Formulation and Evaluation of Novel Additive-Free Spray-Dried Triamcinolone Acetonide Microspheres for Pulmonary Delivery: A Pharmacokinetic Study
Abstract
1. Introduction
2. Materials and Methods
2.1. Materials
2.2. Methods
2.2.1. Spray Drying of Triamcinolone Acetonide
2.2.2. Differential Scanning Calorimetric Analysis (DSC)
2.2.3. Fourier Transform Infrared Spectroscopy (FTIR)
2.2.4. Scanning Electron Microscopy (SEM)
2.2.5. Powder X-ray Diffraction
2.2.6. Density and Compressibility Measurements
2.2.7. Chromatographic Analysis of TAA
2.3. In Vivo Direct Pulmonary Delivery of TAA Microspheres
2.3.1. Blood Sample Collection
2.3.2. Fluid Broncho-Alveolar Lavage Sample Collection
2.3.3. Lung Tissue Sample Collection
2.3.4. Analysis of TTA Concentration in the Biological Samples
3. Results and Discussion
3.1. Spray-Drying of TAA Formulations from Ethanol without Blowing Agent
3.1.1. Electron Microscopy
3.1.2. Differential Scanning Calorimetry
3.1.3. Infrared Spectroscopy
3.1.4. X-ray Diffraction
3.1.5. Powder Physical Examination
3.2. Spray-Drying of TAA Formulations with a Blowing Agent (Ammonium Bicarbonate) from Ethanol
3.3. Selection of the Appropriate Formula for In-Vivo Studies
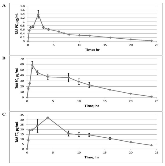
3.4. In Vivo Characterization of TAA Microspheres by the Study of Direct Lung Delivery of Microspheres Particles (M.S.P.s) of TAA Powders by Inhalation
4. Conclusions
Author Contributions
Funding
Institutional Review Board Statement
Informed Consent Statement
Data Availability Statement
Conflicts of Interest
References
- La Zara, D.; Sun, F.; Zhang, F.; Franek, F.; Sivars, K.B.; Horndahl, J.; Bates, S.; Brännström, M.; Ewing, P.; Quayle, M.J.; et al. Controlled pulmonary delivery of carrier-free budesonide dry powder by atomic layer deposition. ACS Nano 2021, 15, 6684–6698. [Google Scholar] [CrossRef] [PubMed]
- Reddel, H.K.; Bateman, E.D.; Becker, A.; Boulet, L.-P.; Cruz, A.A.; Drazen, J.M.; Haahtela, T.; Hurd, S.S.; Inoue, H.; de Jongste, J.C.; et al. A summary of the new GINA strategy: A roadmap to asthma control. Eur. Respir. J. 2015, 46, 622–639. [Google Scholar] [CrossRef] [PubMed]
- Hoppentocht, M.; Hagedoorn, P.; Frijlink, H.; de Boer, A. Technological and practical challenges of dry powder inhalers and formulations. Adv. Drug Deliv. Rev. 2014, 75, 18–31. [Google Scholar] [CrossRef]
- Wang, Y.B.; Watts, A.B.; Peters, J.I.; Williams, R.O., III. The impact of pulmonary diseases on the fate of inhaled medicines—A review. Int. J. Pharm. 2014, 461, 112–128. [Google Scholar] [CrossRef] [PubMed]
- Hohenegger, M. Novel and current treatment concepts using pulmonary drug delivery. Curr. Pharm. Des. 2010, 16, 2484–2492. [Google Scholar] [CrossRef]
- Pilcer, G.; Amighi, K. Formulation strategy and use of excipients in pulmonary drug delivery. Int. J. Pharm. 2010, 392, 1–19. [Google Scholar] [CrossRef]
