Enhanced Bioavailability of AC1497, a Novel Anticancer Drug Candidate, via a Self-Nanoemulsifying Drug Delivery System
Abstract
:1. Introduction
2. Materials and Methods
2.1. Materials
2.2. Screening of SNEDDS Components
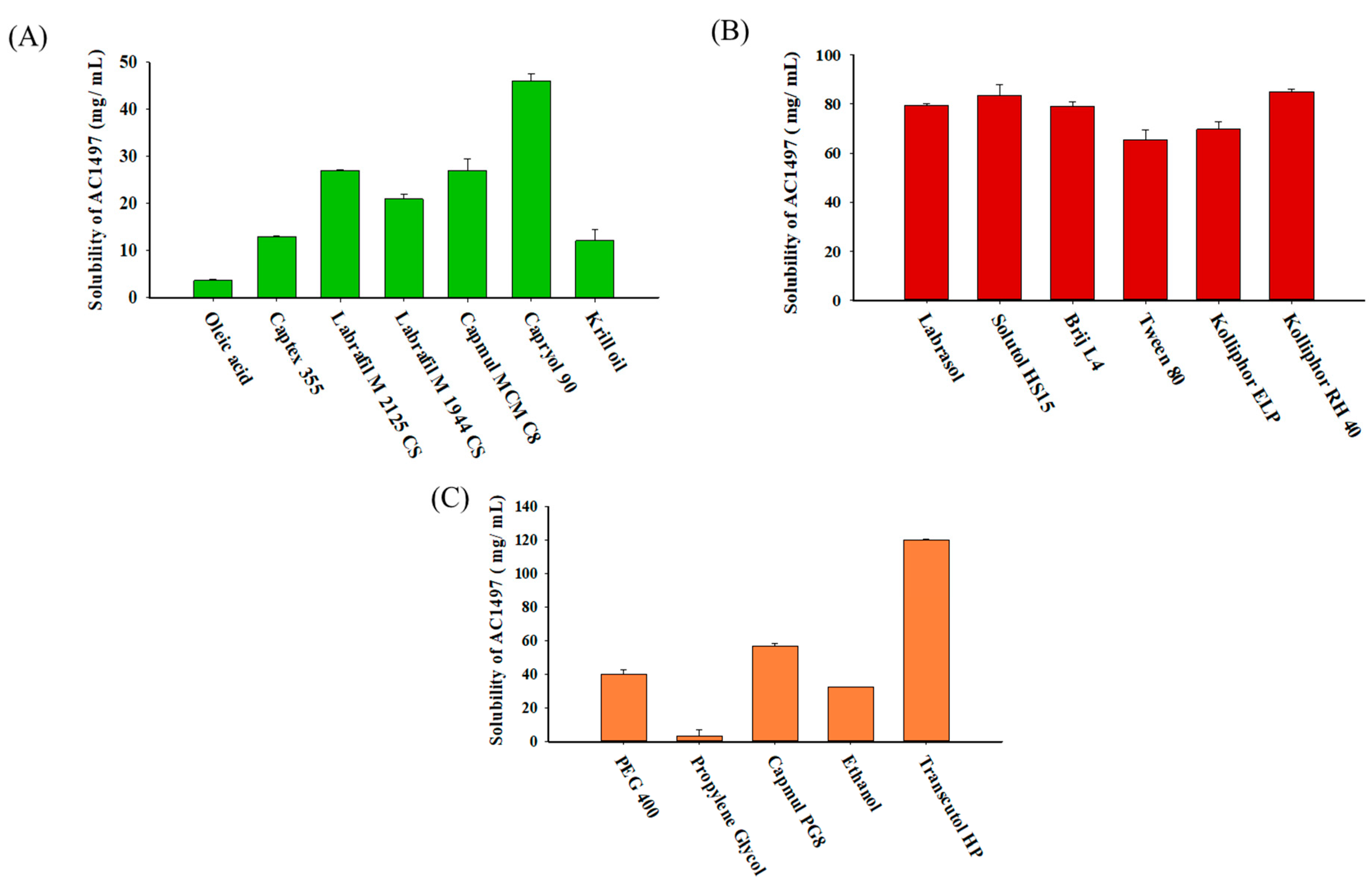
2.2.1. Solubility Studies in Various Oils, Surfactants, and Cosurfactants
2.2.2. Emulsification Efficiency of Surfactants and Cosurfactants
2.3. Construction of a Pseudoternary Phase Diagram
2.4. Preparation of Drug-Loaded SNEDDS
2.5. Cytotoxicity Study
2.6. In Vitro Characterization of SNEDDS
2.6.1. Robustness to Dilution, Self-Emulsification Time, and Percent Transmittance
2.6.2. Droplet Size, Zeta Potential, and Morphology
2.7. In Vitro Drug Release Studies
2.8. Drug Release in Simulated Intestinal Fluids
2.9. Stability Studies
2.10. Pharmacokinetic Study
2.11. Analytical Methods
2.11.1. HPLC Assay
2.11.2. LC-MS/MS
2.12. Pharmacokinetic and Statistical Analysis
3. Results and Discussion
3.1. Screening of SNEDDS Components
3.2. Cytotoxicity of SNEDDS Components
3.3. Preparation and Characterization of Drug-Loaded SNEDDS
3.3.1. Construction of a Pseudoternary Phase Diagram
3.3.2. Thermodynamic Stability
3.3.3. Droplet Size and Zeta Potential
3.3.4. Emulsification Time and Robustness to Dilution
3.3.5. Selection of the Optimal SNEDDS
3.4. Morphology
3.5. In Vitro Drug Release Studies
3.6. Pharmacokinetic Studies
4. Conclusions
Author Contributions
Funding
Institutional Review Board Statement
Informed Consent Statement
Data Availability Statement
Conflicts of Interest
References
- Vander Heiden, M.G.; Cantley, L.C.; Thompson, C.B. Understanding the Warburg effect: The metabolic requirements of cell proliferation. Science 2009, 324, 1029–1033. [Google Scholar] [CrossRef] [PubMed] [Green Version]
- Hsu, P.P.; Sabatini, D.M. Cancer cell metabolism: Warburg and beyond. Cell 2008, 134, 703–707. [Google Scholar] [CrossRef] [Green Version]
- Counihan, J.L.; Grossman, E.A.; Nomura, D.K. Cancer Metabolism: Current Understanding and Therapies. Chem. Rev. 2018, 118, 6893–6923. [Google Scholar] [CrossRef]
- Mansouri, S.; Shahriari, A.; Kalantar, H.; Moini Zanjani, T.; Haghi Karamallah, M. Role of malate dehydrogenase in facilitating lactate dehydrogenase to support the glycolysis pathway in tumors. Biomed. Rep. 2017, 6, 463–467. [Google Scholar] [CrossRef] [Green Version]
- Naik, R.; Ban, H.S.; Jang, K.; Kim, I.; XU, X.; Harmalkar, D.; Shin, S.A.; Kim, M.; Kim, B.K.; Park, J.; et al. Methyl 3-(3-(4-(2, 4, 4-Trimethylpentan-2-yl) phenoxy)-propanamido) benzoate as a novel and dual malate dehydrogenase (MDH) 1/2 inhibitor targeting cancer metabolism. J. Med. Chem. 2017, 60, 8631–8646. [Google Scholar] [CrossRef]
