; Gomtsyan, A.; El Kouhen, R.; Lee, C.H.; Marsh, K.; et al. A-425619 [1-isoquinolin-5-yl-3-(4-trifluoromethyl-benzyl)-urea], a novel transient receptor potential type V1 receptor antagonist, relieves pathophysiological pain associated with inflammation and tissue injury in rats. J. Pharmacol. Exp. Ther. 2005, 314, 410–421. [Google Scholar] [CrossRef] [PubMed]
- Pomonis, J.D.; Harrison, J.E.; Mark, L.; Bristol, D.R.; Valenzano, K.J.; Walker, K. N-(4-Tertiarybutylphenyl)-4-(3-cholorphyridin-2-yl)tetrahydropyrazine -1(2H)-carbox-amide (BCTC), a novel, orally effective vanilloid receptor 1 antagonist with analgesic properties: II. in vivo characterization in rat models of inflammatory and neuropath. J. Pharmacol. Exp. Ther. 2003, 306, 387–393. [Google Scholar] [CrossRef]
- Yu, L.; Yang, F.; Luo, H.; Liu, F.Y.; Han, J.S.; Xing, G.G.; Wan, Y. The role of TRPV1 in different subtypes of dorsal root ganglion neurons in rat chronic inflammatory nociception induced by complete Freund’s adjuvant. Mol. Pain 2008, 4, 61. [Google Scholar] [CrossRef] [PubMed]
- Namazi, H. The effect of epidural resiniferatoxin in the neuropathic pain rat model randomized trial: A complementary mechanism. Pain Physician 2012, 15, E750. [Google Scholar] [CrossRef] [PubMed]
- Ghilardi, J.R.; Röhrich, H.; Lindsay, T.H.; Sevcik, M.A.; Schwei, M.J.; Kubota, K.; Halvorson, K.G.; Poblete, J.; Chaplan, S.R.; Dubin, A.E.; et al. Selective blockade of the capsaicin receptor TRPV1 attenuates bone cancer pain. J. Neurosci. 2005, 25, 3126–3131. [Google Scholar] [CrossRef]
- Menéndez, L.; Juárez, L.; García, E.; García-Suárez, O.; Hidalgo, A.; Baamonde, A. Analgesic effects of capsazepine and resiniferatoxin on bone cancer pain in mice. Neurosci. Lett. 2006, 393, 70–73. [Google Scholar] [CrossRef] [PubMed]
- Kalff, K.M.; El Mouedden, M.; van Egmond, J.; Veening, J.; Joosten, L.; Scheffer, G.J.; Meert, T.; Vissers, K. Pre-treatment with capsaicin in a rat osteoarthritis model reduces the symptoms of pain and bone damage induced by monosodium iodoacetate. Eur. J. Pharmacol. 2010, 641, 108–113. [Google Scholar] [CrossRef]
- Kim, Y.; Kim, E.H.; Lee, K.S.; Lee, K.; Park, S.H.; Na, S.H.; Ko, C.; Kim, J.; Yooon, Y.W. The effects of intra-articular resiniferatoxin on monosodium iodoacetate-induced osteoarthritic pain in rats. Korean J. Physiol. Pharmacol. 2016, 20, 129–136. [Google Scholar] [CrossRef]
- Trevisani, M.; Gatti, R. TRPV1 Antagonists as Analgesic Agents. Open Pain J. 2013, 6, 108–118. [Google Scholar] [CrossRef]
- Bevan, S.; Quallo, T.; Andersson, D.A. Mammalian Transient Receptor Potential (TRP) Cation Channels; Springer: Berlin/Heidelberg, Germany, 2014; Volume 222, ISBN 9783642542152. [Google Scholar]
- Cortright, D.W.; Szallasi, A. Biochemical pharmacology of the vanilloid receptor TRPV1: An update. Eur. J. Biochem. 2004, 271, 1814–1819. [Google Scholar] [CrossRef] [PubMed]
- Liao, M.; Cao, E.; Julius, D.; Cheng, Y. Structure of the TRPV1 ion channel determined by electron cryo-microscopy. Nature 2013, 504, 107. [Google Scholar] [CrossRef] [PubMed]
