Abstract
(1) Background: Aerosol delivery via high-flow nasal cannula (HFNC) has attracted increasing clinical interest. In vitro studies report that the ratio of HFNC gas flow to patient inspiratory flow (GF:IF) is a key factor in the efficiency of trans-nasal aerosol delivery. (2) Methods: In a randomized controlled trial, patients with a history of COPD or asthma and documented positive responses to inhaled bronchodilators in an outpatient pulmonary function laboratory were recruited. Subjects were randomized to receive inhalation at gas flow ratio settings of: GF:IF = 0.5, GF:IF = 1.0, or GF = 50 L/min. Subjects were assigned to inhale saline (control) followed by salbutamol via HFNC with cumulative doses of 0.5 mg, 1.5 mg, 3.5 mg, and 7.5 mg. Spirometry was performed at baseline and 10–12 min after each inhalation. (3) Results: 75 subjects (49 asthma and 26 COPD) demonstrating bronchodilator response were enrolled. Per the robust ATS/ERS criteria no difference was observed between flows, however using the criteria of post-bronchodilator forced expiratory volume in the first second (FEV1) reaching the screening post-bronchodilator FEV1 with salbutamol, a higher percentage of subjects receiving GF:IF = 0.5 met the criteria at a cumulative dose of 1.5 mg than those receiving GF:IF = 1.0, and GF = 50 L/min (64% vs. 29% vs. 27%, respectively, p = 0.011). Similarly at 3.5 mg (88% vs. 54% vs. 46%, respectively, p = 0.005). The effective dose at GF:IF = 0.5 was 1.5 mg while for GF = 50 L/min it was 3.5 mg. (4) Conclusions: During salbutamol delivery via HFNC, cumulative doses of 1.5 mg to 3.5 mg resulted in effective bronchodilation. Applying the robust ATS/ERS criteria no difference was observed between the flows, however using the more sensitive criteria of subjects reaching post screening FEV1 to salbutamol via HFNC, a higher number of subjects responded to the doses of 0.5 mg and 1.5 mg when HFNC gas flow was set at 50% of patient peak inspiratory flow.
1. Introduction
Due to evidence of improving oxygenation and avoiding intubation for patients with hypoxemic respiratory failure [1,2,3,4], high-flow nasal cannula (HFNC) has been broadly utilized [5]. This is attributed to gas flow that meets or exceeds the patient’s inspiratory flow, resulting in a constant fraction of inspired oxygen (FIO2) and some amount of positive airway pressure [3]. While the high gas flow washes out the dead space, work of breathing may decrease and carbon dioxide clearance may increase, the utilization of HFNC is expanded to patients with hypercapnic respiratory failure, including the use for acute exacerbation of chronic obstructive pulmonary disease (COPD) or asthma [6,7,8,9], for facilitating weaning from invasive ventilation [10], and for improving quality of life with domiciliary long-term use [11].
During HFNC therapy, patients may require inhaled bronchodilator or other medical aerosol therapy [5]. Placing the nebulizer over HFNC was shown to deliver little to no drug to patients [12] while discontinuing HFNC to use conventional aerosol devices may sacrifice the benefits of HFNC [13]. Similarly, placing metered-dose inhalers (MDI) and spacer over HFNC [14] or in-line with HFNC [15] are found to deliver only 1/6 to 1/3 of the inhaled dose delivered without HFNC. Both in vitro and in vivo testing have provided varying estimates of trans-nasal HFNC aerosol delivery efficiency at different flows and breathing patterns [16,17,18,19,20,21,22,23], leaving questions as to what inhaled drug doses might be used.
Short-acting bronchodilators such as albuterol are commonly used to treat patients with COPD and asthma, both at home and in the acute care setting. The standard for identifying responses to short-acting bronchodilators is based on spirometry results. We previously reported a doubling dose titration study in subjects with stable mild to moderate COPD or asthma, to identify the cumulative dose required via HFNC to elicit standard bronchodilator response [19]. However, a single gas flow was used (15–20 L/min), which is lower than the 40–60 L/min commonly administered via HFNC in the emergency department or intensive care unit (ICU) [1,2,3,4,5] and potentially associated with reduced aerosol delivery [16,17,18].
Indeed, in vitro, the ratio of HFNC gas flow to patient peak inspiratory flow (GF:IF) was found to play a key role in the trans-nasal aerosol delivery efficiency. When aerosolized medication is delivered via HFNC, gas flow higher than patient inspiratory flow causes waste of medication and creates turbulent flows in the airways, resulting in reduced aerosol delivery to the lung [13]. The inhaled dose distal to the trachea increases as the ratio decreases, with efficiency peaking at HFNC gas flow settings around 50% of patient inspiratory flow (GF:IF = 0.5) [16]. In vitro, the inhaled dose with GF:IF = 0.5 was observed to be 2–4 folds higher than that with higher gas flows, however, clinical evidence is lacking [16]. This finding raises the question of how nominal doses loaded in the nebulizer might be adjusted to elicit a patient response to aerosol bronchodilators administered with different gas flow settings.
To better understand how HFNC flow impacts inhaled bronchodilator dose required to induce bronchodilation and confirm that GF:IF ratio may reduce dosing requirements, we conducted a randomized controlled trial to investigate the minimally effective inhaled bronchodilator dose at various GF:IF ratios. Considering the efficient aerosol delivery at GF:IF = 0.5 via HFNC, we proposed that more patients in the group of GF:IF = 0.5 would respond to bronchodilator at low doses (0.5 mg and 1.5 mg) via HFNC.
