Synthesis and Evaluation of Thiol-Conjugated Poloxamer and Its Pharmaceutical Applications
Abstract
1. Introduction
2. Materials and Methods
2.1. Material
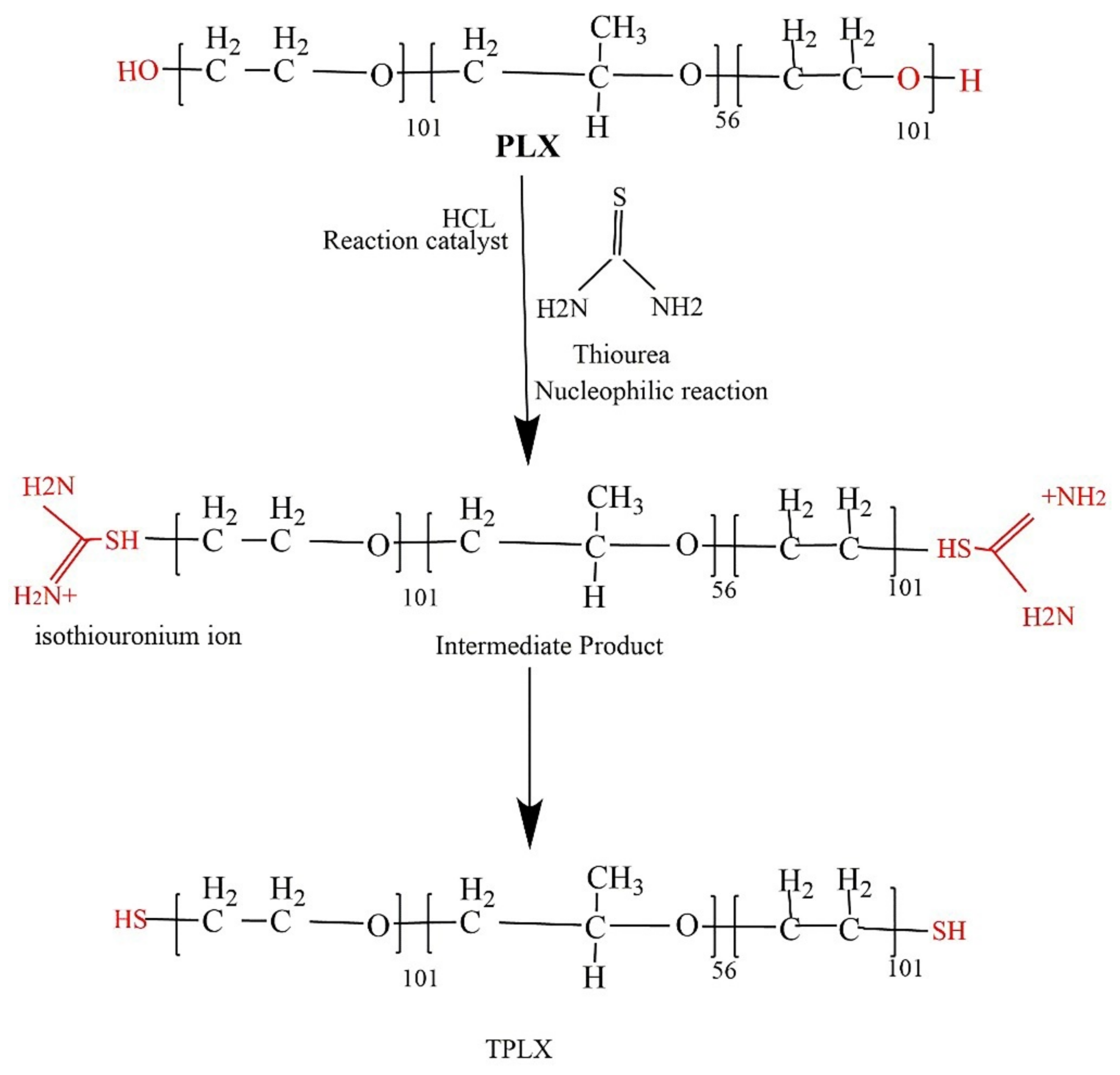
2.2. Thiolation of PLX
2.3. Physicochemical Properties of PLX and Thiolated PLX
2.3.1. Solubility Studies and Swelling Index (SI)
2.3.2. pH of Aqueous Dispersion
2.3.3. Loss on Drying
2.3.4. Micromeritic Studies
2.3.5. Determination of Thiol Content by Ellman’s Reagent Method
2.3.6. Fourier Transformed Infrared Spectroscopy (FT-IR)
2.3.7. Surface Morphology Studies
2.3.8. X-Ray Diffractometry (XRD)
2.3.9. Acute Toxicity Studies of PLX and TPLX
2.3.10. Preparation of Test Animal
2.3.11. Preparation of Dose
2.3.12. Physical Examination
2.3.13. Skin Irritation and Dermal Toxicities
2.3.14. Bodyweight, Food, and Water Consumption
2.3.15. Hematological and Biochemical Examination
2.3.16. Relative Organ Weight (ROW)
2.4. Preparation of Modified-Released Tablet of TCM
2.5. Calibration Curve of TCM
2.6. Post-Compression Studies of PLX- and TPLX-Based Tablets of TCM
2.6.1. Thickness and Diameter
2.6.2. Tablet Hardness and Friability Test
2.6.3. Weight Variation Test
2.6.4. Disintegration Test
2.6.5. Swelling Index
2.6.6. In Vitro Dissolution
2.6.7. Drug Content
2.6.8. Mucoadhesion Strength
2.7. Statistical Analysis
3. Results
3.1. Physicochemical Evaluation of PLX and TPLX
3.2. Micromeritics
3.3. Thiol Contents
3.4. Calibration Curve of Thiourea
3.5. FTIR Studies
3.6. Scanning Electron Microscope (SEM)
3.7. XRD Studies
3.8. Acute Toxicity Studies of PLX and Thiolated PLX
3.8.1. Physical Examination
3.8.2. Skin Irritation and Dermal Toxicity
3.8.3. Body Weight, Food, and Water Consumption
3.8.4. Hematological and Biochemical Examination
3.8.5. Necropsy
3.8.6. Relative Organ Weight
3.8.7. Histopathological Evaluation
3.9. Preparation of Modified-Release Tablets of TCM
3.10. Calibration Curve of TCM
3.11. Post-Compression Tests
3.11.1. Diameter and Thickness
3.11.2. Hardness and Friability Test
3.11.3. Weight Variation Test
3.11.4. Disintegration
3.11.5. Swelling Studies
3.11.6. In Vitro Drug Release
3.11.7. Drug Content (DC%)
3.11.8. Kinetic Modeling
Mucoadhesion Strength of Formulations (F1 and F2)
Statistical Analysis
4. Discussion
5. Conclusions
Supplementary Materials
Author Contributions
Funding
Institutional Review Board Statement
Informed Consent Statement
Data Availability Statement
Acknowledgments
Conflicts of Interest
References