- Gad, S.; Tajber, L.; Corrigan, O.I.; Healy, A.M. Preparation and characterisation of novel spray-dried nano-structured para-aminosalicylic acid particulates for pulmonary delivery: Impact of ammonium carbonate on morphology, chemical composition and solid state. J. Pharm. Pharmacol. 2012, 64, 1264–1274. [Google Scholar] [CrossRef]
- Nolan, L.M.; Tajber, L.; McDonald, B.F.; Barham, A.S.; Corrigan, O.I.; Healy, A.M. Excipient-free nanoporous microparticles of budesonide for pulmonary delivery. Eur. J. Pharm. Sci. 2009, 37, 593–602. [Google Scholar] [CrossRef]
- Healy, A.M.; McDonald, B.; Tajber, L.; Corrigan, O. Characterisation of excipient-free nanoporous microparticles (NPMPs) of bendroflumethiazide. Eur. J. Pharm. Biopharm. 2008, 69, 1182–1186. [Google Scholar] [CrossRef]
- Corrigan, D.O.; Corrigan, O.I.; Healy, A.M. Predicting the physical state of spray dried composites: Salbutamol sulphate/lactose and salbutamol sulphate/polyethylene glycol co-spray dried systems. Int. J. Pharm. 2004, 273, 171–182. [Google Scholar] [CrossRef]
- Zhang, S.-Q. Quantification of triamcinolone acetonide in ocular tissues after intravitreal injection to rabbit using liquid chromatography–tandem mass spectrometry. J. Chromatogr. B Anal. Technol. Biomed. Life Sci. 2011, 879, 548–552. [Google Scholar] [CrossRef] [PubMed]
- Li, Y.; Chen, H.; Hou, J.; Zhang, Y.; Li, G.; Gu, X.; Luo, L.; Shen, H.; Qu, J.; Cheng, L. Further characterization of ocular safety profile of commercially available preserved and preservative-free triamcinolone acetonide. Retina 2012, 32, 364–374. [Google Scholar] [CrossRef] [PubMed]
- Humbird, D.; Davis, R.; Tao, L.; Kinchin, C.; Hsu, D.; Aden, A.; Schoen, P.; Lukas, J.; Olthof, B.; Worley, M. Process Design and Economics for Biochemical Conversion of Lignocellulosic Biomass to Ethanol: Dilute-Acid Pretreatment and Enzymatic Hydrolysis of Corn Stover; National Renewable Energy Lab (NREL): Golden, CO, USA, 2011. [Google Scholar]
- Eedara, B.B.; Tucker, I.G.; Das, S.C. Phospholipid-based pyrazinamide spray-dried inhalable powders for treating tuberculosis. Int. J. Pharm. 2016, 506, 174–183. [Google Scholar] [CrossRef] [PubMed]
- Shrestha, A.K.; Howes, T.; Adhikari, B.P.; Bhandari, B.R. Spray drying of skim milk mixed with milk permeate: Effect on drying behavior, physicochemical properties, and storage stability of powder. Dry. Technol. 2008, 26, 239–247. [Google Scholar] [CrossRef]
- Amaro, M.I.; Tajber, L.; Corrigan, O.I.; Healy, A.M. Optimisation of spray drying process conditions for sugar nanoporous microparticles (NPMPs) intended for inhalation. Int. J. Pharm. 2011, 421, 99–109. [Google Scholar] [CrossRef]
- Ghanshyam, U.; Patel, P.; Patel, J. Formulation and characterization of solid lipid nanoparticles dry powder inhaler containing triamcinolone acetonide. Int. J. Res. Pharm. Chem. 2011, 1, 662–673. [Google Scholar]