2. Materials and Methods
This study was approved by the ethic committees of the People’s Liberation Army General Hospital, Beijing, China (No.S2018-200-02, approved on 29 November 2018) and Rush University, Chicago, IL, US (No.19041201-IRB01, approved on 10 July 2019). It was registered with ClinicalTrials.gov, accessed on 10 October 2021 (NCT03739359). The study protocol was also published [24].
2.1. Study Population
Stable patients with COPD or asthma with positive results in the standard bronchodilator test per ATS/ERS (American Thoracic Society/European Respiratory Society) standards were recruited at an outpatient pulmonary function test (PFT) laboratory at People’s Liberation Army General Hospital. Positive response for the bronchodilator test was defined as the forced expiratory volume in the first second (FEV1) increased by ≥12% with an absolute change of ≥200 mL from baseline [25], after inhaling 400 mcg salbutamol (Ventolin, GSK, UK) from a metered-dose inhaler (MDI) with a valved holding chamber (VHC, OptiChamber Diamond, Philips, Parsippany, NJ, USA).
Subjects were excluded if meeting any of the following criteria: age ≥ 90 years; pregnancy; pulmonary exacerbation within two weeks; lack of informed consent; inability to complete the follow-up spirometry after each bronchodilator inhalation; resting heart rate > 100 bpm; resting systolic blood pressure > 160 mmHg or diastolic blood pressure > 110 mmHg.
2.2. Study Procedures
Following qualifying screening spirometry, and a minimum of 24 h wash out period, subjects returned to the PFT laboratory to participate in the study. Bronchodilator treatment was withheld for required periods prior to study [24,25]. After the consent form was signed, subjects were randomized (sequentially numbered, sealed, opaque envelopes containing the treatment assignment) to three HFNC gas flows (50 L/min, GF:IF = 1.0, and GF:IF = 0.5). The randomization was stratified by disease (COPD or asthma) with a block size of six. The PFT technician who performed spirometry tests was blinded for the randomization. To ensure the quality of the test, all the tests were performed by the same PFT technician using the same calibrated spirometer.
Peak inspiratory flow was measured during quiet tidal breathing prior to forced vital capacity measurement during baseline spirometry, then subjects were instructed to inhale 0.9% normal saline (Siyao Ltd., Shijiazhuang, China) (2 mL) followed by salbutamol at an escalating doubling dose sequence (0.5 mg, 1.0 mg, 2.0 mg and 4.0 mg diluted in a constant 2 mL volume) via a vibrating mesh nebulizer (VMN, Aerogen Solo, Aerogen Ltd., Galway, Ireland), which was placed at the inlet of the humidifier chamber (MR850, Fisher & Paykel Healthcare, Auckland, New Zealand) of the HFNC circuit (Fisher & Paykel Healthcare), VMN was placed on the dry side of the humidifier due to the higher inhaled dose and the lower condensate deposited in the circuit compared to placement close to the patient [26]. Nasal cannula size (Fisher & Paykel Healthcare, Auckland, New Zealand) was chosen as less than 50% of the diameters of subjects’ nostrils. Nebulization duration ranged from 6 to 8 min to administer the 2-mL of drug volume, and nebulization was administered at an interval of ~20 min. During nebulization, subjects were instructed to breathe via the nose with the mouth closed. The assigned gas flow settings were confirmed by a mass flowmeter (TSI 4040, TSI Incorporated, Shoreview, Minnesota, USA) [24]. HFNC was removed after nebulization was completed. After 10–12 min rest, subjects repeated the forced vital capacity test. Inhalation was terminated if adverse events including tachycardia (a resting heart rate > 100 bpm), tremor, irregular heart rhythm, blood pressure (either systolic or diastolic) increase > 20% were observed or headache was reported.
2.3. Outcomes
The primary outcome was the rate of bronchodilation response with each of the three gas flows at each cumulative salbutamol dose. Positive response was determined by meeting any of the following criteria: (1) ATS/ERS criteria of positive bronchodilation response (see above) [25,27]; (2) absolute value of FEV1 post-dose inhalation via HFNC ≥ post-bronchodilator levels exhibited during screening with MDI + VHC [19]. The secondary outcome was the cumulative dose of salbutamol required with each HFNC flow setting inducing a positive bronchodilation response.
2.4. Sample Size Calculation
This study was a superiority study. With α level of 0.05, power (1−ß) of 80% and assuming 80% of subjects would respond to salbutamol at the cumulative dose of 1.5 mg with GF:IF = 0.5, compared to 40% with HFNC flow of 50 L/min, 25 subjects in each group and 75 in total needed to be included [24].
2.5. Data Collection
Demographic information (age, gender, height, weight, race, smoking history, diagnosis), baseline parameters during tidal breathing (tidal volume and peak inspiratory flow), and spirometry results before and after inhaling saline and salbutamol at each dose were recorded.
2.6. Statistical Analysis
Kolmogorov–Smirnov test was performed to evaluate the normality of distribution for continuous variables, which were presented as mean ± standard derivation (SD) or median and interquartile range (IQR) accordingly. One-way analysis of covariance (ANCOVA) was conducted to determine the difference among the three flow groups for changes in spirometry results, controlling for baseline variables. ANOVA was used to compare baseline variables among three flow conditions. Repeated measures ANOVA analysis was used to compare the differences in FEV1 increase with the different escalating bronchodilator doses among subjects receiving the same HFNC flow setting. Categorical variables were expressed as percentage and analyzed by Chi-square test. A two-sided p-value of <0.05 was considered statistically significant. Data analysis was performed with SPSS software (SPSS 23.0; IBM, Armonk, New York, NY, USA).