- Zarrintaj, P.; Ramsey, J.D.; Samadi, A.; Atoufi, Z.; Yazdi, M.K.; Ganjali, M.R.; Amirabad, L.M.; Zangene, E.; Farokhi, M.; Formela, K. Poloxamer: A versatile tri-block copolymer for biomedical applications. Acta Biomater. 2020, 110, 37–67. [Google Scholar] [CrossRef]
- Alawdi, S.; Solanki, A.B. Mucoadhesive Drug Delivery Systems: A Review of Recent Developments. J. Sci. Res. Med. Biol. Sci. 2021, 2, 50–64. [Google Scholar]
- Leichner, C.; Jelkmann, M.; Bernkop-Schnürch, A. Thiolated polymers: Bioinspired polymers utilizing one of the most important bridging structures in nature. Adv. Drug Deliv. Rev. 2019, 151, 191–221. [Google Scholar] [CrossRef] [PubMed]
- Bonengel, S.; Bernkop-Schnürch, A. Thiomers—From bench to market. J. Control. Release 2014, 195, 120–129. [Google Scholar] [CrossRef] [PubMed]
- Prüfert, F.; Bonengel, S.; Menzel, C.; Bernkop-Schnürch, A. Enhancing the efficiency of thiomers: Utilizing a highly mucoadhesive polymer as backbone for thiolation and preactivation. Eur. J. Pharm. Sci. 2017, 96, 309–315. [Google Scholar] [CrossRef]
- Hanif, M.; Zaman, M.; Qureshi, S. Thiomers: A blessing to evaluating era of pharmaceuticals. Int. J. Polym. Sci. 2015, 2015. [Google Scholar] [CrossRef]
- Davidovich-Pinhas, M.; Harari, O.; Bianco-Peled, H. Evaluating the mucoadhesive properties of drug delivery systems based on hydrated thiolated alginate. J. Control. Release 2009, 136, 38–44. [Google Scholar] [CrossRef]
- Iqbal, J.; Shahnaz, G.; Dünnhaupt, S.; Müller, C.; Hintzen, F.; Bernkop-Schnürch, A. Preactivated thiomers as mucoadhesive polymers for drug delivery. Biomaterials 2012, 33, 1528–1535. [Google Scholar] [CrossRef]
- Carvalho, F.C.; Bruschi, M.L.; Evangelista, R.C.; Gremião, M.P.D. Mucoadhesive drug delivery systems. Braz. J. Pharm. Sci. 2010, 46, 1–17. [Google Scholar] [CrossRef]
- Prüfert, F.; Hering, U.; Zaichik, S.; Le, N.-M.N.; Bernkop-Schnürch, A. Synthesis and in vitro characterization of a preactivated thiolated acrylic acid/acrylamide-methylpropane sulfonic acid copolymer as a mucoadhesive sprayable polymer. Int. J. Pharm. 2020, 583, 119371. [Google Scholar] [CrossRef]
- Patel, P.; Patel, H.; Panchal, S.; Mehta, T. Formulation strategies for drug delivery of tacrolimus: An overview. Int. J. Pharm. Investig. 2012, 2, 169. [Google Scholar] [CrossRef]
- Bhatia, M.; Ahuja, M. Thiol modification of psyllium husk mucilage and evaluation of its mucoadhesive applications. Sci. World J. 2013, 2013. [Google Scholar] [CrossRef]
