Design and Characterization of Ethosomes for Transdermal Delivery of Caffeic Acid
Abstract
1. Introduction
2. Materials and Methods
2.1. Materials
2.2. Caffeic Acid Solubility and Stability Evaluation
2.3. Ethosome Preparation
2.4. CA Content of Ethosomes and Encapsulation Efficiency Evaluation
2.5. Cryo-Transmission Electron Microscopy (Cryo-TEM)
2.6. Photon Correlation Spectroscopy (PCS)
2.7. X-Ray Scattering
2.8. Antioxidant Activity
2.9. Evaluation of Ethosome Stability
2.10. Gel Preparation
2.11. Rheological Measurements
2.12. Deformability Measurement
2.13. In Vitro Diffusion Experiments
2.14. HPLC Procedure
2.15. In Vitro Assessment of CA-Hydrogen Peroxide Reactions in Skin Using SCOE
3. Results and Discussion
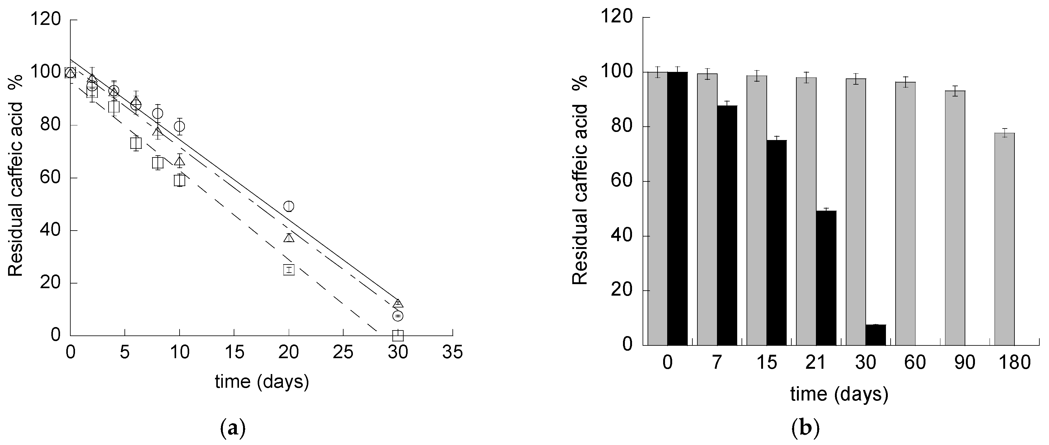
3.1. Caffeic Acid Solubility and Stability
3.2. Preparation of Ethosomes
3.3. Characterization of Ethosomes
