Monovalent Lectin Microvirin Utilizes Hydropathic Recognition of HIV-1 Env for Inhibition of Virus Cell Infection
Abstract
1. Introduction
2. Materials and Methods
2.1. Reagents
2.2. Generation of MVN Mutants for Binding Studies
2.3. Expression and Purification of MVN, Its Mutants, and the gp120 Protein
2.4. Surface Plasmon Resonance Interaction Analysis
2.5. SPR Data Evaluation
2.6. Isothermal Titration Calorimetry (ITC) Binding Analysis of MVN and Its Mutants with gp120 Protein
2.7. Production and Characterization of YU2, Bal.01, and JRFL Pseudo-Typed Viruses
2.8. Pseudoviral Infection Inhibition Assay for MVN Fusions
2.9. Competition of 2G12 by MVN and Its Mutational Variants
3. Results
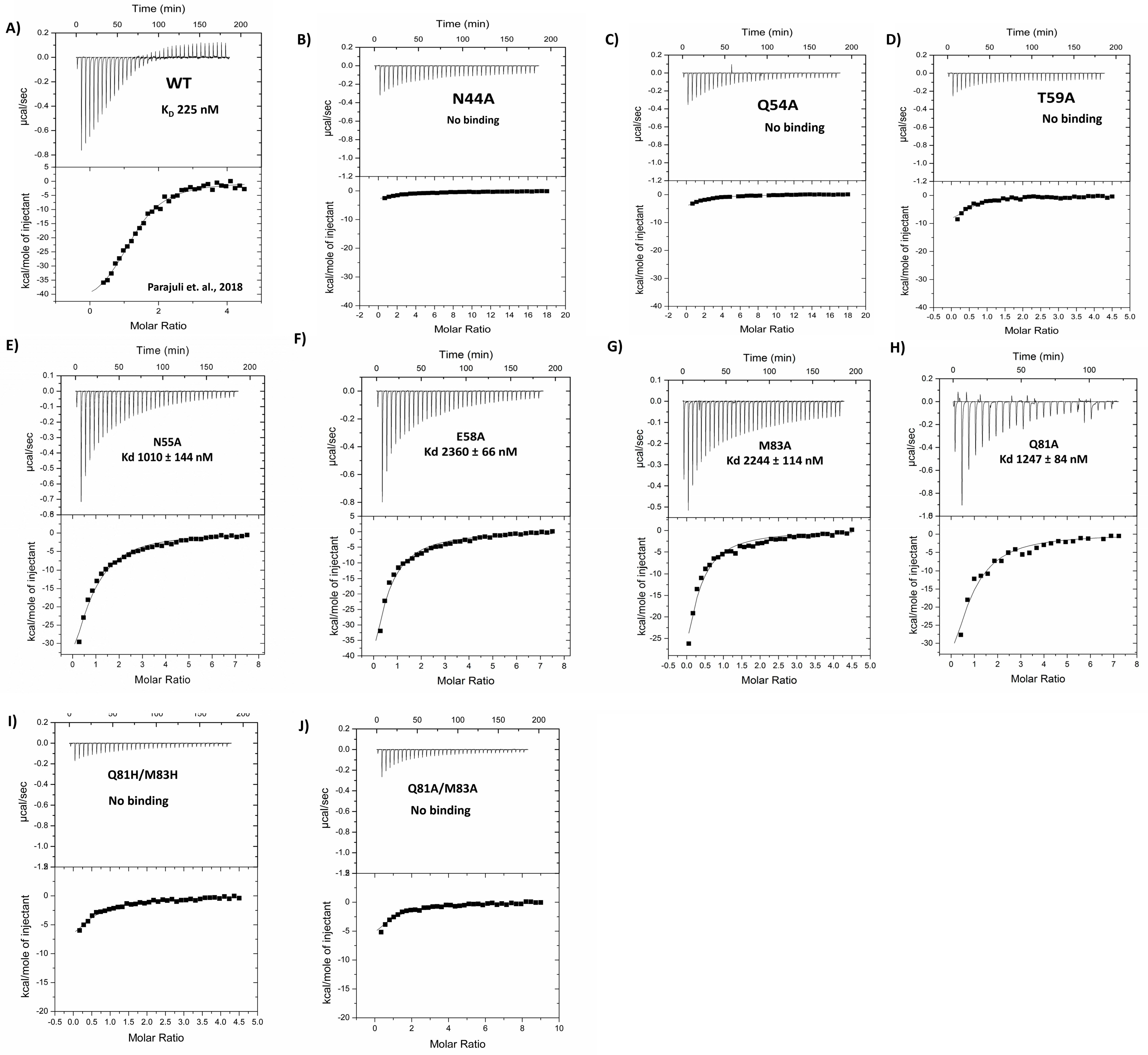
3.1. Mutational Analysis of MVN Variants by Calorimetry
3.2. Epitope (Hotspot Residue) Confirmation by SPR Binding Analysis
3.3. Infection Inhibition Analysis of MVN Mutants
3.4. Competition of 2G12 by MVN Variants
4. Discussion
5. Conclusions
Supplementary Materials
Author Contributions
Funding
Institutional Review Board Statement
Informed Consent Statement
Data Availability Statement
Acknowledgments
Conflicts of Interest
Abbreviations
References
- Yeh, J.C.; Seals, J.R.; Murphy, C.I.; van Halbeek, H.; Cummings, R.D. Site-specific N-glycosylation and oligosaccharide structures of recombinant HIV-1 gp120 derived from a Baculovirus expression system. Biochemistry 1993, 32, 11087–11099. [Google Scholar] [CrossRef] [PubMed]
- Mizuochi, T.; Matthews, T.J.; Kato, M.; Hamako, J.; Titani, K.; Solomon, J.; Feizi, T. Diversity of oligosaccharide structures on the envelope glycoprotein gp 120 of human immunodeficiency virus 1 from the lymphoblastoid cell line H9. Presence of complex-type oligosaccharides with bisecting N-acetylglucosamine residues. J. Biol. Chem. 1990, 265, 8519–8524. [Google Scholar] [CrossRef] [PubMed]
- Leonard, C.K.; Spellman, M.W.; Riddle, L.; Harris, R.J.; Thomas, J.N.; Gregory, T.J. Assignment of intrachain disulfide bonds and characterization of potential glycosylation sites of the type 1 recombinant human immunodeficiency virus envelope glycoprotein (gp120) expressed in Chinese hamster ovary cells. J. Biol. Chem. 1990, 265, 10373–10382. [Google Scholar] [CrossRef]
- Scanlan, C.N.; Offer, J.; Zitzmann, N.; Dwek, R.A. Exploiting the defensive sugars of HIV-1 for drug and vaccine design. Nature 2007, 446, 1038–1045. [Google Scholar] [CrossRef]
