Modeling BK Virus Infection in Renal Transplant Recipients
Abstract
1. Introduction
2. Methods and Data
2.1. Model Description
2.2. Patient Data
2.3. Parameter Estimation
2.4. Sensitivity Analysis
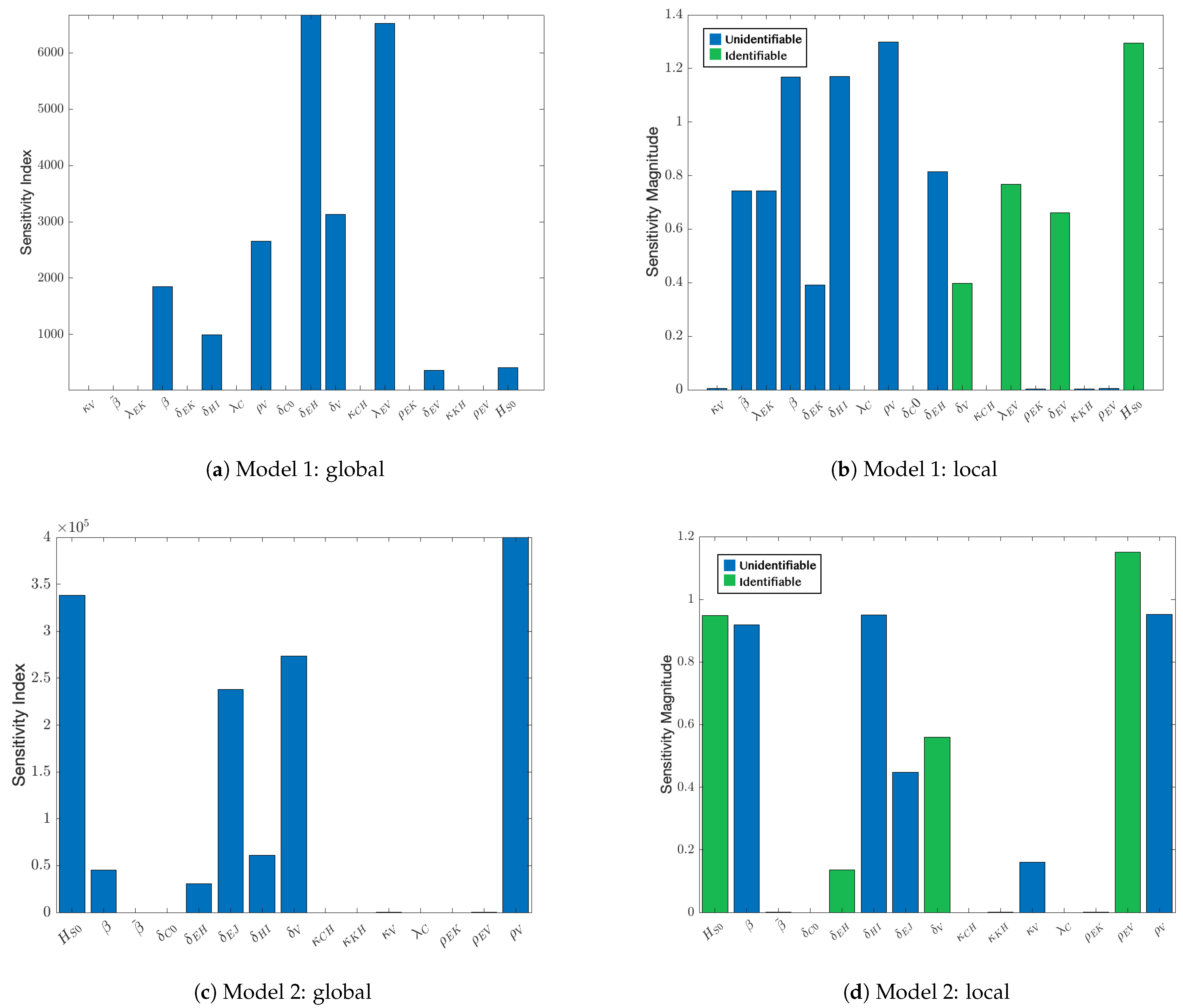
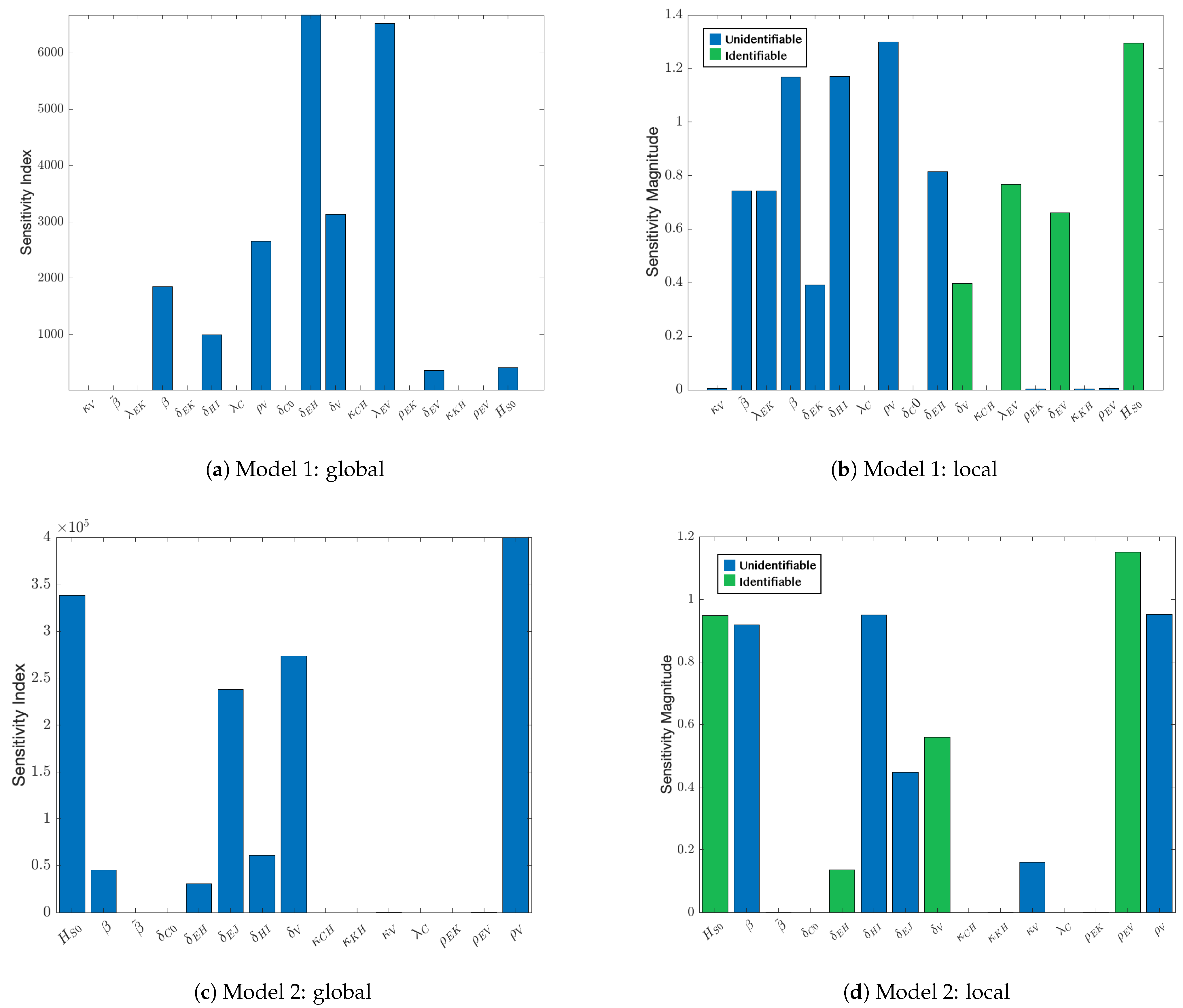
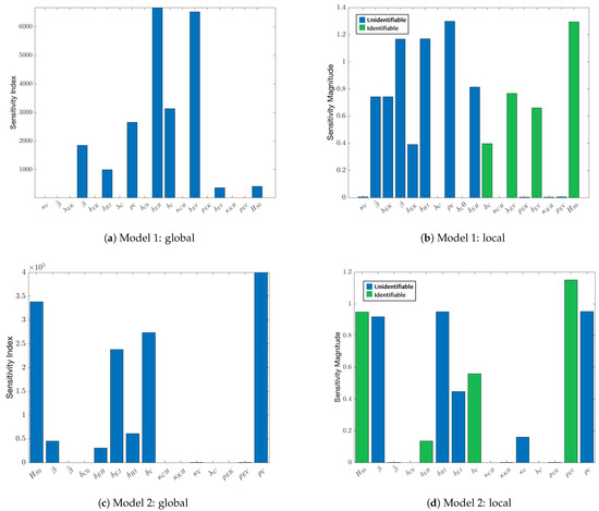
2.4.1. Global and Local Parameter Sensitivity
2.4.2. Sensitivity to Data Changes
2.4.3. Sensitivity to Drug Efficacy
2.5. Identifiability
2.6. Equilibria and Stability
3. Results
3.1. Model Development
3.2. Parameter Estimation
3.3. Sensitivity Analysis
3.4. Identifiability
3.5. Sensitivity to New Data
3.6. Sensitivity to Drug Efficacy
3.7. Equilibria and Stability
4. Discussion
5. Conclusions
Supplementary Materials
Author Contributions
Funding
Institutional Review Board Statement
Informed Consent Statement
Data Availability Statement
Acknowledgments
Conflicts of Interest
References
- Kalluri, H.; Hardinger, K. Current state of renal transplant immunosuppression: Present and future. World J. Transplant. 2012, 2, 51–68. [Google Scholar] [CrossRef] [PubMed]
- Kant, S.; Dasgupta, A.; Bagnasco, S.; Brennan, D.C. BK Virus Nephropathy in Kidney Transplantation: A State-of-the-Art Review. Viruses 2022, 14, 1616. [Google Scholar] [CrossRef] [PubMed]
- Sellares, J.; De Freitas, D.; Mengel, M.; Reeve, J.; Einecke, G.; Sis, B.; Hidalgo, L.; Famulski, K.; Matas, A.; Halloran, P. Understanding the causes of kidney transplant failure: The dominant role of antibody-mediated rejection and nonadherence. Am. J. Transplant. 2012, 12, 388–399. [Google Scholar] [CrossRef] [PubMed]
