Cyclodextrin Multicomponent Complexes: Pharmaceutical Applications
Abstract
1. Introduction
2. Amino Acids as Auxiliary Agents
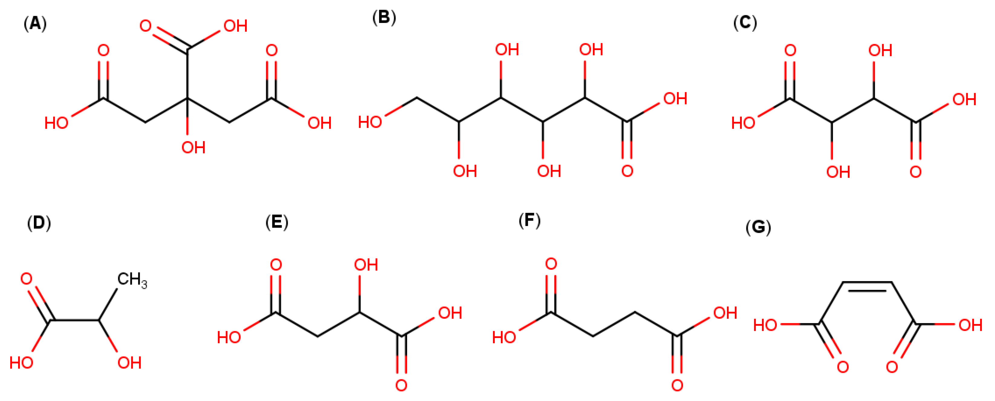
3. Organic Acids as Auxiliary Agents
4. Organic Bases as Auxiliary Agents
5. Water-Soluble Polymers as Auxiliary Agents
5.1. Polyvinylpyrrolidone
5.2. Chitosan
5.3. Hydroxypropylmethylcellulose
5.4. Hyaluronic Acid
5.5. Polyethylene Glycol
5.6. Poloxamer
6. Conclusions
Author Contributions
Funding
Institutional Review Board Statement
Informed Consent Statement
Data Availability Statement
Conflicts of Interest
References
- Morin-Crini, N.; Fourmentin, S.; Fenyvesi, É.; Lichtfouse, E.; Torri, G.; Fourmentin, M.; Crini, G. History of Cyclodextrins BT–The History of Cyclodextrins; Crini, G., Fourmentin, S., Lichtfouse, E., Eds.; Springer International Publishing: Cham, Switzerland, 2020; pp. 1–93. ISBN 978-3-030-49308-0. [Google Scholar]
- Villiers, A. Sur la fermentation de la fécule par l’action du ferment butyrique. Compt. Rend. Acad. Sci. 1891, 112, 536–538. [Google Scholar]
- Jambhekar, S.S.; Breen, P. Cyclodextrins in pharmaceutical formulations I: Structure and physicochemical properties, formation of complexes, and types of complex. Drug Discov. Today 2016, 21, 356–362. [Google Scholar] [CrossRef]
- Morin-Crini, N.; Fourmentin, S.; Fenyvesi, É.; Lichtfouse, E.; Torri, G.; Fourmentin, M.; Crini, G. 130 years of cyclodextrin discovery for health, food, agriculture, and the industry: A review. Environ. Chem. Lett. 2021, 19, 2581–2617. [Google Scholar] [CrossRef]
- Jansook, P.; Ogawa, N.; Loftsson, T. Cyclodextrins: Structure, physicochemical properties and pharmaceutical applications. Int. J. Pharm. 2018, 535, 272–284. [Google Scholar] [CrossRef] [PubMed]
- Bom, A.; Bradley, M.; Cameron, K.; Clark, J.K.; Van Egmond, J.; Feilden, H.; MacLean, E.J.; Muir, A.W.; Palin, R.; Rees, D.C.; et al. A novel concept of reversing neuromuscular block: Chemical encapsulation of rocuronium bromide by a cyclodextrin-based synthetic host. Angew. Chem. Int. Ed. Engl. 2002, 41, 266–270. [Google Scholar] [CrossRef]
- Conceição, J.; Adeoye, O.; Cabral-Marques, H.M.; Lobo, J.M.S. Cyclodextrins as excipients in tablet formulations. Drug Discov. Today 2018, 23, 1274–1284. [Google Scholar] [CrossRef] [PubMed]
- Loftsson, T.; Brewster, M.E. Cyclodextrins as functional excipients: Methods to enhance complexation efficiency. J. Pharm. Sci. 2012, 101, 3019–3032. [Google Scholar] [CrossRef]
- Redenti, E.; Szente, L.; Szejtli, J. Drug/cyclodextrin/hydroxy acid multicomponent systems. Properties and pharmaceutical applications. J. Pharm. Sci. 2000, 89, 1–8. [Google Scholar] [CrossRef]
- Redenti, E.; Szente, L.; Szejtli, J. Cyclodextrin complexes of salts of acidic drugs. Thermodynamic properties, structural features, and pharmaceutical applications. J. Pharm. Sci. 2001, 90, 979–986. [Google Scholar] [CrossRef] [PubMed]
- Aiassa, V.; Zoppi, A.; Albesa, I.; Longhi, M.R. Inclusion complexes of chloramphenicol with β-cyclodextrin and aminoacids as a way to increase drug solubility and modulate ROS production. Carbohydr. Polym. 2015, 121, 320–327. [Google Scholar] [CrossRef]
- Mura, P.; Maestrelli, F.; Cirri, M. Ternary systems of naproxen with hydroxypropyl-β-cyclodextrin and aminoacids. Int. J. Pharm. 2003, 260, 293–302. [Google Scholar] [CrossRef]
- Mura, P.; Bettinetti, G.P.; Cirri, M.; Maestrelli, F.; Sorrenti, M.; Catenacci, L. Solid-state characterization and dissolution properties of Naproxen-Arginine-Hydroxypropyl-β-cyclodextrin ternary system. Eur. J. Pharm. Biopharm. 2005, 59, 99–106. [Google Scholar] [CrossRef]
- Bramhane, D.M.; Saindane, N.S.; Vavia, P.R. Inclusion complexation of weakly acidic NSAID with β-cyclodextrin: Selection of arginine, an amino acid, as a novel ternary component. J. Incl. Phenom. Macrocycl. Chem. 2011, 69, 453–460. [Google Scholar] [CrossRef]
- Mennini, N.; Maestrelli, F.; Cirri, M.; Mura, P. Analysis of physicochemical properties of ternary systems of oxaprozin with randomly methylated-ß-cyclodextrin and l-arginine aimed to improve the drug solubility. J. Pharm. Biomed. Anal. 2016, 129, 350–358. [Google Scholar] [CrossRef] [PubMed]
