Nanostructured Lipid Carriers Loaded with Lippia sidoides Essential Oil as a Strategy to Combat the Multidrug-Resistant Candida auris
Abstract
:1. Introduction
2. Materials and Methods
2.1. Material
2.2. Lippia sidoides Essential Oil Characterisation by GC-MS
2.3. Preparation of the Nanostructured Lipid Carrier Systems
2.4. Droplet Size, Polydispersity Index, and ζ-Potential
2.5. Thymol Retention of Liquid Emulsions
2.6. Antifungal Activity
2.7. In Vivo Toxicity Assay
2.8. Statistical Analysis
3. Results and Discussion
3.1. Chemical Characterization of Lippia sidoides Essential Oil
3.2. Characterization of the NLCs
3.3. Antifungal Activity against Multidrug-Resistant Candida auris
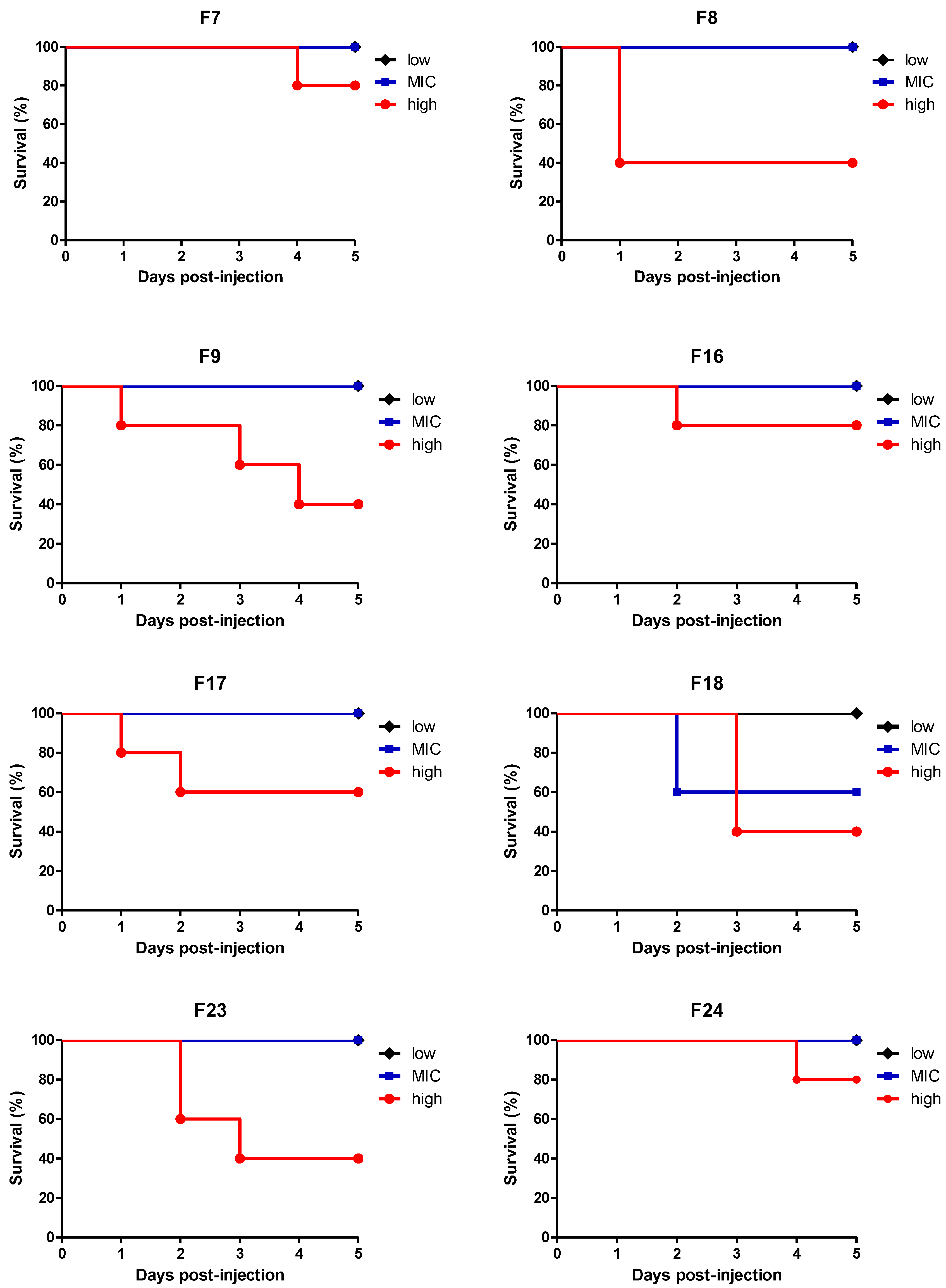
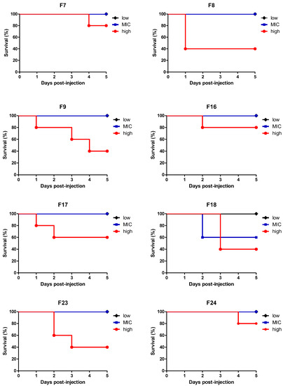
3.4. In Vivo Toxicity
4. Conclusions
Author Contributions
Funding
Institutional Review Board Statement
Informed Consent Statement
Conflicts of Interest
References
- Satoh, K.; Makimura, K.; Hasumi, Y.; Nishiyama, Y.; Uchida, K.; Yamaguchi, H. Candida auris sp. nov., a novel ascomycetous yeast isolated from the external ear canal of an inpatient in a Japanese hospital. Microbiol. Immunol. 2009, 53, 41–44. [Google Scholar] [CrossRef]
- Lone, S.A.; Ahmad, A. Candida auris—The growing menace to global health. Mycoses 2019, 62, 620–637. [Google Scholar] [CrossRef] [Green Version]
- Rhodes, J. Rapid worldwide emergence of pathogenic fungi. Cell Host Microbe 2019, 26, 12–14. [Google Scholar] [CrossRef]
- Janniger, E.J.; Kapila, R. Public health issues with Candida auris in COVID-19 patients. World Med. Health Policy 2021, 13, 766–772. [Google Scholar] [CrossRef]
- Rhodes, J.; Fisher, M.C. Global epidemiology of emerging Candida auris. Curr. Opin. Microbiol. 2019, 52, 84–89. [Google Scholar] [CrossRef]
- Day, A.M.; McNiff, M.M.; da Silva Dantas, A.; Gow, N.A.R.; Quinn, J. Hog1 Regulates stress tolerance and virulence in the emerging fungal pathogen Candida auris. mSphere 2018, 3. [Google Scholar] [CrossRef] [Green Version]
- Pandya, N.; Cag, Y.; Pandak, N.; Pekok, A.U.; Poojary, A.; Ayoade, F.; Fasciana, T.; Giammanco, A.; Caskurlu, H.; Rajani, D.P.; et al. International Multicentre Study of Candida auris Infections. J. Fungi 2021, 7, 878. [Google Scholar] [CrossRef]
- Copsey, A.C.; Barsottini, M.R.O.; May, B.; Xu, F.; Albury, M.S.; Young, L.; Moore, A.L. Kinetic characterisation and inhibitor sensitivity of Candida albicans and Candida auris recombinant AOX expressed in a self-assembled proteoliposome system. Sci. Rep. 2021, 11, 14748. [Google Scholar] [CrossRef]