3.4. Evaluation of CA Antioxidant Activity
3.5. Evaluation of CA-ETHO Stability
3.6. Ethosome Gel Preparation and Characterization
- (i)
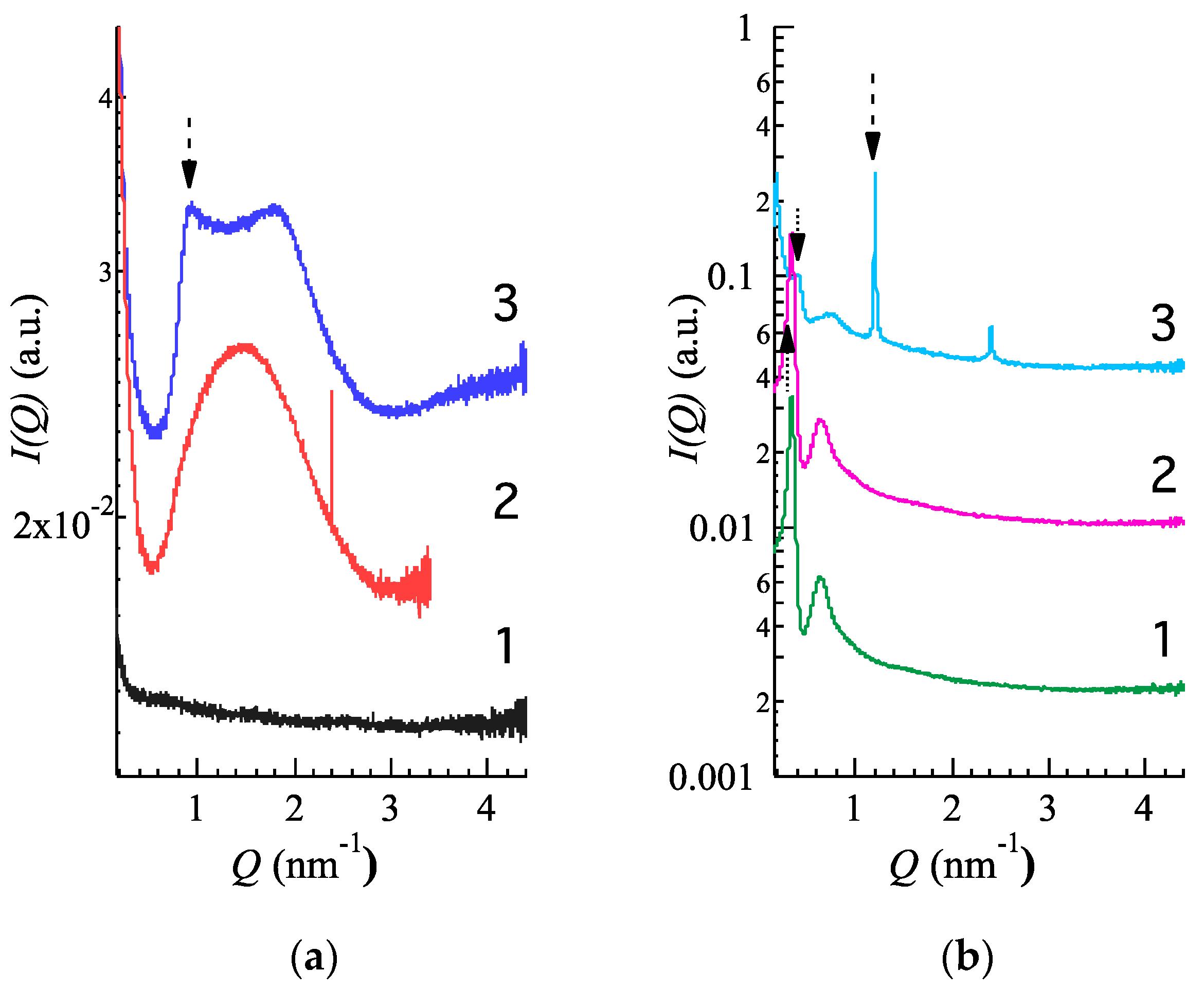
- The diffraction peaks of CA-ETHO-pol were narrower and more intense with respect to CA-ETHO (Figure 3a, profile 3), suggesting that the diffuse background between the Bragg peaks was no longer modulated by the bilayer form factor. Therefore, the addition of p407 strongly increased the positional correlations between adjacent PC bilayers.
- (ii)
- The repeat distance for CA-ETHO-pol appeared 5.20 nm, that is 1.7 nm minor than CA-ETHO, suggesting a diminished hydration of the bilayers.
- (iii)
- The 3D disordered cubic packing observed in CA-pol was maintained in the presence of ETHO, though the lattice constant was ≈15 nm, hence decreased of roughly 5 nm.