- Balzarini, J. Targeting the glycans of glycoproteins: A novel paradigm for antiviral therapy. Nat. Rev. Microbiol. 2007, 5, 583–597. [Google Scholar] [CrossRef] [PubMed]
- Lusvarghi, S.; Bewley, C.A. Griffithsin: An Antiviral Lectin with Outstanding Therapeutic Potential. Viruses 2016, 8, 296. [Google Scholar] [CrossRef] [PubMed]
- Gerlits, O.O.; Coates, L.; Woods, R.J.; Kovalevsky, A. Mannobiose Binding Induces Changes in Hydrogen Bonding and Protonation States of Acidic Residues in Concanavalin A As Revealed by Neutron Crystallography. Biochemistry 2017, 56, 4747–4750. [Google Scholar] [CrossRef] [PubMed]
- Hoque, M.M.; Suzuki, K.; Tsunoda, M.; Jiang, J.; Zhang, F.; Takahashi, A.; Ohbayashi, N.; Zhang, X.; Tanaka, H.; Omura, S.; et al. Structural insights into the specific anti-HIV property of actinohivin: Structure of its complex with the α(1-2)mannobiose moiety of gp120. Acta Crystallogr. D Biol. Crystallogr. 2012, 68, 1671–1679. [Google Scholar] [CrossRef] [PubMed]
- Huskens, D.; Férir, G.; Vermeire, K.; Kehr, J.C.; Balzarini, J.; Dittmann, E.; Schols, D. Microvirin, a novel alpha(1,2)-mannose-specific lectin isolated from Microcystis aeruginosa, has anti-HIV-1 activity comparable with that of cyanovirin-N but a much higher safety profile. J. Biol. Chem. 2010, 285, 24845–24854. [Google Scholar] [CrossRef]
- Shahzad-ul-Hussan, S.; Gustchina, E.; Ghirlando, R.; Clore, G.M.; Bewley, C.A. Solution structure of the monovalent lectin microvirin in complex with Man(alpha)(1-2)Man provides a basis for anti-HIV activity with low toxicity. J. Biol. Chem. 2011, 286, 20788–20796. [Google Scholar] [CrossRef]
- Sanders, R.W.; Venturi, M.; Schiffner, L.; Kalyanaraman, R.; Katinger, H.; Lloyd, K.O.; Kwong, P.D.; Moore, J.P. The mannose-dependent epitope for neutralizing antibody 2G12 on human immunodeficiency virus type 1 glycoprotein gp120. J. Virol. 2002, 76, 7293–7305. [Google Scholar] [CrossRef] [PubMed]
- Garces, F.; Sok, D.; Kong, L.; McBride, R.; Kim, H.J.; Saye-Francisco, K.F.; Julien, J.P.; Hua, Y.; Cupo, A.; Moore, J.P.; et al. Structural evolution of glycan recognition by a family of potent HIV antibodies. Cell 2014, 159, 69–79. [Google Scholar] [CrossRef] [PubMed]