- Funk, G.; Gosert, R.; Comoli, P.; Ginervri, F.; Hirsch, H. Polyomavirus BK replication dynamics in vivo and in silico to predict cytopathology and viral clearance in kidney trans-plants. Am. J. Transplant. 2008, 8, 2368–2377. [Google Scholar] [CrossRef]
- Perelson, A.S.; Neumann, A.U.; Markowitz, M.; Leonard, J.M.; Ho, D.D. HIV-1 Dynamics In Vivo: Virion Clearance Rate, Infected Cell Life-Span, and Viral Generation Time. Science 1996, 271, 1582–1586. [Google Scholar] [CrossRef]
- Boianelli, A.; Nguyen, V.K.; Ebensen, T.; Schulze, K.; Wilk, E.; Sharma, N.; Stegemann-Koniszewski, S.; Bruder, D.; Toapanta, F.R.; Guzmán, C.A.; et al. Modeling Influenza Virus Infection: A Roadmap for Influenza Research. Viruses 2015, 7, 5274–5304. [Google Scholar] [CrossRef]
- Rong, L.; Perelson, A.S. Treatment of hepatitis C virus infection with interferon and small molecule direct antivirals: Viral kinetics and modeling. Crit. Rev. Immunol. 2010, 30, 131–148. [Google Scholar] [CrossRef]
- Perelson, A.S.; Guedj, J. Modelling hepatitis C therapy—Predicting effects of treatment. Nat. Rev. Gastroenterol. Hepatol. 2015, 12, 437–445. [Google Scholar] [CrossRef]
- Perelson, A.S.; Nelson, P.W. Mathematical Analysis of HIV-1 Dynamics In Vivo. SIAM Rev. 1999, 41, 3–44. [Google Scholar] [CrossRef]
- West, R.; Crosby, D.; Jones, J. A mathematical model of an integrated haemodialysis and renal transplantation programme. Br. J. 1974, 28, 149–155. [Google Scholar] [CrossRef][Green Version]
- Labert, P.; Collett, D.; Kimber, A.; Johnson, R. Parametric accelerated failure time models with random effects and an application to kidney transplant survival. Stat. Med. 2004, 23, 3177–3192. [Google Scholar] [CrossRef] [PubMed]