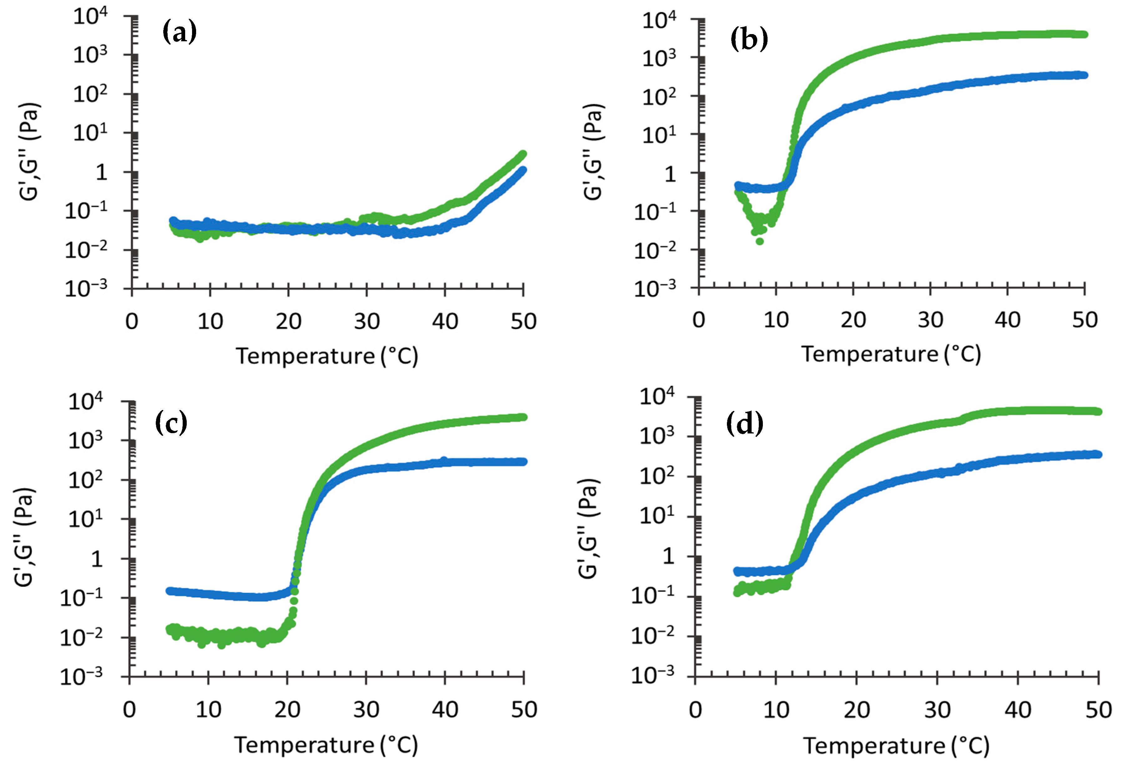
3.7. Rheological Study
3.8. Deformability Study
3.9. In Vitro CA Diffusion Kinetics
3.10. Ex-Vivo Evaluation of Permeation and Role of CA in Antioxidant Reactions in Skin
4. Conclusions
Supplementary Materials
Author Contributions
Funding
Acknowledgments
Conflicts of Interest
References
- Wu, J.H.; Cohen, B.A. The stigma of skin disease. Curr. Opin. Pediatrics 2019, 31, 509–514. [Google Scholar] [CrossRef] [PubMed]
- Boehncke, W.-H.; Schön, M.P. Psoriasis. Lancet 2015, 386, 983–994. [Google Scholar] [CrossRef]
- Eyerich, K.; Eyerich, S. Immune response patterns in non-communicable inflammatory skin diseases. J. Eur. Acad Dermatol. Venereol. 2018, 32, 692–703. [Google Scholar] [CrossRef] [PubMed]
- Leonardi, G.; Falzone, L.; Salemi, R.; Zangh�, A.; Spandidos, D.; Mccubrey, J.; Candido, S.; Libra, M. Cutaneous melanoma: From pathogenesis to therapy (Review). Int. J. Oncol. 2018. [Google Scholar] [CrossRef]
- Khan, F.A.; Maalik, A.; Murtaza, G. Inhibitory mechanism against oxidative stress of caffeic acid. J. Food Drug Anal. 2016, 24, 695–702. [Google Scholar] [CrossRef] [PubMed]
- Gulcin, I. Antioxidant activity of caffeic acid (3,4-dihydroxycinnamic acid). Toxicology 2006, 217, 213–220. [Google Scholar] [CrossRef]
- Valko, M.; Leibfritz, D.; Moncol, J.; Cronin, M.T.D.; Mazur, M.; Telser, J. Free radicals and antioxidants in normal physiological functions and human disease. Int. J. Biochem. Cell Biol. 2007, 39, 44–84. [Google Scholar] [CrossRef]
- Esposito, E.; Nastruzzi, C.; Sguizzato, M.; Cortesi, R. Nanomedicines to Treat Skin Pathologies with Natural Molecules. CPD 2019, 25, 2323–2337. [Google Scholar] [CrossRef]
- Działo, M.; Mierziak, J.; Korzun, U.; Preisner, M.; Szopa, J.; Kulma, A. The Potential of Plant Phenolics in Prevention and Therapy of Skin Disorders. IJMS 2016, 17, 160. [Google Scholar] [CrossRef]
- Prasad, N.R.; Jeyanthimala, K.; Ramachandran, S. Caffeic acid modulates ultraviolet radiation-B induced oxidative damage in human blood lymphocytes. J. Photochem. Photobiol. B Biol. 2009, 95, 196–203. [Google Scholar] [CrossRef]
- Kang, N.J.; Lee, K.W.; Shin, B.J.; Jung, S.K.; Hwang, M.K.; Bode, A.M.; Heo, Y.-S.; Lee, H.J.; Dong, Z. Caffeic acid, a phenolic phytochemical in coffee, directly inhibits Fyn kinase activity and UVB-induced COX-2 expression. Carcinogenesis 2008, 30, 321–330. [Google Scholar] [CrossRef]