- Caballero, J. A new era for the design of TRPV1 antagonists and agonists with the use of structural information and molecular docking of capsaicin-like compounds. J. Enzyme Inhib. Med. Chem. 2022, 37, 2169. [Google Scholar] [CrossRef]
- Pushpakom, S.; Iorio, F.; Eyers, P.A.; Escott, K.J.; Hopper, S.; Wells, A.; Doig, A.; Guilliams, T.; Latimer, J.; McNamee, C.; et al. Drug repurposing: Progress, challenges and recommendations. Nat. Rev. Drug Discov. 2018, 18, 41–58. [Google Scholar] [CrossRef] [PubMed]
- Gaulton, A.; Bellis, L.J.; Bento, A.P.; Chambers, J.; Davies, M.; Hersey, A.; Light, Y.; McGlinchey, S.; Michalovich, D.; Al-Lazikani, B.; et al. ChEMBL: A large-scale bioactivity database for drug discovery. Nucleic Acids Res. 2012, 40, D1100–D1107. [Google Scholar] [CrossRef] [PubMed]
- Sander, T.; Freyss, J.; Von Korff, M.; Rufener, C. DataWarrior: An open-source program for chemistry aware data visualization and analysis. J. Chem. Inf. Model. 2015, 55, 460–473. [Google Scholar] [CrossRef] [PubMed]
- Bölcskei, K.; Tékus, V.; Dézsi, L.; Szolcsányi, J.; Pethő, G. Antinociceptive desensitizing actions of TRPV1 receptor agonists capsaicin, resiniferatoxin and N -oleoyldopamine as measured by determination of the noxious heat and cold thresholds in the rat. Eur. J. Pain 2010, 14, 480–486. [Google Scholar] [CrossRef]
- O’Boyle, N.M.; Banck, M.; James, C.A.; Morley, C.; Vandermeersch, T.; Hutchison, G.R. Open Babel: An Open chemical toolbox. J. Cheminform. 2011, 3, 33. [Google Scholar] [CrossRef]
- Wishart, D.S.; Feunang, Y.D.; Guo, A.C.; Lo, E.J.; Marcu, A.; Grant, J.R.; Sajed, T.; Johnson, D.; Li, C.; Sayeeda, Z.; et al. DrugBank 5.0: A major update to the DrugBank database for 2018. Nucleic Acids Res. 2018, 46, D1074–D1082. [Google Scholar] [CrossRef]
- Yap, C.W. PaDEL-descriptor: An open source software to calculate molecular descriptors and fingerprints. J. Comput. Chem. 2011, 32, 1466–1474. [Google Scholar] [CrossRef]
- Bemis, G.W.; Murcko, M.A. The Properties of Known Drugs. 1. Molecular Frameworks. J. Med. Chem. 1996, 39, 2887–2893. [Google Scholar] [CrossRef] [PubMed]
- Zanfirescu, A.; Nitulescu, G.; Mihai, D.P.; Nitulescu, G.M. Identifying FAAH Inhibitors as New Therapeutic Options for the Treatment of Chronic Pain through Drug Repurposing. Pharmaceuticals 2021, 15, 38. [Google Scholar] [CrossRef]
- Langdon, S.R.; Brown, N.; Blagg, J. Scaffold Diversity of Exemplified Medicinal Chemistry Space. J. Chem. Inf. Model. 2011, 51, 2174. [Google Scholar] [CrossRef]
- Nitulescu, G.; Nitulescu, G.M.; Zanfirescu, A.; Mihai, D.P.; Gradinaru, D. Candidates for Repurposing as Anti-Virulence Agents Based on the Structural Profile Analysis of Microbial Collagenase Inhibitors. Pharmaceutics 2021, 14, 62. [Google Scholar] [CrossRef] [PubMed]
- Von Korff, M.; Freyss, J.; Sander, T. Flexophore, a new versatile 3D pharmacophore descriptor that considers molecular flexibility. J. Chem. Inf. Model. 2008, 48, 797–810. [Google Scholar] [CrossRef]