- Di Costanzo, A.; Angelico, R. Formulation Strategies for Enhancing the Bioavailability of Silymarin: The State of the Art. Molecules 2019, 24, 2155. [Google Scholar] [CrossRef] [Green Version]
- Date, A.A.; Desai, N.; Dixit, R.; Nagarsenker, M. Self-nanoemulsifying drug delivery systems: Formulation insights, applications and advances. Nanomedicine 2010, 5, 1595–1616. [Google Scholar] [CrossRef]
- Kang, J.H.; Oh, D.H.; Oh, Y.K.; Yong, C.S.; Choi, H.G. Effects of solid carriers on the crystalline properties, dissolution and bioavailability of flurbiprofen in solid self-nanoemulsifying drug delivery system (solid SNEDDS). Eur. J. Pharm. Biopharm. 2012, 80, 289–297. [Google Scholar] [CrossRef]
- Pouton, C.W. Formulation of poorly water-soluble drugs for oral administration: Physicochemical and physiological issues and the lipid formulation classification system. Eur. J. Pharm. Sci. 2006, 29, 278–287. [Google Scholar] [CrossRef]
- Krstić, M.; Medarevic, D.; Jelena, D.; Ibric, S. Self-nanoemulsifying drug delivery systems (SNEDDS) and self-microemulsifying drug delivery systems (SMEDDS) as lipid nanocarriers for improving dissolution rate and bioavailability of poorly soluble drugs. In Lipid Nanocarriers for Drug Targeting; Grumezesecu, A.M., Ed.; Elsevier: Oxford, UK, 2018; pp. 473–508. [Google Scholar]
- Ha, E.-S.; Lee, S.K.; Choi, D.H.; Jeong, S.H.; Hwang, S.J.; Kim, M.S. Application of diethylene glycol monoethyl ether in solubilization of poorly water-soluble drugs. J. Pharm. Investig. 2020, 50, 231–250. [Google Scholar] [CrossRef]
- Patel, J.; Kevin, G.; Patel, A.; Raval, M.; Sheth, N. Design and development of a self-nanoemulsifying drug delivery system for telmisartan for oral drug delivery. Int. J. Pharm. Investig. 2011, 1, 112–118. [Google Scholar] [CrossRef] [Green Version]
- Mohd Izham, M.N.; Hussin, Y.; Aziz, M.; Yeap, S.K.; Rahman, H.S.; Masarudin, M.J.; Mohamad, N.E.; Abdullah, R.; Alitheen, N.B. Preparation and Characterization of Self Nano-Emulsifying Drug Delivery System Loaded with Citraland Its Antiproliferative Effect on Colorectal Cells In Vitro. Nanomaterials 2019, 9, 1028. [Google Scholar] [CrossRef] [PubMed] [Green Version]
- Nepal, P.R.; Han, H.-K.; Choi, H.-K. Preparation and in vitro–in vivo evaluation of Witepsol® H35 based self-nanoemulsifying drug delivery systems (SNEDDS) of coenzyme Q10. Eur. J. Pharm. Sci. 2010, 39, 224–232. [Google Scholar] [CrossRef] [PubMed]