- Chowdhary, A.; Sharma, A. The lurking scourge of multidrug resistant Candida auris in times of COVID-19 pandemic. J. Glob. Antimicrob. Resist. 2020, 22, 175–176. [Google Scholar] [CrossRef]
- Nakazato, G.; Favaro, W.J.; Castro, G.R.; Duran, N. The Use of Candida auris Therapies based on Nanotechnology as Potential Novel Strategy against COVID-19 Infection: A Mini Review. AIJR Prepr. 2021, 337. [Google Scholar] [CrossRef]
- Horton, M.V.; Nett, J.E. Candida auris Infection and Biofilm Formation: Going Beyond the Surface. Curr. Clin. Microbiol. Rep. 2020, 7, 51–56. [Google Scholar] [CrossRef]
- Chaabane, F.; Graf, A.; Jequier, L.; Coste, A.T. Review on Antifungal Resistance Mechanisms in the Emerging Pathogen Candida auris. Front. Microbiol. 2019, 10, 2788. [Google Scholar] [CrossRef]
- Subramani, R.; Narayanasamy, M.; Feussner, K.-D. Plant-derived antimicrobials to fight against multi-drug-resistant human pathogens. 3 Biotech 2017, 7, 172. [Google Scholar] [CrossRef] [PubMed]
- Billamboz, M.; Fatima, Z.; Hameed, S.; Jawhara, S. microorganisms Promising Drug Candidates and New Strategies for Fighting against the Emerging Superbug Candida auris. Microorganisms 2021, 9, 634. [Google Scholar] [CrossRef]
- Herman, A.; Herman, A.P. Herbal Products and Their Active Constituents Used Alone and in Combination with Antifungal Drugs against Drug-Resistant Candida sp. Antibiotics 2021, 10, 655. [Google Scholar] [CrossRef]
- Gupta, P.D.; Birdi, T.J. Development of botanicals to combat antibiotic resistance. J. Ayurveda Integr. Med. 2017, 8, 266–275. [Google Scholar] [CrossRef]
- Souto, E.B.; Baldim, I.; Oliveira, W.P.; Rao, R.; Yadav, N.; Gama, F.M.; Mahant, S. SLN and NLC for topical, dermal, and transdermal drug delivery. Expert Opin. Drug Deliv. 2020, 17, 357–377. [Google Scholar] [CrossRef]
- Bilia, A.R.; Guccione, C.; Isacchi, B.; Righeschi, C.; Firenzuoli, F.; Bergonzi, M.C. Essential Oils Loaded in Nanosystems: A Developing Strategy for a Successful Therapeutic Approach. Evid. Based Complement. Altern. Med. 2014, 2014, 1–14. [Google Scholar] [CrossRef] [Green Version]
- Yap, P.S.X.; Yiap, B.C.; Ping, H.C.; Lim, S.H.E. Essential oils, a new horizon in combating bacterial antibiotic resistance. Open Microbiol. J. 2014, 8, 6–14. [Google Scholar] [CrossRef]
- Saporito, F.; Sandri, G.; Bonferoni, M.C.; Rossi, S.; Boselli, C.; Icaro Cornaglia, A.; Mannucci, B.; Grisoli, P.; Vigani, B.; Ferrari, F. Essential oil-loaded lipid nanoparticles for wound healing. Int. J. Nanomed. 2017, 13, 175–186. [Google Scholar] [CrossRef] [Green Version]