- Mihai, D.P.; Nitulescu, G.M.; Ion, G.N.D.; Ciotu, C.I.; Chirita, C.; Negres, S. Computational drug repurposing algorithm targeting TRPA1 calcium channel as a potential therapeutic solution for multiple sclerosis. Pharmaceutics 2019, 11, 446. [Google Scholar] [CrossRef]
- Gao, Y.; Cao, E.; Julius, D.; Cheng, Y. TRPV1 structures in nanodiscs reveal mechanisms of ligand and lipid action. Nature 2016, 534, 347–351. [Google Scholar] [CrossRef]
- Zhang, K.; Julius, D.; Cheng, Y. Structural snapshots of TRPV1 reveal mechanism of polymodal functionality. Cell 2021, 184, 5138–5150.e12. [Google Scholar] [CrossRef] [PubMed]
- Land, H.; Humble, M.S. YASARA: A tool to obtain structural guidance in biocatalytic investigations. Methods Mol. Biol. 2018, 1685, 43–67. [Google Scholar]
- Trott, O.; Olson, A.J. AutoDock Vina: Improving the speed and accuracy of docking with a new scoring function, efficient optimization, and multithreading. J. Comput. Chem. 2010, 31, 455–461. [Google Scholar] [CrossRef] [PubMed]
- Bender, B.J.; Gahbauer, S.; Luttens, A.; Lyu, J.; Webb, C.M.; Stein, R.M.; Fink, E.A.; Balius, T.E.; Carlsson, J.; Irwin, J.J.; et al. A practical guide to large-scale docking. Nat. Protoc. 2021, 16, 4799–4832. [Google Scholar] [CrossRef] [PubMed]
- Wang, L.-C.; Fang, F.-S.; Gong, Y.-P.; Yang, G.; Li, C.-L. Characteristics of repaglinide and its mechanism of action on insulin secretion in patients with newly diagnosed type-2 diabetes mellitus. Medicine (Baltimore) 2018, 97, e12476. [Google Scholar] [CrossRef] [PubMed]
- Gosse, P. A review of telmisartan in the treatment of hypertension: Blood pressure control in the early morning hours. Vasc. Health Risk Manag. 2006, 2, 195–201. [Google Scholar] [CrossRef] [PubMed][Green Version]
- San, L.; Arranz, B. Agomelatine: A novel mechanism of antidepressant action involving the melatonergic and the serotonergic system. Eur. Psychiatry 2008, 23, 396–402. [Google Scholar] [CrossRef]
- Burkes, R.M.; Panos, R.J. Ultra Long-Acting β-Agonists in Chronic Obstructive Pulmonary Disease. J. Exp. Pharmacol. 2020, 12, 589–602. [Google Scholar] [CrossRef]
- Niemeyer, G.; Cottier, D.; Resch, H. Effects of buphenine (nylidrin) on the perfused mammalian eye. Graefes Arch. Clin. Exp. Ophthalmol. 1987, 225, 33–38. [Google Scholar] [CrossRef]
- Yazici, A.T.; Gianti, E.; Kasimova, M.A.; Lee, B.-H.; Carnevale, V.; Rohacs, T. Dual regulation of TRPV1 channels by phosphatidylinositol via functionally distinct binding sites. J. Biol. Chem. 2021, 296, 100573. [Google Scholar] [CrossRef]
- Dong, L.; Zhou, Q.; Liang, Q.; Qiao, Z.; Liu, Y.; Shao, L.; Wang, K. Identification of a Partial and Selective TRPV1 Agonist CPIPC for Alleviation of Inflammatory Pain. Molecules 2022, 27, 5428. [Google Scholar] [CrossRef]