- Nichols, J.A.; Katiyar, S.K. Skin photoprotection by natural polyphenols: Anti-inflammatory, antioxidant and DNA repair mechanisms. Arch Dermatol. Res. 2010, 302, 71–83. [Google Scholar] [CrossRef] [PubMed]
- Pinho, E.; Soares, G.; Henriques, M. Evaluation of antibacterial activity of caffeic acid encapsulated by β -cyclodextrins. J. Microencapsul. 2015, 32, 804–810. [Google Scholar] [CrossRef] [PubMed]
- Munin, A.; Edwards-Lévy, F. Encapsulation of Natural Polyphenolic Compounds; a Review. Pharmaceutics 2011, 3, 793–829. [Google Scholar] [CrossRef]
- Touitou, E.; Dayan, N.; Bergelson, L.; Godin, B.; Eliaz, M. Ethosomes—Novel vesicular carriers for enhanced delivery: Characterization and skin penetration properties. J. Control. Release 2000, 65, 403–418. [Google Scholar] [CrossRef]
- Abdulbaqi, I.M.; Darwis, Y.; Khan, N.A.K.; Assi, R.A.; Khan, A.A. Ethosomal nanocarriers: The impact of constituents and formulation techniques on ethosomal properties, in vivo studies, and clinical trials. Int. J. Nanomed. 2016, 11, 2279–2304. [Google Scholar] [CrossRef]
- Natsheh, H.; Vettorato, E.; Touitou, E. Ethosomes for Dermal Administration of Natural Active Molecules. CPD 2019, 25, 2338–2348. [Google Scholar] [CrossRef]
- Godin, B.; Touitou, E. Ethosomes: New prospects in transdermal delivery. Crit. Rev. Ther. Drug Carrier Syst. 2003, 20, 63–102. [Google Scholar] [CrossRef]
- Gollavilli, H.; Hegde, A.R.; Managuli, R.S.; Bhaskar, K.V.; Dengale, S.J.; Reddy, M.S.; Kalthur, G.; Mutalik, S. Naringin nano-ethosomal novel sunscreen creams: Development and performance evaluation. Colloids Surf. B Biointerfaces 2020, 193, 111122. [Google Scholar] [CrossRef]
- Zhang, Y.; Ng, W.; Hu, J.; Mussa, S.S.; Ge, Y.; Xu, H. Formulation and in vitro stability evaluation of ethosomal carbomer hydrogel for transdermal vaccine delivery. Colloids Surf. B Biointerfaces 2018, 163, 184–191. [Google Scholar] [CrossRef]
- Shen, L.-N.; Zhang, Y.-T.; Wang, Q.; Xu, L.; Feng, N.-P. Enhanced in vitro and in vivo skin deposition of apigenin delivered using ethosomes. Int. J. Pharm. 2014, 460, 280–288. [Google Scholar] [CrossRef] [PubMed]
- Sguizzato, M.; Mariani, P.; Spinozzi, F.; Benedusi, M.; Cervellati, F.; Cortesi, R.; Drechsler, M.; Prieux, R.; Valacchi, G.; Esposito, E. Ethosomes for Coenzyme Q10 Cutaneous Administration: From Design to 3D Skin Tissue Evaluation. Antioxidants 2020, 9, 485. [Google Scholar] [CrossRef] [PubMed]