- Topuz, K.; Zengul, F.; Dag, A.; Almehmi, A.; Yildirim, M. Predicting graft survival among kidney transplant recipients: A Bayesian decision support model. Decis. Support Syst. 2018, 106, 97–109. [Google Scholar] [CrossRef]
- Bang, J.; Bae, J.; Oh, C.K. Mathematical model for early functional recovery pattern of kidney transplant recipients using serum creatinine. Korean J. Transplant. 2020, 34, 167–177. [Google Scholar] [CrossRef] [PubMed]
- Blazquez-Navarro, A.; Schachtner, T.; Stervbo, U.; Sefrin, A.; Stein, M.; Westhoff, T.H.; Reinke, P.; Klipp, E.; Babel, N.; Neumann, A.U.; et al. Differential T cell response against BK virus regulatory and structural antigens: A viral dynamics modelling approach. PLoS Comput. Biol. 2018, 14, e1005998. [Google Scholar] [CrossRef] [PubMed]
- Mahato, H.; Ahlstrom, C.; Jansson-Löfmark, R.; Johansson, U.; Helminger, G.; Hallow, K. Mathematical model of hemodynamic mechanisms and consequences of glomerular hyper-tension in diabetic mice. NPJ Syst. Biol. Appl. 2018, 4, 41. [Google Scholar] [CrossRef]
- Banks, H.T.; Hu, S.; Link, K.; Rosenberg, E.S.; Mitsuma, S.; Rosario, L. Modelling immune response to BK virus infection and donor kidney in renal transplant recipients. Inverse Probl. Sci. Eng. 2016, 24, 127–152. [Google Scholar] [CrossRef]
- Murad, N.; Tran, H.; Banks, H. Optimal control of immunosuppressants in renal transplant recipients susceptible to BKV infection. Optim. Control. Appl. Methods 2019, 40, 292–309. [Google Scholar] [CrossRef]