- Zaman, M.; Adnan, S.; Saeed, M.A.; Farooq, M.; Masood, Z.; Chishti, S.A.; Qureshi, J.; Khan, R. Formulation and in-vitro evaluation of sustained release matrix tablets of cellulose based hydrophilic and hydrophobic polymers loaded with loxoprofen sodium. Indo Am. J. Pharma Res. 2013, 3, 7389–7398. [Google Scholar]
- Bhatia, M.; Ahuja, M.; Mehta, H. Thiol derivatization of Xanthan gum and its evaluation as a mucoadhesive polymer. Carbohydr. Polym. 2015, 131, 119–124. [Google Scholar] [CrossRef]
- Bravo-Osuna, I.; Teutonico, D.; Arpicco, S.; Vauthier, C.; Ponchel, G. Characterization of chitosan thiolation and application to thiol quantification onto nanoparticle surface. Int. J. Pharm. 2007, 340, 173–181. [Google Scholar] [CrossRef]
- Abdelbary, A.; Bendas, E.R.; Ramadan, A.A.; Mostafa, D.A. Pharmaceutical and pharmacokinetic evaluation of a novel fast dissolving film formulation of flupentixol dihydrochloride. AAPS Pharmscitech 2014, 15, 1603–1610. [Google Scholar] [CrossRef][Green Version]
- Mahajan, H.S.; Tyagi, V.K.; Patil, R.R.; Dusunge, S.B. Thiolated xyloglucan: Synthesis, characterization and evaluation as mucoadhesive in situ gelling agent. Carbohydr. Polym. 2013, 91, 618–625. [Google Scholar] [CrossRef]
- Yu, H.; Feng, Z.-g.; Zhang, A.-y.; Hou, D.; Sun, L.-g. Novel triblock copolymers synthesized via radical telomerization of N-isopropylacrylamide in the presence of polypseudorotaxanes made from thiolated PEG and α-CDs. Polymer 2006, 47, 6066–6071. [Google Scholar] [CrossRef]
- Botham, P.A. Acute systemic toxicity—Prospects for tiered testing strategies. Toxicol. Vitr. 2004, 18, 227–230. [Google Scholar] [CrossRef]
- Erum, A.; Bashir, S.; Saghir, S.; Tulain, U.R.; Saleem, U.; Nasir, M.; Kanwal, F.; Hayat Malik, M.N. Acute toxicity studies of a novel excipient arabinoxylan isolated from Ispaghula (Plantago ovata) husk. Drug Chem. Toxicol. 2015, 38, 300–305. [Google Scholar] [CrossRef]
- Halim, S.; Abdullah, N.; Afzan, A.; Rashid, B.A.; Jantan, I.; Ismail, Z. Acute toxicity study of Carica papaya leaf extract in Sprague Dawley rats. J. Med. Plants Res. 2011, 5, 1867–1872. [Google Scholar]
- Corti, G.; Cirri, M.; Maestrelli, F.; Mennini, N.; Mura, P. Sustained-release matrix tablets of metformin hydrochloride in combination with triacetyl-β-cyclodextrin. Eur. J. Pharm. Biopharm. 2008, 68, 303–309. [Google Scholar] [CrossRef] [PubMed]
- Pahade, M.A.A.; Jadhav, V.M.; Kadam, V. Formulation and development of a bilayer sustained released tablets of isosorbide mononitrate. Stud. Int. J. Pharm. Bio Sci. 2010, 8, 9. [Google Scholar]
