Are Endodontic Solvents Cytotoxic? An In Vitro Study on Human Periodontal Ligament Stem Cells
Abstract
1. Introduction
2. Materials and Methods
2.1. Preparation of Solvent Eluates
2.2. Isolation and Culture of hPDLSCs
2.3. Trypan Blue Assay
2.4. IC50 Assay
2.5. Wound Healing Assay
2.6. Cell Cytoskeleton Staining
2.7. Measurement of Intracellular ROS
2.8. Statistical Analysis
3. Results
3.1. Trypan Blue Assay
3.2. IC50 Assay
3.3. Migration Assay
3.4. Cell Cytoskeleton Staining
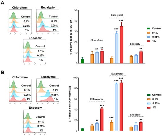
3.5. Effect of Solvents on Intracellular ROS Production
4. Discussion
5. Conclusions
Author Contributions
Funding
Institutional Review Board Statement
Informed Consent Statement
Data Availability Statement
Conflicts of Interest
References
- Nair, V.; Das, S.; De Ida, A.; Das, S.; Saha, N.; Chattopadhyay, S. Comparative evaluation of three different rotary instrumentation systems for removal of gutta-percha from root canal during endodontic retreatment: An in vitro study. J. Conserv. Dent. 2017, 20, 311–316. [Google Scholar] [CrossRef] [PubMed]
- Yang, R.; Han, Y.; Liu, Z.; Xu, Z.; Liu, H.; Wei, X. Comparison of the efficacy of laser-activated and ultrasonic-activated techniques for the removal of tricalcium silicate-based sealers and gutta-percha in root canal retreatment: A microtomography and scanning electron microscopy study. BMC Oral Health 2021, 21, 275. [Google Scholar] [CrossRef] [PubMed]
- Dotto, L.; Sarkis-Onofre, R.; Bacchi, A.; Pereira, G.K.R. The use of solvents for gutta-percha dissolution/removal during endodontic retreatments: A scoping review. J. Biomed. Mater. Res. Part B Appl. Biomater. 2021, 109, 890–901. [Google Scholar] [CrossRef] [PubMed]
- Gundogan, G.I.; Durmus, S.; Ozturk, G.C.; Kucukyesil, N.; Acar, Y.T.; Balaban, R.; Kig, C. A comparative study of the effects of gutta-percha solvents on human osteoblasts and murine fibroblasts. Aust. Endod. J. 2021, 47, 569–579. [Google Scholar] [CrossRef] [PubMed]
- Ferreira, I.; Grenho, L.; Gomes, P.; Braga, A.C.; Fernandes, M.H.; Lopes, M.A.; Pina-Vaz, I. Efficacy and Cytotoxicity of Binary Mixtures as Root Canal Filling Solvents. Materials 2020, 13, 3237. [Google Scholar] [CrossRef]
- Mushtaq, M.; Masoodi, A.; Farooq, R.; Khan, F. The Dissolving Ability of Different Organic Solvents on Three Different Root Canal Sealers: In Vitro Study. Iran Endod. J. 2012, 7, 198–202. [Google Scholar] [CrossRef]
- Martos, J.; Bassotto, A.P.S.; González-Rodríguez, M.P.; Ferrer-Luque, C.M. Dissolving efficacy of eucalyptus and orange oil, xylol and chloroform solvents on different root canal sealers. Int. Endod. J. 2011, 44, 1024–1028. [Google Scholar] [CrossRef]
- Seo, B.-M.; Miura, M.; Gronthos, S.; Bartold, P.M.; Batouli, S.; Brahim, J.; Young, M.; Robey, P.G.; Wang, C.Y.; Shi, S. Investigation of multipotent postnatal stem cells from human periodontal ligament. Lancet 2004, 364, 149–155. [Google Scholar] [CrossRef]
- Bartold, P.; Gronthos, S. Standardization of Criteria Defining Periodontal Ligament Stem Cells. J. Dent. Res. 2017, 96, 487–490. [Google Scholar] [CrossRef]
- Bright, R.; Hynes, K.; Gronthos, S.; Bartold, P.M. Periodontal ligament-derived cells for periodontal regeneration in animal models: A systematic review. J. Periodontal Res. 2015, 50, 160–172. [Google Scholar] [CrossRef]