- Murad, N.; Tran, H.T.; Banks, H.; Everett, R.A.; Rosenberg, E. Immunosuppressant treatment dynamics in renal transplant recipients: An iterative modeling approach. Discret. Contin. Dyn. Syst. B 2018, 223–241. [Google Scholar] [CrossRef]
- Murad, N. Quantitative Modeling and Optimal Control of Immunosuppressant Treatment Dynamics in Renal Transplant Recipients. Ph.D. Thesis, North Carolina State University, Raleigh, NC, USA, 2018. [Google Scholar]
- Myers, N.J. Applications of Mathematical Modeling in Ecology and Health Care. Ph.D. Thesis, North Carolina State University, Raleigh, NC, USA, 2021. [Google Scholar]
- Newell, K. SDY1433: Optimization of NULOJIX® (Belatacept) Usage as a Means of Minimizing CNI Exposure in Simultaneous Pancreas and Kidney Transplantation (CTOT-15); U.S. National Institute of Allergy and Infectious Diseases, NIH: Bethesda, MD, USA, 2009; NCT01790594. [CrossRef]
- Heeger, P. SDY2400: Effects of Inhibiting Early Inflammation in Kidney Transplant Patients (CTOT-19); U.S. National Institute of Allergy and Infectious Diseases, NIH: Bethesda, MD, USA, 2023; NCT02495077. [CrossRef]
- Hirsch, H.; Randhawa, P. BK polyomavirus in solid organ transplantation: Guidelines from the American Society of Transplantation Infectious Diseases Community of Practice. Clin. Transplant. 2019, 33, e13528. [Google Scholar] [CrossRef]
- Haldeman-Englert, C.; Cunningham Turley, R., Jr.; Novick, T. Creatinine (Blood)—University of Rochester Medical Center. Available online: https://www.urmc.rochester.edu/encyclopedia/content.aspx?ContentTypeID=167&ContentID=creatinine_serum (accessed on 15 October 2024).