- Ray, D.; Prusty, A.K. Designing and in-vitro studies of gastric floating tablets of tramadol hydrochloride. Int. J. Appl. Pharm. 2010, 2, 12–16. [Google Scholar]
- Erum, S.; Hassan, F.; Hasan, S.M.F.; Jabeen, S. Formulation of aspirin tablets using fewer excipients by direct compression. Pak. J. Pharm. 2011, 28, 31–37. [Google Scholar]
- Zhao, N.; Augsburger, L.L. Functionality comparison of 3 classes of superdisintegrants in promoting aspirin tablet disintegration and dissolution. AAPS PharmSciTech 2005, 6, E634–E640. [Google Scholar] [CrossRef] [PubMed]
- El-Kamel, A.; Sokar, M.; Naggar, V.; Al Gamal, S. Chitosan and sodium alginate—Based bioadhesive vaginal tablets. AAPS PharmSci 2002, 4, 224–230. [Google Scholar] [CrossRef]
- Kumari, S.D.C.; Tharani, C.; Narayanan, N.; Kumar, C.S. Formulation and characterization of Methotrexate loaded sodium alginate chitosan Nanoparticles. Indian J. Res. Pharm. Biotechnol. 2013, 1, 915. [Google Scholar]
- Saxena, A.; Tewari, G.; Saraf, S.A. Formulation and evaluation of mucoadhesive buccal patch of acyclovir utilizing inclusion phenomenon. Braz. J. Pharm. Sci. 2011, 47, 887–897. [Google Scholar] [CrossRef]
- Hanif, M.; Zaman, M. Thiolation of arabinoxylan and its application in the fabrication of controlled release mucoadhesive oral films. Daru J. Pharm. Sci. 2017, 25, 6. [Google Scholar] [CrossRef]
- Kajdič, S.; Vrečer, F.; Kocbek, P. Preparation of poloxamer-based nanofibers for enhanced dissolution of carvedilol. Eur. J. Pharm. Sci. 2018, 117, 331–340. [Google Scholar] [CrossRef]
- Han, H.; Li, Y.; Peng, Z.; Long, K.; Zheng, C.; Wang, W.; Webster, T.J.; Ge, L. A Soluplus/Poloxamer 407-based self-nanoemulsifying drug delivery system for the weakly basic drug carvedilol to improve its bioavailability. Nanomed. Nanotechnol. Biol. Med. 2020, 27, 102199. [Google Scholar] [CrossRef]
- Bernkop-Schnürch, A.; Scholler, S.; Biebel, R.G. Development of controlled drug release systems based on thiolated polymers. J. Control. Release 2000, 66, 39–48. [Google Scholar] [CrossRef]
- Bernkop-Schnürch, A.; Egger, C.; Imam, M.E.; Krauland, A.H. Preparation and in vitro characterization of poly (acrylic acid)–cysteine microparticles. J. Control. Release 2003, 93, 29–38. [Google Scholar] [CrossRef]
- Giuliano, E.; Paolino, D.; Cristiano, M.C.; Fresta, M.; Cosco, D. Rutin-Loaded Poloxamer 407-Based Hydrogels for In Situ Administration: Stability Profiles and Rheological Properties. Nanomedicine 2020, 10, 1069. [Google Scholar]
- Zaman, M.; Hanif, M.; Sultana, K. Synthesis of thiolated arabinoxylan and its application as sustained release mucoadhesive film former. Biomed. Mater. 2018, 13, 025019. [Google Scholar] [CrossRef]