- Mihai, D.P.; Ungurianu, A.; Ciotu, C.I.; Fischer, M.J.M.; Olaru, O.T.; Nitulescu, G.M.; Andrei, C.; Zbarcea, C.E.; Zanfirescu, A.; Seremet, O.C.; et al. Effects of venlafaxine, risperidone and febuxostat on cuprizone-induced demyelination, behavioral deficits and oxidative stress. Int. J. Mol. Sci. 2021, 22, 7183. [Google Scholar] [CrossRef]
- Jiménez-Luna, J.; Grisoni, F.; Schneider, G. Drug discovery with explainable artificial intelligence. Nat. Mach. Intell. 2020, 2, 573–584. [Google Scholar] [CrossRef]
- Jubete, G.; Puig de la Bellacasa, R.; Estrada-Tejedor, R.; Teixidó, J.; Borrell, J.I. Pyrido[2,3-d]pyrimidin-7(8H)-ones: Synthesis and Biomedical Applications. Molecules 2019, 24, 4161. [Google Scholar] [CrossRef]
- Scott, L.J. Repaglinide: A review of its use in type 2 diabetes mellitus. Drugs 2012, 72, 249–272. [Google Scholar] [CrossRef] [PubMed]
- Al-Rejaie, S.S.; Abuohashish, H.M.; Ahmed, M.M.; Arrejaie, A.S.; Aleisa, A.M.; AlSharari, S.D. Telmisartan inhibits hyperalgesia and inflammatory progression in a diabetic neuropathic pain model of Wistar rats. Neurosciences 2015, 20, 115–123. [Google Scholar] [CrossRef]
- Lin, C.M.; Tsai, J.T.; Chang, C.K.; Cheng, J.T.; Lin, J.W. Development of telmisartan in the therapy of spinal cord injury: Pre-clinical study in rats. Drug Des. Dev. Ther. 2015, 9, 4709–4717. [Google Scholar] [CrossRef] [PubMed]
- Sisignano, M.; Angioni, C.; Park, C.K.; Dos Santos, S.M.; Jordan, H.; Kuzikov, M.; Liu, D.; Zinn, S.; Hohman, S.W.; Schreiber, Y.; et al. Targeting CYP2J to reduce paclitaxel-induced peripheral neuropathic pain. Proc. Natl. Acad. Sci. USA. 2016, 113, 12544–12549. [Google Scholar] [CrossRef] [PubMed]
- Jaggi, A.S.; Singh, N. Exploring the potential of telmisartan in chronic constriction injury-induced neuropathic pain in rats. Eur. J. Pharmacol. 2011, 667, 215–221. [Google Scholar] [CrossRef] [PubMed]
- Ertilav, K.; Nazıroğlu, M.; Ataizi, Z.S.; Yıldızhan, K. Melatonin and Selenium Suppress Docetaxel-Induced TRPV1 Activation, Neuropathic Pain and Oxidative Neurotoxicity in Mice. Biol. Trace Elem. Res. 2021, 199, 1469–1487. [Google Scholar] [CrossRef] [PubMed]
- Ettaoussi, M.; Sabaouni, A.; Pérès, B.; Landagaray, E.; Nosjean, O.; Boutin, J.A.; Caignard, D.H.; Delagrange, P.; Berthelot, P.; Yous, S. Synthesis and pharmacological evaluation of a series of the agomelatine analogues as melatonin MT1/MT2 agonist and 5-HT 2C antagonist. ChemMedChem 2013, 8, 1830–1845. [Google Scholar] [CrossRef]
- Ozdamar Unal, G.; Demirdas, A.; Nazıroglu, M.; Ovey, I.S. Agomelatine attenuates calcium signaling and apoptosis via the inhibition of TRPV1 channel in the hippocampal neurons of rats with chronic mild stress depression model. Behav. Brain Res. 2022, 434, 114033. [Google Scholar] [CrossRef] [PubMed]
- Aydın, T.H.; Can, Ö.D.; Demir Özkay, Ü.; Turan, N. Effect of subacute agomelatine treatment on painful diabetic neuropathy: Involvement of catecholaminergic mechanisms. Fundam. Clin. Pharmacol. 2016, 30, 549–567. [Google Scholar] [CrossRef]
