Next Article in Journal
Characterization and Stabilization of a New 64Cu-Labeled Anti-EGFR Antibody NCAB001 for the Early Detection of Pancreatic Cancer with Positron Emission Tomography
Next Article in Special Issue
CpG Oligodeoxynucleotides for Anticancer Monotherapy from Preclinical Stages to Clinical Trials
Previous Article in Journal
Oxyresveratrol Inhibits TNF-α-Stimulated Cell Proliferation in Human Immortalized Keratinocytes (HaCaT) by Suppressing AKT Activation
Previous Article in Special Issue
CRISPR/Cas9 Delivery System Engineering for Genome Editing in Therapeutic Applications
 
 
Font Type:
Arial Georgia Verdana
Font Size:
Aa Aa Aa
Line Spacing:
Column Width:
Background:
Article

Polyamine–Oligonucleotide Conjugates: 2′-OMe-Triazole-Linked 1,4,7,10-Tetraazacyclododecane and Intercalating Dyes and Their Effect on the Thermal Stability of DNA Duplexes

1
Department of Organic Chemistry, Bioorganic Chemistry and Biotechnology, Silesian University of Technology, Krzywoustego 4, 44-100 Gliwice, Poland
2
Department of Chemical Organic Technology and Petrochemistry, Silesian University of Technology, Krzywoustego 4, 44-100 Gliwice, Poland
3
BioNEC Center, Department of Physics, Chemistry and Pharmacy, University of Southern Denmark, Campusvej 55, 5230 Odense M, Denmark
*
Author to whom correspondence should be addressed.
Pharmaceutics 2022, 14(1), 66; https://doi.org/10.3390/pharmaceutics14010066
Submission received: 21 November 2021 / Revised: 18 December 2021 / Accepted: 25 December 2021 / Published: 28 December 2021

Abstract

:
Oligonucleotides with the sequences 5′-GTG AUPA TGC, 5′-GCA TAUP CAC and 5′-GUPG ATA UPGC, where UP is 2′-O-propargyl uridine, were subjected to post-synthetic Cu(I)-catalyzed azide–alkyne cycloaddition to attach 1,4,7,10-tetraazacyclododecane (cyclen) and two well-known DNA intercalating dyes: thioxanthone and 1,8-naphthalimide. We propose a convenient cyclen protection–deprotection strategy that allows efficient separation of the resulting polyamine–oligonucleotide conjugates from the starting materials by RP-HPLC to obtain high-purity products. In this paper, we present hitherto unknown macrocyclic polyamine–oligonucleotide conjugates and their hybridization properties reflected in the thermal stability of thirty-two DNA duplexes containing combinations of labeled strands, their unmodified complementary strands, and strands with single base pair mismatches. Circular dichroism measurements showed that the B-conformation is retained for all dsDNAs consisting of unmodified and modified oligonucleotides. An additive and destabilizing effect of cyclen moieties attached to dsDNAs was observed. Tm measurements indicate that placing the hydrophobic dye opposite to the cyclen moiety can reduce its destabilizing effect and increase the thermal stability of the duplex. Interestingly, the cyclen-modified U showed significant selectivity for TT mismatch, which resulted in stabilization of the duplex. We conclude the paper with a brief review and discussion in which we compare our results with several examples of oligonucleotides labeled with polyamines at internal strand positions known in the literature.

1. Introduction

Macrocyclic polyamines and their transition metal complexes are attracting increasing interest due to their clinical potential in cancer and virus treatment and in magnetic resonance imaging. Chemical modifications involving covalent attachment of polyamines to oligonucleotides (ON) create zwitterionic functional groups that can significantly improve their biological and biophysical properties, such as target affinity and cell penetration, in a manner similar to polyamine transfection agents. The introduction of such modifications was carried out using several different strand positions, including the 3′ and 5′-positions of the phosphate backbone, the 2′ and 4′-positions on the ribose ring, and within the nucleobase itself [1,2]. In contrast to the 3′ and 5′-positions, the stability of both oligonucleotides and duplexes is more sensitive to modifications of the ribose ring structure and conformation, although it is the 2′-position of the ribose ring that is particularly suitable for the covalent attachment of large molecules, such as polyamines, with minimal disruption of the base-paring potential. There are many examples of polyamine–oligonucleotide conjugates, but in most studies, polyamines are linear, while examples of macrocyclic polyamines that can form stable complexes with transition metals are rarer, and information on their effect on duplex stability is often lacking. Dubey et al. showed that cyclen-based transition metal complexes attached to the 5′-position of an oligo(dT) are able to hydrolyze the target oligo(dA) more efficiently; however, the effect of the cyclen moiety on the thermal stability of the duplex has not been described [3]. Steward et al. demonstrated a four-arm, lattice-bearing, single-stranded DNA bound to the central Ni(II)–cyclen complex, which improves self-assembly at the supramolecular level, but its effect on duplexes is also unknown [4]. On the other hand, it is known that macrocyclic polyamines such as 1,4,7,10- tetraazacyclododecane (cyclen) are potential artificial nucleases, and their derivatives can cleave double-stranded DNA (dsDNA), even without metal ions, through hydrolysis or oxidative cleavage [5,6,7,8,9]. Thus, covalent attachment of a macrocyclic amine to ssDNA may provide new and useful models for studying the function and in vitro use of artificial nucleic acid-based nucleases.
The second type of modification that we introduced, intercalating dyes, have a considerable position in the chemistry of nucleic acids [10]. These planar and aromatic molecules can intercalate between the nucleobases of dsDNA changing its topology but can also be explored as fluorescent probes for in vitro applications. Typically, oligonucleotide-based probes consist of covalently attached fluorescent dyes, including perylene [11], pyrene and phenanthroline [12,13,14,15], or fluorescein [16], which are known to exhibit high fluorescence and can interact noncovalently with dsDNA, e.g., by intercalation or groove-binding, leading to its stabilization. We have previously shown that covalent attachment of a carbazole moiety to the 5′-end of a 9-mer sequence increases the thermal stability of the resulting 9-mer/15-mer dsDNA by +4.2 °C [17]. To date, the effect of the combined attachment of both molecules, an intercalator and cyclen, to double-stranded oligonucleotides on their thermal stability has not been investigated. The knowledge of the stabilizing (or destabilizing) effect will be helpful in the preparation of cyclen-containing oligonucleotides with tailored stability of the resulting hybridized duplexes. Telser et al. prepared several dsDNAs with covalently attached labels, e.g., anthraquinone or pyrene, placed at the internal positions of both strands and showed that both label–duplex and label–label interactions affect the thermal stability of the resulting duplexes [18,19]. Following the above studies, we also examined the mutual influence of the introduced modifications on the stability of duplexes.
Herein, we present a preliminary study of a new methodology for the covalent attachment of cyclen moieties to oligonucleotides and the assessment of their effect on the thermal stability of the resulting DNA duplexes. For this purpose, we developed a new procedure for introducing N-TFA-protected cyclen via a 2′-OMe-triazole linkage, followed by purification and deprotection of the resulting conjugate to obtain a high-purity product that is well separated from the initial oligonucleotide. We were also interested in the mutual influence of the different labels placed on opposite positions of complementary strands on their stabilizing properties, which turn out to be of significant importance in the case of cyclen groups. In summary, we tested seven labeled oligonucleotides on examples of thirty-two dsDNA combinations formed between the labeled strands, their unmodified complementary strands, and strands with a single base pair mismatch.

2. Materials and Methods

2.1. Chemical Synthesis and Analysis

All reagents and anhydrous solvents were obtained from commercial sources and used without further purification except phenol distillation. Anhydrous solvents were dried over 4 Å molecular sieves and checked using a Karl Fisher titrator to determine if the water concentration was below 12 ppm before use. The progress of the chemical reactions was monitored by thin layer chromatography (TLC) on silica gel 60 F254 plates (Merc, Darmstadt, Germany). Spots on the TLC plate were visualized under UV light at 254 nm or by heating the plate after treatment with ninhydrin reagent made by dissolving 1.5 g of ninhydrin in 100 mL of n-butanol and adding 3.0 mL of acetic acid. Column chromatography was performed on Merck silica gel 60 (40–63 µm). Recycling preparative HPLC (prep-HPLC) was performed on a JAI LaboACE 5060 (Japan Analytic Industry, Tokyo, Japan). Depending on the type of compound to be purified, a tandem set of GPC JAIGEL-2HR+2.5 HR columns (∅20 mm × 600 mm) or a silica-based RP JAIGEL-ODS-AP-L SP-120-10 column (∅20 mm × 500 mm, 10 μm) was used for prep-HPLC. 1H-NMR and 13C-NMR spectra were recorded on a Varian NMR system 600 spectrometer (Agilent Technologies, Santa Clara, CA, USA) at 600 and 150 MHz, respectively. Peak multiplicity is expressed as follows: s = singlet, d = doublet, t = triplet, q = quartet, dd = doublet of doublets, ddd = doublet of doublets of doublets, m = multiplet. NMR chemical shifts are reported in ppm (δ), relative to residual nondeuterated solvents as internal standard and coupling constants (J) are given in Hz. Melting points (Mp) were determined using a Boethius microscope HMK type (Franz Küstner, Dresden, Germany). High-resolution electrospray ionization mass spectroscopy (HR-ESI-MS) analyses were performed on a Waters Xevo G2 QTOF apparatus (Waters-Micromass, Manchester, UK). Microwave-assisted reactions were carried out in a Biotage Initiator microwave reactor (Stockholm, Sweden) using 0.5–2.0 mL vials under the following conditions: 2 h, 90 °C, prestirring 30 s, high adsorption.