- Sherje, A.P.; Patel, F.; Murahari, M.; Suvarna, V.; Patel, K. Study on effect of L-arginine on solubility and dissolution of Zaltoprofen: Preparation and characterization of binary and ternary cyclodextrin inclusion complexes. Chem. Phys. Lett. 2018, 694, 120–128. [Google Scholar] [CrossRef]
- Sherje, A.P.; Kulkarni, V.; Murahari, M.; Nayak, U.Y.; Bhat, P.; Suvarna, V.; Dravyakar, B. Inclusion Complexation of Etodolac with Hydroxypropyl-beta-cyclodextrin and Auxiliary Agents: Formulation Characterization and Molecular Modeling Studies. Mol. Pharm. 2017, 14, 1231–1242. [Google Scholar] [CrossRef] [PubMed]
- Suvarna, V.; Thorat, S.; Nayak, U.; Sherje, A.; Murahari, M. Host-guest interaction study of Efavirenz with hydroxypropyl-β-cyclodextrin and l-arginine by computational simulation studies: Preparation and characterization of supramolecular complexes. J. Mol. Liq. 2018, 259, 55–64. [Google Scholar] [CrossRef]
- Méndez, S.G.; Otero Espinar, F.J.; Alvarez, A.L.; Longhi, M.R.; Quevedo, M.A.; Zoppi, A. Ternary complexation of benzoic acid with β-cyclodextrin and aminoacids. Experimental and theoretical studies. J. Incl. Phenom. Macrocycl. Chem. 2016, 85, 33–48. [Google Scholar] [CrossRef]
- Singh, S.K.; Srinivasan, K.K.; Singare, D.S.; Gowthamarajan, K.; Prakash, D. Formulation of ternary complexes of glyburide with hydroxypropyl-β-cyclodextrin and other solubilizing agents and their effect on release behavior of glyburide in aqueous and buffered media at different agitation speeds. Drug Dev. Ind. Pharm. 2012, 38, 1328–1336. [Google Scholar] [CrossRef] [PubMed]
- Vakani, S.S.; Kajwe, A.; Suvarna, V.; Sherje, A.P. Influence of auxiliary agents on solubility and dissolution profile of repaglinide with hydroxypropyl-β-cyclodextrin: Inclusion complex formation and its solid-state characterization. J. Incl. Phenom. Macrocycl. Chem. 2015, 83, 239–250. [Google Scholar] [CrossRef]
- Suvarna, V.; Kajwe, A.; Murahari, M.; Pujar, G.V.; Inturi, B.K.; Sherje, A.P. Inclusion Complexes of Nateglinide with HP–β–CD and L-Arginine for Solubility and Dissolution Enhancement: Preparation, Characterization, and Molecular Docking Study. J. Pharm. Innov. 2017, 12, 168–181. [Google Scholar] [CrossRef]
- Jadhav, P.; Petkar, B.; Pore, Y.; Kulkarni, A.; Burade, K. Physicochemical and molecular modeling studies of cefixime–l-arginine–cyclodextrin ternary inclusion compounds. Carbohydr. Polym. 2013, 98, 1317–1325. [Google Scholar] [CrossRef]
- Dan Córdoba, A.V.; Aiassa, V.; Longhi, M.R.; Quevedo, M.A.; Zoppi, A. Improved Activity of Rifampicin against Biofilms of Staphylococcus aureus by Multicomponent Complexation. AAPS PharmSciTech 2020, 21, 163. [Google Scholar] [CrossRef] [PubMed]
- Conde Penedo, A.; Díaz Tomé, V.; Fernández Ferreiro, A.; González Barcia, M.; Otero Espinar, F.J. Enhancement in corneal permeability of riboflavin using cyclodextrin derivates complexes as a previous step to transepithelial cross-linking. Eur. J. Pharm. Biopharm. 2021, 162, 12–22. [Google Scholar] [CrossRef] [PubMed]
- Mora, P.C.; Cirri, M.; Allolio, B.; Carli, F.; Mura, P. Enhancement of dehydroepiandrosterone solubility and bioavailability by ternary complexation with α-cyclodextrin and glycine. J. Pharm. Sci. 2003, 92, 2177–2184. [Google Scholar] [CrossRef] [PubMed]
- Piel, G.; Pirotte, B.; Delneuville, I.; Neven, P.; Llabres, G.; Delarge, J.; Delattre, L. Study of the Influence of Both Cyclodextrins and L-Lysine on the Aqueous Solubility of Nimesulide; Isolation and Characterization of Nimesulide–L-Lysine–Cyclodextrin Complexes. J. Pharm. Sci. 1997, 86, 475–480. [Google Scholar] [CrossRef] [PubMed]
- Piette, M.; Evrard, B.; Frankenne, F.; Chiap, P.; Bertholet, P.; Castagne, D.; Foidart, J.-M.; Delattre, L.; Piel, G. Pharmacokinetic study of a new synthetic MMP inhibitor (Ro 28-2653) after IV and oral administration of cyclodextrin solutions. Eur. J. Pharm. Sci. Off. J. Eur. Fed. Pharm. Sci. 2006, 28, 189–195. [Google Scholar] [CrossRef] [PubMed]
- Sauceau, M.; Rodier, E.; Fages, J. Preparation of inclusion complex of piroxicam with cyclodextrin by using supercritical carbon dioxide. J. Supercrit. Fluids 2008, 47, 326–332. [Google Scholar] [CrossRef]