- Chenaf, C.; Chapuy, E.; Libert, F.; Marchand, F.; Courteix, C.; Bertrand, M.; Gabriel, C.; Mocaër, E.; Eschalier, A.; Authier, N. Agomelatine: A new opportunity to reduce neuropathic pain—Preclinical evidence. Pain 2017, 158, 149–160. [Google Scholar] [CrossRef] [PubMed]
- Baptista-de-souza, D.; Di, L.; Mannelli, C.; Zanardelli, M.; Micheli, L.; Nunes-de-souza, R.L.; Canto-de-souza, A.; Ghelardini, C. Serotonergic modulation in neuropathy induced by oxaliplatin: Effect on the 5HT 2C receptor. Eur. J. Pharmacol. 2014, 735, 141–149. [Google Scholar] [CrossRef] [PubMed]
- Cervantes-Durán, C.; Pineda-Farias, J.B.; Bravo-Hernández, M.; Quiñonez-Bastidas, G.N.; Vidal-Cantú, G.C.; Barragán-Iglesias, P.; Granados-Soto, V. Evidence for the participation of peripheral 5-HT2A, 5-HT2B, and 5-HT2C receptors in formalin-induced secondary mechanical allodynia and hyperalgesia. Neuroscience 2013, 232, 169–181. [Google Scholar] [CrossRef]
- Ambriz-Tututi, M.; Granados-Soto, V. Oral and spinal melatonin reduces tactile allodynia in rats via activation of MT2 and opioid receptors. Pain 2007, 132, 273–280. [Google Scholar] [CrossRef]
- Yu, C.X.; Zhu, C.B.; Xu, S.F.; Cao, X.D.; Wu, G.C. Selective MT2 melatonin receptor antagonist blocks melatonin-induced antinociception in rats. Neurosci. Lett. 2000, 282, 161–164. [Google Scholar] [CrossRef]
- Kasper, S.; Hamon, M. Beyond the monoaminergic hypothesis: Agomelatine, a new antidepressant with an innovative mechanism of action. World J. Biol. Psychiatry 2009, 10, 117–126. [Google Scholar] [CrossRef] [PubMed]
- Long, W.; Fatehi, M.; Soni, S.; Panigrahi, R.; Philippaert, K.; Yu, Y.; Kelly, R.; Boonen, B.; Barr, A.; Golec, D.; et al. Vitamin D is an endogenous partial agonist of the transient receptor potential vanilloid 1 channel. J. Physiol. 2020, 598, 4321–4338. [Google Scholar] [CrossRef] [PubMed]
- Sears, M.R. Adverse effects of β-agonists. J. Allergy Clin. Immunol. 2002, 110, S322–S328. [Google Scholar] [CrossRef]
- Filippi, A.; Caruntu, C.; Gheorghe, R.O.; Deftu, A.; Amuzescu, B.; Ristoiu, V. Catecholamines reduce transient receptor potential vanilloid type 1 desensitization in cultured dorsal root ganglia neurons. J. Physiol. Pharmacol. 2016, 67, 843–850. [Google Scholar]








| Antagonists | Agonists | |||||||
|---|---|---|---|---|---|---|---|---|
| Type | Label | Structure | Score | Frequency | Label | Structure | Score | Frequency |
| Bemis–Murcko skeletons | BM-487 | ![]() | 9.00 | 1 (0.03%) | BM-264 | ![]() | 8.50 | 1 (0.03%) |
| BM-433 | ![]() | 8.90 | 1 (0.03%) | BM-176 | ![]() | 8.04 | 3 (0.08%) | |
| BM-176 | ![]() | 8.84 | 3 (0.08%) | BM-145 | ![]() | 8.04 | 4 (0.11%) | |
| BM-75 | ![]() | 8.84 | 9 (0.25%) | BM-106 | ![]() | 7.96 | 6 (0.17%) | |
| BM-230 | ![]() | 8.79 | 2 (0.06%) | BM-205 | ![]() | 7.65 | 2 (0.06%) | |
| Plain rings | PR-126 | ![]() | 9.68 | 1 (0.03%) | PR-126 | ![]() | 7.36 | 1 (0.03%) |
| PR-127 | ![]() | 9.20 | 1 (0.03%) | PR-57 | ![]() | 7.36 | 12 (0.34%) | |
| PR-128 | ![]() | 9.15 | 1 (0.03%) | PR-127 | ![]() | 6.90 | 1 (0.03%) | |