3. Results
From 7 February 2019 to 12 November 2019, 1098 patients demonstrating positive responses to bronchodilators in the PFT lab were screened. Most of the patients were excluded, due to: (1) The screening bronchodilator test was performed by other technicians or using another spirometer; (2) The patients were unavailable to return to the PFT lab to participate in the study on a separate day. Finally, 75 subjects were recruited with 25, 24 and 26 subjects assigned to receive HFNC flows of GF:IF = 0.5, GF:IF = 1.0 and GF = 50 L/min, respectively (Figure 1). A total of 49 subjects had asthma while 26 had COPD. Forty-eight (64%) subjects were male and 33 (44%) had a smoking history. No significant differences in age, gender, height, weight, pulmonary disease (asthma or COPD), smoking history, tidal volume and inspiratory flow were observed among the three groups (Table 1). No adverse events were reported.
Figure 1.
Study flowchart. GF, gas flow; IF, patient inspiratory flow; HFNC, high-flow nasal cannula; FEV1, forced expiratory volume in the first second.
Table 1.
Demographic information of patients in the three groups.
3.1. Bronchodilation Responses after Inhaling Salbutamol via HFNC
All recruited subjects completed testing; results are shown in Table 2. Using the ATS/ERS criteria for positive bronchodilation response [25,27], 44% of subjects receiving GF:IF = 0.5 met the criteria after inhaling the initial salbutamol dose of 0.5 mg compared to 25% and 27% of patients receiving GF:IF = 1.0 and GF = 50 L/min (p = 0.286), respectively. After receiving the higher 1.5 mg dose, 64% of patients responded with the GF:IF = 0.5, a proportion similar to those receiving GF:IF = 1.0 and GF = 50 L/m (58% and 42%, respectively, p = 0.271). In contrast, applying the criteria of post-bronchodilator FEV1 via HFNC return to screening post-bronchodilator level [19], a higher percentage of subjects receiving GF:IF = 0.5 met the criteria at the cumulative dose of 1.5 mg than those receiving GF:IF = 1.0 and GF = 50 L/min (64% vs. 29% vs. 27%, p = 0.011), and of 3.5 mg (88% vs. 54% vs. 46%, respectively, p = 0.005). A higher percentage of subjects receiving GF:IF = 0.5 met both criteria at the cumulative dose of 1.5 mg than the two other flows.
Table 2.
Bronchodilation responses after inhaling salbutamol via HFNC among three groups.
3.2. FEV1 and FVC Changes after Inhaling Salbutamol via MDI + VHC and via HFNC at Different Doses
Table 3 shows the changes of FEV1 and FVC after inhaling salbutamol via MDI with VHC and the changes of FEV1 after inhaling saline and salbutamol at different doses via HFNC.
Table 3.
The changes of FEV1 after inhaling salbutamol via MDI with VHC and after inhaling saline and salbutamol at different doses via HFNC.
Since the inhalation of 400 mcg salbutamol via MDI + VHC during screening is the standard dose to elicit validated standard bronchodilation effect, the screening post-bronchodilator FEV1 was assumed to represent the validated standard FEV1 target that each subject achieved during screening [19,24] Using the screening post-bronchodilator FEV1 to calculate the difference between previously observed FEV1 and post-bronchodilator FEV1 at each dose via HFNC, the difference was smaller in subjects receiving GF:IF = 0.5 than those receiving GF:IF = 1.0 and GF = 50 L/min at the cumulative dose of 0.5 mg (−98 ± 107 vs. −241 ± 215 vs. −272 ± 277 mL, p = 0.020) and 1.5 mg (2 ± 94 vs. −140 ± 198 vs. −140 ± 192 mL, p = 0.008) (Figure 2).
Figure 2.
The difference of post-screening FEV1 and FEV1 after inhaling saline and salbutamol via HFNC at different nominal doses in three groups. FEV1 post-MDI + VHC was deemed the highest observed FEV1 for individual patients. Using the difference between the post-screening FEV1 and each FEV1 after inhaling saline and salbutamol via HFNC at different nominal doses to compare among three groups (ANOVA test), no significant difference was found after inhaling saline. While at the cumulative doses of 0.5 mg and 1.5 mg, the difference from post-screening FEV1 in the group of GF:IF = 0.5 was smaller than the other two groups, this difference became nonsignificant at the cumulative doses of 3.5 mg and 7.5 mg. Scheme 0. had a smaller FEV1 difference than GF = 50 L/min after inhaling salbutamol of 0.5 mg (p = 0.023) and 1.5 mg (p = 0.018) while no significant differences were found between GF:IF = 1.0 and GF = 50 L/min. FEV1, forced expiratory volume in the first second; HFNC, high-flow nasal cannula; MDI, metered dose inhaler; VHC, valved holding chamber; GF, gas flow; IF, inspiratory flow.