- Lynch, R.M.; Boritz, E.; Coates, E.E.; DeZure, A.; Madden, P.; Costner, P.; Enama, M.E.; Plummer, S.; Holman, L.; Hendel, C.S.; et al. Virologic effects of broadly neutralizing antibody VRC01 administration during chronic HIV-1 infection. Sci. Transl. Med. 2015, 7, 319ra206. [Google Scholar] [CrossRef]
- Parajuli, B.; Acharya, K.; Bach, H.C.; Parajuli, B.; Zhang, S.; Smith, A.B., 3rd; Abrams, C.F.; Chaiken, I. Restricted HIV-1 Env glycan engagement by lectin-reengineered DAVEI protein chimera is sufficient for lytic inactivation of the virus. Biochem. J. 2018, 475, 931–957. [Google Scholar] [CrossRef]
- Parajuli, B.; Acharya, K.; Nangarlia, A.; Zhang, S.; Parajuli, B.; Dick, A.; Ngo, B.; Abrams, C.F.; Chaiken, I. Identification of a glycan cluster in gp120 essential for irreversible HIV-1 lytic inactivation by a lectin-based recombinantly engineered protein conjugate. Biochem. J. 2020, 477, 4263–4280. [Google Scholar] [CrossRef] [PubMed]
- Shenoy, S.R.; O’Keefe, B.R.; Bolmstedt, A.J.; Cartner, L.K.; Boyd, M.R. Selective interactions of the human immunodeficiency virus-inactivating protein cyanovirin-N with high-mannose oligosaccharides on gp120 and other glycoproteins. J. Pharmacol. Exp. Ther. 2001, 297, 704–710. [Google Scholar] [CrossRef]
- Barrientos, L.G.; Louis, J.M.; Ratner, D.M.; Seeberger, P.H.; Gronenborn, A.M. Solution structure of a circular-permuted variant of the potent HIV-inactivating protein cyanovirin-N: Structural basis for protein stability and oligosaccharide interaction. J. Mol. Biol. 2003, 325, 211–223. [Google Scholar] [CrossRef] [PubMed]
- Barrientos, L.G.; Gronenborn, A.M. The domain-swapped dimer of cyanovirin-N contains two sets of oligosaccharide binding sites in solution. Biochem. Biophys. Res. Commun. 2002, 298, 598–602. [Google Scholar] [CrossRef]
- Shenoy, S.R.; Barrientos, L.G.; Ratner, D.M.; O’Keefe, B.R.; Seeberger, P.H.; Gronenborn, A.M.; Boyd, M.R. Multisite and multivalent binding between cyanovirin-N and branched oligomannosides: Calorimetric and NMR characterization. Chem. Biol. 2002, 9, 1109–1118. [Google Scholar] [CrossRef] [PubMed]
- Ang, C.G.; Hossain, M.A.; Rajpara, M.; Bach, H.; Acharya, K.; Dick, A.; Rashad, A.A.; Kutzler, M.; Abrams, C.F.; Chaiken, I. Metastable HIV-1 Surface Protein Env Sensitizes Cell Membranes to Transformation and Poration by Dual-Acting Virucidal Entry Inhibitors. Biochemistry 2020, 59, 818–828. [Google Scholar] [CrossRef] [PubMed]
- Myszka, D.G. Kinetic, equilibrium, and thermodynamic analysis of macromolecular interactions with BIACORE. Methods Enzymol. 2000, 323, 325–340. [Google Scholar] [CrossRef]