| PR-87 | ![]() | 7.98 | 3 (0.08%) | PR-45 | ![]() | 6.15 | 20 (0.56%) | |
| PR-100 | ![]() | 7.94 | 2 (0.06%) | PR-100 | ![]() | 5.53 | 2 (0.06%) | |
| Descriptor | Meaning | Threshold | Sensitivity | Specificity | ROC AUC |
|---|---|---|---|---|---|
| SssNH | Sum of atom-type E-State: -NH- | >2.962 | 0.681 | 0.689 | 0.743 |
| MDEN-22 | Molecular distance edge between all secondary nitrogens | >0.454 | 0.678 | 0.685 | 0.735 |
| ETA_BetaP_s | A measure of electronegative atom count of the molecule relative to molecular size | >0.638 | 0.676 | 0.662 | 0.734 |
| nX | Number of halogen atoms | ≥2 | 0.641 | 0.730 | 0.727 |
| fragC | Complexity of a system | >172.070 | 0.682 | 0.669 | 0.724 |
| n6HeteroRing | Number of six-membered rings containing heteroatoms | at least 1 | 0.783 | 0.547 | 0.723 |
| nHBAcc2 | Number of hydrogen bond acceptors (any oxygen; any nitrogen where the formal charge of the nitrogen is non-positive, except a non-aromatic nitrogen that is adjacent to an oxygen and aromatic ring, or an aromatic nitrogen with a hydrogen atom in a ring, or an aromatic nitrogen with three neighboring atoms in a ring, or a nitrogen with total bond order ≥4; any fluorine) | >5 | 0.753 | 0.574 | 0.715 |
| maxHother | Maximum atom-type H E-State: H on aromatic CH, =CH2 or =CH- | >0.631 | 0.678 | 0.678 | 0.723 |
| Descriptor | Meaning | Threshold | Sensitivity | Specificity | ROC AUC |
|---|---|---|---|---|---|
| XLogP | Octanol/water partition coefficient | >3.023 | 0.689 | 0.700 | 0.788 |
| HybRatio | Fraction of sp3 carbons to sp2 carbons | >0.383 | 0.689 | 0.719 | 0.762 |
| nsOH | Count of atom-type E-State: -OH | >0 | 0.736 | 0.762 | 0.761 |
| nAtomLAC | Number of atoms in the longest aliphatic chain | >2 | 0.668 | 0.754 | 0.758 |
| nX | Number of halogen atoms | =0 | 0.855 | 0.702 | 0.806 |
| nAtomP | Number of atoms in the largest pi system | <10 | 0.627 | 0.918 | 0.825 |
| nN | Number of nitrogen atoms | <3 | 0.870 | 0.721 | 0.848 |
| AMW | Average molecular weight (Molecular weight/Total number of atoms) | <7.250 | 0.751 | 0.802 | 0.860 |
| Class | |||
|---|---|---|---|
| Parameter | Inactive | Antagonist | Agonist |
| Accuracy | 0.888 | 0.920 | 0.937 |
| Sensitivity | 0.867 | 0.851 | 0.876 |
| Specificity | 0.913 | 0.943 | 0.954 |
| ROC AUC | 0.957 | 0.972 | 0.980 |
| F1 score | 0.893 | 0.840 | 0.856 |
| Rank | DrugBank ID | Generic Name | Pharmacological Class | Score-ANT | Crit-ANT | ΔG (kcal/mol) | Probability (ANT) |
|---|---|---|---|---|---|---|---|
| 1 | DB00912 | Repaglinide | antidiabetic (meglinide) | 5.42 | 3 | −7.78 | 0.9759 |
| 2 | DB00966 | Telmisartan | antihypertensive (angiotensin II receptor antagonist) | 4.29 | 2 | −9.20 | 0.9730 |
| 3 | DB06608 | Tafenoquine | antiparasitic | 4.66 | 5 | −7.53 | 0.9718 |
| 4 | DB00836 | Loperamide | antidiarrheals (opioid agonist) | 3.80 | 2 | −8.59 | 0.9703 |
| 5 | DB09056 | Amorolfine | antifungal | 4.74 | 1 | −8.42 | 0.9703 |
| 6 | DB08820 | Ivacaftor | CFTR potentiator | 3.74 | 3 | −9.34 | 0.9695 |