- Balakumar, K.; Raghavan, C.V.; Selvan, N.T.; Prasad, R.H.; Abdu, S. Self nanoemulsifying drug delivery system (SNEDDS) of rosuvastatin calcium: Design, formulation, bioavailability and pharmacokinetic evaluation. Colloids Surf. B. 2013, 112, 337–343. [Google Scholar] [CrossRef]
- Singh, D.; Tiwary, A.K.; Bedi, N. Canagliflozin loaded SMEDDS: Formulation optimization for improved solubility, permeability and pharmacokinetic performance. J. Pharm. Investig. 2019, 49, 67–85. [Google Scholar] [CrossRef]
- Michaelsen, M.H.; Wasan, K.M.; Sivak, O.; Müllertz, A.; Rades, T. The Effect of digestion and drug load on halofantrine absorption from self-nanoemulsifying drug delivery system (SNEDDS). AAPS J. 2016, 18, 180–186. [Google Scholar] [CrossRef] [PubMed] [Green Version]
- Valicherla, G.R.; Dave, K.M.; Syed, A.A.; Riyazuddin, M.; Gupta, A.P.; Singh, A.; Wahajuddin; Mitra, K.; Datta, D.; Gayen, J.R. Formulation optimization of Docetaxel loaded self-emulsifying drug delivery system to enhance bioavailability and anti-tumor activity. Sci. Rep. 2016, 6, 26895. [Google Scholar] [CrossRef] [PubMed]
- Dixit, R.P.; Nagarsenker, M.S. Self-nanoemulsifying granules of ezetimibe: Design, optimization and evaluation. Eur. J. Pharm. Sci. 2008, 35, 183–192. [Google Scholar] [CrossRef]
- Shanmugam, S.; Baskaran, R.; Balakrishnan, P.; Thapa, P.; Yong, C.S.; Yoo, B.K. Solid self-nanoemulsifying drug delivery system (S-SNEDDS) containing phosphatidylcholine for enhanced bioavailability of highly lipophilic bioactive carotenoid lutein. Eur. J. Pharm. Biopharm. 2011, 79, 250–257. [Google Scholar] [CrossRef]
- Date, A.A.; Nagarsenker, M.S. Design and evaluation of self-nanoemulsifying drug delivery systems (SNEDDS) for cefpodoxime proxetil. Int. J. Pharm. 2007, 329, 166–172. [Google Scholar] [CrossRef]
- Patil, S.C.; Tagalpallewar, A.A.; Kokare, C.R. Natural anti-proliferative agent loaded self-microemulsifying nanoparticles for potential therapy in oral squamous carcinoma. J. Pharm. Investig. 2019, 49, 527–541. [Google Scholar] [CrossRef]
- Vadlamudi, H.C.; Yalavarthi, P.R.; Nagaswaram, T.; Rasheed, A.; Peesa, J.P. In-vitro and pharmacodynamic characterization of solidified self microemulsified system of quetiapine fumarate. J. Pharm. Investig. 2019, 49, 161–172. [Google Scholar] [CrossRef]
- Marques, M.R.; Loebenberg, R.; Almukainzi, M. Simulated biological fluids with possible application in dissolution testing. Dissolution Technol. 2011, 18, 15–28. [Google Scholar] [CrossRef]