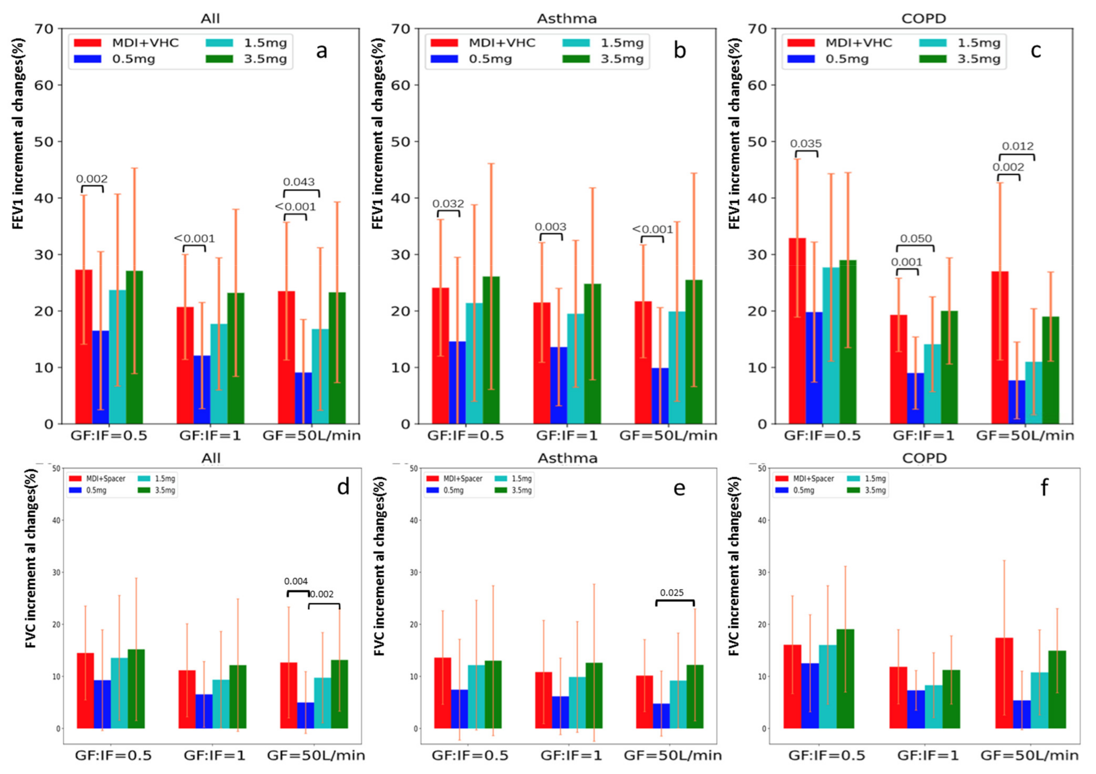
Compared to the FEV1 improvement with MDI + VHC at screening, the FEV1 improvement with salbutamol via HFNC at 0.5 mg was lower in all three flow groups, however, this difference became nonsignificant at the cumulative dose of 1.5 mg with GF:IF = 0.5 and 1.0, and at the cumulative dose of 3.5 mg with GF = 50 L/min (Figure 3a). Thus the minimally effective dose for the both GF:IF = 0.5 and GF:IF = 1.0 was 1.5 mg, while 3.5 mg for GF = 50 L/min.
Figure 3.
FEV1 and FVC improvement after inhaling salbutamol during screening (MDI + VHC) and via HFNC at different nominal doses in three groups. Using the FEV1 improvement after inhaling salbutamol at each cumulative dose to compare that with screening (ANCOVA test), screening FEV1 post-salbutamol improvement was higher than FEV1 improvement after inhaling salbutamol at 0.5 mg via HFNC in all three groups, however, this difference became non-significant at the cumulative dose of 1.5 mg via HFNC, except for those receiving GF = 50 L/min, the difference became non-significant at the cumulative dose of 3.5 mg (a). For asthma subjects, the difference of FEV1 improvement from screening became non-significant at the cumulative dose of 1.5 mg for all three flows (b). In contrast, for COPD subjects, post-bronchodilator FEV1 improvement was similar at 1.5 mg only with flow of GF:IF = 0.5, the differences became insignificant at 3.5 mg with flows of GF:IF = 1.0 and GF = 50 L/min (c). Compared to FVC improvement salbutamol via MDI + VHC during screening, no significant differences of FVC improvement in the inhalation of all doses of salbutamol via HFNC, except for the lower improvement of FVC after inhaling 0.5 mg of salbutamol via HFNC in the group of GF = 50 L/min (p = 0.004) (d). Similar responses in FVC for asthma (e) and COPD (f) subjects. HFNC, high-flow nasal cannula; FEV1, forced expiratory volume in the first second; MDI, metered dose inhaler; VHC, valved holding chamber; GF, gas flow; IF, inspiratory flow; COPD, chronic obstructive pulmonary disease; FVC, forced vital capacity.
Compared to the FVC improvement with MDI + VHC at screening, the FVC improvement was not significantly different with salbutamol via HFNC at all the doses (0.5 mg, 1.5 mg and 3.5 mg) in the three flow groups, except it was lower in the group of GF = 50 L/min at 0.5 mg (Figure 3d).
3.3. Other Spirometry Results of Inhaling Salbutamol at Different Doses
After inhaling salbutamol via HFNC at 0.5 mg, subjects’ PEF, FEF25, and FEF25–75 significantly increased in all three groups, compared to inhaling saline (Figure 4). However, these variables did not change significantly with the cumulative dose of 1.5 mg with GF:IF = 0.5, in contrast to improvement with both GF:IF = 1.0 and GF = 50 L/min.
Figure 4.
The results of PEF, FEF25, and FEF25–75 after inhaling saline and salbutamol via HFNC at different nominal doses in three groups. In the group of GF:IF = 0.5, all the spirometry results were higher after inhaling salbutamol at 0.5 mg, compared to that with saline inhalation. However, in the groups of GF:IF = 1.0 and GF = 50 L/min, PEF, FEF25, FEF25–75 continued increasing after inhaling salbutamol via HFNC at the cumulative doses of 0.5 mg, 1.5 mg and 3.5 mg. HFNC, high-flow nasal cannula; GF, gas flow; IF, inspiratory flow; PEF, peak expiratory flow; FEF25, forced expiratory flow at 25% of forced vital capacity; FEF25–75, forced expiratory flow at 25% to 75% of forced vital capacity.