- Levey, A.S.; Stevens, L.A.; Schmid, C.H.; Zhang, Y.; Castro III, A.F.; Feldman, H.I.; Kusek, J.W.; Eggers, P.; Van Lente, F.; Greene, T.; et al. A new equation to estimate glomerular filtration rate. Ann. Intern. Med. 2009, 150, 604–612. [Google Scholar] [CrossRef]
- Bhattacharya, S.; Dunn, P.; Thomas, C.G.; Smith, B.; Schaefer, H.; Chen, J.; Hu, Z.; Zalocusky, K.A.; Shankar, R.D.; Shen-Orr, S.S.; et al. ImmPort, toward repurposing of open access immunological assay data for translational and clinical research. Sci. data 2018, 5, 180015. [Google Scholar] [CrossRef] [PubMed]
- Banks, H.; Bekele-Maxwell, K.; Canner, J.E.; Mayhall, A.; Menda, J.; Noorman, M. The effect of statistical error model formulation on the fit and selection of mathematical models of tumor growth for small sample sizes. Int. J. Pure Appl. Math. 2017, 117, 203–234. [Google Scholar] [CrossRef]
- The MathWorks Inc. MATLAB Version: 9.13.0 (R2022b); The MathWorks Inc.: Natick, MA, USA, 2022. [Google Scholar]
- Banks, H.T.; Beraldi, R.; Cross, K.; Flores, K.; McChesney, C.; Poag, L.; Thorpe, E. Uncertainty quantification in modeling HIV viral mechanics. MBE 2015, 12, 937–964. [Google Scholar] [CrossRef] [PubMed]
- Smith, R.C. Uncertainty Quantification: Theory, Implementation, and Applications; Siam: Philadelphia, PA, USA, 2014. [Google Scholar]
- Arthur, J.G.; Tran, H.T.; Aston, P. Feasibility of parameter estimation in hepatitis C viral dynamics models. J. Inverse Ill-Posed Probl. 2017, 25, 69–80. [Google Scholar] [CrossRef]
- Campolongo, F.; Saltelli, A.; Cariboni, J. From screening to quantitative sensitivity analysis. A unified approach. Comput. Phys. Commun. 2011, 182, 978–988. [Google Scholar] [CrossRef]
- Brady, R.; Frank-Ito, D.; Tran, H.; Janum, S.; Møller, K.; Brix, S.; Ottensen, J.; Mehlsen, J.; Olufsen, M. Personalized mathematical model of endotoxin-induced inflammatory responses in young men and associated changes in heart rate variability. Math. Model. Nat. Phenom. 2018, 13. [Google Scholar] [CrossRef]
- Wentworth, M.T.; Smith, R.C.; Banks, H. Parameter Selection and Verification Techniques Based on Global Sensitivity Analysis Illustrated for an HIV Model. SIAM/ASA J. Uncertain. Quantif. 2016, 4, 266–297. [Google Scholar] [CrossRef]
- Saltelli, A.; Ratto, M.; Andres, T.; Campolongo, F.; Cariboni, J.; Gatelli, D.; Saisana, M.; Tarantola, S. Introduction to Sensitivity Analysis. In Global Sensitivity Analysis. The Primer; John Wiley & Sons, Ltd.: Hoboken, NJ, USA, 2007; chapter 1; pp. 1–51. [Google Scholar] [CrossRef]
- Otto, S.; Day, T. A Biologist’s Guide to Mathematical Modeling in Ecology and Evolution; Princeton University Press: Princeton, NJ, USA, 2007. [Google Scholar]
- Bertram, J.F.; Douglas-Denton, R.N.; Diouf, B.; Hughson, M.D.; Hoy, W.E. Human nephron number: Implications for health and disease. Pediatr. Nephrol. 2011, 26, 1529–1533. [Google Scholar] [CrossRef]