2.2. Ultraviolet Thermal Melting Studies

To determine the melting temperature (Tm) of the obtained duplexes, UV melting studies were performed on a Lambda 35 UV/Vis Spectrometer (Perkin-Elmer, Norwalk, CT, USA) using 10 mm path length Hellma SUPRASIL quartz cuvettes (Müllheim, Germany), monitoring at 260 nm with a complementary DNA/DNA strands concentration of 2.5 μM and a volume of 1.0 mL. Samples were prepared as follows: The modified strands and their corresponding complementary strands were mixed 1:1 (n/n) in 2.0 mL Eppendorf tubes before medium salt buffer (2×, 11.7 mM sodium phosphate, pH 7.0, 200 mM NaCl, 0.20 mM EDTA, pH 7.0, 500 μL) was added, which was completed in 1.0 mL using Milli-Q water. Thus, all samples were dissolved in 1× buffer condition (5.8 mM sodium phosphate, pH 7.0, 100 mM NaCl, and 0.10 mM EDTA). The samples were denatured by heating to 90 °C in a water bath and then slowly cooled to rt before transferring them to cuvettes. The absorbance at 260 nm was recorded as a function of time with a linear temperature increase from 6 to 80 °C at a rate of 1.0 °C/min programmed by a Peltier temperature controller. Two separate melting curves were measured, and Tm values were calculated with the UV-WinLab software, taking the mean of the two melting curves with a deviation of no more than 0.5 °C.

2.3. Circular Dichroism Studies

Samples were prepared in the same way as for the Tm measurement. The background spectrum of the buffer was recorded and subtracted from the corresponding spectra. Measurements were performed on a JASCO J-815 spectrometer (Tokyo, Japan) at 20 °C using quartz optical cells with a path length of 5 mm and a total volume of 1.0 mL. All CD spectra were recorded from 200–400 nm with a scan rate of 100 nm/min, employing 5 scans.

2.4. Synthesis of 1,1′,1″-(1,4,7,10-Tetraazacyclododecane-1,4,7-triyl)tris(2,2,2-trifluoroethan-1-one); 1

TFAEt (18.0 mL, 150 mmol) was added dropwise to a stirred solution of cyclen (6.55 g, 38.0 mmol) and Et3N (5.27 mL, 38.0 mmol) in MeOH (40 mL) at rt for 30 min and left at rt overnight. All volatiles were evaporated in vacuo and the residual oil was suspended in AcOEt (10 mL), evaporated onto 10 times its weight of silica gel and purified by silica gel column (∅50 mm × 200 mm), eluting with 100% AcOEt. The fractions at Rf 0.35 (TLC, 100% AcOEt), which became slightly stained in ninhydrin reagent, were evaporated to give 1 as a white foam (15.7 g, 85%). Mp = 79–80 °C. 1H-NMR (600 MHz, DMSO-d6): δ 3.91–3.78 (m, 4H), 3.66–3.42 (m, 8H), 2.82–2.67 (m, 4H), 2.33 (q, J = 8.3 Hz, 1H). 13C-NMR (150 MHz, DMSO-d6): δ 156.78–156.24 (m), 117.53 (q, J = 286.4 Hz), 55.28–43.00 (m). HR-ESI-MS: m/z calcd. for C14H18F9N4O3 461.1235 [M+H]+; found 461.1134. The proton-decoupled 13C-NMR spectra of TFA-protected cyclen and its derivatives are complicated by the C–F coupling and the presence of conformers at rt.

2.5. Synthesis of 1,1′,1″-(10-(5-Bromopentanoyl)-1,4,7,10-tetraazacyclododecane-1,4,7-triyl)tris(2,2,2-trifluoroethan-1-one); 2

An amount of 5-Bromovaleryl chloride (562 μL, 4.23 mmol) was added to a stirred solution of 1 (1.77 g, 3.84 mmol) in DCM (20 mL) with K2CO3 (585 mg, 4.23 mmol) and stirred for 40 min in an ice-water bath. The progress of the reaction was monitored by TLC (5% MeOH-CHCl3, v/v) for the appearance of a new spot at Rf 0.42, which turned pale brown after ninhydrin treatment, and disappearance of the substrate. After the substrate spot was completely consumed, the reaction mixture was washed with water (20 mL) and the organic layer was dried over Na2SO4. The filtrate was evaporated, and the oil residue was purified on a silica gel column (∅15 mm × 400 mm) eluting with 50% AcOEt-hexane (v/v). The fractions at Rf 0.22 (TLC, 50% AcOEt-hexane, v/v) were combined and evaporated to give 2 as a viscous oil (1.94 g, 81%). 1H-NMR (600 MHz, DMSO-d6): δ 3.84–3.67 (m, 16H), 3.55 (t, J = 6.6 Hz, 2H), 2.38–2.31 (m, 2H), 1.85–1.81 (m, 2H), 1.65–1.63 (m, 2H). 13C-NMR (150 MHz, DMSO-d6): δ 172.92, 156.59–156.01 (m), 116.04 (q, J = 286.5 Hz), 48.02–45.11 (m), 40.04, 34.74, 31.72, 23.23, 23.16.

2.6. Synthesis of 1,1′,1″-(10-(5-Azidopentanoyl)-1,4,7,10-tetraazacyclododecane-1,4,7-triyl)tris(2,2,2-trifluoroethan-1-one); 3

NaN3 (130 mg, 2.00 mmol) was added to a solution of 2 (623 mg, 1.00 mmol) in DMF (10 mL) and stirred for 24 h at rt. TLC analysis (50% AcOEt-hexane, v/v) showed a new spot of 3 at Rf 0.45, near the substrate at Rf 0.40, which stains darker on heating with ninhydrin than the substrate spot. The mixture was partitioned between AcOEt (20 mL) and water (80 mL), the organic layer was dried over Na2SO4 and evaporated to give a viscous oil, which was purified by prep-HPLC (JAIGEL-ODS-AP-L, 100% MeOH, flow rate 7.0 mL/min). The fraction at a tR 26.8 min was collected and evaporated to give 3 (115 mg, 94%). 1H-NMR (600 MHz, CD3OD): δ 3.89–3.73 (m, 16H), 3.34 (t, J = 6.6 Hz, 2H), 2.46–2.42 (m, 2H), 1.71–1.69 (m, 2H), 1.65–1.62 (m, 2H). 13C-NMR (150 MHz, CD3OD): δ 174.88, 157.84–157.05 (m), 116.27 (q, J = 285.8), 50.79, 47.07–46.28 (m), 32.12, 28.01, 22.05.

2.7. Synthesis of 2-Hydroxy-9H-thioxanthen-9-one; 4

Freshly distilled phenol (9.00 g, 97.3 mmol) was added portionwise to a suspension of thiosalicylic acid (5.00 g, 32.4 mmol) at concd. H2SO4 (96%, 60 mL) and the mixture was heated at 90 °C for 18 h. After cooling to rt, the mixture was gently poured into 500 mL of water with crushed ice to give a yellow precipitate, which was filtrated off and dried to give a yellow solid. The crude solid was dissolved in CHCl3 (50 mL) and evaporated onto 10 times its weight of silica gel, applied to a silica gel column (∅50 mm × 200 mm), and eluted using 5% MeOH-CHCl3 (v/v). The fractions visible on TLC as yellow spots at Rf 0.32 was evaporated together to give 4 as a yellow solid (3.41 g, 46%). Mp = 245–246 °C. 1H-NMR (600 MHz, CD3OD): δ 10.22 (s, 1H), 8.52 (ddd, J = 7.8, 1.2, 0.6, 1H), 7.93 (d, J = 2.4, 1H), 7.65-7.70 (m, 2H), 7.57 (d, J = 9.0, 1H), 7.50 (ddd, J = 8.4, 6.0, 1.8, 1H), 7.25 (dd, J = 9.0, 3.0, 1H). 13C-NMR (150 MHz, CD3OD): δ 179.30, 156.53, 137.98, 137.45, 132.08, 129.86, 129.00, 128.12, 127.29, 125.90, 125.75, 122.32, 113.12. HR-ESI-MS: m/z calcd. for C13H7O2S 227.0172 [M-H]; found 227.0167.