3.4. The Differences between Asthma and COPD Subjects at the Three HFNC Flows
For subjects with asthma, the effective dose was 1.5 mg for all three flows (Figure 3b). However, more subjects receiving GF:IF = 0.5 had their post-HFNC FEV1 return to the screen post-salbutamol FEV1 than the other subjects at cumulative doses of 1.5 mg (p = 0.047) and 3.5 mg (p = 0.002) (Table S1). For subjects with COPD, the effective dose was 1.5 mg for group of GF:IF = 0.5, while 3.5 mg for groups of GF:IF = 1.0 and GF = 50 L/min (Figure 3c). Moreover, FEV1 improvement at 0.5 mg was higher with GF:IF = 0.5 than the other flows (p = 0.040) (Table S2).
4. Discussion
This is the first randomized controlled trial to compare the effects of HFNC gas flow and patient peak inspiratory flows on response to transnasal bronchodilator delivery. We found that subjects receiving GF:IF = 0.5 responded to a lower cumulative doses than subjects receiving GF:IF = 1.0 and GF = 50 L/min. The effective dose to generate responses similar to baseline screening was 1.5 mg with GF:IF = 0.5 versus 3.5 mg when receiving GF = 50 L/min. These findings are consistent with our previous in vitro reports that aerosol delivery efficiency increased as GF:IF decreased to 0.5 [16].
The goal of this study was not to promote the use of HFNC for aerosol delivery to mild and moderate patients with COPD or asthma but to identify a dose level that provided a similar bronchodilator response in this patient population as the label dose. The label dose of albuterol and most other inhaled medications is mainly determined based on clinical trials performed on stable subjects with mild and moderate disease [28,29]. Consequently, this study was designed to identify an equivalent dose to achieve bronchodilator response when administering trans-nasal salbutamol via HFNC. During exacerbation, patients with COPD or asthma may require higher than the standard label salbutamol doses for treatment in the emergency room and ICU. Therefore, our reported dose levels to achieve bronchodilator response should be viewed as a starting dose. Additionally, this study validated the critical role of GF:IF concerning the efficiency of aerosol delivery via HFNC, which provides the supporting evidence to change clinical practice to titrate HFNC gas flow when aerosolized medication is delivered [22].
In a previous prospective study, of 42 stable COPD or asthma patients with similar screening criteria, 69% met ATS/ERS positive response criteria after inhaling a cumulative salbutamol dose of 1.5 mg via HFNC with the flow set at 15–20 L/min [19]. This is consistent with the 64% response at 1.5 mg in subjects receiving GF:IF = 0.5 representing a mean HFNC flow of 18.7 ± 3.9 L/min.
Among subjects receiving GF:IF = 0.5, baseline FEV1 prior to nebulization via HFNC (pre-HFNC) was higher than their own screening baseline. In contrast, baseline FEV1 pre-HFNC was lower than screening baseline in the other two groups, which required less improvement during nebulization via HFNC to meet the ATS/ERS positive response criteria than for subjects receiving GF:IF = 0.5. We previously identified this issue as a potential cause of bias based on our prior study [19] and added to the protocol identifying when FEV1 reached or exceeded the screening post bronchodilation reference value [24].
Using the ATS/ERS positive response criteria, we did not find significant differences in responders among the three flows tested. However, using the other criteria, the effective dose was 1.5 mg with GF:IF = 0.5, and 3.5 mg with GF = 50 L/min. Additionally, in subjects receiving GF:IF = 0.5, the spirometry results of PEF, FEF25, FEF25–75 stopped increasing after inhaling 0.5 mg salbutamol via HFNC. In contrast, the groups receiving GF:IF = 1.0 and GF = 50 L/min had significant improvements with increased dosing increments. (Figure 4).
The effective dose for subjects with asthma was 1.5 mg for all three flows, while the effective dose for COPD subjects was 1.5 mg with GF:IF = 0.5, and 3.5 mg for both GF:IF = 1.0 and GF = 50 L/min (Tables S1 and S2). This difference might be explained by the lower nominal dose needed to elicit an effective beta-agonist response for asthma subjects than COPD subjects. Fishwick and colleagues found 50 mcg of salbutamol via dry powder inhaler was able to achieve similar bronchodilation effects as 400 mcg in asthma subjects (FEV1 of 2.79 vs. 2.84 L) [28], while COPD patients’ FEV1 increased as the dose of salbutamol increased from 100 to 800 mcg [29]. In our study, COPD subjects receiving GF:IF = 0.5 required a lower cumulative dose to return FEV1 to screening levels can be explained in part by the higher trans-nasal delivery efficiency of aerosol at the lower flow [16,17,18,22].
Overall, these findings suggest that salbutamol dose of 1.5 mg to 3.5 mg provided effective doses depending on the HFNC flow applied, with little to no severe adverse events. Depending on the jurisdiction, standard salbutamol doses vary from 2.5 mg to 5.0 mg. A label dose of 5.0 mg should be sufficient for all stable patients receiving HFNC in the range of flows studied. As we only compared doses of 1.5 mg and 3.5 mg, it is unclear whether a unit dose of 2.5 mg would be sufficient as an effective dose at the higher flows studied. Future studies are needed to investigate if 2.5 mg is effective to elicit bronchodilation response at HFNC gas flow higher or equal to patient inspiratory flow, particularly among COPD subjects.