- Artzner, F.; Geiger, S.; Olivier, A.; Allais, C.; Finet, S.; Agnely, F. Interactions between Poloxamers in Aqueous Solutions: Micellization and Gelation Studied by Differential Scanning Calorimetry, Small Angle X-ray Scattering, and Rheology. Langmuir 2007, 23, 5085–5092. [Google Scholar] [CrossRef] [PubMed]
- Sguizzato, M.; Valacchi, G.; Pecorelli, A.; Boldrini, P.; Simelière, F.; Huang, N.; Cortesi, R.; Esposito, E. Gallic acid loaded poloxamer gel as new adjuvant strategy for melanoma: A preliminary study. Colloids Surf. B Biointerfaces 2020, 185, 110613. [Google Scholar] [CrossRef]
- Eskandari, M.; Rembiesa, J.; Startaitė, L.; Holefors, A.; Valančiūtė, A.; Faridbod, F.; Ganjali, M.R.; Engblom, J.; Ruzgas, T. Polyphenol-hydrogen peroxide reactions in skin: In vitro model relevant to study ROS reactions at inflammation. Anal. Chim. Acta 2019, 1075, 91–97. [Google Scholar] [CrossRef]
- Nocchi, S.; Björklund, S.; Svensson, B.; Engblom, J.; Ruzgas, T. Electrochemical monitoring of native catalase activity in skin using skin covered oxygen electrode. Biosens. Bioelectron. 2017, 93, 9–13. [Google Scholar] [CrossRef]
- Hernández, A.R.; Vallejo, B.; Ruzgas, T.; Björklund, S. The Effect of UVB Irradiation and Oxidative Stress on the Skin Barrier—A New Method to Evaluate Sun Protection Factor Based on Electrical Impedance Spectroscopy. Sensors 2019, 19, 2376. [Google Scholar] [CrossRef]
- Bergantin, C.; Maietti, A.; Cavazzini, A.; Pasti, L.; Tedeschi, P.; Brandolini, V.; Marchetti, N. Bioaccessibility and HPLC-MS/MS chemical characterization of phenolic antioxidants in Red Chicory (Cichorium intybus). J. Funct. Foods 2017, 33, 94–102. [Google Scholar] [CrossRef]
- Permana, A.D.; Utami, R.N.; Courtenay, A.J.; Manggau, M.A.; Donnelly, R.F.; Rahman, L. Phytosomal nanocarriers as platforms for improved delivery of natural antioxidant and photoprotective compounds in propolis: An approach for enhanced both dissolution behaviour in biorelevant media and skin retention profiles. J. Photochem. Photobiol. B Biol. 2020, 205, 111846. [Google Scholar] [CrossRef]
- Weatherly, C.A.; Woods, R.M.; Armstrong, D.W. Rapid Analysis of Ethanol and Water in Commercial Products Using Ionic Liquid Capillary Gas Chromatography with Thermal Conductivity Detection and/or Barrier Discharge Ionization Detection. J. Agric. Food Chem. 2014, 62, 1832–1838. [Google Scholar] [CrossRef]
- Esposito, E.; Mariani, P.; Ravani, L.; Contado, C.; Volta, M.; Bido, S.; Drechsler, M.; Mazzoni, S.; Menegatti, E.; Morari, M.; et al. Nanoparticulate lipid dispersions for bromocriptine delivery: Characterization and in vivo study. Eur. J. Pharm. Biopharm. 2012, 80, 306–314. [Google Scholar] [CrossRef] [PubMed]