- Baldim, I.; Tonani, L.; von Zeska Kress, M.R.; Oliveira, W.P. Lippia sidoides essential oil encapsulated in lipid nanosystem as an anti-Candida agent. Ind. Crops Prod. 2019, 127, 73–81. [Google Scholar] [CrossRef]
- Hyldgaard, M.; Mygind, T.; Meyer, R.L. Essential oils in food preservation: Mode of action, synergies, and interactions with food matrix components. Front. Microbiol. 2012, 3, 1–24. [Google Scholar] [CrossRef] [Green Version]
- Pan, K.; Chen, H.; Davidson, P.M.; Zhong, Q. Thymol nanoencapsulated by sodium caseinate: Physical and antilisterial properties. J. Agric. Food Chem. 2014, 62, 1649–1657. [Google Scholar] [CrossRef]
- Santana Neto, M.C.; Costa, M.L.V.A.; Fialho, P.H.S.; Lopes, G.L.N.; Figueiredo, K.A.; Pinheiro, I.M.; Lima, S.G.; Nunes, R.S.; Quelemes, P.V.; Carvalho, A.L.M. Development of chlorhexidine digluconate and Lippia sidoides essential oil loaded in microemulsion for disinfection of dental root canals: Substantivity profile and antimicrobial activity. AAPS PharmSciTech 2020, 21, 302. [Google Scholar] [CrossRef] [PubMed]
- Barreto, J.O.; do Nascimento, F.B.S.A.; Fonseca, S.G.C.; Serpa Sampaio, L.; da Silva, C.R.; Andrade Neto, J.B.; Júnior, H.V.N.; Regis, R.R. Microbiological evaluation of an experimental denture cleanser containing essential oil of Lippia sidoides. Biofouling 2021, 37, 117–130. [Google Scholar] [CrossRef] [PubMed]
- Baldim, I.; Rosa, D.M.; Souza, C.R.F.; Ana, R.; Durazzo, A.; Lucarini, M.; Santini, A.; Souto, E.B.; Oliveira, W.P. Factors Affecting the Retention Efficiency and Physicochemical Properties of Spray Dried Lipid Nanoparticles Loaded with Lippia sidoides Essential Oil. Biomolecules 2020, 10, 693. [Google Scholar] [CrossRef]
- Acid, L. 3: Final Report on the Safety Assessment of Oleic Acid, Lauric Acid, Palmitic Acid, Myristic Acid, and Stearic Acid. J. Am. Coll. Toxicol. 1987, 6, 321–401. [Google Scholar] [CrossRef]
- Mortensen, A.; Aguilar, F.; Crebelli, R.; Domenico, A.; Dusemund, B.; Frutos, M.J.; Galtier, P.; Gott, D.; Gundert-Remy, U.; Leblanc, J.; et al. Re-evaluation of fatty acids (E 570) as a food additive. EFSA J. 2017, 15, e04785. [Google Scholar] [CrossRef] [PubMed] [Green Version]
- Sheskey, P.J.; Hancock, B.C.; Moss, G.P.; Goldfarb, D.J. Handbook of Pharmaceutical Excipients, 9th ed.; Pharmaceutical Press: London, UK, 2020. [Google Scholar]