- Banchero, M.; Manna, L. The use of lysine to enhance the supercritical complexation of ketoprofen and cyclodextrins. J. Supercrit. Fluids 2012, 67, 76–83. [Google Scholar] [CrossRef]
- Cerutti, J.P.; Quevedo, M.A.; Buhlman, N.; Longhi, M.R.; Zoppi, A. Synthesis and characterization of supramolecular systems containing nifedipine, β-cyclodextrin and aspartic acid. Carbohydr. Polym. 2019, 205, 480–487. [Google Scholar] [CrossRef]
- Ponce-Ponte, M.; Aloisio, C.; Romero-Guerra, D.M.; Gracia-Vásquez, S.; Garnero, C.; Longhi, M. Binary and ternary complexes of norfloxacin to improve the solubility of the active pharmaceutical ingredient. Ther. Deliv. 2018, 9, 639–652. [Google Scholar] [CrossRef]
- Aiassa, V.; Zoppi, A.; Becerra, M.C.; Albesa, I.; Longhi, M.R. Enhanced inhibition of bacterial biofilm formation and reduced leukocyte toxicity by chloramphenicol:β-cyclodextrin:N-acetylcysteine complex. Carbohydr. Polym. 2016, 152, 672–678. [Google Scholar] [CrossRef]
- Cerutti, J.P.; Aiassa, V.; Fernández, M.A.; Longhi, M.R.; Quevedo, M.A.; Zoppi, A. Structural, physicochemical and biological characterization of chloramphenicol multicomponent complexes. J. Mol. Liq. 2021, 331, 115761. [Google Scholar] [CrossRef]
- Zoppi, A.; Buhlman, N.; Cerutti, J.P.; Longhi, M.R.; Aiassa, V. Influence of proline and β-Cyclodextrin in ketoconazole physicochemical and microbiological performance. J. Mol. Struct. 2019, 1176, 470–477. [Google Scholar] [CrossRef]
- Zoppi, A.; Bartolilla, A.; Longhi, M.R.; Aiassa, V. Simultaneous improvement of ketoconazole solubility, antifungal and antibiofilm activity by multicomponent complexation. Ther. Deliv. 2020, 11, 701–712. [Google Scholar] [CrossRef] [PubMed]
- Rakkaew, P.; Suksiriworapong, J.; Chantasart, D. β-Cyclodextrin-based ternary complexes of haloperidol and organic acids: The effect of organic acids on the drug solubility enhancement. Pharm. Dev. Technol. 2018, 23, 715–722. [Google Scholar] [CrossRef] [PubMed]
- Londhe, V.Y.; Pawar, A.; Kundaikar, H. Studies on spectral characterization and solubility of hydroxypropyl β-cyclodextrin/iloperidone binary and ternary complexes using different auxiliary agents. J. Mol. Struct. 2020, 1220, 128615. [Google Scholar] [CrossRef]
- Kurkov, S.V.; Loftsson, T. Cyclodextrins. Int. J. Pharm. 2013, 453, 167–180. [Google Scholar] [CrossRef]
- Jug, M.; Mennini, N.; Kövér, K.E.; Mura, P. Comparative analysis of binary and ternary cyclodextrin complexes with econazole nitrate in solution and in solid state. J. Pharm. Biomed. Anal. 2014, 91, 81–91. [Google Scholar] [CrossRef]
- Ribeiro, L.; Carvalho, R.A.; Ferreira, D.C.; Veiga, F.J.B. Multicomponent complex formation between vinpocetine, cyclodextrins, tartaric acid and water-soluble polymers monitored by NMR and solubility studies. Eur. J. Pharm. Sci. 2005, 24, 1–13. [Google Scholar] [CrossRef]
- Patel, M.; Hirlekar, R. Multicomponent cyclodextrin system for improvement of solubility and dissolution rate of poorly water soluble drug. Asian, J. Pharm. Sci. 2019, 14, 104–115. [Google Scholar] [CrossRef]
- Fenyvesi, E.; Vikmon, M.; Szeman, J.; Redenti, E.; Delcanale, M.; Ventura, P.; Szejtli, J. Interaction of hydroxy acids with β-cyclodextrin. J. Incl. Phenom. 1999, 33, 339–344. [Google Scholar] [CrossRef]
- Mura, P.; Mennini, N.; Kosalec, I.; Furlanetto, S.; Orlandini, S.; Jug, M. Amidated pectin-based wafers for econazole buccal delivery: Formulation optimization and antimicrobial efficacy estimation. Carbohydr. Polym. 2015, 121, 231–240. [Google Scholar] [CrossRef]
- Pokharkar, V.; Khanna, A.; Venkatpurwar, V.; Dhar, S.; Mandpe, L. Ternary complexation of carvedilol, β-cyclodextrin and citric acid for mouth-dissolving tablet formulation. Acta Pharm. 2009, 59, 121–132. [Google Scholar] [CrossRef] [PubMed]
- Zhang, X.; Zou, M.; Li, S.; Chen, X.; Zhong, D. Bioavailability of clarithromycin cyclodextrin ternary complexes upon oral administration to healthy beagle dogs. Drug Dev. Ind. Pharm. 2008, 34, 1048–1053. [Google Scholar] [CrossRef] [PubMed]
- Aldawsari, H.M.; Badr-Eldin, S.M. Enhanced pharmacokinetic performance of dapoxetine hydrochloride via the formulation of instantly-dissolving buccal films with acidic pH modifier and hydrophilic cyclodextrin: Factorial analysis, in vitro and in vivo assessment. J. Adv. Res. 2020, 24, 281–290. [Google Scholar] [CrossRef]
