Three-Dimensional Printing of Curcumin-Loaded Biodegradable and Flexible Scaffold for Intracranial Therapy of Glioblastoma Multiforme
Abstract
1. Introduction
2. Materials and Methods
2.1. Materials
2.2. Preparation of Curcumin-Loaded PCL Films via Solvent Casting
2.3. Hot-Melt Extrusion (HME) of Curcumin-Loaded PCL Filaments
2.4. Fused Deposition Modelling (FDM) 3D Printing of Curcumin-Loaded Scaffolds
2.5. Scanning Electron Microscopy (SEM)
2.6. Photoacoustic Fourier-Transform Infrared Spectroscopy (Pa-FTIR)
2.7. X-ray Diffraction (XRD)
2.8. Thermal Analysis
2.9. Mechanical Properties of Scaffolds
2.10. HPLC Analysis of Curcumin
2.11. Assay of Curcumin Loading in PCL Scaffolds
2.12. In Vitro Drug Release and Degradation Study
2.13. In Vitro Anticancer Activity of Curcumin-Loaded PCL Scaffolds
2.13.1. Cell Culture and Maintenance
2.13.2. Cytotoxicity Study
3. Results and Discussion
3.1. FDM Printing of Curcumin-Loaded Scaffolds
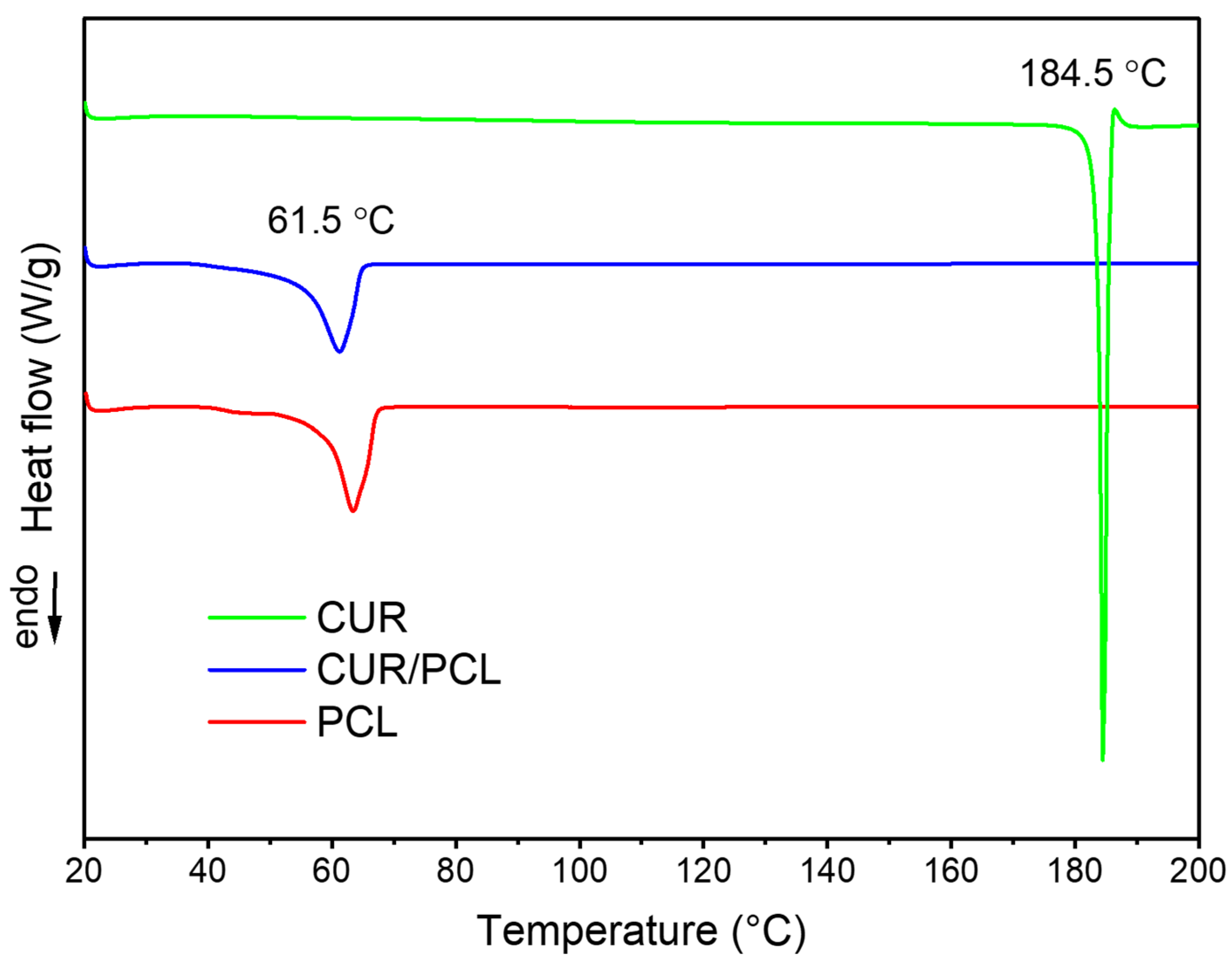
3.2. Characterisations of 3D Printed Scaffolds
3.3. Assay of Curcumin Loading in PCL Scaffolds
3.4. In Vitro Drug Release and Degradation Study
3.4.1. The Effect of Drug Loading on Drug Release
3.4.2. The Effect of Geometry on Drug Release
3.4.3. In Vitro Degradation Study
3.5. In Vitro Anticancer Activity of Curcumin-Loaded PCL Scaffolds
4. Conclusions
Author Contributions
Funding
Institutional Review Board Statement
Informed Consent Statement
Data Availability Statement
Acknowledgments
Conflicts of Interest
References
- Haar, C.P.; Hebbar, P.; Wallace, G.C.; Das, A.; Vandergrift, W.A.; Smith, J.A.; Giglio, P.; Patel, S.J.; Ray, S.K.; Banik, N.L. Drug Resistance in Glioblastoma: A Mini Review. Neurochem. Res. 2012, 37, 1192–1200. [Google Scholar] [CrossRef] [PubMed]
- Shapira-Furman, T.; Serra, R.; Gorelick, N.; Doglioli, M.; Tagliaferri, V.; Cecia, A.; Peters, M.; Kumar, A.; Rottenberg, Y.; Langer, R.; et al. Biodegradable wafers releasing Temozolomide and Carmustine for the treatment of brain cancer. J. Control. Release 2019, 295, 93–101. [Google Scholar] [CrossRef]
- Allhenn, D.; Boushehri, M.A.S.; Lamprecht, A. Drug delivery strategies for the treatment of malignant gliomas. Int. J. Pharm. 2012, 436, 299–310. [Google Scholar] [CrossRef] [PubMed]