- Giuliano, E.; Paolino, D.; Fresta, M.; Cosco, D. Drug-loaded biocompatible nanocarriers embedded in poloxamer 407 hydrogels as therapeutic formulations. Medicines 2019, 6, 7. [Google Scholar] [CrossRef]
- Zaman, M.; Bajwa, R.I.; Saeed, S.; Hussain, M.A.; Hanif, M. Synthesis and characterization of thiol modified beta cyclodextrin, its biocompatible analysis and application as a modified release carrier of ticagrelor. Biomed. Mater. 2020, 16, 015023. [Google Scholar] [CrossRef]








| Ingredients | F1 (PLX) (mg) | F2 (TPLX) (mg) |
|---|---|---|
| TCM | 4 | 4 |
| Polymer | 45 | 45 |
| PVP k-30 | 7.5 | 7.5 |
| Mg-Stearate | 1.5 | 1.5 |
| Talc | 1.5 | 1.5 |
| Aspartame | 3 | 3 |
| Avicel pH 102 | 87 | 87 |
| Parameters | PLX ± S.D | TPLX ± S.D |
|---|---|---|
| Solubility | Soluble | Soluble |
| pH (1% Solution) | 7.85 ± 0.04 | 6.68 ± 0.02 |
| Loss on drying (%) | 1.4 ± 0.03 | 11.2 ± 0.04 |
| Parameters | PLX ± S.D (n = 5) | TPLX ± S.D (n = 5) |
|---|---|---|
| Bulk Density (g/cm3) | 0.466 ± 0.002 | 0.505 ± 0.003 |
| Tapped Density (g/cm3) | 0.523 ± 0.002 | 0.566 ± 0.001 |
| Hausner’s Ratio | 1.16 ± 0.017 | 1.15 ± 0.013 |
| Carr’s Index (%) | 10.9 ± 0.0215 | 10.7 ± 0.020 |
| Angle of Repose (°) | 25.78 ± 0.09 | 21.80 ± 0.201 |
| Sr. No | Animals Group Test | Group 1 | Group 2 | Group 3 |
|---|---|---|---|---|
| 1 | Clinical observations | Nil | Nil | Nil |
| Body weight (g) | ||||
| 1st day | 152 | 153 | 175 | |
| 3rd day | 14 | 145 | 174 | |
| 7th day | 149 | 148 | 174 | |
| 14th day | 150 | 151 | 175 | |
| 2 | Hematology (Hb (g/dL) (10–15 g/dL) | 12.6 | 13.4 | 14.2 |
| Total WBCs (×103 µL) | 8.7 | 7.8 | 9.6 | |
| RBC’s (×106 µL) | 7.11 | 6.56 | 6.7 | |
| Platelets (×103 µL) | 691 | 740 | 934 | |
| 3 | Blood chemistry | |||
| Liver profile | ||||
| AST (U/L) | 111 | 134 | 148 | |
| ALT (U/L) | 35 | 39 | 40 | |
| ALP2S (U/L) | 128.2 | 127.1 | 129 | |
| Bilirubin(mg/dL) | 0.05 | 0.05 | 0.04 | |
| Total protein (g/dL) | 6.2 | 5.4 | 6.4 | |
| Renal profile | ||||
| Urea (mg/dL) | 25 | 28 | 25 | |
| Creatinine (mg/dL) | 0.4 | 0.3 | 0.3 |
| Organ(s) | Control (g) | PLX (g) | TPLX (g) |
|---|---|---|---|
| Heart | 0.411 | 0.417 | 0.413 |
| Liver | 3.690 | 3.751 | 3.735 |
| Kidney | 0.406 | 0.399 | 0.393 |
| Post-Compression Studies | F1 | F2 |
|---|---|---|
| Diameter (mm) | 1.1 ± 0.086 | 1.1 ± 0.073 |
| Thickness (mm) | 0.5 ± 0.009 | 0.6 ± 0.147 |
| Weight Variation (%) | Within Limit (±10%) | Within Limit (±10%) |