- Yuvaraja, K.; Khanam, J. Enhancement of carvedilol solubility by solid dispersion technique using cyclodextrins, water soluble polymers and hydroxyl acid. J. Pharm. Biomed. Anal. 2014, 96, 10–20. [Google Scholar] [CrossRef]
- Chantasart, D.; Rakkaew, P. Preparation and characterization of dry β-cyclodextrin-based ternary complexes of haloperidol and lactic acid for drug delivery. J. Drug Deliv. Sci. Technol. 2019, 52, 73–82. [Google Scholar] [CrossRef]
- Barillaro, V.; Bertholet, P.; de Hassonville, S.H.; Ziemons, E.; Evrard, B.; Delattre, L.; Piel, G. Effect of acidic ternary compounds on the formation of miconazole/cyclodextrin inclusion complexes by means of supercritical carbon dioxide. J. Pharm. Pharm. Sci. 2004, 7, 378–388. [Google Scholar] [PubMed]
- Barillaro, V.; Evrard, B.; Delattre, L.; Piel, G. Oral bioavailability in pigs of a miconazoleγ/hydroxypropyl-γ-cyclodextrin/L-tartaric acid inclusion complex produced by supercritical carbon dioxide processing. AAPS J. 2005, 7, E149–E155. [Google Scholar] [CrossRef][Green Version]
- Mura, P.; Faucci, M.T.; Manderioli, A.; Bramanti, G. Multicomponent systems of econazole with hydroxyacids and cyclodextrins. J. Incl. Phenom. 2001, 39, 131–138. [Google Scholar] [CrossRef]
- Faucci, M.T.; Melani, F.; Mura, P. 1H-NMR and molecular modelling techniques for the investigation of the inclusion complex of econazole with α-cyclodextrin in the presence of malic acid. J. Pharm. Biomed. Anal. 2000, 23, 25–31. [Google Scholar] [CrossRef]
- Zhang, X.; Zhang, Y.; Zhong, D.; Chen, Y.; Li, S. Investigation and physicochemical characterization of clarithromycin-citric acid-cyclodextrins ternary complexes. Drug Dev. Ind. Pharm. 2007, 33, 163–171. [Google Scholar] [CrossRef] [PubMed]
- Esclusa-Díaz, M.T.; Gayo-Otero, M.; Pérez-Marcos, M.B.; Vila-Jato, J.L.; Torres-Labandeira, J.J. Preparation and evaluation of ketoconazole-β-cyclodextrin multicomponent complexes. Int. J. Pharm. 1996, 142, 183–187. [Google Scholar] [CrossRef]
- Chiesi-villa, A.; Rizzoli, C.; Amari, G.; Delcanale, M.; Redenti, E.; Ventura, P. The Crystal Structure of the Inclusion Complex of the Sodium Salt of Piroxicam with β-cyclodextrin. Supramol. Chem 1998, 10, 111–119. [Google Scholar] [CrossRef]
- Lin, S.-Z.; Wouessidjewe, D.; Poelman, M.-C.; Duchêne, D. Indomethacin and cyclodextrin complexes. Int. J. Pharm. 1991, 69, 211–219. [Google Scholar] [CrossRef]
- Ungell, A.-L. In Vitro Absorption Studies and Their Relevance to Absorption from the GI Tract. Drug Dev. Ind. Pharm. 1997, 23, 879–892. [Google Scholar] [CrossRef]
- Gladys, G.; Claudia, G.; Marcela, L. The effect of pH and triethanolamine on sulfisoxazole complexation with hydroxypropyl-β-cyclodextrin. Eur. J. Pharm. Sci. 2003, 20, 285–293. [Google Scholar] [CrossRef]
- Maitre, M.M.; Longhi, M.R.; Granero, G.G. Ternary complexes of flurbiprofen with HP-β-CD and ethanolamines characterization and transdermal delivery. Drug Dev. Ind. Pharm. 2007, 33, 311–326. [Google Scholar] [CrossRef] [PubMed]
- Cheong, H.-A.; Choi, H.-K. Enhanced Percutaneous Absorption of Piroxicam via Salt Formation with Ethanolamines. Pharm. Res. 2002, 19, 1375–1380. [Google Scholar] [CrossRef] [PubMed]
- Garnero, C.; Longhi, M. Study of ascorbic acid interaction with hydroxypropyl-β-cyclodextrin and triethanolamine, separately and in combination. J. Pharm. Biomed. Anal. 2007, 45, 536–545. [Google Scholar] [CrossRef]
- Granero, G.E.; Maitre, M.M.; Garnero, C.; Longhi, M.R. Synthesis, characterization and in vitro release studies of a new acetazolamide-HP-β-CD-TEA inclusion complex. Eur. J. Med. Chem. 2008, 43, 464–470. [Google Scholar] [CrossRef]
- Palma, S.D.; Tartara, L.I.; Quinteros, D.; Allemandi, D.A.; Longhi, M.R.; Granero, G.E. An efficient ternary complex of acetazolamide with HP-ß-CD and TEA for topical ocular administration. J. Control. Release 2009, 138, 24–31. [Google Scholar] [CrossRef]
- Mora, M.J.; Petiti, J.P.; Longhi, M.R.; Torres, A.I.; Granero, G.E. Intestinal uptake and toxicity evaluation of acetazolamide and its multicomponent complexes with hidroxypropyl-β-cyclodextrin in rats. Int. J. Pharm. 2015, 478, 258–267. [Google Scholar] [CrossRef]