- Yang, Y.; Du, T.; Zhang, J.; Kang, T.; Luo, L.; Tao, J.; Gou, Z.; Chen, S.; Du, Y.; He, J.; et al. A 3D-Engineered Conformal Implant Releases DNA Nanocomplexs for Eradicating the Postsurgery Residual Glioblastoma. Adv. Sci. 2017, 4, 1600491. [Google Scholar] [CrossRef] [PubMed]
- Bastiancich, C.; Danhier, P.; Préat, V. Anticancer drug-loaded hydrogels as drug delivery systems for the local treatment of glioblastoma. J. Control. Release 2016, 243, 29–42. [Google Scholar] [CrossRef]
- Dixit, S.; Hingorani, M.; Achawal, S.; Scott, I. The sequential use of carmustine wafers (Gliadel®) and post-operative radiotherapy with concomitant temozolomide followed by adjuvant temozolomide: A clinical review. Br. J. Neurosurg. 2011, 25, 459–469. [Google Scholar] [CrossRef] [PubMed]
- Bota, D.A.; Desjardins, A.; Quinn, J.A.; Affronti, M.L.; Friedman, H.S. Interstitial chemotherapy with biodegradable BCNU (Gliadel®) wafers in the treatment of malignant gliomas. Ther. Clin. Risk Manag. 2007, 3, 707–715. [Google Scholar]
- Fung, L.K.; Saltzman, W. Polymeric implants for cancer chemotherapy. Adv. Drug Deliv. Rev. 1997, 26, 209–230. [Google Scholar] [CrossRef]
- Hosseinzadeh, R.; Mirani, B.; Pagan, E.; Mirzaaghaei, S.; Nasimian, A.; Kawalec, P.; da Silva Rosaet, S.C.; Hamdi, S.; Fernanadez, N.P.; Toyota, B.D.; et al. A Drug-Eluting 3D-Printed Mesh (GlioMesh) for Management of Glioblastoma. Adv. Ther. 2019, 2, 1900113. [Google Scholar] [CrossRef]
- Axpe, E.; Orive, G.; Franze, K.; Appel, E.A. Towards brain-tissue-like biomaterials. Nat. Commun. 2020, 11, 1–4. [Google Scholar] [CrossRef]
- Lee, J.; Cho, H.R.; Cha, G.D.; Seo, H.; Lee, S.; Park, C.-K.; Kim, J.W.; Qiao, S.; Wang, L.; Kang, D.; et al. Flexible, sticky, and biodegradable wireless device for drug delivery to brain tumors. Nat. Commun. 2019, 10, 5205. [Google Scholar] [CrossRef]
- Lopez, D.R.S.; Carda, J.R.; Fernandez-Garcia, R.; Perez-Ballesteros, L.F.; Papantonakis, M.P.B.; Lalatsa, K. Market demands in 3D printing pharmaceuticals products. In 3D Printing Technology in Nanomedicine; Elsevier: Amsterdam, The Netherlands, 2019. [Google Scholar]
- Exner, A.A.; Saidel, G.M. Drug-eluting polymer implants in cancer therapy. Expert Opin. Drug Deliv. 2008, 5, 775–788. [Google Scholar] [CrossRef]
- Wolinsky, J.B.; Colson, Y.L.; Grinstaff, M.W. Local drug delivery strategies for cancer treatment: Gels, nanoparticles, polymeric films, rods, and wafers. J. Control. Release 2012, 159, 14–26. [Google Scholar] [CrossRef]