- Fernandes, L.P. Desenvolvimento Tecnológico de Produtos Particulados Obtidos a Partir de Lippia sidoides Pela Técnica de Spray Drying e Avaliação das Propriedades Antifúngicas. Ph.D. Thesis, University of São Paulo (USP), São Paulo, Brazil, 2008. [Google Scholar]
- Leal, L.K.A.M.; Oliveira, V.M.; Araruna, S.M.; Miranda, M.C.C.; Oliveira, F.M.A. Análise de timol por CLAE na tintura de Lippia sidoides Cham. (alecrim-pimenta) produzida em diferentes estágios de desenvolvimento da planta. Rev. Bras. Farmacogn. 2003, 13, 9–11. [Google Scholar] [CrossRef]
- CLSI. Reference Method for Broth Dilution Antifungal Susceptibility Testing of Yeasts, 4th ed.; CLSI standard M27; Clinical and Laboratory Standards Institute: Wayne, PA, USA, 2017. [Google Scholar]
- Paziani, M.H.; Tonani, L.; de Menezes, H.D.; Bachmann, L.; Wainwright, M.; Braga, G.Ú.L.; von Zeska Kress, M.R. Antimicrobial photodynamic therapy with phenothiazinium photosensitizers in non-vertebrate model Galleria mellonella infected with Fusarium keratoplasticum and Fusarium moniliforme. Photodiagnosis Photodyn. Ther. 2019, 25, 197–203. [Google Scholar] [CrossRef]
- Romera, D.; Aguilera-Correa, J.-J.; García-Coca, M.; Mahillo-Fernández, I.; Viñuela-Sandoval, L.; García-Rodríguez, J.; Esteban, J. The Galleria mellonella infection model as a system to investigate the virulence of Candida auris strains. Pathog. Dis. 2020, 78, ftaa067. [Google Scholar] [CrossRef]
- Borman, A.M.; Szekely, A.; Johnson, E.M. Comparative pathogenicity of United Kingdom isolates of the emerging pathogen Candida auris and other key pathogenic Candida species. mSphere 2016, 1. [Google Scholar] [CrossRef] [PubMed] [Green Version]
- Gottardo, B.; Lemes, T.H.; Byzynski, G.; Paziani, M.H.; Von-Zeska-Kress, M.R.; Almeida, M.T.G.; Volanti, D.P. One-pot synthesis and antifungal activity of nontoxic silver-loaded hydroxyapatite nanocomposites against Candida species. ACS Appl. Nano Mater. 2019, 2, 2112–2120. [Google Scholar] [CrossRef]
- Almeida, M.C.S.; Alves, L.A.; Souza, L.G.S.; Machado, L.L.; Matos, M.C.; Oliveira, M.C.F.; Lemos, T.L.G.; Braz-Filho, R. Flavonoides e outras substâncias de Lippia sidoides e suas atividades antioxidantes. Quim. Nova 2010, 33, 1877–1881. [Google Scholar] [CrossRef]
- Anton, N.; Gayet, P.; Benoit, J.P.; Saulnier, P. Nano-emulsions and nanocapsules by the PIT method: An investigation on the role of the temperature cycling on the emulsion phase inversion. Int. J. Pharm. 2007, 344, 44–52. [Google Scholar] [CrossRef] [PubMed]
- Shrestha, H.; Bala, R.; Arora, S. Lipid-based drug delivery systems. J. Pharm. 2014, 2014, 10. [Google Scholar] [CrossRef] [Green Version]