- Mora, M.J.; Longhi, M.R.; Granero, G.E. Synthesis and characterization of binary and ternary complexes of diclofenac with a methyl-β-CD and monoethanolamine and in vitro transdermal evaluation. Eur. J. Med. Chem. 2010, 45, 4079–4088. [Google Scholar] [CrossRef]
- De Melo, P.N.; Barbosa, E.G.; De Caland, L.B.; Carpegianni, H.; Garnero, C.; Longhi, M.; De Freitas Fernades-Pedrosa, M.; Da Silva-Júnior, A.A. Host-guest interactions between benznidazole and beta-cyclodextrin in multicomponent complex systems involving hydrophilic polymers and triethanolamine in aqueous solution. J. Mol. Liq. 2013, 186, 147–156. [Google Scholar] [CrossRef]
- De Melo, P.N.; Barbosa, E.G.; Garnero, C.; de Caland, L.B.; Fernandes-Pedrosa, M.F.; Longhi, M.R.; da Silva-Júnior, A.A. Interaction pathways of specific co-solvents with hydroxypropyl-β-cyclodextrin inclusion complexes with benznidazole in liquid and solid phase. J. Mol. Liq. 2016, 223, 350–359. [Google Scholar] [CrossRef]
- Barbosa, J.A.A.; Zoppi, A.; Quevedo, M.A.; de Melo, P.N.; de Medeiros, A.S.A.; Streck, L.; de Oliveira, A.R.; Fernandes-Pedrosa, M.F.; Longhi, M.R.; da Silva-Júnior, A.A. Triethanolamine stabilization of methotrexate-β-cyclodextrin interactions in ternary complexes. Int. J. Mol. Sci. 2014, 15, 17077–17099. [Google Scholar] [CrossRef] [PubMed]
- Ribeiro, L.; Loftsson, T.; Ferreira, D.; Veiga, F. Investigation and physicochemical characterization of vinpocetine–sulfobutyl ether β-cyclodextrin binary and ternary complexes. Chem. Pharm. Bull. 2003, 51, 914–922. [Google Scholar] [CrossRef]
- Loftsson, T.; Jarho, P.; Másson, M.; Järvinen, T. Cyclodextrins in drug delivery. Expert Opin. Drug Deliv. 2005, 2, 335–351. [Google Scholar] [CrossRef]
- Phadke, C.; Sharma, J.; Sharma, K.; Bansal, A.K. Effect of Variability of Physical Properties of Povidone K30 on Crystallization and Drug-Polymer Miscibility of Celecoxib-Povidone K30 Amorphous Solid Dispersions. Mol. Pharm. 2019, 16, 4139–4148. [Google Scholar] [CrossRef] [PubMed]
- Sathigari, S.K.; Radhakrishnan, V.K.; Davis, V.A.; Parsons, D.L.; Babu, R.J. Amorphous-state characterization of efavirenz-polymer hot-melt extrusion systems for dissolution enhancement. J. Pharm. Sci. 2012, 101, 3456–3464. [Google Scholar] [CrossRef]
- Madhavi, B.B.; Kusum, B.; Chatanya, C.K.; Madhu, M.N.; Harsha, V.S.; Banji, D. Dissolution enhancement of efavirenz by solid dispersion and PEGylation techniques. Int. J. Pharm. Investig. 2011, 1, 29–34. [Google Scholar] [CrossRef]
- Vieira, A.C.C.; Ferreira Fontes, D.A.; Chaves, L.L.; Alves, L.D.S.; de Freitas Neto, J.L.; de La Roca Soares, M.F.; Soares-Sobrinho, J.L.; Rolim, L.A.; Rolim-Neto, P.J. Multicomponent systems with cyclodextrins and hydrophilic polymers for the delivery of Efavirenz. Carbohydr. Polym. 2015, 130, 133–140. [Google Scholar] [CrossRef] [PubMed]
- Ghosh, A.; Biswas, S.; Ghosh, T. Preparation and Evaluation of Silymarin β-cyclodextrin Molecular Inclusion Complexes. J. Young Pharm. 2011, 3, 205–210. [Google Scholar] [CrossRef]
- Kaushik, S.; Verma, R.; Purohit, D.; Pandey, P.; Kumar, M.; Kumari, B.; Kaushik, D. Development of binary and ternary complex of cefuroxime axetil with cyclodextrin for improving pharmaceutical characteristics. Int. J. Appl. Pharm. 2020, 12, 107–117. [Google Scholar] [CrossRef]
- Shah, M.; Pore, Y.; Dhawale, S.; Burade, K.; Kuchekar, B. Physicochemical characterization of spray dried ternary micro-complexes of cefuroxime axetil with hydroxypropyl-β-cyclodextrin. J. Incl. Phenom. Macrocycl. Chem. 2013, 76, 391–401. [Google Scholar] [CrossRef]
- Valero, M.; Tejedor, J.; Rodríguez, L.J. Encapsulation of nabumetone by means of -drug: (β-cyclodextrin)2:polyvinylpyrrolidone ternary complex formation. J. Lumin. 2007, 126, 297–302. [Google Scholar] [CrossRef]
- Shah, M.; Karekar, P.; Sancheti, P.; Vyas, V.; Pore, Y. Effect of PVP K30 and/or L-arginine on stability constant of etoricoxib-HPβCD inclusion complex: Preparation and characterization of etoricoxib-HPβCD binary system. Drug Dev. Ind. Pharm. 2009, 35, 118–129. [Google Scholar] [CrossRef]
- Bejaoui, M.; Galai, H.; Amara, A.B.H.; Ben Rhaiem, H. Formation of Water Soluble and Stable Amorphous Ternary System: Ibuprofen/β-Cyclodextrin/PVP. Glas. Phys. Chem. 2019, 45, 580–588. [Google Scholar] [CrossRef]