- Lim, S.H.; Kathuria, H.; Tan, J.J.Y.; Kang, L. 3D printed drug delivery and testing systems—A passing fad or the future? Adv. Drug Deliv. Rev. 2018, 132, 139–168. [Google Scholar] [CrossRef]
- Farmer, Z.-L.; Domínguez-Robles, J.; Mancinelli, C.; Larrañeta, E.; Lamprou, D.A. Urogynecological surgical mesh implants: New trends in materials, manufacturing and therapeutic approaches. Int. J. Pharm. 2020, 585, 119512. [Google Scholar] [CrossRef]
- Ballard, D.H.; Tappa, K.; Boyer, C.J.; Jammalamadaka, U.; Hemmanur, K.; Weisman, J.A.; Alexander, J.S.; Mills, D.K.; Woodard, P.K. Antibiotics in 3D-printed implants, instruments and materials: Benefits, challenges and future directions. J. 3D Print. Med. 2019, 3, 83–93. [Google Scholar] [CrossRef]
- Tappa, K.; Jammalamadaka, U.; Ballard, D.H.; Bruno, T.; Israel, M.R.; Vemula, H.; Meacham, J.M.; Mills, D.K.; Woodard, P.K.; Weisman, J.A. Medication eluting devices for the field of OBGYN (MEDOBGYN): 3D printed biodegradable hormone eluting constructs, a proof of concept study. PLoS ONE 2017, 12, e0182929. [Google Scholar] [CrossRef] [PubMed]
- Malikmammadov, E.; Tanir, T.E.; Kiziltay, A.; Hasirci, V.; Hasirci, N. PCL and PCL-based materials in biomedical applications. J. Biomater. Sci. Polym. Ed. 2018, 29, 863–893. [Google Scholar] [CrossRef] [PubMed]
- Parikh, A.; Kathawala, K.; Song, Y.; Zhou, X.-F.; Garg, S. Curcumin-loaded self-nanomicellizing solid dispersion system: Part I: Development, optimization, characterization, and oral bioavailability. Drug Deliv. Transl. Res. 2018, 8, 1389–1405. [Google Scholar] [CrossRef] [PubMed]
- Alok, A.; Singh, I.D.; Singh, S.; Kishore, M.; Jha, P.C. Curcumin—Pharmacological Actions and its Role in Oral Submucous Fibrosis: A Review. J. Clin. Diagn. Res. 2015, 9, ZE01–ZE03. [Google Scholar] [CrossRef]
- Ammon, H.P.; Wahl, M.A. Pharmacology of Curcuma longa. Planta Med. 1991, 57, 1–7. [Google Scholar] [CrossRef]
- Mimeault, M.; Batra, S.K. Potential applications of curcumin and its novel synthetic analogs and nanotechnology-based formulations in cancer prevention and therapy. Chin. Med. 2011, 6, 31. [Google Scholar] [CrossRef]
- Zanotto-Filho, A.; Braganhol, E.; Edelweiss, M.I.; Behr, G.A.; Zanin, R.; Schröder, R.; Simões-Pires, A.; Battastini, A.M.O.; Moreira, J.C.F. The curry spice curcumin selectively inhibits cancer cells growth in vitro and in preclinical model of glioblastoma. J. Nutr. Biochem. 2012, 23, 591–601. [Google Scholar] [CrossRef]