2.8. Synthesis of 2-(4-Bromobutoxy)-9H-thioxanthen-9-one; 5

An amount of 1,4-dibromobutane (1.40 mL, 11.9 mmol) was added in one portion to a mixture of K2CO3 (900 mg, 56.6 mmol) and 4 (680 mg, 2.98 mmol) in DMF (15 mL) and stirred at 100 °C for 48 h. The mixture was cooled to rt, diluted with AcOEt to 40 mL, and washed with water (100 mL). The organic layer was dried over Na2SO4, filtered off, and evaporated to give a yellow oil, which crystallized over time. The crude solid was purified by silica gel chromatography (∅15 mm × 450 mm) eluting with 100% CHCl3. The fractions at Rf 0.75 (TLC, 100% CHCl3) were evaporated to give 5 as a light-yellow solid (922 mg, 85%). Mp = 122–123 °C. 1H-NMR (600 MHz, CDCl3): δ 8.61 (ddd, J = 7.8, 1.2, 0.6 Hz, 1H), 8.04 (d, J = 2.4 Hz, 1H), 7.60 (ddd, J = 7.2, 6.6, 1.2 Hz, 1H), 7.57 (ddd, J = 8.4, 1.8, 0.6 Hz, 1H), 7.48 (d, J = 9.0 Hz, 1H), 7.47 (ddd, J = 7.2, 6.6, 1.2 Hz, 1H), 7.24 (dd, J = 8.4, 2.4 Hz, 1H), 4.13 (t, J = 6.0 Hz, 2H), 3.50 (t, J = 6.6 Hz, 2H), 2.19–2.07 (m, 2H), 2.02–1.97 (m, 2H). 13C-NMR (150 MHz, CDCl3): δ 179.59, 157.62, 137.47, 131.99, 130.20, 129.85, 129.14, 128.57, 127.29, 126.05, 125.95, 122.88, 111.08, 67.33, 33.29, 29.44, 27.78.

2.9. Synthesis of 2-(4-Azidobutoxy)-9H-thioxanthen-9-one; 6

The reaction of NaN3 (130 mg, 2.00 mmol) with solution of 5 (363 mg, 1.00 mmol) in DMF (15 mL) was performed similar to that of 3. The crude product was purified on a silica gel column (∅15 mm × 450 mm) and the eluates at Rf 0.95 (100% CHCl3), turning grey on heating with ninhydrin, were evaporated and purified by prep-HPLC (JAIGEL-2HR+2.5HR, 100% DCM, flow rate 7.0 mL/min). The fraction at a tR 36.3 min was evaporated to give 6 (310 mg, 95%) as a yellow oil, which crystallized over time. Mp = 77–78 °C. 1H-NMR (600 MHz, DMSO-d6): δ 8.46 (ddd, J = 8.4, 1.8, 0.6 Hz, 1H), 7.89 (d, J = 3.0 Hz, 1H), 7.80 (ddd, J = 8.4, 1.8, 0.6 Hz, 1H), 7.75 (ddd, J = 7.2, 6.6, 1.2 Hz, 1H), 7.73 (d, J = 9.0 Hz, 1H), 7.57 (ddd, J = 7.2, 6.6, 1.2 Hz, 1H), 7.39 (dd, J = 8.4, 3.0 Hz, 1H), 4.12 (t, J = 6.0 Hz, 2H), 3.44 (t, J = 6.6 Hz, 2H), 1.84–1.81 (m, 2H), 1.76–1.71 (m, 2H). 13C-NMR (150 MHz, DMSO-d6): δ 178.80, 157.80, 137.19, 133.07, 129.86, 129.48, 128.58, 128.39, 128.16, 126.90, 126.87, 123.02, 111.46, 67.84, 50.85, 26.28, 25.51.

2.10. Synthesis of 2-(4-Bromobutyl)-1H-benzo[de]isoquinoline-1,3(2H)-dione; 7

To a stirred suspension of 1,8-naphthalimide (1.12 g, 5.68 mmol) in dry DMF (20 mL), NaH (80% dispersion in mineral oil; 341 mg, 11.36 mmol) was added portionwise. The suspension was allowed to stir at rt for 1 h. Then, 1,4-dibromobutane (2.37 mL, 22.72 mmol) was added to the reaction mixture in one portion and stirred overnight at rt. The reaction mixture was then poured into a 5% HCl solution and the resulting white precipitate was filtered off and air dried. The crude solid was purified by silica gel chromatography (∅15 mm × 450 mm) eluting with 100% CHCl3. Fractions with Rf 0.90 (TLC, 100% CHCl3) were evaporated to afford 7 as a white solid (1.40 g, 74%). Mp = 115–116 °C. 1H-NMR (400 MHz, CDCl3): δ 8.58 (dd, J = 7.2, 1.2 Hz, 2H), 8.21 (dd, J = 8.4, 1.2 Hz, 2H), 7.75 (dd, J = 8.2, 7.4 Hz, 2H), 4.22 (t, J = 7.0 Hz, 2H), 3.48 (t, J = 6.6 Hz, 2H), 1.96-2.03 (m, 2H), 1.86–1.95 (m, 2H). 13C-NMR (100 MHz, CDCl3): δ 164.11, 133.92, 131.53, 131.24, 128.11, 126.96, 122.57, 39.30, 33.11, 30.22, 26.94.

2.11. Synthesis of 2-(4-Azidobutyl)-1H-benzo[de]isoquinoline-1,3(2H)-dione; 8

The reaction of NaN3 (474 mg, 7.28 mmol) with solution of 7 (1.21 g, 3.64 mmol) in DMF (20 mL) was performed similar to that of 3. The crude product was purified on a silica gel column (∅15 mm × 450 mm) and the eluates at Rf 0.95 (100% CHCl3), turning grey on heating with ninhydrin, were evaporated and purified by prep-HPLC (JAIGEL-2HR + 2.5HR, 100% DCM, flow rate 7.0 mL/min). The fraction at a tR 32.1 min was evaporated to give 8 (980 mg, 91%) as a white solid. Mp = 73–74 °C. 1H-NMR (600 MHz, CDCl3): δ 8.58 (dd, J = 7.2, 1.1 Hz, 2H), 8.20 (dd, J = 8.3, 1.0 Hz, 2H), 7.76–7.73 (m, 2H), 4.21 (t, J = 7.4 Hz, 2H), 3.35 (t, J = 6.9 Hz, 2H), 1.86–1.81 (m, 2H), 1.74–1.69 (m, 2H). 13C-NMR (150 MHz, CDCl3): δ 164.14, 133.93, 131.56, 131.23, 128.12, 126.90, 122.56, 51.16, 39.61, 26.49, 25.37.

2.12. Oligonucleotides Purification and Analysis

RP-HPLC purification of crude oligonucleotides was performed by Waters 600 HPLC System with a Waters XBridge BEH C18-column (∅19 mm × 100 mm, 5 μm). Elution was performed by isocratic hold of A-buffer for 5.0 min, followed by a linear gradient to 70% of B-buffer for 16.5 min at a flow rate of 5.0 mL/min (A-buffer: 0.05 M TEAA buffer, pH 7.4; B-buffer: 25% A-buffer, 75% MeCN). IE-HPLC purification of oligonucleotides was caried on a DIONEX Ultimate 3000 system with a DNAPac PA100 Semi-Preparative column (∅9 mm × 250 mm, 13 μm) at 60 °C (Thermo Fisher Scientific, Darmstadt, Germany). Elution was performed with an isocratic hold of 10% C-buffer in Milli-Q water, starting with hold on 2% D-buffer in Milli-Q water for 2.0 min, followed by a linear gradient to 25% of D-buffer in Milli-Q water for 20.0 min at a flow rate of 2.0 mL/min (C-buffer: 0.25 M Tris-Cl, pH 8.0; D-buffer: 1.0 M NaClO4). After purification, the appropriate fractions were combined and concentrated by purging with N2 at 55 °C, and the obtained samples were dissolved in Milli-Q water (100 µL), then desalted with an addition of NaClO4 solution (5.0 M, 15 µL), suspended in cold ethanol (1.5 mL) and stored at −20 °C for 1–2 h. After centrifugation (13,200 rpm, 5 min, 4 °C), the supernatant was filtered off and the pellet was washed with cold ethanol (2 × 1.0 mL), dried under N2 flow at 55 °C, and dissolved in Milli-Q water (1.0 mL). Analytical RP-HPLC was performed on a Merck-Hitachi 7000 system (Hitachi Instruments, Tokyo, Japan) equipped with a Waters XBridge OBD C18-column (∅10 mm × 50 mm, 2.5 µm) at 60 °C. Elution was started with an isocratic hold of A-buffer for 2 min followed by a linear gradient to 85% of B-buffer for 30 min, keeping the flow rate at 1.3 mL/min. The structure and composition of oligonucleotides was verified by the MALDI-TOF MS method performed on an Ultraflex Extreme mass spectrometer (Bruker Daltonics, Bremen, Germany). Finally, the purified oligonucleotides were quantified by measuring OD as the absorbance at 260 nm of the sample in 1.0 mL of water in a 10 mm path length cuvette. The excitation coefficients for DNAs at 260 nm were estimated to be 1 × 104 M cm−1 residue−1.