- Schmalz, G.; Widbiller, M.; Galler, K. Material Tissue Interaction—From Toxicity to Tissue Regeneration. Oper. Dent. 2016, 41, 117–131. [Google Scholar] [CrossRef] [PubMed]
- Sequeira, D.B.; Seabra, C.M.; Palma, P.J.; Cardoso, A.L.; Peça, J.; Santos, J.M. Effects of a New Bioceramic Material on Human Apical Papilla Cells. J. Funct. Biomater. 2018, 9, 74. [Google Scholar] [CrossRef]
- Li, X.; Pedano, M.S.; Li, S.; Sun, Z.; Jeanneau, C.; About, I.; Hauben, E.; Chen, Z.; Van Landuyt, K.; Van Meerbeek, B. Preclinical effectiveness of an experimental tricalcium silicate cement on pulpal repair. Mater. Sci. Eng. C 2020, 116, 111167. [Google Scholar] [CrossRef] [PubMed]
- Scelza, M.F.Z.; Oliveira, L.R.L.; Carvalho, F.B.; Faria, S.C.-R. In vitro evaluation of macrophage viability after incubation in orange oil, eucalyptol, and chloroform. Oral Surg. Oral Med. Oral Pathol. Oral Radiol. Endodontol. 2006, 102, e24–e27. [Google Scholar] [CrossRef] [PubMed]
- Ribeiro, D.A.; Marques, M.E.A.; Salvador, D.M.F. In vitro cytotoxic and non-genotoxic effects of gutta-percha solvents on mouse lymphoma cells by single cell gel (comet) assay. Braz. Dent. J. 2006, 17, 228–232. [Google Scholar] [CrossRef]
- Nagendrababu, V.; Murray, P.E.; Ordinola-Zapata, R.; Peters, O.A.; Rôças, I.N.; Siqueira, J.F.; Priya, E.; Jayaraman, J.; Pulikkotil, S.; Camilleri, J.; et al. PRILE 2021 guidelines for reporting laboratory studies in Endodontology: A consensus-based development. Int. Endod. J. 2021, 54, 1482–1490. [Google Scholar] [CrossRef]
- Rodríguez-Lozano, F.; Collado-González, M.D.M.; Tomás-Catalá, C.; Garcia, S.L.; López, S.; Sánchez, R.E.O.; Moraleda, J.; Murcia, L. GuttaFlow Bioseal promotes spontaneous differentiation of human periodontal ligament stem cells into cementoblast-like cells. Dent. Mater. 2019, 35, 114–124. [Google Scholar] [CrossRef]
- Dominici, M.; Le Blanc, K.; Mueller, I.; Slaper-Cortenbach, I.; Marini, F.C.; Krause, D.S.; Deans, R.J.; Keating, A.; Prockop, D.J.; Horwitz, E.M. Minimal criteria for defining multipotent mesenchymal stromal cells. The International Society for Cellular Therapy position statement. Cytotherapy 2006, 8, 315–317. [Google Scholar] [CrossRef]
- Sanz, J.L.; López-García, S.; Lozano, A.; Pecci-Lloret, M.P.; Llena, C.; Guerrero-Gironés, J.; Rodríguez-Lozano, F.J.; Forner, L. Microstructural composition, ion release, and bioactive potential of new premixed calcium silicate–based endodontic sealers indicated for warm vertical compaction technique. Clin. Oral Investig. 2020, 25, 1451–1462. [Google Scholar] [CrossRef]
- López-García, S.; Pecci-Lloret, M.P.; Pecci-Lloret, M.R.; Guerrero-Gironés, J.; Rodríguez-Lozano, F.J.; García-Bernal, D. Topical fluoride varnishes promote several biological responses on human gingival cells. Ann. Anat.—Anat. Anz. 2021, 237, 151723. [Google Scholar] [CrossRef]
- Rodríguez-Lozano, F.J.; López-García, S.; García-Bernal, D.; Tomás-Catalá, C.J.; Santos, J.M.; Llena, C.; Lozano, A.; Murcia, L.; Forner, L. Chemical composition and bioactivity potential of the new Endosequence BC Sealer formulation HiFlow. Int. Endod. J. 2020, 53, 1216–1228. [Google Scholar] [CrossRef]