- Klinger, N.V.; Mittal, S. Therapeutic Potential of Curcumin for the Treatment of Brain Tumors. Oxidative Med. Cell. Longev. 2016, 2016, 9324085. [Google Scholar] [CrossRef]
- Shabaninejad, Z.; Pourhanifeh, M.H.; Movahedpour, A.; Mottaghi, R.; Nickdasti, A.; Mortezapour, E.; Shafiee, A.; Hajighadimi, S.; Moradizarmehri, S.; Sadeghian, M.; et al. Therapeutic potentials of curcumin in the treatment of glioblstoma. Eur. J. Med. Chem. 2020, 188, 112040. [Google Scholar] [CrossRef] [PubMed]
- Cole, G.M.; Teter, B.; Frautschy, S.A. Neuroprotective effects of curcumin. Mol. Targets Ther. Uses Curcumin Health Dis. 2007, 595, 197–212. [Google Scholar]
- Gutierres, V.O.; Campos, M.L.; Arcaro, C.A.; Assis, R.P.; Baldan-Cimatti, H.M.; Peccinini, R.G.; Paula-Gomes, S.; Kettelhut, I.C.; Baviera, A.M.; Brunetti, I.L. Curcumin Pharmacokinetic and Pharmacodynamic Evidences in Streptozotocin-Diabetic Rats Support the Antidiabetic Activity to Be via Metabolite(s). Evid. Based Complement. Altern. Med. 2015, 2015, 678218. [Google Scholar] [CrossRef] [PubMed]
- Ahmadi Nasab, N.; Hassani Kumleh, H.; Beygzadeh, M.; Teimourian, S.; Kazemzad, M. Delivery of curcumin by a pH-responsive chitosan mesoporous silica nanoparticles for cancer treatment. Artif. Cells Nanomed. Biotechnol. 2018, 46, 75–81. [Google Scholar] [CrossRef]
- Potter, K.A.; Jorfi, M.; Householder, K.T.; Foster, E.J.; Weder, C.; Capadona, J.R. Curcumin-releasing mechanically adaptive intracortical implants improve the proximal neuronal density and blood–brain barrier stability. Acta Biomater. 2014, 10, 2209–2222. [Google Scholar] [CrossRef]
- Guo, G.; Fu, S.; Zhou, L.; Liang, H.; Fan, M.; Luo, F.; Qian, Z.; Wei, Y. Preparation of curcumin loaded poly(ε-caprolactone)-poly(ethylene glycol)-poly(ε-caprolactone) nanofibers and their in vitro antitumor activity against Glioma 9L cells. Nanoscale 2011, 3, 3825–3832. [Google Scholar] [CrossRef]
- Kumar, A.; Ahuja, A.; Ali, J.; Baboota, S. Curcumin-loaded lipid nanocarrier for improving bioavailability, stability and cytotoxicity against malignant glioma cells. Drug Deliv. 2016, 23, 214–229. [Google Scholar] [CrossRef]
- Goyanes, A.; Martinez, P.R.; Buanz, A.; Basit, A.W.; Gaisford, S. Effect of geometry on drug release from 3D printed tablets. Int. J. Pharm. 2015, 494, 657–663. [Google Scholar] [CrossRef] [PubMed]