2.13. Synthesis and Purification of ON1–ON5

Target ON1ON5 were synthesized at the 1.0 μmol scale on polystyrene beads (Amersham Biosciences, Piscataway, NJ, USA) using an automated synthesizer Expedite 8909 (PerSeptive Biosystems, Framingham, MA, USA) according to the manufacturer’s standard protocol, except for the introduction of 2′-O-propargyl-uridine (UP) into the ON3ON5 sequence by the so-called “hand-coupling procedure”, previously used by Wengel’s group [17]. The stepwise coupling efficiencies were >95% for standard conditions and ∼85% for hand-coupling. Cleavage from the beads and nucleobase deprotection were performed by incubation with concd. aq. NH3 in a screw cap vial at 55 °C overnight. The supernatant was filtered and evaporated to remove NH3 by heating the filtrate to 55 °C and purging with N2 for 4 h. The crude samples were purified DMT-on by RP-HPLC and the 5′-DMT group was cleaved with 2% aq. trifluoroacetic acid. The deprotected oligonucleotides were eluted with a 30% MeCN soln. in water (v/v) and purified by IE-HPLC, then the composition of the collected fractions was assessed by MALDI-TOF MS. Unmodified and 2′-O-propargylated oligonucleotides were isolated in overall yields of 80–88% and were >98% pure by IE-HPLC analysis.

2.14. Synthesis and Purification of ON9-ON12, ON13 and ON14

To a 2.0 mL Ar purged microwave vial containing ON3 (203 nmol in 800 μL of dH2O) in a mixture of TEAA buffer (250 μL, 1.0 M, pH 7.4) and DMSO (400 μL), azide-functionalized 3 (51.0 μL, 10.0 mM DMSO soln.), freshly prepared CuSO4–TBTA equimolar complex (80.0 μL, 10.0 mM DMSO-dH2O mixture, 3:7, v/v) and sodium ascorbate (201 μL, 25.0 mM dH2O soln.) were subsequently added. The resulting mixture was vortexed and centrifuged after adding each of the reagents. The vial was equipped with a magnetic stirrer, purged with Ar, sealed with a Teflon-lined septum cap, and microwaved. After completion of the reaction, the volume was made up to 2.0 mL with dH2O and divided into two equal parts. Each sample was desalted through a NAP-10 column (GE Healthcare, Little Chalfont, UK) following manufacturer’s protocol. The resulting solution contains a mixture of two major products, tris-N-TFA-protected ON6 and partially deprotected bis-N-TFA-protected ON6′. During RP-HPLC purification, the fractions ranging from tR 12.2 to 17.2 min were collected, evaporated together under a stream of N2, and used as a mixture in the next step. The resulting sample was incubated with 1.0 mL of satd. aq. NH3 at 55 °C overnight and then evaporated by gentle blowing with N2 at 30 °C for 4 h. The crude sample after deprotection was purified by IE-HPLC to give ON13 in 41% overall yield and 98% purity.
The synthesis of the intercalator-labeled ON9ON12 and cyclen-labeled ON14 was performed under the same conditions as for ON13. After desalting through an NAP-10 column, ON9ON12 samples were evaporated under a stream of N2 and purified by RP-HPLC. These samples were obtained in high yield and purity (Table 1) and did not require further purification by IE-HPLC. After coupling 3 with ON4, a mixture of intermediates ON7” was obtained which was purified by RP-HPLC by collecting the fractions at tR from 12.2 to 17.2 min. After their joint deprotection and purification of the resulting sample by IE-HPLC, the ON14 conjugate was obtained in an overall yield of 40% and 98% purity.

2.15. Synthesis and Purification of ON15

For the synthesis of the double-functionalized ON15, the same procedure was used as for ON13, except that the following reaction system was used: ON5 (83 nmol in 480 μL of dH2O) in a mixture of TEAA buffer (150 μL, 1.0 M, pH 7.4) and DMSO (240 μL), azide-functionalized 3 (42.0 μL, 10.0 mM DMSO soln.), freshly prepared CuSO4–TBTA equimolar complex (33.0 μL, 10.0 mM DMSO–dH2O mixture, 3:7, v/v) and sodium ascorbate (164 μL, 25.0 mM dH2O soln.). The fractions ranging from tR 12.7 to 17.5 min were collected by RP-HPLC and evaporated together under a stream of N2. After complete deprotection, a single peak was observed at m/z 3428.227 in the MALDI-TOF MS spectra assigned to ON15 (calcd. as m/z 3428.957) and a single peak in the RP-chromatogram at tR 8.39 min. This fraction was collected and purified by IE-HPLC to give ON15 in 38% overall yield and 95% purity.

3. Results

3.1. Chemical Synthesis of Labels

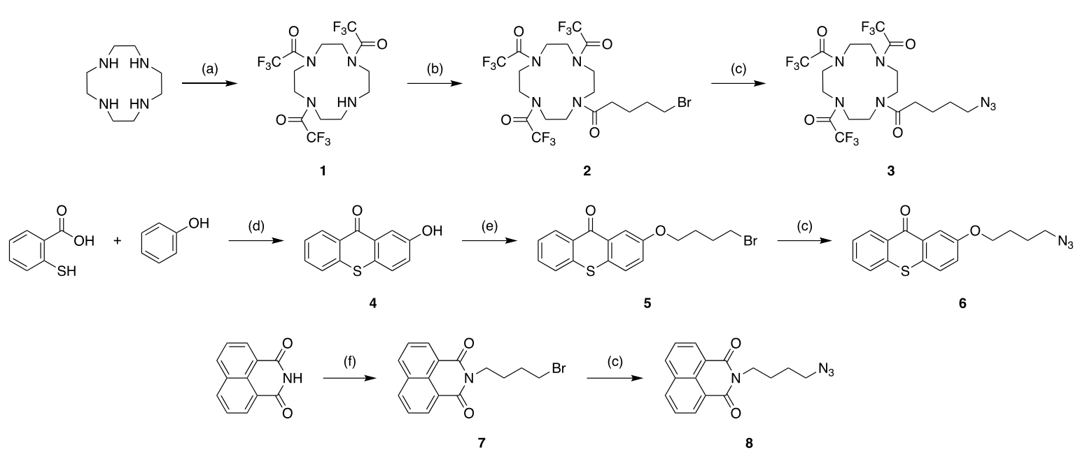
The structures of cyclen and selected intercalating dyes do not provide suitable functional groups for direct attachment to oligonucleotides, so we first synthesized their derivatives having an azide-terminated linker. The synthesis is shown in Scheme 1 and performed according to well-known methods with some modifications. First, three of the four cyclen amino groups were selectively N-protected as trifluoroacetamides (N-TFA) using ethyl trifluoroacetate (TFAEt) and purified by column chromatography in accordance with the method described previously [20]. The trifluoroacetamide protecting groups were chosen because of their easy and efficient removal in the last step of conjugate synthesis. During further steps, amine 1 was reacted with commercially available 5-bromovaleryl chloride in dry CH2Cl2, followed by treatment with NaN3 in DMSO to form azide-terminated 3 with a 65% overall yield. Then, 2-Hydroxy-9H-thioxanthen-9-one 4 was synthesized by the reaction of phenol with thiosalicylic acid, which proceeds through successive EAS reactions and culminates in intramolecular Friedel–Crafts cyclization to form a tricyclic thioxanthone core [21]. Reaction of 4 and 1,8-napthalimide with 1,4-dibromobutane led to 5 and 7, respectively, in good yields. Further substitution of the terminal bromine for the azide group led to the formation of target compounds 6 and 8 with overall yield of 37 and 76%, respectively. The introduced linkers are expected to move the labels far enough and provide them sufficient flexibility to be close to the duplex backbone. The final products were purified by preparative HPLC before their conjugation with oligonucleotides.