- Borriello, M.; Ingrosso, D.; Perna, A.; Lombardi, A.; Maggi, P.; Altucci, L.; Caraglia, M. BK Virus Infection and BK-Virus-Associated Nephropathy in Renal Transplant Recipients. Genes 2019, 13, 1290. [Google Scholar] [CrossRef]
- Farlow, J.; Hall, J.E.; McDill, J.M.; West, B.H. Differential Equations and Linear Algebra; Pearson: Upper Saddle River, NJ, USA, 2007. [Google Scholar]
- Banks, H.T.; Hu, S.; Jang, T.; Kwon, H.D. Modelling and optimal control of immune response of renal transplant recipients. J. Biol. Dyn. 2012, 6, 539–567. [Google Scholar] [CrossRef]
- Enoksson, S.L.; Bergman, P.; Klingstrom, J.; Bostrom, F.; Rodrgues, R.D.S.; Winerdal, M.; Marits, P. A flow cytometry-based proliferation assay for clinical evaluation of T-cell memory against SARS-CoV-2. J. Immunol. Methods 2021, 499, 113159. [Google Scholar] [CrossRef] [PubMed]
- Fribourg, M. A case for the reuse and adaptation of mechanistic computational models to study transplant immunology. Am. J. Transplant. 2020, 20, 355–361. [Google Scholar] [CrossRef] [PubMed]
- Senanayake, S.; White, N.; Graves, N.; Healy, H.; Baboolal, K.; Kularatna, S. Machine learning in predicting graft failure following kidney transplantation: A systematic review of published predictive models. Int. J. Med. Inform. 2019, 130, 103957. [Google Scholar] [CrossRef] [PubMed]
- Shaikhina, T.; Lowe, D.; Daga, S.; Briggs, D.; Higgins, R.; Khovanova, N. Decision tree and random forest models for outcome prediction in antibody incompatible kidney transplantation. Biomed. Signal Process. Control 2019, 52, 456–462. [Google Scholar] [CrossRef]
- Udomkarnjananun, S.; Townamchai, N.; Kerr, S.J.; Tasanarong, A.; Noppakun, K.; Lumpaopong, A.; Prommool, S.; Supaporn, T.; Avihingsanon, Y.; Praditpornsilpa, K.; et al. The first Asian kidney transplantation prediction models for long-term patient and allograft survival. Transplantation 2020, 104, 1048–1057. [Google Scholar] [CrossRef]
- Scheffner, I.; Gietzelt, M.; Abeling, T.; Marschollek, M.; Gwinner, W. Patient survival after kidney transplantation: Important role of graft-sustaining factors as determined by predictive modeling using random survival forest analysis. Transplantation 2020, 104, 1095–1107. [Google Scholar] [CrossRef]
- Alcendor, D.J. BK polyomavirus virus glomerular tropism: Implications for virus reactivation from latency and amplification during immunosuppression. J. Clin. Med. 2019, 8, 1477. [Google Scholar] [CrossRef]
- Janeway, C.A., Jr.; Travers, P.; Walport, M.; Shlomchik, M.J. Immunobiology: The Immune System in Health and Disease, 5th ed.; Garland Science: New York, NY, USA, 2001. [Google Scholar]
- Antia, R.; Ganusov, V.V.; Ahmed, R. The role of models in understanding CD8 + T-cell memory. Nat. Rev. Immunol. 2005, 5, 101–111. [Google Scholar] [CrossRef]
- Ribeiro, R.M.; Mohri, H.; Ho, D.D.; Perelson, A.S. In vivo Dynamics of T Cell Activation, Proliferation, and Death in HIV-1 Infection: Why Are CD4+but Not CD8+T Cells Depleted? Proc. Natl. Acad. Sci. USA 2002, 99, 15572–15577. [Google Scholar] [CrossRef]