- Huang, Y.; Dan, N.; Dan, W.; Zhao, W. Reinforcement of Polycaprolactone/Chitosan with Nanoclay and Controlled Release of Curcumin for Wound Dressing. ACS Omega 2019, 4, 22292–22301. [Google Scholar] [CrossRef]
- Verma, D.; Katti, K.; Katti, D. Experimental investigation of interfaces in hydroxyapatite/polyacrylic acid/polycaprolactone composites using photoacoustic FTIR spectroscopy. J. Biomed. Mater. Res. Part A 2006, 77, 59–66. [Google Scholar] [CrossRef]
- Mangolim, C.S.; Moriwaki, C.; Nogueira, A.C.; Sato, F.; Baesso, M.L.; Neto, A.M.; Matioli, G. Curcumin–β-cyclodextrin inclusion complex: Stability, solubility, characterisation by FT-IR, FT-Raman, X-ray diffraction and photoacoustic spectroscopy, and food application. Food Chem. 2014, 153, 361–370. [Google Scholar] [CrossRef]
- Abdelrazek, E.; Hezma, A.; El-Khodary, A.; Elzayat, A. Spectroscopic studies and thermal properties of PCL/PMMA biopolymer blend. Egypt. J. Basic Appl. Sci. 2016, 3, 10–15. [Google Scholar] [CrossRef]
- Fukushima, K.; Tabuani, D.; Camino, G. Nanocomposites of PLA and PCL based on montmorillonite and sepiolite. Mater. Sci. Eng. C 2009, 29, 1433–1441. [Google Scholar] [CrossRef]
- Kaewnopparat, N.; Kaewnopparat, S.; Jangwang, A.; Maneenaun, D.; Chuchome, T.; Panichayupakaranant, P. Increased solubility, dissolution and physicochemical studies of curcumin-polyvinylpyrrolidone K-30 solid dispersions. World Acad. Sci. Eng. Technol. 2009, 55, 229–234. [Google Scholar]
- Tan, Q.; Wu, J.-Y.; Li, Y.; Mei, H.; Zhao, C.; Zhang, J. A supermolecular curcumin for enhanced antiproliferative and proapoptotic activities: Molecular characteristics, computer modeling andin vivopharmacokinetics. Nanotechnology 2012, 24, 035102. [Google Scholar] [CrossRef]
- Averous, L.; Moro, L.; Dole, P.; Fringant, C. Properties of thermoplastic blends: Starch–polycaprolactone. Polymer 2000, 41, 4157–4167. [Google Scholar] [CrossRef]
- Sadeghianmaryan, A.; Yazdanpanah, Z.; Soltani, Y.A.; Sardroud, H.A.; Nasirtabrizi, M.H.; Chen, X. Curcumin-loaded electrospun polycaprolactone/montmorillonite nanocomposite: Wound dressing application with anti-bacterial and low cell toxicity properties. J. Biomater. Sci. Polym. Ed. 2020, 31, 169–187. [Google Scholar] [CrossRef]
- Varshney, S.K.; Hnojewyi, O.; Zhang, J.; Rivelli, P. Polyanhydride Polymers and Their Uses in Biomedical Devices. U.S. Patent No. 7,674,285, 9 March 2010. [Google Scholar]