This is also the first study to assess the inspiratory flow for adult subjects with stable asthma and COPD before administration of HFNC. These subjects were not in acute distress or exacerbation phase in which HFNC might be more commonly utilized. Our findings of the average subject inspiratory flow of 35 L/min provides general guidance that 35–40 L/min should be the minimal flow via HFNC to avoid air entrainment in adults. Currently, no commercially available device can be used to monitor patient inspiratory flow breath-by-breath, our study provides practical suggestions on HFNC gas flow settings during trans-nasal aerosol delivery, titrating flow to 15–20 L/min for stable subjects and 25–30 L/min for subjects with distressed breathing could increase the delivery efficiency [13]. Notably, reducing flow to optimize aerosol delivery might cause desaturation and increase work of breathing, for subjects who rely on high gas flow and high oxygen concentration. For these patients, administration of small volumes of the solution may reduce dosing time to shorten the periods of flow reduction [13,30]. If the reduced flow is not tolerated, or long-term continuous inhalation is needed, a higher nominal dose might be necessary.
Limitations
The requirement to perform repeated forced expiratory maneuvers limited us to conduct the study among subjects with stable asthma and COPD. As the utilization of HFNC has been expanded to stable COPD subjects [11], this population may more directly benefit from our results. However, the primary indication of HFNC remains for patients with acute respiratory failure, whose breathing patterns and airway response might be different from stable subjects. Our findings may not be directly applied to those patients with acute respiratory failure, it still provides an important reference/guidance for future studies. The investigation on the effects of utilizing different gas flows to deliver inhaled medication for patients with acute respiratory failure is demanded, particularly their long-term outcomes, such as the need for respiratory support or length of hospital stay, etc. Secondly, patients with COPD and asthma responded to bronchodilators at different doses, future studies are needed to investigate the effective dose and responses for two patient populations separately. Thirdly, unlike the robust ATS/ERS positive response criteria for identifying response to bronchodilators, the second criterion we applied has not been validated but is intended to identify the physiologic situation after standard bronchodilator therapy by monitoring FEV1 change greater than or equal to the screening levels. It should be noted that this criterion is not ideal, however, the variation in patients’ baseline situation prior to bronchodilator administration is hard to control. Future studies with a larger sample size are needed to confirm our findings, using ATS/ERS positive response criteria. Lastly, we only evaluated bronchodilator delivery, future studies are needed to investigate other inhaled medication, such as inhaled antibiotics or steroids.
5. Conclusions
During HFNC in which gas flow met or exceeded inspiratory flow, cumulative salbutamol doses of 1.5 mg and 3.5 mg produced substantial bronchodilator response across the groups, suggesting that standard unit doses of salbutamol might prove an effective starting dose for patients receiving HFNC. Applying the robust ATS/ERS criteria, no difference was observed among different flows, however, using the more sensitive criteria of subjects reaching post-screening FEV1 to salbutamol via HFNC, a higher number of subjects responded to the doses of 0.5 mg and 1.5 mg when HFNC gas flow was set at 50% of patient peak inspiratory flow.
Supplementary Materials
The following are available online at https://www.mdpi.com/article/10.3390/pharmaceutics13101655/s1, Table S1, Bronchodilation responses after inhaling salbutamol via HFNC among three groups for asthma and COPD patients; Table S2, The comparisons of FEV1 changes after inhaling saline and salbutamol via HFNC at different accumulative doses in three groups.
Author Contributions
Conceptualization, J.L. and J.B.F.; methodology, J.L. and Y.C.; validation, J.L. and L.X.; formal analysis, J.L.; investigation, Y.C. and J.W.; resources, Y.C. and L.X.; data curation, Y.C. and J.W.; writing—original draft preparation, J.L.; writing—review and editing, S.E., J.B.F., Y.C. and L.X.; visualization, J.L. and Y.C.; supervision, L.X. and J.L.; project administration, Y.C., J.L. and L.X.; funding acquisition, L.X. All authors have read and agreed to the published version of the manuscript.
Funding
This research is funded by the National Center of Research on Clinical Geriatric Diseases, China (Project grant NCRCG-PLAGH-2017003) and China National Key Grant (2021YFC0122500). The funder had no role in the study design, data collection, analysis, preparation of the manuscript, or the decision to publish the findings.
Institutional Review Board Statement
This study was approved by ethic committees in People’s Liberation Army General Hospital, Beijing, China (approval No. S2018-200-02) and Rush University, Chicago, IL, US (approval No. 19041201-IRB01).
Informed Consent Statement
Informed consent was obtained from all subjects involved in the study.
Data Availability Statement
Data are available upon reasonable request. Proposals should be directed to the corresponding author.
Acknowledgments
We thank Rongshou Zheng, MPH from National Cancer Center, China to generate the randomization sequence for us and provide statistical consultation.
Conflicts of Interest
Li declares to receive research funding from Fisher & Paykel Healthcare Ltd., Aerogen Ltd., and Rice Foundation and lecture honorarium from AARC and Fisher & Paykel Healthcare Ltd. outside the submitted work. Fink is Chief Science Officer for Aerogen Pharma Corp. Ehrmann reports consultancies from Aerogen Ltd., research support from Aerogen Ltd., Fisher & Paykel healthcare, Hamilton medical, travel reimbursements from Aerogen Ltd. and Fisher & Paykel. The companies had no role in the study design, data collection, analysis, preparation of the manuscript, or the decision to publish the findings. Other authors have no conflicts to disclose.