- Loh, Z.H.; Samanta, A.K.; Sia Heng, P.W. Overview of milling techniques for improving the solubility of poorly water-soluble drugs. Asian J. Pharm. Sci. 2015, 10, 255–274. [Google Scholar] [CrossRef]
- Cheung, R.C.; Ng, T.B.; Wong, J.H.; Chan, W.Y. Chitosan: An Update on Potential Biomedical and Pharmaceutical Applications. Mar. Drugs 2015, 13, 5156–5186. [Google Scholar] [CrossRef] [PubMed]
- Chen, G.; Mi, J.; Wu, X.; Luo, C.; Li, J.; Tang, Y.; Li, J. Structural features and bioactivities of the chitosan. Int. J. Biol. Macromol. 2011, 49, 543–547. [Google Scholar] [CrossRef]
- Sarvaiya, J.; Agrawal, Y.K. Chitosan as a suitable nanocarrier material for anti-Alzheimer drug delivery. Int. J. Biol. Macromol. 2015, 72, 454–465. [Google Scholar] [CrossRef]
- Dehousse, V.; Garbacki, N.; Jaspart, S.; Castagne, D.; Piel, G.; Colige, A.; Evrard, B. Comparison of chitosan/siRNA and trimethylchitosan/siRNA complexes behaviour in vitro. Int. J. Biol. Macromol. 2010, 46, 342–349. [Google Scholar] [CrossRef]
- Benediktsdóttir, B.E.; Baldursson, Ó.; Másson, M. Challenges in evaluation of chitosan and trimethylated chitosan (TMC) as mucosal permeation enhancers: From synthesis to in vitro application. J. Control. Release 2014, 173, 18–31. [Google Scholar] [CrossRef] [PubMed]
- Patel, P.; Agrawal, Y.K.; Sarvaiya, J. Cyclodextrin based ternary system of modafinil: Effect of trimethyl chitosan and polyvinylpyrrolidone as complexing agents. Int. J. Biol. Macromol. 2016, 84, 182–188. [Google Scholar] [CrossRef]
- Chadha, R.; Arora, P.; Bhandari, S. Polymorphic Forms of Lamivudine: Characterization, Estimation of Transition Temperature, and Stability Studies by Thermodynamic and Spectroscopic Studies. ISRN Thermodyn. 2012, 2012, 671027. [Google Scholar] [CrossRef]
- Porwal, A.; Dwivedi, H.; Pathak, K. Gastroretentive bilayer film for sustained release of atorvastatin calcium and immediate release of amlodipine besylate: Pharmaceutical, pharmacokinetic evaluation, and IVIVC. Pharm. Dev. Technol. 2020, 25, 416–431. [Google Scholar] [CrossRef]
- Benavente-García, O.; Castillo, J. Update on Uses and Properties of Citrus Flavonoids: New Findings in Anticancer, Cardiovascular, and Anti-inflammatory Activity. J. Agric. Food Chem. 2008, 56, 6185–6205. [Google Scholar] [CrossRef] [PubMed]
- Anwer, M.K.; Jamil, S.; Ansari, M.J.; Al-Shdefat, R.; Ali, B.E.; Ganaie, M.A.; Abdel-Kader, M.S.; Shakeel, F. Water soluble binary and ternary complexes of diosmin with β-cyclodextrin: Spectroscopic characterization, release studies and anti-oxidant activity. J. Mol. Liq. 2014, 199, 35–41. [Google Scholar] [CrossRef]
- Loh, G.O.K.; Tan, Y.T.F.; Peh, K.K. Effect of HPMC concentration on β-cyclodextrin solubilization of norfloxacin. Carbohydr. Polym. 2014, 101, 505–510. [Google Scholar] [CrossRef] [PubMed]
- Amrite, A.; Pugazhenthi, V.; Cheruvu, N.; Kompella, U. Delivery of celecoxib for treating diseases of the eye: Influence of pigment and diabetes. Expert. Opin. Drug Deliv. 2010, 7, 631–645. [Google Scholar] [CrossRef] [PubMed]
- Amrite, A.C.; Kompella, U.B. Celecoxib inhibits proliferation of retinal pigment epithelial and choroid-retinal endothelial cells by a cyclooxygenase-2-independent mechanism. J. Pharmacol. Exp. Ther. 2008, 324, 749–758. [Google Scholar] [CrossRef] [PubMed]
- Ayalasomayajula, S.P.; Kompella, U.B. Celecoxib, a selective cyclooxygenase-2 inhibitor, inhibits retinal vascular endothelial growth factor expression and vascular leakage in a streptozotocin-induced diabetic rat model. Eur. J. Pharmacol. 2003, 458, 283–289. [Google Scholar] [CrossRef]
- Raghava, S.; Hammond, M.; Kompella, U.B. Periocular routes for retinal drug delivery. Expert Opin. Drug Deliv. 2004, 1, 99–114. [Google Scholar] [CrossRef]
- Jansook, P.; Kulsirachote, P.; Asasutjarit, R.; Loftsson, T. Development of celecoxib eye drop solution and microsuspension: A comparative investigation of binary and ternary cyclodextrin complexes. Carbohydr. Polym. 2019, 225, 115209. [Google Scholar] [CrossRef]
- Scott, J.E.; Heatley, F. Hyaluronan forms specific stable tertiary structures in aqueous solution: A 13C NMR study. Proc. Natl. Acad. Sci. USA 1999, 96, 4850–4855. [Google Scholar] [CrossRef]