- Veronin, M.A.; Nutan, M.T.; Dodla, U.K.R. Quantification of active pharmaceutical ingredient and impurities in sildenafil citrate obtained from the Internet. Ther. Adv. Drug Saf. 2014, 5, 180–189. [Google Scholar] [CrossRef] [PubMed]
- Mondal, D.; Griffith, M.; Venkatraman, S. Polycaprolactone-based biomaterials for tissue engineering and drug delivery: Current scenario and challenges. Int. J. Polym. Biomater. 2016, 65, 255–265. [Google Scholar] [CrossRef]
- Tsuji, H.; Ishizaka, T. Porous biodegradable polyesters. II. Physical properties, morphology, and enzymatic and alkaline hydrolysis of porous poly (ϵ-caprolactone) films. J. Appl. Polym. Sci. 2001, 80, 2281–2291. [Google Scholar] [CrossRef]














| Loading Rate | Curcumin (g) | PCL (g) | THF (mL) |
|---|---|---|---|
| 1% | 0.5299 | 49.535 | 250 |
| 3% | 1.5106 | 48.463 | 250 |
| 5% | 2.5254 | 47.512 | 250 |
| 7% | 7.0945 | 92.150 | 500 |
| Parameters | Value |
|---|---|
| Printing temperature | 130 °C |
| Build plate temperature | 45 °C |
| Printing speed | 20 mm/s |
| Flow | 120% |
| Layer height | 0.1 mm |
| Parameter | Honeycomb (0.1 mm) | Honeycomb (0.2 mm) | Honeycomb (0.4 mm) | Triangle (0.2 mm) | Square 1 (0.2 mm) | Square 2 (0.2 mm) |
|---|---|---|---|---|---|---|
| Surface area (mm2) | 4287.13 | 4637.45 | 5338.09 | 5766.47 | 6371.84 | 4425.6 |
| Volume (mm3) | 196.84 | 393.68 | 787.36 | 497.77 | 544.77 | 367.2 |
| S:V ratio | 21.78 | 11.78 | 6.78 | 11.58 | 11.70 | 12.05 |
| Scaffold | Thickness (mm) | Tensile Strength (Mpa) | Elongation at Break (%) | Toughness (MJ/m3) | Tensile Modulus (Mpa) |
|---|---|---|---|---|---|
| Blank honeycomb | 0.2 | 6.72 ± 0.72 | 586.65 ± 30.65 | 28.02 ± 3.89 | 0.87 ± 0.16 |
| 7% honeycomb | 0.2 | 6.80 ± 0.49 | 657.96 ± 38.11 | 30.45 ± 3.62 | 0.78 ± 0.08 |
| 7% honeycomb | 0.4 | 6.60 ± 0.16 | 700.28 ± 32.55 | 33.64 ± 1.56 | 0.80 ± 0.04 |
| 7% honeycomb | 0.1 | 5.09 ± 0.99 | 611.90 ± 38.43 | 19.95 ± 4.43 | 0.44 ± 0.12 |
| 7% Triangle | 0.2 | 7.18 ± 0.60 | 437.86 ± 63.05 | 21.71 ± 4.18 | 0.96 ± 0.03 |
| 7% Square 1 | 0.2 | 12.28 ± 0.57 | 660.57 ± 92.09 | 57.20 ± 8.88 | 1.79 ± 0.08 |
| 7% Square 2 | 0.2 | 6.44 ± 0.59 | 641.55 ± 93.34 | 24.53 ± 4.20 | 0.72 ± 0.19 |
| Theoretical Drug Loading | Theoretical Amount of Curcumin (mg) ± SD | Percentage Recovery (%) | Practical Drug Loading |
|---|---|---|---|
| 1.0% | 0.22 ± 0.01 | 97.4 ± 3.2 | 1.0% |