- Terry, E.; Marvel, J.; Arpin, C.; Gandrillon, O.; Crauste, F. Mathematical model of the primary CD8 T cell immune response: Stability analysis of a nonlinear age-structured system. J. Math. Biol. 2012, 65, 263–291. [Google Scholar] [CrossRef]
- Appay, V.; Rowland-Jones, S.L. Lessons from the study of T-cell differentiation in persistent human virus infection. Semin. Immunol. 2004, 16, 205–212. [Google Scholar] [CrossRef] [PubMed]
- Thomas-Vaslin, V.; Altes, H.K.; de Boer, R.J.; Klatzmann, D. Comprehensive Assessment and Mathematical Modeling of T Cell Population Dynamics and Homeostasis1. J. Immunol. 2008, 180, 2240–2250. [Google Scholar] [CrossRef] [PubMed]
- Campolongo, F.; Cariboni, J.; Saltelli, A. An effective screening design for sensitivity analysis of large models. Environ. Model. Softw. 2007, 22, 1509–1518. [Google Scholar] [CrossRef]
- Dennis, J.E., Jr.; Schnabel, R.B. Numerical Methods for Unconstrained Optimization and Nonlinear Equations; SIAM: Philadelphia, PA, USA, 1996. [Google Scholar]
- Quaiser, T.; Mönnigmann, M. Systematic identifiability testing for unambiguous mechanistic modeling–application to JAK-STAT, MAP kinase, and NF-κ B signaling pathway models. BMC Syst. Biol. 2009, 3, 50. [Google Scholar] [CrossRef]
- Cintron-Arias, A.; Banks, H.; Capaldi, A.; Lloyd, A. A sensitivity matrix based methodology for inverse problem formulation. J. Inverse Ill-Posed Probl. 2009, 17, 545–564. [Google Scholar] [CrossRef]
- Banks, H.T.; Cintron-Arias, A.; Kappel, F. Parameter selection methods in inverse problem formulation. In Mathematical Modeling and Validation in Physiology; ser. Lecture Notes in Mathematics; Batzel, J.J., Bachar, M., Kappel, F., Eds.; Springer: Berlin/Heidelberg, Germany, 2013; Volume 2064, pp. 43–73. [Google Scholar]
- Bohl, D.L.; Brennan, D.C. Matrix Methods: Applied Linear Algebra and Sabermetrics, 4th ed.; Academic Press: Cambridge, MA, USA, 2021. [Google Scholar]







| State | Description | Unit |
|---|---|---|
| Density of susceptible graft cells | cells/mL | |
| Density of infected graft cells | cells/mL | |
| V | Concentration of free BKPyV | copies/mL |
| Concentration of BKPyV-specific CD8+ T-cells | cells/mL | |
| Concentration of allo-specific CD8+ T-cells | cells/mL | |
| C | Concentration of serum creatinine | mg/dL |
| Parameter | Value | Description | Units |
|---|---|---|---|
| Infection rate of by V | |||
| 0.0001 | Attack rate on by | ||
| 0.085 | Death rate of by V | /day | |
| 0.0018 | Elimination rate of by | ||
| 15,000 | Virions produced by before death | copies/cells | |
| 0.05 | Natural clearance rate of V | /day | |
| 0.36 | Maximum proliferation rate for | /day | |
| 2500 | Half saturation constant | copies/mL | |
| 0.17 | Death rate of and | /day | |
| 0.137 | Maximum proliferation rate for | /day | |
| Half saturation constant | cells/mL | ||
| Production rate for C | |||
| Maximize clearance rate for C | /day | ||