- Jantratid, E.; Janssen, N.; Reppas, E.; Dressman, J.B. Dissolution Media Simulating Conditions in the Proximal Human Gastrointestinal Tract: An Update. Pharm. Res. 2008, 25, 1663. [Google Scholar] [CrossRef]
- Bou-Chacra, N.; Melo, K.; Morales, I.; Stippler, E.S.; Kesisoglou, F.; Yazdanian, M.; Löbenberg, R. Evolution of Choice of Solubility and Dissolution Media After Two Decades of Biopharmaceutical Classification System. AAPS J. 2017, 19, 989–1001. [Google Scholar] [CrossRef] [PubMed] [Green Version]
- Parmar, N.; Singla, N.; Amin, S.; Kohli, K. Study of cosurfactant effect on nanoemulsifying area and development of lercanidipine loaded (SNEDDS) self nanoemulsifying drug delivery system. Colloids Surf. B 2011, 86, 327–338. [Google Scholar] [CrossRef]
- Zeng, L.; Xin, X.; Zhang, Y. Development and characterization of promising Cremophor EL-stabilized o/w nanoemulsions containing short-chain alcohols as a cosurfactant. RSC Adv. 2017, 7, 19815–19827. [Google Scholar] [CrossRef] [Green Version]
- Li, L.; Zhou, C.H.; Xu, Z.P. Self-Nanoemulsifying Drug-Delivery System and Solidified Self-Nanoemulsifying Drug-Delivery System. In Nanocarriers for Drug Delivery; Mohapatra, S.S., Ranjan, S., Dasgupta, N., Mishra, R.K., Thomas, S., Eds.; Elsevier: Oxford, UK, 2018; pp. 421–449. [Google Scholar]
- Zhang, J.; Lv, Y.; Zhao, S.; Wang, B.; Tan, M.; Xie, H.; Lv, G.; Ma, X. Effect of lipolysis on drug release from self-microemulsifying drug delivery systems (SMEDDS) with different core/shell drug location. AAPS Pharmscitech 2014, 15, 731–740. [Google Scholar] [CrossRef] [PubMed] [Green Version]
- Kommuru, T.R.; Gurley, B.; Khan, M.A.; Reddy, I.K. Self-emulsifying drug delivery systems (SEDDS) of coenzyme Q10: Formulation development and bioavailability assessment. Int. J. Pharm. 2001, 212, 233–246. [Google Scholar] [CrossRef]
- Liu, W.; Sun, D.; Li, C.; Liu, Q.; Xu, J. Formation and stability of paraffin oil-in-water nano-emulsions prepared by the emulsion inversion point method. J. Colloid Interface Sci. 2006, 303, 557–563. [Google Scholar] [CrossRef]
- Pal, N.; Kumar, N.; Mandal, A. Stabilization of Dispersed Oil Droplets in Nanoemulsions by Synergistic Effects of the Gemini Surfactant, PHPA Polymer, and Silica Nanoparticle. Langmuir 2019, 35, 2655–2667. [Google Scholar] [CrossRef] [PubMed]
- Qian, J.; Meng, H.; Xin, L.; Xia, M.; Shen, H.; Li, G.; Xie, Y. Self-nanoemulsifying drug delivery systems of myricetin: Formulation development, characterization, and in vitro and in vivo evaluation. Colloids Surf. B Biointerfaces 2017, 160, 101–109. [Google Scholar] [CrossRef] [PubMed]