- Pecora, R. Dynamic Light Scattering Measurement of Nanometer Particles in Liquids. J. Nanoparticle Res. 2000, 2, 123–131. [Google Scholar] [CrossRef]
- Barbosa, L.R.S.; Ortore, M.G.; Spinozzi, F.; Mariani, P.; Bernstorff, S.; Itri, R. The Importance of Protein-Protein Interactions on the pH-Induced Conformational Changes of Bovine Serum Albumin: A Small-Angle X-Ray Scattering Study. Biophys. J. 2010, 98, 147–157. [Google Scholar] [CrossRef] [PubMed]
- Marinova, G.; Batchvarov, V. Evaluation of the methods for determination of the free radical scavenging activity by DPPH. Bulg. J. Agric. Sci. 2011, 17, 11–24. [Google Scholar]
- Singh Hallan, S.; Sguizzato, M.; Pavoni, G.; Baldisserotto, A.; Drechsler, M.; Mariani, P.; Esposito, E.; Cortesi, R. Ellagic Acid Containing Nanostructured Lipid Carriers for Topical Application: A Preliminary Study. Molecules 2020, 25, 1449. [Google Scholar] [CrossRef]
- Dhavamani, S.; Poorna Chandra Rao, Y.; Lokesh, B.R. Total antioxidant activity of selected vegetable oils and their influence on total antioxidant values in vivo: A photochemiluminescence based analysis. Food Chem. 2014, 164, 551–555. [Google Scholar] [CrossRef]
- Sguizzato, M.; Mariani, P.; Ferrara, F.; Drechsler, M.; Hallan, S.S.; Huang, N.; Simelière, F.; Khunti, N.; Cortesi, R.; Marchetti, N.; et al. Nanoparticulate Gels for Cutaneous Administration of Caffeic Acid. Nanomaterials 2020, 10, 961. [Google Scholar] [CrossRef]
- Esposito, E.; Ravani, L.; Contado, C.; Costenaro, A.; Drechsler, M.; Rossi, D.; Menegatti, E.; Grandini, A.; Cortesi, R. Clotrimazole nanoparticle gel for mucosal administration. Mater. Sci. Eng. C 2013, 33, 411–418. [Google Scholar] [CrossRef]
- Jain, S.; Tiwary, A.K.; Sapra, B.; Jain, N.K. Formulation and evaluation of ethosomes for transdermal delivery of lamivudine. AAPS PharmSciTech 2007, 8, 249. [Google Scholar] [CrossRef]
- Puglia, C.; Bonina, F.; Rizza, L.; Cortesi, R.; Merlotti, E.; Drechsler, M.; Mariani, P.; Contado, C.; Ravani, L.; Esposito, E. Evaluation of Percutaneous Absorption of Naproxen from Different Liposomal Formulations. J. Pharm. Sci. 2010, 99, 2819–2829. [Google Scholar] [CrossRef]
- Skin Membrane Preparation. Available online: https://play.mau.se/media/t/0_gr687s0v (accessed on 15 July 2020).
- Caffeic Acid | 331-39-5. Available online: https://www.chemicalbook.com/ChemicalProductProperty_EN_CB6281061.htm (accessed on 15 July 2020).