- Ghouchani, T.Z.; Farhadpour, H.; Mohammadi, N. Effect of Root Canal Filling Materials and Pretreatment with Solvents on the Shear Bond Strength of Composite Resin with Primary Tooth Dentin. BioMed Res. Int. 2021, 2021, 5534294. [Google Scholar] [CrossRef] [PubMed]
- Maria, R.; Dutta, S.D.; Thete, S.G.; AlAttas, M.H. Evaluation of Antibacterial Properties of Organic Gutta-percha Solvents and Synthetic Solvents against Enterococcus faecalis. J. Int. Soc. Prev. Community Dent. 2021, 11, 179–183. [Google Scholar] [PubMed]
- Çanakçi, B.C.; Er, O.; Dincer, A. Do the Sealer Solvents Used Affect Apically Extruded Debris in Retreatment? J. Endod. 2015, 41, 1507–1509. [Google Scholar] [CrossRef] [PubMed]
- Al-Hadlaq, S.M. Effect of chloroform, orange solvent and eucalyptol on the accuracy of four electronic apex locators. Aust. Endod. J. 2013, 39, 112–115. [Google Scholar] [CrossRef]
- Sen, O.G.; Erdemir, A.; Canakci, B.C. Effect of solvent use on postoperative pain in root canal retreatment: A randomized, controlled clinical trial. Clin. Oral Investig. 2021, 24, 257–263. [Google Scholar] [CrossRef]
- López-García, S.; Myong-Hyun, B.; Lozano, A.; García-Bernal, D.; Forner, L.; Llena, C.; Guerrero-Gironés, J.; Murcia, L.; Rodríguez-Lozano, F.J. Cytocompatibility, bioactivity potential, and ion release of three premixed calcium silicate-based sealers. Clin. Oral Investig. 2021, 24, 1749–1759. [Google Scholar] [CrossRef]
- Han, J.; Menicanin, D.; Marino, V.; Ge, S.; Mrozik, K.; Gronthos, S.; Bartold, P.M. Assessment of the regenerative potential of allogeneic periodontal ligament stem cells in a rodent periodontal defect model. J. Periodontal Res. 2014, 49, 333–345. [Google Scholar] [CrossRef]
- Menicanin, D.; Mrozik, K.; Wada, N.; Marino, V.; Shi, S.; Bartold, P.; Gronthos, S. Periodontal-Ligament-Derived Stem Cells Exhibit the Capacity for Long-Term Survival, Self-Renewal, and Regeneration of Multiple Tissue Types in Vivo. Stem Cells Dev. 2014, 23, 1001–1011. [Google Scholar] [CrossRef]
- Wang, Y.; Zhou, Y.; Jin, L.; Pang, X.; Lu, Y.; Wang, Z.; Yu, Y.; Yu, J. Mineral trioxide aggregate enhances the osteogenic capacity of periodontal ligament stem cells via NF-κB and MAPK signaling pathways. J. Cell. Physiol. 2018, 233, 2386–2397. [Google Scholar] [CrossRef]
- Sanz, J.L.; Guerrero-Gironés, J.; Pecci-Lloret, M.P.; Pecci-Lloret, M.R.; Melo, M. Biological interactions between calcium silicate-based endodontic biomaterials and periodontal ligament stem cells: A systematic review of in vitro studies. Int. Endod. J. 2021, 54, 2025–2043. [Google Scholar] [CrossRef] [PubMed]
- Collado-González, M.; López-García, S.; García-Bernal, D.; Oñate-Sánchez, R.E.; Tomás-Catalá, C.J.; Moraleda, J.M.; Lozano, A.; Forner, L.; Rodríguez-Lozano, F.J. Biological effects of acid-eroded MTA Repair HP and ProRoot MTA on human periodontal ligament stem cells. Clin. Oral Investig. 2019, 23, 3915–3924. [Google Scholar] [CrossRef]
- Aminoshariae, A.; Kulild, J.C. The impact of sealer extrusion on endodontic outcome: A systematic review with meta-analysis. Aust. Endod. J. 2020, 46, 123–129. [Google Scholar] [CrossRef] [PubMed]