- Sheng, J.J. Surfactant–Polymer Flooding. In Enhanced Oil Recovery Field Case Studies; Elsevier: Amsterdam, The Netherlands, 2013; pp. 117–142. [Google Scholar]
- Miraglia, D.B.; Rodríguez, J.L.; Minardi, R.M.; Schulz, P.C. Critical Micelle Concentration and HLB of the Sodium Oleate–Hexadecyltrimethylammonium Bromide Mixed System. J. Surfactants Deterg. 2011, 14, 401–408. [Google Scholar] [CrossRef]
- Pal, A.; Chaudhary, S. Ionic liquids effect on critical micelle concentration of SDS: Conductivity, fluorescence and NMR studies. Fluid Phase Equilibria 2014, 372, 100–104. [Google Scholar] [CrossRef]
- Souto, E.B.; Mehnert, W.; Müller, R.H. Polymorphic behaviour of Compritol888 ATO as bulk lipid and as SLN and NLC. J. Microencapsul. 2006, 23, 417–433. [Google Scholar] [CrossRef]
- Mitri, K.; Shegokar, R.; Gohla, S.; Anselmi, C.; Müller, R.H. Lipid nanocarriers for dermal delivery of lutein: Preparation, characterization, stability and performance. Int. J. Pharm. 2011, 414, 267–275. [Google Scholar] [CrossRef]
- Kuo, Y.C.; Ko, H.F. Targeting delivery of saquinavir to the brain using 83-14 monoclonal antibody-grafted solid lipid nanoparticles. Biomaterials 2013, 34, 4818–4830. [Google Scholar] [CrossRef]
- Yue, Y.; Zhao, D.; Yin, Q. Hyaluronic acid modified nanostructured lipid carriers for transdermal bupivacaine delivery: In vitro and in vivo anesthesia evaluation. Biomed. Pharmacother. 2018, 98, 813–820. [Google Scholar] [CrossRef] [PubMed]
- Pool, H.; Mendoza, S.; Xiao, H.; McClements, D.J. Encapsulation and release of hydrophobic bioactive components in nanoemulsion-based delivery systems: Impact of physical form on quercetin bioaccessibility. Food Funct. 2013, 4, 162–174. [Google Scholar] [CrossRef] [PubMed]
- Ouellette, R.J.; Rawn, J.D. Conjugated alkenes and allylic systems. In Organic Chemistry; Elsevier: Amsterdam, The Netherlands, 2014; pp. 357–395. [Google Scholar]
- Jeffery-Smith, A.; Taori, S.K.; Schelenz, S.; Jeffery, K.; Johnson, E.M.; Borman, A.; Manuel, R.; Brown, C.S. Candida auris: A Review of the literature. Clin. Microbiol. Rev. 2018, 31. [Google Scholar] [CrossRef] [PubMed] [Green Version]
- Zhou, F.; Ji, B.; Zhang, H.; Jiang, H.; Yang, Z.; Li, J.; Li, J.; Yan, W. The antibacterial effect of cinnamaldehyde, thymol, carvacrol and their combinations against the foodborne pathogen Salmonella typhimurium. J. Food Saf. 2007, 27, 124–133. [Google Scholar] [CrossRef]