- Andreozzi, P.; Funari, S.S.; La Mesa, C.; Mariani, P.; Ortore, M.G.; Sinibaldi, R.; Spinozzi, F. Multi- to unilamellar transitions in catanionic vesicles. J. Phys. Chem. B 2010, 114, 8056–8060. [Google Scholar] [CrossRef] [PubMed][Green Version]
- Malekar, S.A.; Sarode, A.L.; Bach, A.C.; Worthen, D.R. The Localization of Phenolic Compounds in Liposomal Bilayers and Their Effects on Surface Characteristics and Colloidal Stability. AAPS PharmSciTech 2016, 17, 1468–1476. [Google Scholar] [CrossRef] [PubMed]
- Fathi, M.; Mirlohi, M.; Varshosaz, J.; Madani, G. Novel Caffeic Acid Nanocarrier: Production, Characterization, and Release Modeling. J. Nanomater. 2013, 2013, 1–9. [Google Scholar] [CrossRef]
- Dikmen, G.; Guney, G.; Genc, L. Characterization of solid lipid nanoparticles containing caffeic acid and determination of its effects on MCF-7 cells. Recent Pat. Anticancer Drug Discov. 2015, 10, 224–232. [Google Scholar] [CrossRef]
- Saija, A.; Tomaino, A.; Cascio, R.L.; Trombetta, D.; Proteggente, A.; Pasquale, A.D.; Uccella, N.; Bonina, F. Ferulic and caffeic acids as potential protective agents against photooxidative skin damage. J. Sci. Food Agric. 1999, 79, 476–480. [Google Scholar] [CrossRef]
- Scheller, S.; Dworniczak, S.; Pogorzelska, T.; Rajca, M.; Shani, J. Effect of Quercetin, Caffeic Acid and Caffeic Acid Phenylethyl Ester, Solubilized in Non-ionic Surfactants, on Histamine Release in vivo and in vitro. Arzneimittelforschung 2011, 50, 72–76. [Google Scholar] [CrossRef]
- Bendas, E.R.; Tadros, M.I. Enhanced transdermal delivery of salbutamol sulfate via ethosomes. AAPS PharmSciTech 2007, 8, 213. [Google Scholar] [CrossRef]
- Tanrıverdi, S.T.; Özer, Ö. Novel topical formulations of Terbinafine-HCl for treatment of onychomycosis. Eur. J. Pharm. Sci. 2013, 48, 628–636. [Google Scholar] [CrossRef]
- Xu, X.; Shen, Y.; Wang, W.; Sun, C.; Li, C.; Xiong, Y.; Tu, J. Preparation and in vitro characterization of thermosensitive and mucoadhesive hydrogels for nasal delivery of phenylephrine hydrochloride. Eur. J. Pharm. Biopharm. 2014, 88, 998–1004. [Google Scholar] [CrossRef]
- Dumortier, G.; El Kateb, N.; Sahli, M.; Kedjar, S.; Boulliat, A.; Chaumeil, J.C. Development of a Thermogelling Ophthalmic Formulation of Cysteine. Drug Dev. Ind. Pharm. 2006, 32, 63–72. [Google Scholar] [CrossRef]
- Elsayed, M.M.A.; Abdallah, O.Y.; Naggar, V.F.; Khalafallah, N.M. Deformable liposomes and ethosomes: Mechanism of enhanced skin delivery. Int. J. Pharm. 2006, 322, 60–66. [Google Scholar] [CrossRef] [PubMed]
- Joo, K.-I.; Xiao, L.; Liu, S.; Liu, Y.; Lee, C.-L.; Conti, P.S.; Wong, M.K.; Li, Z.; Wang, P. Crosslinked multilamellar liposomes for controlled delivery of anticancer drugs. Biomaterials 2013, 34, 3098–3109. [Google Scholar] [CrossRef] [PubMed]
- Nwosu, C.V.; Boyd, L.C.; Sheldon, B. Effect of fatty acid composition of phospholipids on their antioxidant properties and activity index. J. Am. Oil Chem. Soc. 1997, 74, 293–297. [Google Scholar] [CrossRef]