| 2.9% | 0.60 ± 0.04 | 91.1 ± 2.4 | 2.6% |
| 5.0% | 1.27 ± 0.01 | 91.6 ± 1.4 | 4.5% |
| 6.8% | 1.67 ± 0.07 | 102.9 ± 1.3 | 7.0% |
| Group | Parameter | Biexponential | Monoexponential | Higuchi | Niebergull | Hixcon-Crowell | Weibull |
|---|---|---|---|---|---|---|---|
| 1% | Equation | 1 − Q = 0.8392e−0.09022t + 0.1029e−0.00013t | ln(1 − Q) = −0.0122t − 0.7801 | Q = 0.0616t1/2 + 0.272 | (1 − Q)1/2 = −0.0032t + 0.7128 | (1 − Q)1/3 = −0.0026t + 0.7896 | lnln(1/1 − Q) = 0.5677 lnt − 1.7174 |
| R2 | 0.9997 | 0.6348 | 0.7450 | 0.5828 | 0.6001 | 0.9384 | |
| 3% | Equation | 1 − Q = 0.8132e−0.08696t + 0.1623e−0.00013t | ln(1 − Q) = −0.0094t − 0.6488 | Q = 0.0600t1/2 + 0.2265 | (1 − Q)1/2 = −0.0028t + 0.7512 | (1 − Q)1/3 = −0.0022t + 0.8198 | lnln(1/1 − Q) = 0.5724 lnt − 1.9534 |
| R2 | 0.9987 | 0.5972 | 0.7416 | 0.5631 | 0.5745 | 0.926 | |
| 5% | Equations | 1 − Q = 0.9019e−0.08392t + 0.07276e−0.00013t | ln(1 − Q) = −0.0144t − 0.7972 | Q = 0.0672t1/2 + 0.2408 | (1 − Q)1/2 = −0.0036t + 0.7170 | (1-Q)1/3 = −0.0030t + 0.7906 | lnln(1/1 − Q) = 0.6431 lnt − 1.9379 |
| R2 | 0.9988 | 0.6452 | 0.7488 | 0.589 | 0.6076 | 0.9409 | |
| 7% | Equations | 1 − Q = 0.8558e−0.07196t + 0.1289e−0.00013t | ln(1 − Q) = −0.0115t − 0.6068 | Q = 0.0667t1/2 + 0.1853 | (1 − Q)1/2 = −0.0033t + 0.7671 | (1 − Q)1/3 = −0.0026t + 0.8314 | lnln(1/1 − Q) = 0.6481 lnt − 2.2056 |
| R2 | 0.9992 | 0.6672 | 0.7797 | 0.6183 | 0.6347 | 0.9457 | |
| 0.1 mm | Equations | 1 − Q = 0.7630e−0.2701t + 0.0969e−0.00013t | ln(1 − Q) = −0.0083t − 1.3663 | Q = 0.0344t1/2 + 0.5676 | (1 − Q)1/2 = −0.0019t + 0.5389 | (1 − Q)1/3 = −0.0017t + 0.6529 | lnln(1/1 − Q) = 0.3225 lnt − 0.5232 |
| R2 | 0.9997 | 0.4436 | 0.5211 | 0.3911 | 0.4095 | 0.8181 | |
| 0.4 mm | Equations | 1 − Q = 0.8594e−0.04373t + 0.1339e−0.01136t | ln(1 − Q) = −0.0235t − 0.2619 | Q = 0.084t1/2 + 0.0615 | (1 − Q)1/2 = −0.0051t + 0.8425 | (1 − Q)1/3 = −0.0044t + 0.8952 | lnln(1/1 − Q) = 0.8916 lnt − 3.0397 |
| R2 | 0.9998 | 0.9605 | 0.8985 | 0.8457 | 0.8884 | 0.9954 | |
| Triangle | Equations | 1 − Q = 1.0588e−0.08433t + 0.0080e−0.00014t | ln(1 − Q) = −0.0631t − 0.8518 | Q = 0.0793t1/2 + 0.1954 | (1 − Q)1/2 = −0.0056t + 0.7015 | (1 − Q)1/3 = −0.0058t + 0.7715 | lnln(1/1 − Q) = 1.0786 lnt − 2.836 |
| R2 | 0.9972 | 0.8379 | 0.7467 | 0.6588 | 0.7269 | 0.9683 | |