- Nasr, A.; Gardouh, A.; Ghorab, M. Novel solid self-nanoemulsifying drug delivery system (S-SNEDDS) for oral delivery of olmesartan medoxomil: Design, formulation, pharmacokinetic and bioavailability evaluation. Pharmaceutics 2016, 8, 20. [Google Scholar] [CrossRef]
- Dressman, J.B.; Reppas, C. In vitro-in vivo correlations for lipophilic, poorly water-soluble drugs. Eur. J. Pharm. Sci. 2000, 11, S73–S80. [Google Scholar] [CrossRef]
- Fatouros, D.G.; Karpf, D.M.; Nielsen, F.S.; Mullertz, A. Clinical studies with oral lipid based formulations of poorly soluble compounds. Ther. Clin. Risk Manag. 2007, 3, 591–604. [Google Scholar] [PubMed]








| No. of Inversions | % Transmittance | |
|---|---|---|
| Surfactants | ||
| Solutol HS 15 | 24 | 90.25 ± 1.27 |
| Tween 80 | 10 | 71.60 ± 6.41 |
| Labrasol | 17 | 13.48 ± 3.09 |
| Kolliphor ELP | 28 | 97.92 ± 0.48 |
| Kolliphor RH40 | 28 | 99.62 ± 0.40 |
| Brij L4 | 8 | 22.79 ± 6.92 |
| Cosurfactants | ||
| Campul PG8 | 47 | 97.78 ± 1.32 |
| PEG 400 | 22 | 100.3 ± 0.50 |
| Ethanol | 17 | 100.6 ± 0.22 |
| Propylene Glycol | 18 | 100.7 ± 0.16 |
| Transcutol HP | 12 | 100.4 ± 0.12 |
| SNEDDS | Ratio * | Centrifugation | Heat–Cool Cycles | Freeze–Thaw Cycles |
|---|---|---|---|---|
| F1 | 20:70:10 | Stable | Stable | Stable |
| F2 | 20:60:20 | Stable | Stable | Stable |
| F3 | 20:50:30 | Stable | Stable | Stable |
| F4 | 20:45:35 | Stable | Stable | Stable |
| F5 | 25:45:30 | Stable | Stable | Stable |
| F6 | 25:40:35 | Stable | Stable | Stable |
| F7 | 30:40:30 | Stable | Stable | Stable |
| F8 | 30:35:35 | Stable | Stable | Stable |
| SNEDDS | Size (nm) | PDI | Zeta Potential (mV) | EE (%) | Emulsification Time (sec) | Transmittance (%) |
|---|---|---|---|---|---|---|
| F1 | 35.0 ± 2.86 | 0.87 ± 0.06 | −4.18 ± 0.35 | 85.3 ± 6.03 | 75 | 72.2 ± 5.06 |
| F2 | 24.0 ± 5.90 | 0.51 ± 0.26 | −3.84 ± 0.92 | 91.5 ± 1.65 | 44 | 74.4 ± 0.59 |
| F3 | 21.5 ± 1.54 | 0.35 ± 0.03 | −4.10 ± 1.29 | 90.4 ± 0.58 | 40 | 85.5 ± 2.75 |
| F4 | 17.8 ± 0.36 | 0.14 ± 0.04 | −4.36 ± 0.50 | 93.6 ± 2.28 | 18 | 88.6 ± 0.89 |
| F5 | 22.3 ± 0.57 | 0.33 ± 0.01 | −3.98 ± 0.67 | 92.0 ± 2.14 | 25 | 87.0 ± 1.17 |
| F6 | 18.6 ± 0.76 | 0.03 ± 0.01 | −3.05 ± 0.18 | 89.8 ± 1.01 | 15 | 84.3 ± 2.26 |
| F7 | 20.8 ± 0.66 | 0.04 ± 0.02 | −2.80 ± 0.11 | 92.6 ± 0.44 | 17 | 87.3 ± 1.69 |
| F8 | 22.3 ± 0.79 | 0.03 ± 0.01 | −2.77 ± 1.21 | 90.1 ± 0.43 | 16 | 82.7 ± 0.49 |
| SNEDDS | Distilled Water | 0.1 N HCl | Phosphate Buffer (pH 6.8) | ||||||