- Jansook, P.; Pichayakorn, W.; Muankaew, C.; Loftsson, T. Cyclodextrin–poloxamer aggregates as nanocarriers in eye drop formulations: Dexamethasone and amphotericin B. Drug Dev. Ind. Pharm. 2016, 42, 1446–1454. [Google Scholar] [CrossRef]
- Yokoyama, M. Polymeric micelles as a new drug carrier system and their required considerations for clinical trials. Expert. Opin. Drug Deliv. 2010, 7, 145–158. [Google Scholar] [CrossRef]
- Alvarez-Lorenzo, C.; Rey-Rico, A.; Brea, J.; Loza, M.I.; Concheiro, A.; Sosnik, A. Inhibition of P-glycoprotein pumps by PEO-PPO amphiphiles: Branched versus linear derivatives. Nanomedicine 2010, 5, 1371–1383. [Google Scholar] [CrossRef]
- Lee, J.-H.; Kim, H.-L.; Lee, M.H.; You, K.E.; Kwon, B.-J.; Seo, H.J.; Park, J.-C. Asiaticoside enhances normal human skin cell migration, attachment and growth in vitro wound healing model. Phytomedicine 2012, 19, 1223–1227. [Google Scholar] [CrossRef]
- Soe, H.M.H.; Chamni, S.; Mahalapbutr, P.; Kongtaworn, N.; Rungrotmongkol, T.; Jansook, P. The investigation of binary and ternary sulfobutylether-β-cyclodextrin inclusion complexes with asiaticoside in solution and in solid state. Carbohydr. Res. 2020, 498, 108190. [Google Scholar] [CrossRef] [PubMed]
- Bey, E.A.; Bentle, M.S.; Reinicke, K.E.; Dong, Y.; Yang, C.-R.; Girard, L.; Minna, J.D.; Bornmann, W.G.; Gao, J.; Boothman, D.A. An NQO1- and PARP-1-mediated cell death pathway induced in non-small-cell lung cancer cells by β-lapachone. Proc. Natl. Acad. Sci. USA 2007, 104, 11832–11837. [Google Scholar] [CrossRef]
- Bentle, M.S.; Reinicke, K.E.; Bey, E.A.; Spitz, D.R.; Boothman, D.A. Calcium-dependent Modulation of Poly(ADP-ribose) Polymerase-1 Alters Cellular Metabolism and DNA Repair. J. Biol. Chem. 2006, 281, 33684–33696. [Google Scholar] [CrossRef]
- Bentle, M.S.; Reinicke, K.E.; Dong, Y.; Bey, E.A.; Boothman, D.A. Nonhomologous end joining is essential for cellular resistance to the novel antitumor agent, β-lapachone. Cancer Res. 2007, 67, 6936–6945. [Google Scholar] [CrossRef] [PubMed]
- Nasongkla, N.; Wiedmann, A.F.; Bruening, A.; Beman, M.; Ray, D.; Bornmann, W.G.; Boothman, D.A.; Gao, J. Enhancement of Solubility and Bioavailability of β-Lapachone Using Cyclodextrin Inclusion Complexes. Pharm. Res. 2003, 20, 1626–1633. [Google Scholar] [CrossRef] [PubMed]
- Seoane, S.; Díaz-Rodríguez, P.; Sendon-Lago, J.; Gallego, R.; Pérez-Fernández, R.; Landin, M. Administration of the optimized β-Lapachone–poloxamer–cyclodextrin ternary system induces apoptosis, DNA damage and reduces tumor growth in a human breast adenocarcinoma xenograft mouse model. Eur. J. Pharm. Biopharm. 2013, 84, 497–504. [Google Scholar] [CrossRef] [PubMed]







| Ternary System | Molar Ratio | Preparation Method | Solubility | Dissolution | Other Properties | Reference |
|---|---|---|---|---|---|---|
| naproxen-HPβCD-arginine | 1:1:1 | co-grinding coevaporation | synergistic action between HPβCD and arginine with 13-fold solubility increment | superior performance of coevaporate complex with 15 times increase in DE | [12,13] | |
| lornoxicam-βCD-arginine | 1:2:1 | freeze-drying | freeze-dried complex showed the higher solubility saturation in different buffer media | freeze-dried complex exhibits >95% dissolution after 20 min | [14] | |
| oxaprozin-MβCD-arginine | 1:1:1 | co-grinding coevaporation kneading | 4.5-fold solubility increment compared with the binary complex at pH 6.8 | co-ground complex showed better performance (DE60 = 83) compared with the oxaprozin:MβCD complex (DE60 = 6.8) | [15] | |
| zaltoprofen-βCD-arginine zaltoprofen-HPβCD-arginine | 1:1:1 | spray-drying coevaporation | spray-dried ternary complex with HPβCD showed the higher solubility saturation in water and buffer pH 1.2 | Both, the spray-dried and co-ground ternary complex with βCD and HPβCD showed 14- and 15-fold increase in dissolution, respectively compared with pure drug | [16] | |
| etodolac-HPβCD-arginine | 1:1:1 | spray-drying coevaporation | Spray-dried and coevaparate ternary complex showed an increment of 163- and 100-fold, respectively, in water with respect to saturation solubility of pure drug | Spray-dried and coevaparate ternary complex exhibits an increase in percent drug release of 19- and 20-fold, respectively, with respect to pure etodolac. | [17] | |