3.2. Synthesis and Modification of Oligonucleotides

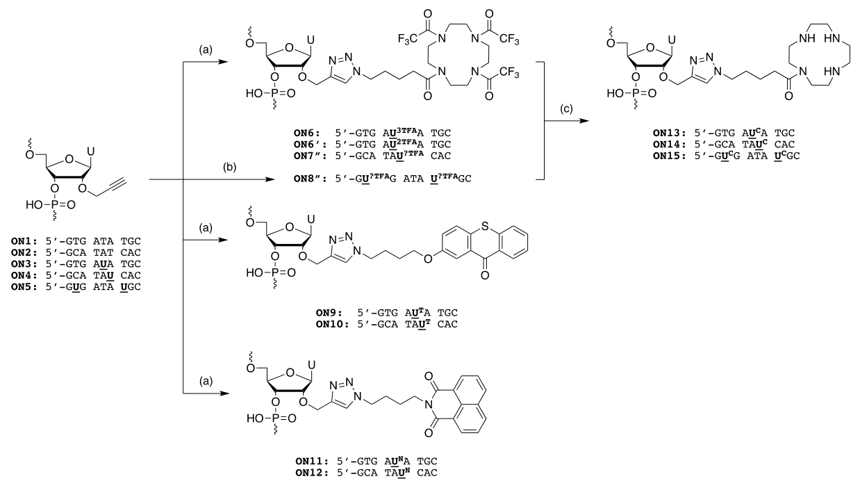
Scheme 2 shows a labeling method by post-synthetic coupling of azide-functionalized labels to 2′-O-propargylated oligonucleotides using Cu(I)-catalyzed azide–alkyne cycloaddition (CuAAC). Target oligonucleotides were prepared at the 1.0 µmol scale using an automated synthesizer and standard solid phase phosphoramidite chemistry. The 2′-O-propargyl-U (UP) units were incorporated into the growing chains of ON3ON5 in a sequence-specific manner using the so-called “hand-coupling protocol”, which involves manual injection of UP phosphoramidite and increasing the coupling time to 25 min [22]. Covalent functionalization of mono-alkyne-modified ON3 and ON4 was carried out by microwave-assisted CuAAC using 0.4-fold molar ratio of CuSO4–TBTA complex with sodium ascorbate (n/n, 1:1:2.5) and a 4-fold ratio of azide-functionalized label to oligonucleotide [23]. Using the same reaction conditions to functionalize the di-alkyne analogue, ON5, did not give the expected double-clicked adduct, ON8”, even after doubling the concentration of the catalyst system and azide label and increasing the MW reaction time to 6 h. We then sought to determine whether Cu(I)–THPTA or Cu(I)–BPS complexes could force the reaction to the double-clicked adduct better than Cu(I)–TBTA. We found that using THPTA instead of TBTA and BPS as a ligand, at the same molar ratio of the catalytic system, could promote the dual coupling of ON5, but showed no improvement in the single coupling of ON3 or ON4.
RP-HPLC analysis of the crude sample obtained after conjugation of 3 with ON3 followed by desalting on a NAP-column show the presence of two new fractions (shaded in gray in Figure 1a), well separated from each other and from the starting ON3. We collected both fractions separately and found that the one at tR 13.1 min gives a signal at m/z 3283.192, corresponding to ON6′ (calcd. as m/z 3283.295) with a partially deprotected cyclen moiety, while the fraction at tR 16.3 min gives a signal at m/z 3379.920, corresponding to ON6 (calcd. as m/z 3379.303) with a fully protected cyclen moiety. Regardless of whether these fractions were collected and deprotected separately or together, in the RP-chromatogram, we observed the presence of only one fraction at tR 8.4 min with a signal at m/z 3091.684, coming from ON13 (calcd. as m/z 3091.278) having a fully deprotected cyclen moiety. After final IE-HPLC purification, ON13 was obtained in a total yield of 41% and a purity of 98% by IE-analysis (Supplementary Materials Figure S1).
The overlay of RP-chromatograms in Figure 1a–e shows that omitting the isolation of the N-TFA-protected cyclen–oligonucleotide conjugates from the crude ON6ON8 samples and proceeding directly to the deprotection step prevented further separation of the fully deprotected conjugates from the starting alkynylated oligonucleotides by RP-HPLC. In all cases, the retention time of the fully deprotected conjugates is almost equal to that of the starting alkynylated oligonucleotides and only a single peak is visible after the coinjection of both samples. IE-HPLC analysis of ON14 obtained by this procedure showed at least 17% content of the reaming fractions (Figure S2). In turn, when ON14 was prepared by the same procedure as for ON13, i.e., by collecting fractions of differently protected ON7″ conjugates (shaded in gray in Figure 1d) and deprotecting them together, we could easily obtain the final product in 41% overall yield and significant higher 98% purity (Figure S3). We then applied this procedure to obtain ON15 by bifunctionalization of ON5, which, unlike monofunctionalization, resulted in a mixture of several overlapping fractions of differentially protected ON8″ conjugates, seen in the RP-chromatogram at tR of 12.5 to 18.2 min (shaded in gray in Figure 1e). When these fractions were collected and deprotected together (Figure S4), a single fraction was observed by RP-analysis at tR 8.4 min with a signal at m/z 3428.227 corresponding to ON15 (calcd. as m/z 3428.957).
Coupling of the thioxanthone derivative 6 to ON3 gave only one RP-fraction at tR 14.4 min with a signal at m/z 3118.754 corresponding to ON9 (calcd. as m/z 3119.595); this was accompanied by the disappearance of the initial ON3 peak at tR 8.4 min (Figure 1f). Purification by RP-HPLC gave ON9 with a purity of 98% and an overall yield of 56%; according to IE-analysis, the sample was sufficiently pure to be used in further duplex stabilization studies without the need for additional IE-HPLC purification (Figure S5). A similar situation occurs for the conjugation of the 1,8-naphthalimide derivative 9 with ON3 and for other intercalating dyes; the products of these reactions are well separated from the starting materials and, after RP-HPLC purification, can be used directly for further studies (see Supplementary Materials, Figures S6–S8 show the results of IE-analysis for the remaining conjugates).

3.3. Circular Dichroism Studies

Figure 2 shows circular dichroism (CD) spectra recorded to find possible changes in the secondary structure of the labeled duplexes. For all of them, the CD spectra showed intense negative and positive amplitudes at ~250 nm and ~280 nm, respectively, with no major differences relative to unmodified DU1 DNA duplex (black line in Figure 2a). The intensity of the bands also did not change significantly relative to unmodified DU1, suggesting than all modifications introduced do not induce any changes in the overall B-type duplex structure.

3.4. Ultraviolet Thermal Melting Studies

Figure 3 summarizes the duplex sequences along with the relative changes in melting temperatures (ΔTm) compared to the corresponding references. The unmodified duplex D1 has a reference Tm of 32.5 °C, which is consistent with literature data [24]. In general, oligonucleotides with attached intercalating dyes have a positive effect on the thermal stability of all duplexes obtained, especially duplexes containing mismatches on one of the strands. The magnitude of this effect depends on the position and type of intercalating dye attached; in the case of duplexes containing only one modified strand, the highest increase in melting temperature was observed for DU6 and DU11, in which intercalator-labeled UT and UN were adjacent to the GC base pair. For most duplexes containing two intercalator-labeled strands, an additive stabilizing effect was observed, although its magnitude depended on the combination and position of the labeled nucleotides. The largest stabilizing effect was observed for DU8, for which ΔTm is +10 °C. Interestingly, in the case of DU12 with an interchanged dye arrangement, compared to DU8, despite the stabilization of +5 °C compared to unmodified DU1, an antagonistic effect of lowering Tm by −5 °C compared to DU8 was observed.
The second regularity observed in almost all duplexes is a decrease in melting temperature by approximately the same value in the range from −4.0 to −5.5 °C, caused by the presence of a cyclen-labeled UC in one of the strands. The destabilizing effect of UC is additive and increases with increasing number of cyclen moieties attached to a single strand and their total number in the duplex, with ΔTm averaging −6 °C for each UC introduced. However, there are two exceptions to this regularity; one of which is DU28, where some selectivity against mismatch TT was observed, as evidenced by ΔTm of +1 °C. This result is not necessarily surprising, as previous work on Zn(II)–cyclen complexes has shown that cyclen is able to selectively recognize thymine by forming hydrogen bonds between the carbonyl oxygens of thymine and the cyclen amino groups [25,26]. The second exception is DU19, where two UC units are adjacent on complementary strands of the duplex, however, their destabilizing effect is not additive. In this case, only a thermal destabilization of −5 °C was observed, corresponding to the introduction of one UC unit instead of two. The ability of covalently coupled polyamines to thermally destabilize short duplexes has been reported and is discussed below. For mixed duplexes, consisting of one strand with a cyclen-modified UC and the other strand with an intercalator attached, additive effects affecting the thermal stability were also observed.