- Loeffler, M.; Beiser, S.; Suriyarak, S.; Gibis, M.; Weiss, J. Antimicrobial efficacy of emulsified essential oil components against weak acid–adapted spoilage yeasts in clear and cloudy apple juice. J. Food Prot. 2014, 77, 1325–1335. [Google Scholar] [CrossRef]
- Cserhati, T.; Forgacs, E.; Oros, G.; Cserháti, T.; Forgács, E.; Oros, G. Biological activity and environmental impact of anionic surfactants. Environ. Int. 2002, 28, 337–348. [Google Scholar] [CrossRef]
- Ignasiak, K.; Maxwell, A. Galleria mellonella (greater wax moth) larvae as a model for antibiotic susceptibility testing and acute toxicity trials. BMC Res. Notes 2017, 10, 428. [Google Scholar] [CrossRef] [Green Version]
- Cook, S.M.; McArthur, J.D. Developing Galleria mellonella as a model host for human pathogens. Virulence 2013, 4, 350–353. [Google Scholar] [CrossRef] [Green Version]



| Form. | Surfactant | Lipid Matrix | EO | 10 mM pH 7.0 PBS (q.s.) | ||
|---|---|---|---|---|---|---|
| Solid Lipid | Liquid Lipid | |||||
| SDS | Compritol® 888 ATO | BW + CW | Oleic Acid | |||
| F7 | 1.4 | 5.2 | 0 | 1.8 | 1.8 | 100 |
| F8 | 2.8 | 5.2 | 0 | 1.8 | 1.8 | 100 |
| F9 | 4.2 | 5.2 | 0 | 1.8 | 1.8 | 100 |
| F16 | 1.4 | 0 | 5.2 | 1.8 | 1.8 | 100 |
| F17 | 2.8 | 0 | 5.2 | 1.8 | 1.8 | 100 |
| F18 | 4.2 | 0 | 5.2 | 1.8 | 1.8 | 100 |
| F23 | 2.8 | 5.2 | 0 | 1.8 | 1.8 | 100 |
| F24 | 2.8 | 0 | 5.2 | 1.8 | 1.8 | 100 |
| NLC | Geometric Mean MIC (mg/mL) | MIC Range (mg/mL) | MFC (mg/mL) |
|---|---|---|---|
| L. sidoides EO | 0.281 | 0.563–0.140 | 0.563–0.140 |
| F7 | 0.563 | 1.125–0.281 | 1.125–0.281 |
| F8 | 0.281 | 0.563–0.140 | 0.563–0.140 |
| F9 | 0.281 | 0.563–0.140 | 0.563–0.140 |
| F16 | 0.563 | 1.125–0.281 | 1.125–0.281 |
| F17 | 0.281 | 0.563–0.140 | 0.563–0.140 |
| F18 | 0.281 | 0.563–0.140 | 0.563–0.140 |
| F23 | 0.563 | 1.125–0.281 | 1.125–0.281 |
| F24 | 0.281 | 0.563–0.140 | 0.563–0.140 |
| F8B *,1,2 | >2.250 | >2.250 | >2.250 |
| F17B *,1,2 | >2.250 | >2.250 | >2.250 |
| SDS * | 0.281 | 0.281 | 0.281 |
| Compound | % a | Kovats Index b |
|---|---|---|
| α-Thujene | 0.95 | 928 |
| Bicyclo[3.1.1]hept-2-ene, 2,6,6-trimethyl | 0.56 | 937 |
| 2-β-Pinene | 0.16 | 980 |
| β-Myrcene | 2.84 | 989 |
| 1-Phellandrene | 0.07 | 1007 |
| E-β-Ocimene | 0.16 | 1011 |
| α-Terpinene | 1.16 | 1018 |
| p-Cymene | 9.43 | 1025 |
| Bornylene | 0.64 | 1032 |
| 1,8-Cineole | 0.53 | 1033 |
| 1,3,6-Octatriene, 3,7-dimethyl-, (Z)-(CAS) | 0.11 | 1037 |
| 1,3,6-Octatriene, 3,7-dimethyl-, (E)-(CAS) | 0.16 | 1048 |
| γ-Terpinene | 2.71 | 1060 |
| Linalyl acetate | 0.35 | 1099 |
| 2-(Chloromethyl)tetrahydropyran | 0.15 | 1145 |