- Cerchiara, T.; Luppi, B.; Chidichimo, G.; Bigucci, F.; Zecchi, V. Chitosan and poly(methyl vinyl ether-co-maleic anhydride) microparticles as nasal sustained delivery systems. Eur. J. Pharm. Biopharm. 2005, 61, 195–200. [Google Scholar] [CrossRef]
- Oh, Y.J.; Lee, J.; Seo, J.Y.; Rhim, T.; Kim, S.-H.; Yoon, H.J.; Lee, K.Y. Preparation of budesonide-loaded porous PLGA microparticles and their therapeutic efficacy in a murine asthma model. J. Control. Release 2011, 150, 56–62. [Google Scholar] [CrossRef]
- Ógáin, O.N.; Li, J.; Tajber, L.; Corrigan, O.I.; Healy, A.M. Particle engineering of materials for oral inhalation by dry powder inhalers. I—Particles of sugar excipients (trehalose and raffinose) for protein delivery. Int. J. Pharm. 2011, 405, 23–35. [Google Scholar] [CrossRef]
- Silva, J.P.S.E.; Splendor, D.; Gonçalves, I.M.B.; Costa, P.; Lobo, J.M.S. Note on the measurement of bulk density and tapped density of powders according to the European pharmacopeia. AAPS PharmSciTech 2013, 14, 1098–1100. [Google Scholar] [CrossRef]
- Sebti, T.; Amighi, K. Preparation and in vitro evaluation of lipidic carriers and fillers for inhalation. Eur. J. Pharm. Biopharm. 2006, 63, 51–58. [Google Scholar] [CrossRef] [PubMed]
- Kim, Y.-M.; Lim, J.-O.; Kim, H.; Kim, S.; Shin, J.-P. A novel design of one-side coated biodegradable intrascleral implant for the sustained release of triamcinolone acetonide. Eur. J. Pharm. Biopharm. 2008, 70, 179–186. [Google Scholar] [CrossRef] [PubMed]
- Flecknell, P.A.; Waynforth, H.B. Experimental and surgical technique in the rat. Psicothema 1995, 7, 452–453. [Google Scholar]
- Giroux, M.-C.; Hélie, P.; Burns, P.; Vachon, P. Anesthetic and pathological changes following high doses of ketamine and xylazine in Sprague Dawley rats. Exp. Anim. 2015, 64, 253–260. [Google Scholar] [CrossRef] [PubMed]
- Waynforth, H.B.; Flecknell, P.A. Experimental and Surgical Technique in the Rat; Academic Press: London, UK, 1980; Volume 127. [Google Scholar]
- Tsapis, N.; Bennett, D.; O’Driscoll, K.; Shea, K.; Lipp, M.; Fu, K.; Clarke, R.; Deaver, D.; Yamins, D.; Wright, J.; et al. Direct lung delivery of para-aminosalicylic acid by aerosol particles. Tuberculosis 2003, 83, 379–385. [Google Scholar] [CrossRef] [PubMed]
- Sinsuebpol, C.; Chatchawalsaisin, J.; Kulvanich, P. Preparation and in vivo absorption evaluation of spray dried powders containing salmon calcitonin loaded chitosan nanoparticles for pulmonary delivery. Drug Des. Dev. Ther. 2013, 7, 861–873. [Google Scholar] [CrossRef]
- Leung, T.; Wong, C.; Lam, C.; Li, A.; Ip, W.; Wong, G.; Fok, T. Plasma TARC concentration may be a useful marker for asthmatic exacerbation in children. Eur. Respir. J. 2003, 21, 616–620. [Google Scholar] [CrossRef]
- Sanna, V.; Kirschvink, N.; Gustin, P.; Gavini, E.; Roland, I.; Delattre, L.; Evrard, B. Preparation and in vivo toxicity study of solid lipid microparticles as carrier for pulmonary administration. AAPS PharmSciTech 2004, 5, 17–23. [Google Scholar] [CrossRef]