4. Discussion

Typically, when linear polyamines are introduced at the 2′ or 4′-position of the ribose ring, either an adverse or no effect on the thermal stability of the DNA duplex is observed. Sund et al. showed that the introduction of C-branched spermine via ara-U-2′-phosphate (six-atom linker; the length of the linker is counted from the first atom attached to the ribose ring to the first polyamine atom) in the middle of DU33 (Figure 4) decreases the thermal stability of the duplex by as much as −28.5 °C, but the same study also showed that if spermine is attached to the 3′ or 5′-end, then the thermal stability increases by +0.5 to +2.5 °C [27]. Winkler et al. attached linear polyamines via a 2′-N-succinylamido linker (four atoms long) to the internal and terminal nucleotides of DU34 (Figure 4), which also reduced the thermal stability by −4.5 °C [28]. Moreover, the introduction of further polyamine moieties into the internal positions of the 18-mer only led to further destabilization of the resulting duplexes. In contrast, Wengel’s group has reported many examples of DNA oligonucleotides modified with linear or branched polyamines attached through 2′-amino-LNA motifs, including DU35DU37 (Figure 4), which increase the thermal stability from +7.0 to +8.5 °C when present in the middle of the strand [23,29,30]. The modifications present in DU36 and DU37 are of particular interest to us because of their sequential and structural similarity to the duplexes obtained in this work, in particular to ON13. The cyclen-labeled UC present in DU4 consists of three protonable amine groups, similar to the spermidine moiety in DU37, and a 2′-methoxy-triazolyl-butyl linker is the same length (nine atoms long) as the linkers in DU36 and DU37. Despite these similarities, DU4 shows reduced thermal stability by −4.0 °C, while DU36 and DU37 show increased stabilization by +8.5 °C. The stabilization effect of +7.0 °C is also maintained by a shorter propanamide linker (three atoms long) conjugated with the piperazine ring in DU35, and even by the mere presence of the 2′-amino-LNA motif in D38, resulting in ΔTm of +4.0 °C. The results discussed here may suggest that the 2′-amino-LNA motif helps to adopt the correct conformation of the ribose ring, which may be critical for duplex stabilization by polyamines, especially when they are covalently attached to the internal positions of the strands.
The results obtained for DU4 with those from the literature indicated a lower destabilization effect of cyclen in comparison with reported data for linear polyamines. The exceptions are polyamine–LNA conjugates, such as DU36 and DU37, unambiguously confirming the stabilizing effect of the LNA motif. Our study shows that the incorporation of cyclen-labeled UC in the middle of DU4 and other related duplexes led to a decrease in the thermal stability by an average value of −6.0 °C. An interesting exception to this rule is the introduction of two UC units directly opposite to each other on complementary strands, which causes much less duplex destabilization than would appear from the number of polyamines attached. Such an arrangement can be used to maximize the number of polyamines introduced with the least effect on the thermal stability of the duplex. Another exception to this rule is the presence of UC opposite the TT mismatch on a complementary strand; in this case, we observed a slight stabilization of the duplex, which can be used to design mismatch-selective DNA binders as useful models for understanding and modulating the action of DNA repair enzymes. We also showed that the presence of UT and UN modifications has a strong thermostabilizing effect on duplex formation, and the proximity of both modifications to each other and UC does not disturb their interaction with the duplex. This property can be useful to overcome the thermodestabilizing effect of cyclen moiety and to design hybrids possessing two functionalities. Shedding more light on the source of the observed effects will require additional studies on the interaction of polyamines with duplexes but will provide valuable insight into the key design requirements for such conjugates and their future applications in biological systems.

5. Conclusions

We have developed a new protocol for the synthesis of cyclen-containing oligonucleotides by post-synthetic coupling of azide-functionalized labels to 2′-O-propargylated oligonucleotides using Cu(I)-catalyzed azide–alkyne cycloaddition. All dye-containing oligonucleotides have a positive effect on the thermal stability of the obtained duplexes, especially those containing mismatches on one of the strands. The Tm amplitude depends on the number and position of the attached dye molecules. The presence of the cyclen moiety in one of the strands decreases the melting temperature by approximately the same value in the range from −4.0 to −5.5 °C. This destabilization effect can, however, be diminished by the presence of a dye molecule in the complementary strand. Compensating for the destabilizing effect of cyclen (and possibly other polyamines) on dsDNA by inclusion of an intercalating dye is a promising tool for adjusting the thermal stability of polyamine-labeled DNA duplexes.

Supplementary Materials

The following supporting information can be downloaded at: https://www.mdpi.com/article/10.3390/pharmaceutics14010066/s1, Figure S1. (a) Semi-preparative RP-HPLC (tR 10.489 min), (b) analytical IE-HPLC (tR 8.31 min) and (c) MALDI-MS (calcd. m/z [M+H]+ 3091.278) of ON13; Figure S2. Analytical IE-HPLC of ON14 (tR 9.28 min) obtained directly from ON4, without separation of N-TFA protected byproducts ON7”; Figure S3. (a) Semi-preparative RP-HPLC (tR 10.173 min), (b) MALDI-MS (calcd. m/z [M+H]+ 3020.734) of ON14 obtained by separating a mixture of ON7” byproducts and their joint deprotection and (c) analytical IE-HPLC (tR 8.31 min) of ON14; Figure S4. (a) Semi-preparative RP-HPLC of ON8” byproducts (tR 14.476, 14.876 and 16.694 min) containing cyclen moieties with a different degree of N-TFA protection. These fractions were collected and deprotected together to yield the final conjugate ON15. (b) MALDI-MS of ON15; Figure S5. (a) Semi-preparative RP-HPLC (tR 15.906 min), (b) analytical IE-HPLC (tR 11.42 min) and (c) MALDI-MS (calcd. m/z [M+H]+ 3119.595) of ON9; Figure S6. (a) Semi-preparative RP-HPLC (tR 15.959 min), (b) analytical IE-HPLC (tR 11.87 min) and (c) MALDI-MS (calcd. m/z [M+H]+ 3048.222) of ON10; Figure S7. (a) Analytical IE-HPLC (tR 10.84 min) and (b) MALDI-MS (calcd. m/z [M+H]+ 3088.618) of ON11; Figure S8. (a) Analytical IE-HPLC (tR 10.95 min) and (b) MALDI-MS (calcd. m/z [M+H]+ 3017.618) of ON12.

Author Contributions

Conceptualization, M.D.T. and P.T.J.; methodology, M.D.T. and P.T.J.; investigation, M.D.T. and M.Z.; writing—original draft preparation, M.D.T.; writing—review and editing, K.W.; supervision, K.W. and J.W.; funding acquisition, M.D.T. All authors have read and agreed to the published version of the manuscript.

Funding

This research was funded by the Rector’s grant in the area of scientific research and development works. Silesian University of Technology, grant number 04/020/RGJ20/0119.

Institutional Review Board Statement

Not applicable.

Informed Consent Statement

Not applicable.

Data Availability Statement

The data presented in this study are available upon request from the corresponding author.

Conflicts of Interest

The authors declare no conflict of interest.