References
- Rochwerg, B.; Granton, D.; Wang, D.X.; Helviz, Y.; Einav, S.; Frat, J.P.; Mekontso-Dessap, A.; Schreiber, A.; Azoulay, E.; Mercat, A.; et al. High flow nasal cannula compared with conventional oxygen therapy for acute hypoxemic respiratory failure: A systematic review and meta-analysis. Intensive Care Med. 2019, 45, 563–572. [Google Scholar] [CrossRef]
- Li, J.; Jing, G.Q.; Scott, J.B. Year in review 2019: High-flow nasal cannula (HFNC) oxygen therapy for adult patients. Respir. Care 2020, 65, 545–557. [Google Scholar] [CrossRef]
- Rochwerg, B.; Einav, S.; Chaudhuri, D.; Mancebo, J.; Mauri, T.; Helviz, Y.; Goligher, E.C.; Jaber, S.; Ricard, J.-D.; Rittayamai, N.; et al. The role for high flow nasal cannula as a respiratory support strategy in adults: A clinical practice guideline. Intensive Care Med. 2020, 46, 2226–2237. [Google Scholar] [CrossRef] [PubMed]
- Helviz, Y.; Einav, S. A Systematic Review of the High-flow Nasal Cannula for Adult Patients. Crit. Care 2018, 22, 71. [Google Scholar] [CrossRef]
- Li, J.; Tu, M.; Yang, L.; Jing, G.; Fink, J.B.; Burtin, C.; de Andrade, A.D.; Gong, L.; Xie, L.; Ehrmann, S. Worldwide Clinical Practice of High-Flow Nasal Cannula and Concomitant Aerosol Therapy in the Adult ICU Setting. Respir. Care 2021, 66, 1416–1424. [Google Scholar] [CrossRef] [PubMed]
- Li, X.Y.; Tang, X.; Wang, R.; Yuan, X.; Zhao, Y.; Wang, L.; Li, H.-C.; Chu, H.-W.; Li, J.; Mao, W.-P.; et al. High-flow nasal cannula for chronic obstructive pulmonary disease with acute compen-sated hypercapnic respiratory failure: A randomized, controlled trial. Int. J. Chron. Obstruct. Pulmon. Dis. 2020, 15, 3051–3061. [Google Scholar] [CrossRef] [PubMed]
- Huang, X.; Du, Y.; Ma, Z. High-flow nasal cannula oxygen versus conventional oxygen for hypercapnic chronic ob-structive pulmonary disease: A meta-analysis of randomized controlled trials. Clin. Respir. J. 2020, 15, 437–444. [Google Scholar] [CrossRef]
- Geng, W.; Batu, W.; You, S.; Tong, Z.; He, H. High-Flow Nasal Cannula: A Promising Oxygen Therapy for Patients with Severe Bronchial Asthma Complicated with Respiratory Failure. Can. Respir. J. 2020, 2020, 2301712. [Google Scholar] [CrossRef]
- Raeisi, S.; Fakharian, A.; Ghorbani, F.; Jamaati, H.R.; Mirenayat, M.S. Value and Safety of High Flow Oxygenation in the Treatment of Inpatient Asthma: A Randomized, Double-blind, Pilot Study. Iran. J. Allergy Asthma Immunol. 2020, 18, 615–623. [Google Scholar] [CrossRef]
- Jing, G.Q.; Li, J.; Hao, D. Comparison of high flow nasal cannula with noninvasive ventilation in chronic obstructive pulmonary disease patients with hypercapnia in preventing post extubation respiratory failure: A pilot randomized con-trolled trial. Res. Nurs. Health 2019, 42, 217–225. [Google Scholar] [CrossRef]
- Nagata, K.; Kikuchi, T.; Horie, T. Domiciliary high-flow nasal cannula oxygen therapy for patients with stable hy-percapnic chronic obstructive pulmonary disease. A multicenter randomized crossover trial. Ann. Am. Thorac. Soc. 2018, 15, 432–439. [Google Scholar] [CrossRef]
- Bennett, G.; Joyce, M.; Fernández, E.F.; MacLoughlin, R. Comparison of aerosol delivery across combinations of drug delivery interfaces with and without concurrent high-flow nasal therapy. Intensive Care Med. Exp. 2019, 7, 20. [Google Scholar] [CrossRef] [PubMed]
- Li, J.; Fink, J.B.; MacLoughlin, R.; Dhand, R. A narrative review on trans-nasal pulmonary aerosol delivery. Crit. Care 2020, 24, 506. [Google Scholar] [CrossRef] [PubMed]
- Alalwan, M.A.; Fink, J.B.; Ari, A. In Vitro evaluation of aerosol drug delivery with and without high flow nasal cannula in children. Pediatr. Pulmonol. 2019, 54, 1968–1973. [Google Scholar] [CrossRef] [PubMed]
- Szychowiak, P.; Gensburger, S.; Bocar, T.; Landel, C.; Philippe, M.; Le Pennec, D.; Cabrera, M.; Mordier, L.; Vecellio, L.; Reminiac, F.; et al. Pressurized Metered Dose Inhaler Aerosol Delivery Within Nasal High-Flow Circuits: A Bench Study. J. Aerosol Med. Pulm. Drug Deliv. 2021, 34. [Google Scholar] [CrossRef] [PubMed]
- Li, J.; Gong, L.; Fink, J.B. The Ratio of Nasal Cannula Gas Flow to Patient Inspiratory Flow on Trans-nasal Pulmonary Aerosol Delivery for Adults: An in Vitro Study. Pharmaceutics 2019, 11, 225. [Google Scholar] [CrossRef] [PubMed]