|---|---|---|---|---|---|---|---|---|---|
| 10 | 100 | 1000 | 10 | 100 | 1000 | 10 | 100 | 1000 | |
| F1 | Clear | Clear | Clear | Clear | Clear | Clear | Clear | Clear | Clear |
| F2 | Clear | Clear | Clear | Clear | Clear | Clear | Clear | Clear | Clear |
| F3 | Clear | Clear | Clear | Clear | Clear | Clear | Clear | Clear | Clear |
| F4 | Clear | Clear | Clear | Clear | Clear | Clear | Clear | Clear | Clear |
| F5 | Clear | Clear | Clear | Clear | Clear | Clear | Clear | Clear | Clear |
| F6 | Clear | Clear | Clear | Clear | Clear | Clear | Clear | Clear | Clear |
| F7 | Clear | Clear | Clear | Clear | Clear | Clear | Clear | Clear | Clear |
| F8 | Clear | Clear | Clear | Clear | Clear | Clear | Clear | Clear | Clear |
| Parameters | Pure Drug | SNEDDS-F4 |
|---|---|---|
| Cmax (ng/mL) | 2.30 ± 0.44 | 15.7 ± 6.40 * |
| Tmax (h) | 4.0 ± 3.5 | 0.8 ± 0.3 * |
| AUC (ng*h/mL) | 25.0 ± 6.26 | 78.5 ± 38.9 * |
Publisher’s Note: MDPI stays neutral with regard to jurisdictional claims in published maps and institutional affiliations. |
© 2021 by the authors. Licensee MDPI, Basel, Switzerland. This article is an open access article distributed under the terms and conditions of the Creative Commons Attribution (CC BY) license (https://creativecommons.org/licenses/by/4.0/).
Share and Cite
Baral, K.C.; Song, J.-G.; Lee, S.H.; Bajracharya, R.; Sreenivasulu, G.; Kim, M.; Lee, K.; Han, H.-K. Enhanced Bioavailability of AC1497, a Novel Anticancer Drug Candidate, via a Self-Nanoemulsifying Drug Delivery System. Pharmaceutics 2021, 13, 1142. https://doi.org/10.3390/pharmaceutics13081142
Baral KC, Song J-G, Lee SH, Bajracharya R, Sreenivasulu G, Kim M, Lee K, Han H-K. Enhanced Bioavailability of AC1497, a Novel Anticancer Drug Candidate, via a Self-Nanoemulsifying Drug Delivery System. Pharmaceutics. 2021; 13(8):1142. https://doi.org/10.3390/pharmaceutics13081142
Chicago/Turabian StyleBaral, Kshitis Chandra, Jae-Geun Song, Sang Hoon Lee, Rajiv Bajracharya, Godesi Sreenivasulu, Minkyoung Kim, Kyeong Lee, and Hyo-Kyung Han. 2021. "Enhanced Bioavailability of AC1497, a Novel Anticancer Drug Candidate, via a Self-Nanoemulsifying Drug Delivery System" Pharmaceutics 13, no. 8: 1142. https://doi.org/10.3390/pharmaceutics13081142
APA StyleBaral, K. C., Song, J.-G., Lee, S. H., Bajracharya, R., Sreenivasulu, G., Kim, M., Lee, K., & Han, H.-K. (2021). Enhanced Bioavailability of AC1497, a Novel Anticancer Drug Candidate, via a Self-Nanoemulsifying Drug Delivery System. Pharmaceutics, 13(8), 1142. https://doi.org/10.3390/pharmaceutics13081142