References

  1. Sharma, V.K.; Sharma, R.K.; Singh, S.K. Antisense oligonucleotides: Modifications and clinical trials. MedChemComm 2014, 5, 1454–1471. [Google Scholar] [CrossRef]
  2. Wan, W.B.; Seth, P.P. The Medicinal Chemistry of Therapeutic Oligonucleotides. J. Med. Chem. 2016, 59, 9645–9667. [Google Scholar] [CrossRef] [PubMed]
  3. Dubey, I.; Dubey, L.; Piletska, E.; Piletsky, S. Metal complexes of 1, 4, 7-triazacyclononane and their oligonucleotide conju-gates as chemical nucleases. Ukr. Bioorg. Acta 2007, 1, 11–19. [Google Scholar]
  4. Stewart, K.M.; McLaughlin, L.W. Four-Arm Oligonucleotide Ni(II)−Cyclam-Centered Complexes as Precursors for the Generation of Supramolecular Periodic Assemblies. J. Am. Chem. Soc. 2004, 126, 2050–2057. [Google Scholar] [CrossRef]
  5. Wan, S.-H.; Liang, F.; Xiong, X.-Q.; Yang, L.; Wu, X.-J.; Wang, P.; Zhou, X.; Wu, C.-T. DNA hydrolysis promoted by 1,7-dimethyl-1,4,7,10-tetraazacyclododecane. Bioorganic Med. Chem. Lett. 2006, 16, 2804–2806. [Google Scholar] [CrossRef]
  6. Wang, M.-Q.; Zhang, J.; Zhang, Y.; Zhang, D.-W.; Liu, Q.; Liu, J.-L.; Lin, H.-H.; Yu, X.-Q. Metal-free cleavage efficiency toward DNA by a novel PNA analog-bridged macrocyclic polyamine. Bioorganic Med. Chem. Lett. 2011, 21, 5866–5869. [Google Scholar] [CrossRef]
  7. Li, J.; Zhang, J.; Lu, Q.-S.; Yue, Y.; Huang, Y.; Zhang, D.-W.; Lin, H.-H.; Chen, S.-Y.; Yu, X.-Q. Hydrolytic cleavage of DNA by urea-bridged macrocyclic polyamines. Eur. J. Med. Chem. 2009, 44, 5090–5093. [Google Scholar] [CrossRef]
  8. Zhang, Y.; Wang, M.-Q.; Zhang, J.; Zhang, D.-W.; Lin, H.-H.; Yu, X.-Q. Synthesis, DNA Binding, and Cleavage Studies of Novel PNA Binding Cyclen Complexes. Chem. Biodivers. 2011, 8, 827–840. [Google Scholar] [CrossRef]
  9. Lu, Q.-S.; Huang, Y.; Li, J.; Zhang, Z.-W.; Lin, H.-H.; Yu, X.-Q. The Effect of an Amino-Acid Bridge on Binding Affinity and Cleavage Efficiency of Pyrenyl-Macrocyclic Polyamine Conjugates toward DNA. Chem. Biodivers. 2009, 6, 1273–1282. [Google Scholar] [CrossRef]
  10. Asseline, U. Development and Applications of Fluorescent Oligonucleotides. Curr. Org. Chem. 2006, 10, 491–518. [Google Scholar] [CrossRef]
  11. Bag, S.S.; Saito, Y.; Hanawa, K.; Kodate, S.; Suzuka, I.; Saito, I. Intelligent fluorescent nucleoside in sensing cytosine base: Importance of hydrophobic nature of perylene fluorophore. Bioorganic Med. Chem. Lett. 2006, 16, 6338–6341. [Google Scholar] [CrossRef]
  12. Langenegger, S.M.; Häner, R. Remarkable Stabilization of Duplex DNA Containing an Abasic Site by Non-Nucleosidic Phenanthroline and Pyrene Building Blocks. ChemBioChem 2005, 6, 848–851. [Google Scholar] [CrossRef]
  13. Crockett, A.O.; Wittwer, C.T. Fluorescein-Labeled Oligonucleotides for Real-Time PCR: Using the Inherent Quenching of Deoxyguanosine Nucleotides. Anal. Biochem. 2001, 290, 89–97. [Google Scholar] [CrossRef]
  14. Lee, H.J.; Kim, B.H. Detection of AAG repeats through DNA triplex-induced G-cluster formation. Chem. Commun. 2019, 55, 7526–7529. [Google Scholar] [CrossRef]
  15. Podder, A.; Lee, H.J.; Kim, B.H. Fluorescent Nucleic Acid Systems for Biosensors. Bull. Chem. Soc. Jpn. 2021, 94, 1010–1035. [Google Scholar] [CrossRef]
  16. Lee, H.J.; Kim, B.H. Pyrene-Modified Guanine Cluster Probes Forming DNA/RNA Hybrid Three-Way Junctions for Imaging of Intracellular MicroRNAs. ACS Appl. Bio Mater. 2021, 4, 1668–1676. [Google Scholar] [CrossRef]
  17. Gouda, A.S.; Przypis, Ł.; Walczak, K.; Jørgensen, P.T.; Wengel, J. Carbazole modified oligonucleotides: Synthesis, hybridization studies and fluorescence properties. Org. Biomol. Chem. 2020, 18, 6935–6948. [Google Scholar] [CrossRef]
  18. Telser, J.; Cruickshank, K.A.; Schanze, K.S.; Netzel, T.L. DNA oligomers and duplexes containing a covalently attached derivative of tris(2,2′-bipyridine)ruthenium(II): Synthesis and characterization by thermodynamic and optical spectroscopic measurements. J. Am. Chem. Soc. 1989, 111, 7221–7226. [Google Scholar] [CrossRef]
  19. Telser, J.; Cruickshank, K.A.; Morrison, L.E.; Netzel, T.L.; Chan, C.K. DNA duplexes covalently labeled at two sites: Synthesis and characterization by steady-state and time-resolved optical spectroscopies. J. Am. Chem. Soc. 1989, 111, 7226–7232. [Google Scholar] [CrossRef]
  20. Yang, W.; Giandomenico, C.M.; Sartori, M.; Moore, D.A. Facile N-1 protection of cyclam, cyclen and 1,4,7-triazacyclononane. Tetrahedron Lett. 2003, 44, 2481–2483. [Google Scholar] [CrossRef]
  21. Wutzel, H.; Jarvid, M.; Bjuggren, J.M.; Johansson, A.; Englund, V.; Gubanski, S.; Andersson, M. Thioxanthone derivatives as stabilizers against electrical breakdown in cross-linked polyethylene for high voltage cable applications. Polym. Degrad. Stab. 2015, 112, 63–69. [Google Scholar] [CrossRef]
  22. Astakhova, I.K.; Wengel, J. Interfacing Click Chemistry with Automated Oligonucleotide Synthesis for the Preparation of Fluorescent DNA Probes Containing Internal Xanthene and Cyanine Dyes. Chem. Eur. J. 2013, 19, 1112–1122. [Google Scholar] [CrossRef] [Green Version]
  23. Danielsen, M.B.; Christensen, N.J.; Jørgensen, P.T.; Jensen, K.J.; Wengel, J.; Lou, C. Polyamine-Functionalized 2′-Amino-LNA in Oligonucleotides: Facile Synthesis of New Monomers and High-Affinity Binding towards ssDNA and dsDNA. Chem. Eur. J. 2020, 27, 1416–1422. [Google Scholar] [CrossRef]
  24. Singh, S.K.; Nielsen, P.; Koshkin, A.; Wengel, J. LNA (locked nucleic acids): Synthesis and high-affinity nucleic acid recogni-tion. Chem. Commun. 1998, 4, 455–456. [Google Scholar] [CrossRef]
  25. Zhu, Z.; Wang, S.; Wei, D.; Yang, C. Zn2+-cyclen-based complex enable a selective detection of single-stranded thymine-rich DNA in aqueous buffer. Biosens. Bioelectron. 2016, 85, 792–797. [Google Scholar] [CrossRef]
  26. Kimura, E.; Katsube, N.; Koike, T.; Shiro, M.; Aoki, S. Effects of Bis(aromatic) Pendants on Recognition of Nucleobase Thymine by Zn2+ -1,4,7,10-tetraazacyclododecane (Zn2+ -cyclen). Supramol. Chem. 2002, 14, 95–102. [Google Scholar] [CrossRef]
  27. Sund, C.; Puri, N.; Chattopadhyaya, J. Synthesis of C-branched spermine tethered oligo-DNA and the thermal stability of the duplexes and triplexes. Tetrahedron 1996, 52, 12275–12290. [Google Scholar] [CrossRef]
  28. Winkler, J.; Saadat, K.; Díaz-Gavilán, M.; Urban, E.; Noe, C.R. Oligonucleotide–polyamine conjugates: Influence of length and position of 2′-attached polyamines on duplex stability and antisense effect. Eur. J. Med. Chem. 2009, 44, 670–677. [Google Scholar] [CrossRef] [PubMed]
  29. Lou, C.; Vester, B.; Wengel, J. Oligonucleotides containing a piperazino-modified 2′-amino-LNA monomer exhibit very high duplex stability and remarkable nuclease resistance. Chem. Commun. 2015, 51, 4024–4027. [Google Scholar] [CrossRef] [PubMed] [Green Version]
  30. Lou, C.; Samuelsen, S.V.; Christensen, N.J.; Vester, B.; Wengel, J. Oligonucleotides Containing Aminated 2′-Amino-LNA Nucleotides: Synthesis and Strong Binding to Complementary DNA and RNA. Bioconjugate Chem. 2017, 28, 1214–1220. [Google Scholar] [CrossRef] [PubMed]
Scheme 1. Synthesis of azide-functionalized labels. Reagents and conditions: (a) TFAEt, Et3N, MeOH, rt, overnight; (b) 5-bromovaleryl chloride, K2CO3, dry CH2Cl2, 0 °C, 40 min; (c) NaN3, DMSO, rt, 24 h; (d) concd. H2SO4, 90 °C, 18 h; (e) 1,4-dibromobutane, K2CO3, DMF, 90 °C, 48 h; (f) NaH, dry DMF, rt, 1 h; then 1,4-dibromobutane, rt, overnight.
Scheme 1. Synthesis of azide-functionalized labels. Reagents and conditions: (a) TFAEt, Et3N, MeOH, rt, overnight; (b) 5-bromovaleryl chloride, K2CO3, dry CH2Cl2, 0 °C, 40 min; (c) NaN3, DMSO, rt, 24 h; (d) concd. H2SO4, 90 °C, 18 h; (e) 1,4-dibromobutane, K2CO3, DMF, 90 °C, 48 h; (f) NaH, dry DMF, rt, 1 h; then 1,4-dibromobutane, rt, overnight.
Pharmaceutics 14 00066 sch001
Figure 1. The overlay of analytical RP-HPLC chromatograms from the subsequent stages of the synthesis of modified oligonucleotides: (a) ON13 by separation of ON6”, (b) ON14 without separation of ON7”, (c) ON15 without separation of ON8”, (d) ON7”, (e) ON15 by separation of ON8”, (f) ON9. RP-HPLC conditions: XBridge BEH C18-column (∅19 mm × 100 mm, 5 μm); mobile phase: A: 0.05 M TEAA buffer, pH 7.4; B: 25% A, 75% MeCN; isocratic hold of A for 5.0 min, followed by a linear gradient to 70% B for 16.5 min; flow rate 5.0 mL/min; rt.
Figure 1. The overlay of analytical RP-HPLC chromatograms from the subsequent stages of the synthesis of modified oligonucleotides: (a) ON13 by separation of ON6”, (b) ON14 without separation of ON7”, (c) ON15 without separation of ON8”, (d) ON7”, (e) ON15 by separation of ON8”, (f) ON9. RP-HPLC conditions: XBridge BEH C18-column (∅19 mm × 100 mm, 5 μm); mobile phase: A: 0.05 M TEAA buffer, pH 7.4; B: 25% A, 75% MeCN; isocratic hold of A for 5.0 min, followed by a linear gradient to 70% B for 16.5 min; flow rate 5.0 mL/min; rt.
Pharmaceutics 14 00066 g001aPharmaceutics 14 00066 g001b
Scheme 2. A post-synthetic approach for the synthesis of 2′-labeled oligonucleotides. Reagents and conditions: (a) CuSO4–TBTA, sodium ascorbate (n/n 1:1:2.5), TEAA buffer/DMSO, Ar, microwave, 90 °C, 2 h; (b) CuSO4–THPTA complex, sodium ascorbate (n/n 1:1:2.5), TEAA buffer/DMSO, Ar, microwave, 90 °C, 2 h; (c) concd. aq. NH3 (35%), 55 °C, overnight. 3TFA: tris-N-TFA-protected cyclen; 2TFA: bis-N-TFA-protected cyclen, ?TFA: unknown degree of cyclen protection. ON6‘: RP-HPLC separated fraction of the conjugate with bis-N-TFA-protected cyclen moiety. ON7”, ON8”: Unseparated mixture of conjugates with differentially N-TFA-protected cyclen moieties.
Scheme 2. A post-synthetic approach for the synthesis of 2′-labeled oligonucleotides. Reagents and conditions: (a) CuSO4–TBTA, sodium ascorbate (n/n 1:1:2.5), TEAA buffer/DMSO, Ar, microwave, 90 °C, 2 h; (b) CuSO4–THPTA complex, sodium ascorbate (n/n 1:1:2.5), TEAA buffer/DMSO, Ar, microwave, 90 °C, 2 h; (c) concd. aq. NH3 (35%), 55 °C, overnight. 3TFA: tris-N-TFA-protected cyclen; 2TFA: bis-N-TFA-protected cyclen, ?TFA: unknown degree of cyclen protection. ON6‘: RP-HPLC separated fraction of the conjugate with bis-N-TFA-protected cyclen moiety. ON7”, ON8”: Unseparated mixture of conjugates with differentially N-TFA-protected cyclen moieties.
Pharmaceutics 14 00066 sch002
Figure 2. Circular dichroism spectra at rt of (a) DU1DU4, (b) DU6DU9, (c) DU11DU14, and (d) DU16DU19. The experiments were performed in a medium salt buffer 5.8 mM NaH2PO4/Na2HPO4 buffer (pH 7.0), containing 100 mM NaCl and 0.10 mM EDTA. The concentration of oligonucleotide: Watson–Crick complementary strand = 2.5:2.5 μM.
Figure 2. Circular dichroism spectra at rt of (a) DU1DU4, (b) DU6DU9, (c) DU11DU14, and (d) DU16DU19. The experiments were performed in a medium salt buffer 5.8 mM NaH2PO4/Na2HPO4 buffer (pH 7.0), containing 100 mM NaCl and 0.10 mM EDTA. The concentration of oligonucleotide: Watson–Crick complementary strand = 2.5:2.5 μM.
Pharmaceutics 14 00066 g002
Figure 3. Heat map of the relative changes in melting temperatures (ΔTm) of the modified duplexes compared to their respective controls. ΔTm values are the average of three measurements. DU1 is reference for DU2DU20, DU21 is reference for DU22DU24, DU25 is reference for DU26DU28, DU29 is reference for DU30DU32. Red indicates an increase in the thermal stability of the duplex, blue indicates a decrease. ND: not detected. Conditions: 2.5 μM of each strand in a medium salt buffer 5.8 mM NaH2PO4/Na2HPO4 buffer (pH 7.0), containing 100 mM NaCl and 0.10 mM EDTA. The Tm values reflect the average of two measurements. ΔTm values for mismatches were calculated as the difference in Tm values between unmodified mismatched and modified mismatched duplexes.
Figure 3. Heat map of the relative changes in melting temperatures (ΔTm) of the modified duplexes compared to their respective controls. ΔTm values are the average of three measurements. DU1 is reference for DU2DU20, DU21 is reference for DU22DU24, DU25 is reference for DU26DU28, DU29 is reference for DU30DU32. Red indicates an increase in the thermal stability of the duplex, blue indicates a decrease. ND: not detected. Conditions: 2.5 μM of each strand in a medium salt buffer 5.8 mM NaH2PO4/Na2HPO4 buffer (pH 7.0), containing 100 mM NaCl and 0.10 mM EDTA. The Tm values reflect the average of two measurements. ΔTm values for mismatches were calculated as the difference in Tm values between unmodified mismatched and modified mismatched duplexes.
Pharmaceutics 14 00066 g003
Figure 4. Structures and melting temperatures of polyamine–oligonucleotide conjugates known from literature. All conjugates shown are modified at the 2′-position of the ribose and are located on internal strand positions. The attached polyamines are marked in blue.
Figure 4. Structures and melting temperatures of polyamine–oligonucleotide conjugates known from literature. All conjugates shown are modified at the 2′-position of the ribose and are located on internal strand positions. The attached polyamines are marked in blue.
Pharmaceutics 14 00066 g004
Table 1. Overall yields and MADI-TOF mass spectra of the obtained conjugates.
Table 1. Overall yields and MADI-TOF mass spectra of the obtained conjugates.
NoSequenceMALDI-TOF MSYieldIE-Purity
Calcd. m/z [M+H]+Found m/z
ON65′-GTG AU3TFAA TGC3379.3033379.920
ON6′5′-GTG AU2TFAA TGC3283.2953283.192
ON95′-GTG AUTA TGC3119.5953118.75456%98%
ON105′-GCA TAUT CAC3048.2223048.84052%99%
ON115′-GTG AUNA TGC3088.6183088.72258%86%
ON125′-GCA TAUN CAC3017.6183016.76461%83%
ON135′-GTG AUCA TGC3091.2783091.68441%98%
ON145′-GCA TAUC CAC3020.7343020.73940%98%
ON155′-GUCG ATA UCGC3428.9573428.22738%95%
Publisher’s Note: MDPI stays neutral with regard to jurisdictional claims in published maps and institutional affiliations.