- Saito, H.; Ishihara, K. Antioxidant activity and active sites of phospholipids as antioxidants. J. Am. Oil Chem. Soc. 1997, 74, 1531–1536. [Google Scholar] [CrossRef]







| Formulation Code | PC 1 % w/w | Ethanol % w/w | P407 2 % w/w | Water % w/w | CA 3 % w/w |
|---|---|---|---|---|---|
| ETHO | 0.9 | 29.1 | - | 70 | - |
| CA-ETHO | 0.9 | 29.1 | - | 70 | 0.1 |
| pol 4 | - | - | 15 | 85 | - |
| CA-pol 5 | - | - | 15 | 84.95 | 0.05 |
| ETHO-pol 6 | 0.76 | 24.74 | 15 | 59.5 | - |
| CA-ETHO-pol 7 | 0.76 | 24.74 | 15 | 59.41 | 0.085 |
| Formulation Code | Time (Days) | Z Average (nm) ± s.d. | Dispersity Index ±s.d. |
|---|---|---|---|
| ETHO | 0 | 212.25 ± 14.10 | 0.12 ± 0.01 |
| 90 | 230.52 ± 25.30 | 0.14 ± 0.03 | |
| CA-ETHO | 0 | 218.65 ± 21.0 | 0.20 ± 0.02 |
| 90 | 235.45 ± 20.01 | 0.22 ± 0.03 | |
| ETHO-pol | 0 | 279.9 ± 24.30 | 0.16 ± 0.02 |
| 90 | 352.15 ± 42.01 | 0.23 ± 0.03 | |
| CA-ETHO-pol | 0 | 288.8 ± 35.50 | 0.24 ± 0.01 |
| 90 | 383.25 ± 47.12 | 0.26 ± 0.03 |
| Formulation Code | Vesicle Size 1 (nm) | Def 2 (mL/min) | Tsol-gel (°C) |
|---|---|---|---|
| ETHO | 109.13 ± 1.07 | 6.21 ± 0.52 | - |
| CA-ETHO | 116.80 ± 1.60 | 8.06 ± 0.46 | - |
| CA-pol | - | - | 21.87 ± 0.99 |
| ETHO-pol | 186.93 ± 17.66 | 0.61 ± 0.04 | 11.43 ± 0.47 |
| CA-ETHO-pol | 194.13 ± 9.71 | 0.40 ± 0.16 | 13.60 ± 2.13 |
| Formulation Code | F 1 ± s.d. (mg/cm2/h) | CA (mg/mL) | D 2 ± s.d. (cm/h) × 10−3 |
|---|---|---|---|
| CA-water | 108.77 ± 13.4 | 0.5 | 217.54 ± 26.8 |
| CA-pol | 28.70 ± 3.4 | 0.5 | 57.40 ± 6.8 |
| CA-ETHO | 1.59 ± 1.1 | 1 | 1.59 ± 1.1 |
| CA-ETHO-pol | 5.64 ± 2.4 | 0.85 | 6.63 ± 2.82 |
© 2020 by the authors. Licensee MDPI, Basel, Switzerland. This article is an open access article distributed under the terms and conditions of the Creative Commons Attribution (CC BY) license (http://creativecommons.org/licenses/by/4.0/).
Share and Cite
Hallan, S.S.; Sguizzato, M.; Mariani, P.; Cortesi, R.; Huang, N.; Simelière, F.; Marchetti, N.; Drechsler, M.; Ruzgas, T.; Esposito, E. Design and Characterization of Ethosomes for Transdermal Delivery of Caffeic Acid. Pharmaceutics 2020, 12, 740. https://doi.org/10.3390/pharmaceutics12080740
Hallan SS, Sguizzato M, Mariani P, Cortesi R, Huang N, Simelière F, Marchetti N, Drechsler M, Ruzgas T, Esposito E. Design and Characterization of Ethosomes for Transdermal Delivery of Caffeic Acid. Pharmaceutics. 2020; 12(8):740. https://doi.org/10.3390/pharmaceutics12080740
Chicago/Turabian StyleHallan, Supandeep Singh, Maddalena Sguizzato, Paolo Mariani, Rita Cortesi, Nicolas Huang, Fanny Simelière, Nicola Marchetti, Markus Drechsler, Tautgirdas Ruzgas, and Elisabetta Esposito. 2020. "Design and Characterization of Ethosomes for Transdermal Delivery of Caffeic Acid" Pharmaceutics 12, no. 8: 740. https://doi.org/10.3390/pharmaceutics12080740
APA StyleHallan, S. S., Sguizzato, M., Mariani, P., Cortesi, R., Huang, N., Simelière, F., Marchetti, N., Drechsler, M., Ruzgas, T., & Esposito, E. (2020). Design and Characterization of Ethosomes for Transdermal Delivery of Caffeic Acid. Pharmaceutics, 12(8), 740. https://doi.org/10.3390/pharmaceutics12080740