- Connor, R.I.; Chen, B.K.; Choe, S.; Landau, N.R. Vpr is required for efficient replication of human immunodeficiency virus type-1 in mononuclear phagocytes. Virology 1995, 206, 935–944. [Google Scholar] [CrossRef] [PubMed]
- Bastian, A.R.; Contarino, M.; Bailey, L.D.; Aneja, R.; Moreira, D.R.; Freedman, K.; McFadden, K.; Duffy, C.; Emileh, A.; Leslie, G.; et al. Interactions of peptide triazole thiols with Env gp120 induce irreversible breakdown and inactivation of HIV-1 virions. Retrovirology 2013, 10, 153. [Google Scholar] [CrossRef]
- Contarino, M.; Bastian, A.R.; Kalyana Sundaram, R.V.; McFadden, K.; Duffy, C.; Gangupomu, V.; Baker, M.; Abrams, C.; Chaiken, I. Chimeric Cyanovirin-MPER recombinantly engineered proteins cause cell-free virolysis of HIV-1. Antimicrob. Agents Chemother. 2013, 57, 4743–4750. [Google Scholar] [CrossRef] [PubMed]
- Parajuli, B.; Acharya, K.; Yu, R.; Ngo, B.; Rashad, A.A.; Abrams, C.F.; Chaiken, I.M. Lytic Inactivation of Human Immunodeficiency Virus by Dual Engagement of gp120 and gp41 Domains in the Virus Env Protein Trimer. Biochemistry 2016, 55, 6100–6114. [Google Scholar] [CrossRef] [PubMed]
- McFadden, K.; Cocklin, S.; Gopi, H.; Baxter, S.; Ajith, S.; Mahmood, N.; Shattock, R.; Chaiken, I. A recombinant allosteric lectin antagonist of HIV-1 envelope gp120 interactions. Proteins 2007, 67, 617–629. [Google Scholar] [CrossRef] [PubMed]
- Calarese, D.A.; Lee, H.K.; Huang, C.Y.; Best, M.D.; Astronomo, R.D.; Stanfield, R.L.; Katinger, H.; Burton, D.R.; Wong, C.H.; Wilson, I.A. Dissection of the carbohydrate specificity of the broadly neutralizing anti-HIV-1 antibody 2G12. Proc. Natl. Acad. Sci. United States Am. 2005, 102, 13372–13377. [Google Scholar] [CrossRef] [PubMed]
- Bewley, C.A. Solution structure of a cyanovirin-N:Man alpha 1-2Man alpha complex: Structural basis for high-affinity carbohydrate-mediated binding to gp120. Structure 2001, 9, 931–940. [Google Scholar] [CrossRef] [PubMed]
- Ziółkowska, N.E.; Shenoy, S.R.; O'Keefe, B.R.; McMahon, J.B.; Palmer, K.E.; Dwek, R.A.; Wormald, M.R.; Wlodawer, A. Crystallographic, thermodynamic, and molecular modeling studies of the mode of binding of oligosaccharides to the potent antiviral protein griffithsin. Proteins 2007, 67, 661–670. [Google Scholar] [CrossRef] [PubMed]