Share and Cite

MDPI and ACS Style

Tomczyk, M.D.; Zalewski, M.; Jørgensen, P.T.; Wengel, J.; Walczak, K. Polyamine–Oligonucleotide Conjugates: 2′-OMe-Triazole-Linked 1,4,7,10-Tetraazacyclododecane and Intercalating Dyes and Their Effect on the Thermal Stability of DNA Duplexes. Pharmaceutics 2022, 14, 66. https://doi.org/10.3390/pharmaceutics14010066

AMA Style

Tomczyk MD, Zalewski M, Jørgensen PT, Wengel J, Walczak K. Polyamine–Oligonucleotide Conjugates: 2′-OMe-Triazole-Linked 1,4,7,10-Tetraazacyclododecane and Intercalating Dyes and Their Effect on the Thermal Stability of DNA Duplexes. Pharmaceutics. 2022; 14(1):66. https://doi.org/10.3390/pharmaceutics14010066

Chicago/Turabian Style

Tomczyk, Mateusz D., Mariusz Zalewski, Per T. Jørgensen, Jesper Wengel, and Krzysztof Walczak. 2022. "Polyamine–Oligonucleotide Conjugates: 2′-OMe-Triazole-Linked 1,4,7,10-Tetraazacyclododecane and Intercalating Dyes and Their Effect on the Thermal Stability of DNA Duplexes" Pharmaceutics 14, no. 1: 66. https://doi.org/10.3390/pharmaceutics14010066

APA Style

Tomczyk, M. D., Zalewski, M., Jørgensen, P. T., Wengel, J., & Walczak, K. (2022). Polyamine–Oligonucleotide Conjugates: 2′-OMe-Triazole-Linked 1,4,7,10-Tetraazacyclododecane and Intercalating Dyes and Their Effect on the Thermal Stability of DNA Duplexes. Pharmaceutics, 14(1), 66. https://doi.org/10.3390/pharmaceutics14010066

Note that from the first issue of 2016, this journal uses article numbers instead of page numbers. See further details here.

Article Metrics

Back to TopTop