| Bicyclo[3.1.0]hex-3-en-2-one, 4-methyl- | 0.26 | 1170 |
| 3-Cyclohexen-1-ol, 4-methyl-1-(1-methylethyl) | 0.68 | 1180 |
| Thymol methyl ether | 0.97 | 1231 |
| Thymol | 68.22 | 1297 |
| α-Copaene | 0.34 | 1377 |
| trans-Caryophyllene | 7.72 | 1420 |
| Aromadendrene | 0.46 | 1440 |
| α-Caryophyllene | 0.34 | 1455 |
| Ledene | 0.44 | 1493 |
| δ-cadinene | 0.10 | 1520 |
| Caryophyllene oxide | 0.43 | 1580 |
| NLC | Size (nm) | PI (-) | ζ-Potential (mV) |
|---|---|---|---|
| F7 | 445.5 ± 8.7 a | 0.41 ± 0.01 a | −63.8 ± 8.7 a |
| F8 | 328.0 ± 8.7 b | 0.33 ± 0.04 b | −74.0 ± 10.7 b,c |
| F9 | 213.1 ± 1.7 f | 0.25 ± 0.01 c,d | −72.0 ± 8.2 b |
| F16 | 318.7 ± 2.3 c | 0.20 ± 0.00 d | −87.5 ± 2.8 d |
| F17 | 307.8 ± 3.0 d,e | 0.22 ± 0.03 d | −93.1 ± 2.7 d |
| F18 | 301.2 ± 4.8 e | 0.18 ± 0.03 d | −90.1 ± 4.2 d |
| F23 | 321.3 ± 10.9 b,c | 0.33 ± 0.04 b | −77.0 ± 7.4 c |
| F24 | 301.5 ± 5.0 e | 0.19 ± 0.02 d | −89.5 ± 3.0 d |
Publisher’s Note: MDPI stays neutral with regard to jurisdictional claims in published maps and institutional affiliations. |
© 2022 by the authors. Licensee MDPI, Basel, Switzerland. This article is an open access article distributed under the terms and conditions of the Creative Commons Attribution (CC BY) license (https://creativecommons.org/licenses/by/4.0/).
Share and Cite
Baldim, I.; Paziani, M.H.; Grizante Barião, P.H.; Kress, M.R.v.Z.; Oliveira, W.P. Nanostructured Lipid Carriers Loaded with Lippia sidoides Essential Oil as a Strategy to Combat the Multidrug-Resistant Candida auris. Pharmaceutics 2022, 14, 180. https://doi.org/10.3390/pharmaceutics14010180
Baldim I, Paziani MH, Grizante Barião PH, Kress MRvZ, Oliveira WP. Nanostructured Lipid Carriers Loaded with Lippia sidoides Essential Oil as a Strategy to Combat the Multidrug-Resistant Candida auris. Pharmaceutics. 2022; 14(1):180. https://doi.org/10.3390/pharmaceutics14010180
Chicago/Turabian StyleBaldim, Iara, Mario H. Paziani, Patrícia H. Grizante Barião, Marcia R. von Zeska Kress, and Wanderley P. Oliveira. 2022. "Nanostructured Lipid Carriers Loaded with Lippia sidoides Essential Oil as a Strategy to Combat the Multidrug-Resistant Candida auris" Pharmaceutics 14, no. 1: 180. https://doi.org/10.3390/pharmaceutics14010180
APA StyleBaldim, I., Paziani, M. H., Grizante Barião, P. H., Kress, M. R. v. Z., & Oliveira, W. P. (2022). Nanostructured Lipid Carriers Loaded with Lippia sidoides Essential Oil as a Strategy to Combat the Multidrug-Resistant Candida auris. Pharmaceutics, 14(1), 180. https://doi.org/10.3390/pharmaceutics14010180