- Li, J.; Zheng, H.; Qin, L.; Xu, E.-Y.; Yang, L.; Zhang, L.; Zhang, X.; Fan, L.; Beck-Broichsitter, M.; Muenster, U.; et al. In vitro–in vivo correlation of inhalable budesonide-loaded large porous particles for sustained treatment regimen of asthma. Acta Biomater. 2019, 96, 505–516. [Google Scholar] [CrossRef]
- César, I.C.; Byrro, R.M.D.; Cardoso, F.F.D.S.E.S.; Mundim, I.M.; Teixeira, L.D.S.; de Sousa, W.C.; Gomes, S.A.; Bellorio, K.B.; Brêtas, J.M.; Pianetti, G.A. Determination of triamcinolone in human plasma by a sensitive HPLC-ESI-MS/MS method: Application for a pharmacokinetic study using nasal spray formulation. Biol. Mass Spectrom. 2011, 46, 320–326. [Google Scholar] [CrossRef]
- Gilani, K.; Najafabadi, A.R.; Barghi, M.; Rafiee-Tehrani, M. Aerosolisation of beclomethasone dipropionate using spray dried lactose/polyethylene glycol carriers. Eur. J. Pharm. Biopharm. 2004, 58, 595–606. [Google Scholar] [CrossRef] [PubMed]
- Walton, D.; Mumford, C. Spray dried products—Characterization of particle morphology. Chem. Eng. Res. Des. 1999, 77, 21–38. [Google Scholar] [CrossRef]
- Vehring, R. Pharmaceutical particle engineering via spray drying. Pharm. Res. 2007, 25, 999–1022. [Google Scholar] [CrossRef]
- Straub, J.A.; Chickering, D.E.; Lovely, J.C.; Zhang, H.; Shah, B.; Waud, W.R.; Bernstein, H. Intravenous hydrophobic drug delivery: A porous particle formulation of paclitaxel (AI-850). Pharm. Res. 2005, 22, 347–355. [Google Scholar] [CrossRef]
- Prinn, K.B.; Costantino, H.R.; Tracy, M. Statistical modeling of protein spray drying at the lab scale. AAPS PharmSciTech 2002, 3, 32–39. [Google Scholar] [CrossRef] [PubMed]
- Euser, H.; Janssens, J.-P.; Moll, R.J.; Sonjon, J.G.M. Preparation of Free Flowing Granules of Methylglycine Diacetic Acid. U.S. Patent 8,183,410, 22 May 2012. [Google Scholar]
- Araújo, J.; Gonzalez-Mira, E.; Egea, M.A.; Garcia, M.L.; Souto, E.B. Optimization and physicochemical characterization of a triamcinolone acetonide-loaded NLC for ocular antiangiogenic applications. Int. J. Pharm. 2010, 393, 168–176. [Google Scholar] [CrossRef] [PubMed]
- Pretsch, E.; Bühlmann, P.; Badertscher, M. IR spectroscopy. In Structure Determination of Organic Compounds; Springer: Berlin, Germany, 2009. [Google Scholar]
- Suitchmezian, V.; Jess, I.; Näther, C. Investigations on the polymorphism and pseudopolymorphism of the glucocorticoid triamcinolone: New findings for a well-known drug. Cryst. Growth Des. 2007, 7, 69–74. [Google Scholar] [CrossRef]
- Nolan, L.M. The production and characterisation of spray dried nanoporous microparticles (NPMPs) intended for dry powder inhalation drug delivery systems. Ph.D. Thesis, Trinity College Dublin, Dublin, Ireland, 2008. [Google Scholar]
- Meng, Y.; Sun, S.; Li, J.; Nan, K.; Lan, B.; Jin, Y.; Chen, H.; Cheng, L. Sustained release of triamcinolone acetonide from an episcleral plaque of multilayered poly-ε-caprolactone matrix. Acta Biomater. 2014, 10, 126–133. [Google Scholar] [CrossRef]