- Keskin, C.; Sariyilmaz, E.; Sariyilmaz, O. Effect of solvents on apically extruded debris and irrigant during root canal retreatment using reciprocating instruments. Int. Endod. J. 2017, 50, 1084–1088. [Google Scholar] [CrossRef]
- Ribeiro, D.A.; Matsumoto, M.A.; Marques, M.E.; Salvadori, D.M. Biocompatibility of gutta-percha solvents using in vitro mammalian test-system. Oral Surg. Oral Med. Oral Pathol. Oral Radiol. Endodontol. 2017, 103, e106–e109. [Google Scholar] [CrossRef] [PubMed]
- Da Costa, A.O.; De Assis, M.C.; De A Marques, E.; Plotkowski, M.C. Comparative analysis of three methods to assess viability of mammalian cells in culture. Biocell 1999, 23, 65–72. [Google Scholar]
- Vouzara, T.; Ziouti, F.; Economides, N.; Koulaouzidou, E. Combined and independent cytotoxicity of sodium hypochlorite, ethylenediaminetetraacetic acid and chlorhexidine. Int. Endod. J. 2016, 49, 764–773. [Google Scholar] [CrossRef]
- Segura-Egea, J.J.; Jiménez-Rubio, A.; Rios-Santos, J.V.; Velasco-Ortega, E.; Calvo, J.R. In Vitro Inhibitory Effect of EGTA on Macrophage Adhesion: Endodontic Implications. J. Endod. 2003, 29, 211–213. [Google Scholar] [CrossRef]
- Sanz, J.L.; Soler-Doria, A.; López-García, S.; García-Bernal, D.; Rodríguez-Lozano, F.J.; Lozano, A.; Llena, C.; Forner, L.; Guerrero-Gironés, J.; Melo, M. Comparative Biological Properties and Mineralization Potential of 3 Endodontic Materials for Vital Pulp Therapy: Theracal PT, Theracal LC, and Biodentine on Human Dental Pulp Stem Cells. J. Endod. 2021, 47, 1896–1906. [Google Scholar] [CrossRef]
- Zhang, J.; Lan, T.; Han, X.; Xu, Y.; Liao, L.; Xie, L.; Yang, B.; Tian, W.; Guo, W. Improvement of ECM-based bioroot regeneration via N-acetylcysteine-induced antioxidative effects. Stem Cell Res. Ther. 2021, 12, 202. [Google Scholar] [CrossRef]
- Vajrabhaya, L.-O.; Suwannawong, S.K.; Kamolroongwarakul, R.; Pewklieng, L. Cytotoxicity evaluation of gutta-percha solvents: Chloroform and GP-Solvent (limonene). Oral Surg. Oral Med. Oral Pathol. Oral Radiol. Endodontol. 2004, 98, 756–759. [Google Scholar] [CrossRef] [PubMed]
- Barbosa, S.V.; Burkard, D.H.; Spångberg, L.S. Cytotoxic effects of gutta-percha solvents. J. Endod. 1994, 20, 6–8. [Google Scholar] [CrossRef]
- Illeperuma, R.P.; Park, Y.J.; Kim, J.M.; Bae, J.Y.; Che, Z.M.; Son, H.K.; Han, M.R.; Kim, K.-M.; Kim, J. Immortalized gingival fibroblasts as a cytotoxicity test model for dental materials. J. Mater. Sci. Mater. Med. 2012, 23, 753–762. [Google Scholar] [CrossRef] [PubMed]
- Rodríguez-Lozano, F.J.; Serrano-Belmonte, I.; Pérez Calvo, J.C.; Coronado-Parra, M.T.; Bernabeu-Esclapez, A.; Moraleda, J.M. Effects of two low-shrinkage composites on dental stem cells (viability, cell damaged or apoptosis and mesenchymal markers expression). J. Mater. Sci. Mater. Med. 2013, 24, 979–988. [Google Scholar] [CrossRef] [PubMed]
- Chang, Y.-C.; Chou, M.-Y. Cytotoxicity of Halothane on Human Gingival Fibroblast Cultures In Vitro. J. Endod. 2001, 27, 82–84. [Google Scholar] [CrossRef]
- Khan, F.R.; Rehman, K.; Aman, N. Comparison of Orange Oil and Chloroform as Gutta- Percha Solvents in Endodontic Retreatment. J. Contemp. Dent. Pr. 2013, 14, 478–482. [Google Scholar] [CrossRef]