| 7 | DB14677 | Gestonorone caproate | progestin medication | 4.48 | 1 | −7.15 | 0.9694 |
| 8 | DB08976 | Floctafenine | NSAID | 4.56 | 5 | −7.48 | 0.9692 |
| 9 | DB00354 | Buclizine | antiallergic (H1 receptor antagonist) | 3.70 | 2 | −8.21 | 0.9680 |
| 10 | DB06202 | Lasofoxifene | selective ER modulator | 3.91 | 1 | −7.94 | 0.9678 |
| Rank | DrugBank ID | Generic Name | Pharmacological Class | Score-AG | Crit-AG | ΔG (kcal/mol) | LELP | Probability (AG) |
|---|---|---|---|---|---|---|---|---|
| 1 | DB00136 | Calcitriol | active form of vitamin D | 2.92 | 8 | −8.27 | 21.65 | 0.9416 |
| 2 | DB06814 | Protokylol | adrenergic β2 receptor agonist | 2.76 | 6 | −8.71 | 5.52 | 0.9412 |
| 3 | DB00523 | Alitretinoin | retinoid (antineoplastic agents) | 2.07 | 6 | −7.29 | 17.56 | 0.9405 |
| 4 | DB01597 | Cilastatin | dipeptidase inhibitor | 2.62 | 5 | −7.29 | −2.76 | 0.9389 |
| 5 | DB01187 | Iophendylate | radiocontrast agent | 1.24 | 5 | −6.66 | 21.40 | 0.9387 |
| 6 | DB00162 | Vitamin A | retinoid | 2.07 | 7 | −8.26 | 15.68 | 0.9384 |
| 7 | DB00982 | Isotretinoin | retinoid (anti-acne agent) | 2.07 | 6 | −8.79 | 14.56 | 0.9375 |
| 8 | DB11570 | Padimate O | sunscreen agent | 1.60 | 6 | −7.01 | 12.46 | 0.9374 |
| 9 | DB04822 | Oxeladin | antitussive agent | 1.24 | 7 | −6.59 | 13.55 | 0.9372 |
| 10 | DB11594 | Domiphen | antiseptic | 1.24 | 7 | −6.31 | 12.55 | 0.9368 |
Publisher’s Note: MDPI stays neutral with regard to jurisdictional claims in published maps and institutional affiliations. |
© 2022 by the authors. Licensee MDPI, Basel, Switzerland. This article is an open access article distributed under the terms and conditions of the Creative Commons Attribution (CC BY) license (https://creativecommons.org/licenses/by/4.0/).
Share and Cite
Andrei, C.; Mihai, D.P.; Zanfirescu, A.; Nitulescu, G.M.; Negres, S. In Silico Drug Repurposing Framework Predicts Repaglinide, Agomelatine and Protokylol as TRPV1 Modulators with Analgesic Activity. Pharmaceutics 2022, 14, 2563. https://doi.org/10.3390/pharmaceutics14122563
Andrei C, Mihai DP, Zanfirescu A, Nitulescu GM, Negres S. In Silico Drug Repurposing Framework Predicts Repaglinide, Agomelatine and Protokylol as TRPV1 Modulators with Analgesic Activity. Pharmaceutics. 2022; 14(12):2563. https://doi.org/10.3390/pharmaceutics14122563
Chicago/Turabian StyleAndrei, Corina, Dragos Paul Mihai, Anca Zanfirescu, George Mihai Nitulescu, and Simona Negres. 2022. "In Silico Drug Repurposing Framework Predicts Repaglinide, Agomelatine and Protokylol as TRPV1 Modulators with Analgesic Activity" Pharmaceutics 14, no. 12: 2563. https://doi.org/10.3390/pharmaceutics14122563
APA StyleAndrei, C., Mihai, D. P., Zanfirescu, A., Nitulescu, G. M., & Negres, S. (2022). In Silico Drug Repurposing Framework Predicts Repaglinide, Agomelatine and Protokylol as TRPV1 Modulators with Analgesic Activity. Pharmaceutics, 14(12), 2563. https://doi.org/10.3390/pharmaceutics14122563





