| Hardness (N) | 4.1–4.25 ± 0.234 | 4.1–4.26 ± 0.132 |
| Friability (%) | 0.34 ± 0.006 | 0.35 ± 0.005 |
| Disintegration Test (min) | 9 ± 0.07 | 10 ± 0.08 |
| Drug Content (%) | 95.89 ± 1.22 | 97.46 ± 1.85 |
| Kinetic Models | F1 (PLX) | F2 (TPLX) |
|---|---|---|
| Zero Order (R2) | 0.8935 | 0.9157 |
| First Order (R2) | 0.7904 | 0.760 |
| Higuchi Model (R2) | 0.8037 | 0.6878 |
| Korsmeyer Peppas Model (R2) (n) | 0.9723 | 0.9816 |
| n = 0.61 | n = 0.65 |
| Formulations | F1 | F2 |
|---|---|---|
| Mucoadhesion Strength (N) | 0.99 ± 0.39 | 2.95 ± 0.35 |
| Tukey’s Multiple Comparison Test | Mean Diff. | Significant | Summary | p-Value |
|---|---|---|---|---|
| TPLX vs. PLX | 11.97 | Yes | *** | <0.0001 |
| TPLX vs. MP | 14.97 | Yes | *** | <0.0001 |
Publisher’s Note: MDPI stays neutral with regard to jurisdictional claims in published maps and institutional affiliations. |
© 2021 by the authors. Licensee MDPI, Basel, Switzerland. This article is an open access article distributed under the terms and conditions of the Creative Commons Attribution (CC BY) license (https://creativecommons.org/licenses/by/4.0/).
Share and Cite
Zaman, M.; Saeed, S.; Imtiaz Bajwa, R.; Shafeeq Ur Rahman, M.; Rahman, S.U.; Jamshaid, M.; Rasool, M.F.; Majeed, A.; Imran, I.; Alqahtani, F.; et al. Synthesis and Evaluation of Thiol-Conjugated Poloxamer and Its Pharmaceutical Applications. Pharmaceutics 2021, 13, 693. https://doi.org/10.3390/pharmaceutics13050693
Zaman M, Saeed S, Imtiaz Bajwa R, Shafeeq Ur Rahman M, Rahman SU, Jamshaid M, Rasool MF, Majeed A, Imran I, Alqahtani F, et al. Synthesis and Evaluation of Thiol-Conjugated Poloxamer and Its Pharmaceutical Applications. Pharmaceutics. 2021; 13(5):693. https://doi.org/10.3390/pharmaceutics13050693
Chicago/Turabian StyleZaman, Muhammad, Sadaf Saeed, Rabia Imtiaz Bajwa, Muhammad Shafeeq Ur Rahman, Saeed Ur Rahman, Muhammad Jamshaid, Muhammad F. Rasool, Abdul Majeed, Imran Imran, Faleh Alqahtani, and et al. 2021. "Synthesis and Evaluation of Thiol-Conjugated Poloxamer and Its Pharmaceutical Applications" Pharmaceutics 13, no. 5: 693. https://doi.org/10.3390/pharmaceutics13050693
APA StyleZaman, M., Saeed, S., Imtiaz Bajwa, R., Shafeeq Ur Rahman, M., Rahman, S. U., Jamshaid, M., Rasool, M. F., Majeed, A., Imran, I., Alqahtani, F., Alshehri, S., AlAsmari, A. F., Ali, N., & Alasmari, M. S. (2021). Synthesis and Evaluation of Thiol-Conjugated Poloxamer and Its Pharmaceutical Applications. Pharmaceutics, 13(5), 693. https://doi.org/10.3390/pharmaceutics13050693