- Tyagi, S.; Choudhary, E.; Choudhary, A.; Chauhan, R. A Comparative Evaluation of Two Commonly Used GP Solvents on Different Epoxy Resin-based Sealers: An In Vitro Study. Int. J. Clin. Pediatr. Dent. 2020, 13, 35–37. [Google Scholar] [CrossRef]
- Hwang, J.I.; Chuang, A.H.; Sidow, S.J.; McNally, K.; Goodin, J.L.; McPherson, J.C. The Effectiveness of Endodontic Solvents to Remove Endodontic Sealers. Mil. Med. 2015, 180, 92–95. [Google Scholar] [CrossRef][Green Version]
- Leprince, J.G.; Zeitlin, B.; Tolar, M.; Peters, O. Interactions between immune system and mesenchymal stem cells in dental pulp and periapical tissues. Int. Endod. J. 2012, 45, 689–701. [Google Scholar] [CrossRef]
- Kellner, M.; Steindorff, M.M.; Strempel, J.F.; Winkel, A.; Kühnel, M.P.; Stiesch, M. Differences of isolated dental stem cells dependent on donor age and consequences for autologous tooth replacement. Arch. Oral Biol. 2014, 59, 559–567. [Google Scholar] [CrossRef]
- Li, L.; Zhu, Y.-Q.; Jiang, L.; Peng, W.; Ritchie, H.H. Hypoxia Promotes Mineralization of Human Dental Pulp Cells. J. Endod. 2011, 37, 799–802. [Google Scholar] [CrossRef] [PubMed]





| Materials | Manufacturer | Composition | Batch Number |
|---|---|---|---|
| Eucalyptol | DF DentaFlux (Madrid, Spain) | Eucalyptol 99% minimum | 010921 |
| Endosolv | Septodont (Saint-Maur-des-Fossés, France) | Ethyl acetate (50–100%), Amyl acetate (2.5–10%) and thymol (<1%) | 21121 |
| Chloroform | Panreac AppliChem—ITW Reagents (Glenview, IL, USA) | Chloroform 99% minimum | 142155370 |
Publisher’s Note: MDPI stays neutral with regard to jurisdictional claims in published maps and institutional affiliations. |
© 2022 by the authors. Licensee MDPI, Basel, Switzerland. This article is an open access article distributed under the terms and conditions of the Creative Commons Attribution (CC BY) license (https://creativecommons.org/licenses/by/4.0/).
Share and Cite
Sanz, J.L.; López-García, S.; Forner, L.; Rodríguez-Lozano, F.J.; García-Bernal, D.; Sánchez-Bautista, S.; Puig-Herreros, C.; Rosell-Clari, V.; Oñate-Sánchez, R.E. Are Endodontic Solvents Cytotoxic? An In Vitro Study on Human Periodontal Ligament Stem Cells. Pharmaceutics 2022, 14, 2415. https://doi.org/10.3390/pharmaceutics14112415
Sanz JL, López-García S, Forner L, Rodríguez-Lozano FJ, García-Bernal D, Sánchez-Bautista S, Puig-Herreros C, Rosell-Clari V, Oñate-Sánchez RE. Are Endodontic Solvents Cytotoxic? An In Vitro Study on Human Periodontal Ligament Stem Cells. Pharmaceutics. 2022; 14(11):2415. https://doi.org/10.3390/pharmaceutics14112415
Chicago/Turabian StyleSanz, José Luis, Sergio López-García, Leopoldo Forner, Francisco Javier Rodríguez-Lozano, David García-Bernal, Sonia Sánchez-Bautista, Clara Puig-Herreros, Vicent Rosell-Clari, and Ricardo E. Oñate-Sánchez. 2022. "Are Endodontic Solvents Cytotoxic? An In Vitro Study on Human Periodontal Ligament Stem Cells" Pharmaceutics 14, no. 11: 2415. https://doi.org/10.3390/pharmaceutics14112415
APA StyleSanz, J. L., López-García, S., Forner, L., Rodríguez-Lozano, F. J., García-Bernal, D., Sánchez-Bautista, S., Puig-Herreros, C., Rosell-Clari, V., & Oñate-Sánchez, R. E. (2022). Are Endodontic Solvents Cytotoxic? An In Vitro Study on Human Periodontal Ligament Stem Cells. Pharmaceutics, 14(11), 2415. https://doi.org/10.3390/pharmaceutics14112415