| Square1 | Equations | 1 − Q = 1.0377e−0.07842t + 0.00034e−0.00012t | ln(1 − Q) = −0.0632t − 0.8478 | Q = 0.0794t1/2 + 0.192 | (1 − Q)1/2 = −0.0056t + 0.7067 | (1 − Q)1/3 = −0.0058t + 0.7292 | lnln(1/1 − Q) = 1.051 lnt − 2.7318 |
| R2 | 0.998 | 0.8355 | 0.7593 | 0.6666 | 0.7292 | 0.984 | |
| Square2 | Equations | 1 − Q = 0.9167e−0.07795t + 0.2587e−0.00012t | ln(1 − Q) = −0.0145t − 0.7127 | Q = 0.07t1/2 + 0.2044 | (1 − Q)1/2 = −0.0037t + 0.7402 | (1 − Q)1/3 = −0.0031t + 0.8091 | lnln(1/1 − Q) = 0.6912 lnt − 2.1859 |
| R2 | 0.9993 | 0.6779 | 0.7664 | 0.6145 | 0.6355 | 0.9452 |
| Time | 1 h | 4 h | 24 h |
|---|---|---|---|
| Theoretical Curcumin Loading | Concentration (µg/mL) | ||
| 1% | 1.56 ± 0.05 | 5.87 ± 0.12 | 12.29 ± 0.85 |
| 3% | 3.25 ± 0.07 | 17.68 ± 0.11 | 35.46 ± 1.38 |
| 5% | 8.93 ± 0.18 | 26.04 ± 0.49 | 69.78 ± 1.41 |
| 7% | 12.17 ± 0.43 | 39.43 ± 1.47 | 101.88 ± 4.86 |
Publisher’s Note: MDPI stays neutral with regard to jurisdictional claims in published maps and institutional affiliations. |
© 2021 by the authors. Licensee MDPI, Basel, Switzerland. This article is an open access article distributed under the terms and conditions of the Creative Commons Attribution (CC BY) license (https://creativecommons.org/licenses/by/4.0/).
Share and Cite
Li, R.; Song, Y.; Fouladian, P.; Arafat, M.; Chung, R.; Kohlhagen, J.; Garg, S. Three-Dimensional Printing of Curcumin-Loaded Biodegradable and Flexible Scaffold for Intracranial Therapy of Glioblastoma Multiforme. Pharmaceutics 2021, 13, 471. https://doi.org/10.3390/pharmaceutics13040471
Li R, Song Y, Fouladian P, Arafat M, Chung R, Kohlhagen J, Garg S. Three-Dimensional Printing of Curcumin-Loaded Biodegradable and Flexible Scaffold for Intracranial Therapy of Glioblastoma Multiforme. Pharmaceutics. 2021; 13(4):471. https://doi.org/10.3390/pharmaceutics13040471
Chicago/Turabian StyleLi, Ruixiu, Yunmei Song, Paris Fouladian, Mohammad Arafat, Rosa Chung, Jarrod Kohlhagen, and Sanjay Garg. 2021. "Three-Dimensional Printing of Curcumin-Loaded Biodegradable and Flexible Scaffold for Intracranial Therapy of Glioblastoma Multiforme" Pharmaceutics 13, no. 4: 471. https://doi.org/10.3390/pharmaceutics13040471
APA StyleLi, R., Song, Y., Fouladian, P., Arafat, M., Chung, R., Kohlhagen, J., & Garg, S. (2021). Three-Dimensional Printing of Curcumin-Loaded Biodegradable and Flexible Scaffold for Intracranial Therapy of Glioblastoma Multiforme. Pharmaceutics, 13(4), 471. https://doi.org/10.3390/pharmaceutics13040471