| glyburide-HPβCD-arginine | 1:1:0.5 | co-grinding | ternary complex showed higher solubility in both aqueous media and buffer pH 7.5 | ternary complex exhibits significant improvement in the dissolution profile compared with the pure drug in unbuffered aqueous media | [20] | |
| repaglinide-HPβCD-arginine | 1:1:1 | coevaporation kneading | coevaporate complex showed maximum increase in solubility of drug (475-fold) | ternary complexes showed enhanced dissolution rate | [21] | |
| nateglinide-HPβCD-arginine | 1:1:1 | kneading coevaporation spray-drying | ternary complexes showed higher solubility in both aqueous media and buffer pH 1.2 | ternary complexes showed better performance (DE5 = 22) compared with the drug alone (DE5 = 6.6) | [22] | |
| cefixime-βCD-arginine cefixime-HPβCD-arginine | spray-drying | ternary complex showed better drug solubility | ternary complex with HPβCD exhibit better performance (DE2 = 25) compared with the drug alone (DE2 = 0.75) | [23] | ||
| rifampicin-βCD- arginine | 1:1:1 | freeze-drying | ternary complex showed an increase in the drug solubility | ternary complex showed an increase in the dissolved percentage of the drug (53% versus 25% for drug alone) | higher antibiofilm activity with respect to pure rifampicin | [24] |
| Ternary System | Molar Ratio | Preparation Method | Solubility | Dissolution | Other Properties | Reference |
|---|---|---|---|---|---|---|
| Econazole nitrate-SBEβCD-CA | 1:1:1 | co-grinding | synergistic action between SBEβCD and CA with 21.2 fold solubility increment | superior performance of co-ground system concentration increased to 479.07 ± 11.3 μg/mL after 45 min | higher antimycotic activity with respect to that of pure Econazole | [40,44] |
| Econazole-αCD-CA | 1:1:1 | highest solubilizing power with 2480 fold relative solubility increment | [52] | |||
| Econazole-γCD-CA | 1:1:1 | 1540 fold relative solubility increment | ||||
| Econazole-βCD-CA | 1:1:1 | 2460 fold relative solubility increment | ||||
| Econazole-HPβCD-CA | 1:1:1 | 2440 fold relative solubility increment | ||||
| Carvedilol-βCD-CA | 1:2:2 | kneading spray-drying | spray-dried complex exhibits the higher solubility saturation in different buffer media | spray-dried complex exhibits significant improvement in the dissolution profile compared with the pure carvedilol | spray-dried complex is stable in exposition to 40 °C at 75% relative humidity | [45] |
| Clarithromycin-βCD-CA | 1:1:1 | freeze-drying | freeze-dried complex exhibits rapid and enhanced dissolution rate in basic media | freeze-dried complex exhibits slightly improved absorption in beagle dogs | [46] | |
| Clarithromycin-βCD-CA | coevaporation freeze-drying | 104-fold solubility increment | [54] | |||
| Ketoconazole-βCD-CA | 1:2:1 | spray-drying | spray-dried complex reach a dissolution percentage close to 100% | [55] |
Publisher’s Note: MDPI stays neutral with regard to jurisdictional claims in published maps and institutional affiliations. |
© 2021 by the authors. Licensee MDPI, Basel, Switzerland. This article is an open access article distributed under the terms and conditions of the Creative Commons Attribution (CC BY) license (https://creativecommons.org/licenses/by/4.0/).
Share and Cite
Aiassa, V.; Garnero, C.; Longhi, M.R.; Zoppi, A. Cyclodextrin Multicomponent Complexes: Pharmaceutical Applications. Pharmaceutics 2021, 13, 1099. https://doi.org/10.3390/pharmaceutics13071099
Aiassa V, Garnero C, Longhi MR, Zoppi A. Cyclodextrin Multicomponent Complexes: Pharmaceutical Applications. Pharmaceutics. 2021; 13(7):1099. https://doi.org/10.3390/pharmaceutics13071099
Chicago/Turabian StyleAiassa, Virginia, Claudia Garnero, Marcela R. Longhi, and Ariana Zoppi. 2021. "Cyclodextrin Multicomponent Complexes: Pharmaceutical Applications" Pharmaceutics 13, no. 7: 1099. https://doi.org/10.3390/pharmaceutics13071099
APA StyleAiassa, V., Garnero, C., Longhi, M. R., & Zoppi, A. (2021). Cyclodextrin Multicomponent Complexes: Pharmaceutical Applications. Pharmaceutics, 13(7), 1099. https://doi.org/10.3390/pharmaceutics13071099