- Sabzevari, A.; Adibkia, K.; Hashemi, H.; Hedayatfar, A.; Mohsenzadeh, N.; Atyabi, F.; Ghahremani, M.H.; Dinarvand, R. Polymeric triamcinolone acetonide nanoparticles as a new alternative in the treatment of uveitis: In vitro and in vivo studies. Eur. J. Pharm. Biopharm. 2013, 84, 63–71. [Google Scholar] [CrossRef]
- Giron, D.; Rémy, P.; Thomas, S.; Vilette, E. Quantitation of amorphicity by microcalorimetry. J. Therm. Anal. 1997, 48, 465–472. [Google Scholar] [CrossRef]
- Labiris, N.R.; Dolovich, M.B. Pulmonary drug delivery. Part I: Physiological factors affecting therapeutic effectiveness of aerosolized medications. Br. J. Clin. Pharmacol. 2003, 56, 588–599. [Google Scholar] [CrossRef] [PubMed]
- Bosquillon, C.; Rouxhet, P.G.; Ahimou, F.; Simon, D.; Culot, C.; Préat, V.; Vanbever, R. Aerosolization properties, surface composition and physical state of spray-dried protein powders. J. Control. Release 2004, 99, 357–367. [Google Scholar] [CrossRef] [PubMed]
- Hatch, G.E. Comparative biochemistry of airway lining fluid. Treatise Pulm. Toxicol. 1992, 1, 617–632. [Google Scholar]










| System (Sample ID) | Solvent Composition; Ethanol% v/v (Volume = 100 mL) | TAA (%w/v) | Outlet Temp. (°C) | Yield (%) |
|---|---|---|---|---|
| F1 | 90% | 1% | 54–50 | 39 |
| F2 | 90% | 1.5% | 54–48 | 58 |
| F3 | 90% | 2% | 54–50 | 54 |
| F4 | 90% | 2.5% | 52–50 | 49 |
| F5 | 90% | 3% | 50–48 | 43 |
| F6 | 70% | 1% | 50–40 | 41 |
| F7 | 80% | 1% | 52–48 | 30 |
| D (µm) | ρb | ρt | C | |||||||||
|---|---|---|---|---|---|---|---|---|---|---|---|---|
| Formula ID | Mean | ± | SE | Mean | ± | SE | Mean | ± | SE | Mean | ± | SE |
| F1 | 2.24 | ± | 0.27 | 0.95 | ± | 0.05 | 1.18 | ± | 0.07 | 19 | ± | 0.01 |
| F2 | 2.52 | ± | 0.44 | 0.34 | ± | 0.01 | 0.42 | ± | 0.02 | 17 | ± | 0.01 |
| F3 | 3.07 | ± | 0.19 | 0.39 | ± | 0.01 | 0.51 | ± | 0.01 | 24 | ± | 0.00 |
| F4 | 3.64 | ± | 0.34 | 0.35 | ± | 0.01 | 0.42 | ± | 0.02 | 17 | ± | 0.01 |
| F5 | 3.93 | ± | 0.44 | 0.35 | ± | 0.02 | 0.53 | ± | 0.03 | 34 | ± | 0.01 |
| F6 | 2.54 | ± | 0.32 | 0.42 | ± | 0.02 | 0.59 | ± | 0.03 | 29 | ± | 0.01 |
| F7 | 3.12 | ± | 0.49 | 1.06 | ± | 0.06 | 1.34 | ± | 0.09 | 21 | ± | 0.01 |
| Micronized TAA | 99% < 5 um | 0.23 | ± | 0.01 | 0.42 | ± | 0.02 | 46 | ± | 0.00 | ||
| System (Sample ID) | Solvent %v/v Ethanol, Volume = 100 mL | Solid Conc. (%w/v) | Blowing Agent; ABC, Conc. (%w/v) | Outlet Temp. (°C) | Yield (%) |
|---|---|---|---|---|---|
| F8 | 90% | 1 | 10 | 50–45 | 30 |
| F9 | 90% | 1 | 15 | 53–45 | 26 |
| F10 | 90% | 1 | 20 | 51–48 | 22 |
| F11 | 90% | 1.5 | 10 | 52–45 | 24 |
| D (um) | ρb | ρt | C | |||||||||
|---|---|---|---|---|---|---|---|---|---|---|---|---|
| Formula ID | Mean | ± | SE | Mean | ± | SE | Mean | ± | SE | Mean | ± | SE |