| Mutants | KD Calorimetry ITC (µM) | YU2 (EC50′ µM) | JRFL (EC50 µM) | Bal.01 (EC50 µM) | 2G12 Competition (Simultaneous Addition, µM) | 2G12 Competition (Preincubation, µM) |
|---|---|---|---|---|---|---|
| WT | 0.225 | 0.10 ± 0.01 | 0.1 ± 0.02 | 0.14 | 0.085 | 0.05 |
| N44A | ND | ND | ND | ND | ND | ND |
| Q54A | ND | ND | ND | ND | ND | ND |
| T59A | ND | ND | ND | ND | ND | ND |
| N55A | 1.01 | 0.54 ± 0.07 | 0.5 ± 0.04 | 0.32 | 0.27 | 0.18 |
| E58A | 2.36 | 0.56 ± 0.1 | 0.30 ± 0.04 | 0.43 | 0.17 | 0.15 |
| M83A | 2.24 | 1.8 ± 0.6 | 1.9 ± 0.25 | 0.46 | 0.17 | 0.2 |
| Q81A | 1.25 | 2.8 ± 0.2 | 1.2 ± 0.3 | 0.21 | 0.19 | 0.12 |
| Q81A/M83A | ND | NP | NP | NP | NP | NP |
| Q81H/M83H | ND | NP | NP | NP | NP | NP |
Disclaimer/Publisher’s Note: The statements, opinions and data contained in all publications are solely those of the individual author(s) and contributor(s) and not of MDPI and/or the editor(s). MDPI and/or the editor(s) disclaim responsibility for any injury to people or property resulting from any ideas, methods, instructions or products referred to in the content. |
© 2025 by the authors. Licensee MDPI, Basel, Switzerland. This article is an open access article distributed under the terms and conditions of the Creative Commons Attribution (CC BY) license (https://creativecommons.org/licenses/by/4.0/).
Share and Cite
Parajuli, B.; Acharya, K.; Bach, H.C.; Zhang, S.; Abrams, C.F.; Chaiken, I. Monovalent Lectin Microvirin Utilizes Hydropathic Recognition of HIV-1 Env for Inhibition of Virus Cell Infection. Viruses 2025, 17, 82. https://doi.org/10.3390/v17010082
Parajuli B, Acharya K, Bach HC, Zhang S, Abrams CF, Chaiken I. Monovalent Lectin Microvirin Utilizes Hydropathic Recognition of HIV-1 Env for Inhibition of Virus Cell Infection. Viruses. 2025; 17(1):82. https://doi.org/10.3390/v17010082
Chicago/Turabian StyleParajuli, Bibek, Kriti Acharya, Harry Charles Bach, Shiyu Zhang, Cameron F. Abrams, and Irwin Chaiken. 2025. "Monovalent Lectin Microvirin Utilizes Hydropathic Recognition of HIV-1 Env for Inhibition of Virus Cell Infection" Viruses 17, no. 1: 82. https://doi.org/10.3390/v17010082
APA StyleParajuli, B., Acharya, K., Bach, H. C., Zhang, S., Abrams, C. F., & Chaiken, I. (2025). Monovalent Lectin Microvirin Utilizes Hydropathic Recognition of HIV-1 Env for Inhibition of Virus Cell Infection. Viruses, 17(1), 82. https://doi.org/10.3390/v17010082