- Réminiac, F.; Vecellio, L.; Heuzé-Vourc’H, N.; Petitcollin, A.; Respaud, R.; Cabrera, M.; Le Pennec, D.; Diot, P.; Ehrmann, S. Aerosol Therapy in Adults Receiving High Flow Nasal Cannula Oxygen Therapy. J. Aerosol Med. Pulm. Drug Deliv. 2016, 29, 134–141. [Google Scholar] [CrossRef]
- Dailey, P.A.; Harwood, R.; Walsh, K.; Fink, J.B.; Thayer, T.; Gagnon, G.; Ari, A. Aerosol Delivery Through Adult High Flow Nasal Cannula With Heliox and Oxygen. Respir. Care 2017, 62, 1186–1192. [Google Scholar] [CrossRef]
- Li, J.; Zhao, M.; Hadeer, M.; Luo, J.; Fink, J.B. Dose Response to Transnasal Pulmonary Administration of Bronchodilator Aerosols via Nasal High-Flow Therapy in Adults with Stable Chronic Obstructive Pulmonary Disease and Asthma. Respiration 2019, 98, 401–409. [Google Scholar] [CrossRef] [PubMed]
- Bräunlich, J.; Wirtz, H. Oral Versus Nasal High-Flow Bronchodilator Inhalation in Chronic Obstructive Pulmonary DiseaseNotation of prior abstract notification: Parts of the results were presented at ATS congress in 2017 as a thematic poster presentation. J. Aerosol Med. Pulm. Drug Deliv. 2018, 31, 248–254. [Google Scholar] [CrossRef]
- Reminiac, F.; Vecellio, L.; Bodet-Contentin, L.; Gissot, V.; Le Pennec, D.; Gandonnière, C.S.; Cabrera, M.; Dequin, P.-F.; Plantier, L.; Ehrmann, S. Nasal high-flow bronchodilator nebulization: A randomized cross-over study. Ann. Intensive Care 2018, 8, 128. [Google Scholar] [CrossRef]
- Li, J.; Gurnani, P.K.; Roberts, K.M.; Fink, J.B.; Vines, D. The Clinical Impact of Flow Titration on Epoprostenol Delivery via High Flow Nasal Cannula for ICU Patients with Pulmonary Hypertension or Right Ventricular Dysfunction: A Retrospective Cohort Comparison Study. J. Clin. Med. 2020, 9, 464. [Google Scholar] [CrossRef] [PubMed]
- Li, J.; Harnois, L.J.; Markos, B. Epoprostenol delivered via high flow nasal cannula for ICU subjects with severe hy-poxemia comorbid with pulmonary hypertension or right heart dysfunction. Pharmaceutics 2019, 11, 281. [Google Scholar] [CrossRef]
- Li, J.; Luo, J.; Chen, Y. Effects of flow rate on trans-nasal pulmonary aerosol delivery of bronchodilators via high-flow nasal cannula for COPD and asthma patients: Protocol for a randomized controlled trial. BMJ Open 2019, 9, e028584. [Google Scholar] [CrossRef] [PubMed]
- Miller, M.R.; Hankinson, J.; Brusasco, V.; Burgos, F.; Casaburi, R.; Coates, A.; Crapo, R.; Enright, P.; Van Der Grinten, C.P.M.; Gustafsson, P.; et al. Standardisation of spirometry. Eur. Respir. J. 2005, 26, 319–338. [Google Scholar] [CrossRef] [PubMed]
- Li, J.; Wu, W.; Fink, J.B. In Vitro comparison between inspiration synchronized and continuous vibrating mesh nebulizer during trans-nasal aerosol delivery. Intensive Care Med. Exp. 2020, 8, 6–11. [Google Scholar] [CrossRef] [PubMed]
- Graham, B.L.; Steenbruggen, I.; Miller, M.R.; Barjaktarevic, I.Z.; Cooper, B.G.; Hall, G.L.; Hallstrand, T.S.; Kaminsky, D.A.; McCarthy, K.; McCormack, M.C.; et al. Standardization of Spirometry 2019 Update. An Official American Thoracic Society and European Respiratory Society Technical Statement. Am. J. Respir. Crit. Care Med. 2019, 200, e70–e88. [Google Scholar] [CrossRef] [PubMed]
- Fishwick, D.; Bradshaw, L.; Macdonald, C. Cumulative and single dose design to assess the bronchodilator effects of beta2-agonists in individuals with asthma. Am. J. Respir. Crit. Care Med. 2001, 163, 474–477. [Google Scholar] [CrossRef]
- Corda, L.; La Piana, G.; Bertella, E.; Taranto-Montemurro, L.; Pini, L.; Tantucci, C. Dose-response curve to salbutamol during acute and chronic treatment with formoterol in COPD. Int. J. Chronic Obstr. Pulm. Dis. 2011, 6, 399–405. [Google Scholar] [CrossRef][Green Version]
- Li, J.; Wu, W.; Fink, J.B. In Vitro comparison of unit dose versus infusion pump administration of albuterol via high-flow nasal cannula in toddlers. Pediatr. Pulmonol. 2020, 55, 322–329. [Google Scholar] [CrossRef]
Publisher’s Note: MDPI stays neutral with regard to jurisdictional claims in published maps and institutional affiliations. |
© 2021 by the authors. Licensee MDPI, Basel, Switzerland. This article is an open access article distributed under the terms and conditions of the Creative Commons Attribution (CC BY) license (https://creativecommons.org/licenses/by/4.0/).