| F8 | 2.26 | ± | 0.36 | 0.96 | ± | 0.04 | 1.18 | ± | 0.07 | 19 | ± | 0.01 |
| F9 | 2.45 | ± | 0.24 | 1.76 | ± | 0.05 | 2.59 | ± | 0.08 | 32 | ± | 0.00 |
| F10 | 3.00 | ± | 0.49 | 0.52 | ± | 0.02 | 0.70 | ± | 0.03 | 25 | ± | 0.00 |
| F11 | 2.55 | ± | 0.65 | 1.32 | ± | 0.07 | 1.83 | ± | 0.17 | 28 | ± | 0.03 |
| Micronized TAA | 99% < 5 um | 0.23 | ± | 0.01 | 0.42 | ± | 0.02 | 46 | ± | 0.00 | ||
| PC | FC | TC | |||||||
|---|---|---|---|---|---|---|---|---|---|
| Time (h) | Mean | ± | SE | Mean | ± | SE | Mean | ± | SE |
| 0 | 0.00 | ± | 0.00 | 0 | ± | 0 | 0 | ± | 0 |
| 0.25 | 0.55 | ± | 0.02 | 16.74 | ± | 2.00 | 8.96 | ± | 0.65 |
| 0.5 | 0.70 | ± | 0.06 | 25.56 | ± | 1.04 | 19.24 | ± | 0.44 |
| 1 | 0.75 | ± | 0.05 | 58.64 | ± | 6.57 | 19.64 | ± | 0.98 |
| 2 | 1.38 | ± | 0.20 | 44.94 | ± | 3.59 | 23.85 | ± | 6.90 |
| 4 | 0.61 | ± | 0.05 | 37.26 | ± | 5.21 | 32.29 | ± | 0.69 |
| 8 | 0.34 | ± | 0.02 | 36.04 | ± | 7.94 | 15.85 | ± | 2.77 |
| 10 | 0.31 | ± | 0.02 | 28.55 | ± | 5.13 | 14.71 | ± | 2.05 |
| 12 | 0.29 | ± | 0.01 | 22.78 | ± | 4.61 | 14.41 | ± | 1.55 |
| 16 | 0.19 | ± | 0.01 | 13.94 | ± | 0.65 | 10.86 | ± | 1.07 |
| 20 | 0.10 | ± | 0.02 | 6.80 | ± | 0.26 | 6.85 | ± | 0.70 |
| 24 | 0.03 | ± | 0.02 | 1.48 | ± | 0.27 | 3.79 | ± | 0.33 |
Publisher’s Note: MDPI stays neutral with regard to jurisdictional claims in published maps and institutional affiliations. |
© 2022 by the authors. Licensee MDPI, Basel, Switzerland. This article is an open access article distributed under the terms and conditions of the Creative Commons Attribution (CC BY) license (https://creativecommons.org/licenses/by/4.0/).
Share and Cite
Amran, M.; Khafagy, E.-S.; Mokhtar, H.I.; Zaitone, S.A.; Moustafa, Y.M.; Gad, S. Formulation and Evaluation of Novel Additive-Free Spray-Dried Triamcinolone Acetonide Microspheres for Pulmonary Delivery: A Pharmacokinetic Study. Pharmaceutics 2022, 14, 2354. https://doi.org/10.3390/pharmaceutics14112354
Amran M, Khafagy E-S, Mokhtar HI, Zaitone SA, Moustafa YM, Gad S. Formulation and Evaluation of Novel Additive-Free Spray-Dried Triamcinolone Acetonide Microspheres for Pulmonary Delivery: A Pharmacokinetic Study. Pharmaceutics. 2022; 14(11):2354. https://doi.org/10.3390/pharmaceutics14112354
Chicago/Turabian StyleAmran, Mohammed, El-Sayed Khafagy, Hatem I. Mokhtar, Sawsan A. Zaitone, Yasser M. Moustafa, and Shadeed Gad. 2022. "Formulation and Evaluation of Novel Additive-Free Spray-Dried Triamcinolone Acetonide Microspheres for Pulmonary Delivery: A Pharmacokinetic Study" Pharmaceutics 14, no. 11: 2354. https://doi.org/10.3390/pharmaceutics14112354
APA StyleAmran, M., Khafagy, E.-S., Mokhtar, H. I., Zaitone, S. A., Moustafa, Y. M., & Gad, S. (2022). Formulation and Evaluation of Novel Additive-Free Spray-Dried Triamcinolone Acetonide Microspheres for Pulmonary Delivery: A Pharmacokinetic Study. Pharmaceutics, 14(11), 2354. https://doi.org/10.3390/pharmaceutics14112354