| Half saturation constant | cells/mL |
| Characteristic | n = 443 |
|---|---|
| Unusable data (sparse/below LOD) | 191 (43.1%) |
| Peak above LOD but below | 132 (29.8%) |
| Peak BKPyV above and peaks before day 300 | 92 (20.7%) |
| Peak BKPyV above and peaks after day 300 | 28 (6.3%) |
| Characteristic | n = 220 |
|---|---|
| Unusable data (sparse/below LOD) | 172 (78.2%) |
| Peak above LOD but below | 19 (8.6%) |
| Peak BKPyV above and peaks before day 300 | 22 (10%) |
| Peak BKPyV above and peaks after day 300 | 7 (3.2%) |
| Patient | Model | BKPyV Residual |
|---|---|---|
| EHR 4080 | 1 | 3.5565 |
| 2 | 7.2772 | |
| EHR 4947 | 1 | 2.7369 |
| 2 | 3.1951 | |
| CTOT 779 | 2 | 1.5626 |
| CTOT 915 | 2 | 2.1032 |
| CTOT 660 | 2 | 5.9411 |
| Parameter | EHR 4080 | EHR 4947 | CTOT 779 | CTOT 915 | CTOT 660 |
|---|---|---|---|---|---|
| 0.0001 | 0.0001 | 0.0001 | 0.0001 | 0.0001 | |
| 0.069 | 0.294 | ||||
| 0.0260 | 0.1430 | 0.0248 | 0.1697 | ||
| 0.939 | 0.692 | 0.877 | 0.344 | 0.275 | |
| 2500 | 2500 | 2500 | 2500 | 2500 | |
| 0.0422 | 0.0300 | 0.0748 | 0.1064 | 0.0306 | |
| 0.00612 | 0.5477 | 0.3241 | 0.7064 | 0.4582 | |
| 0.0283 | 0.0381 | 0.3327 | 0.00284 | 0.1416 | |
| 0.07497 | 0.07674 | 0.2309 | 0.0507 | 0.9999 | |
| 4464 | 4577 | 20,978 | 35,317 | 5064 |
Disclaimer/Publisher’s Note: The statements, opinions and data contained in all publications are solely those of the individual author(s) and contributor(s) and not of MDPI and/or the editor(s). MDPI and/or the editor(s) disclaim responsibility for any injury to people or property resulting from any ideas, methods, instructions or products referred to in the content. |
© 2024 by the authors. Licensee MDPI, Basel, Switzerland. This article is an open access article distributed under the terms and conditions of the Creative Commons Attribution (CC BY) license (https://creativecommons.org/licenses/by/4.0/).
Share and Cite
Myers, N.; Droz, D.; Rogers, B.W.; Tran, H.; Flores, K.B.; Chan, C.; Knechtle, S.J.; Jackson, A.M.; Luo, X.; Chambers, E.T.; et al. Modeling BK Virus Infection in Renal Transplant Recipients. Viruses 2025, 17, 50. https://doi.org/10.3390/v17010050
Myers N, Droz D, Rogers BW, Tran H, Flores KB, Chan C, Knechtle SJ, Jackson AM, Luo X, Chambers ET, et al. Modeling BK Virus Infection in Renal Transplant Recipients. Viruses. 2025; 17(1):50. https://doi.org/10.3390/v17010050
Chicago/Turabian StyleMyers, Nicholas, Dana Droz, Bruce W. Rogers, Hien Tran, Kevin B. Flores, Cliburn Chan, Stuart J. Knechtle, Annette M. Jackson, Xunrong Luo, Eileen T. Chambers, and et al. 2025. "Modeling BK Virus Infection in Renal Transplant Recipients" Viruses 17, no. 1: 50. https://doi.org/10.3390/v17010050
APA StyleMyers, N., Droz, D., Rogers, B. W., Tran, H., Flores, K. B., Chan, C., Knechtle, S. J., Jackson, A. M., Luo, X., Chambers, E. T., & McCarthy, J. M. (2025). Modeling BK Virus Infection in Renal Transplant Recipients. Viruses, 17(1), 50. https://doi.org/10.3390/v17010050

