Abstract
We evaluated subsequent virologic outcomes in individuals experiencing low-level virem ia (LLV) on dolutegravir (DTG)-based first-line antiretroviral therapy (ART) in Botswana. We used a national dataset from 50,742 adults who initiated on DTG-based first-line ART from June 2016–December 2022. Individuals with at least two viral load (VL) measurements post three months on DTG-based first-line ART were evaluated for first and subsequent episodes of LLV (VL:51–999 copies/mL). LLV was sub-categorized as low-LLV (51–200 copies/mL), medium-LLV (201–400 copies/mL) and high-LLV (401–999 copies/mL). The study outcome was virologic failure (VF) (VL ≥ 1000 copies/mL): virologic non-suppression defined as single-VF and confirmed-VF defined as two-consecutive VF measurements after an initial VL < 1000 copies/mL. Cox regression analysis identified predictive factors of subsequent VF. The prevalence of LLV was only statistically different at timepoints >6–12 (2.8%) and >12–24 (3.9%) (p-value < 0.01). LLV was strongly associated with both virologic non-suppression (adjusted hazards ratio [aHR] = 2.6; 95% CI: 2.2–3.3, p-value ≤ 0.001) and confirmed VF (aHR = 2.5; 95% CI: 2.4–2.7, p-value ≤ 0.001) compared to initially virally suppressed PLWH. High-LLV (HR = 3.3; 95% CI: 2.9–3.6) and persistent-LLV (HR = 6.6; 95% CI: 4.9–8.9) were associated with an increased hazard for virologic non-suppression than low-LLV and a single-LLV episode, respectively. In a national cohort of PLWH on DTG-based first-line ART, LLV > 400 copies/mL and persistent-LLV had a stronger association with VF. Frequent VL testing and adherence support are warranted for individuals with VL > 50 copies/mL.
1. Introduction
Dolutegravir (DTG), a second-generation integrase strand transfer inhibitor (INSTI), is part of the preferred regimen for first-line HIV treatment because of its efficacy, tolerability, limited drug–drug interactions, and high barrier to resistance [1,2]. HIV treatment guidelines aim to maximally suppress the VL to undetectable levels [3], which is associated with a positive response to ART compared to detectable viral loads [4]. High viral suppression rates of >90% within 48 weeks of starting DTG-based ART have been reported [5,6,7]. Nevertheless, a subset of people living with HIV (PLWH) experience low-level viremia (LLV) on DTG-based ART, defined as a detectable viral load (VL) between 50–1000 copies/mL [8]. The mechanisms of LLV are not well understood, and may be due to ongoing viral replication in reservoirs due to suboptimal drug penetration, and/or viral production by the activation of HIV-infected cells [9,10], with an uncertain impact of LLV on infection of new cells [9]. Low-level HIV replication during ART may lead to the accumulation of drug-resistance mutations [11,12] and immunologic decline [13], which may be detrimental to future ARV options [14,15]. This highlights the necessity to evaluate the impact of LLV among individuals on DTG-based first-line ART.
Previous work from a limited cohort across Botswana found an association of LLV with subsequent virologic failure [16], but this was during the era of non-nucleoside reverse transcriptase inhibitor (NNRTI)-based first-line ART. We, therefore, aimed to determine the trends of LLV over 5 years among PLWH on DTG-based first-line ART in Botswana and to evaluate LLV and other predictive factors of virologic failure (VF). These analyses may provide insights into treatment outcomes after LLV among DTG-experienced populations and the management of LLV in the era of DTG-based first-line ART.
2. Materials and Methods
2.1. Study Population
This was a retrospective longitudinal analysis of National ART Program data from all PLWH (aged 18 years and above) who were initiated on tenofovir disoproxil fumarate/emtricitabine//DTG (truvada/DTG) or tenofovir disoproxil fumarate/lamivudine/DTG (TLD) from June 2016 to December 2022 in Botswana. Clinical information from all PLWH in Botswana was captured in the electronic Integrated Patient Management System (IPMS) and/or Patient Information Management System (PIMS), which are used in routine clinical care and operational monitoring and assessment of HIV treatment program.
2.2. Viral Load Monitoring in Botswana
According to Botswana HIV treatment guidelines, viral load (VL) testing is performed firstly at three months post ART initiation and every six months thereafter. Individuals who are not suppressed in VL measurement at six months are considered as virological failing after a confirmatory VL is completed and VL testing will be repeated at 4–6 weeks, where those who have 1 Log10 drop will continue with frequent VL measurements at 2 week intervals until viral suppression is achieved. Individuals with no drop in VL will be initiated on directedly observed therapy (DOT) and VL testing will be performed after 30 days on DOT and if suppression is not achieved, HIV drug resistance testing will be conducted. PLWH who are virally suppressed will then have their VLs tested at six-month intervals [17].
2.3. Selection of Study Participants
The main study inclusion criteria were starting DTG-based first-line ART in the Botswana National Program from June 2016 to December 2022 in Botswana, being on ART for at least three months and having at least one VL measurement taken after at least 12 weeks following ART initiation. In instances in which a PLWH had a missing ART initiation date and/or missing baseline CD4 count test date, the first VL test date was adapted as the initiation date and then this VL measurement was not included in the proportions of VL groups.
All PLWH who had at least 2 VL measurements were included in the longitudinal analysis. Individuals on ART for at least three months and with first and subsequent LLV after initiation on DTG were followed up until the primary outcome was reached.
2.4. Definitions of Exposures and Outcomes
HIV-1 RNA VL measurements were quantified at different laboratories in Botswana using several assays with different lower limits of detection. We defined viral load endpoints/outcomes as VF (VL ≥ 1000 copies/mL), LLV (VL 51–999 copies per mL), or viral suppression (VL ≤ 50 copies/mL) on measurements taken at least three months post ART initiation. Instances of LLV were additionally grouped in ranges of 51–199 copies/mL (low-LLV), 200–400 copies/mL (medium-LLV), and 401–999 copies/mL (high-LLV). PLWH with LLV were further classified into LLV episodes as having a single-LLV (single-LLV episode), confirmed-LLV (two consecutive LLV measurements) within 12 ± 2 months and persistent-LLV (at least three consecutive LLV measurements) 18 ± 2 months. VF was also classified into virologic non-suppression (single instance of VL ≥ 1000 copies/mL) and confirmed VF (two consecutive VL ≥ 1000 copies/mL) within 12 ± 2 months among individuals with VL < 1000 copies/mL. Approximately 140,000 VL measurements reported as 0 or 400 copies/mL were adapted as VL ≤ 50 copies/mL as the prior and post VL measurements were VL ≤ 50 copies/mL within 12 months.
PLWH who experienced VF at their initial VL measurement were not included in this analysis for predictive factors of VF. Individuals with multiple VLs < 1000 copies/mL were assigned to the VL group depending on their highest VL measurement (viral suppression, low-LLV, medium-LLV and high-LLV) before VF was achieved from the time since DTG-based first-line ART initiation within individuals.
2.5. Statistical Analysis
We firstly analyzed the prevalence of virologic response categories (e.g., viral suppression [VL ≤ 50 copies/mL], LLV and VF among available VL measurements within each stratum of time since DTG-based first-line ART initiation within individuals. Time since DTG-based first-line ART initiation within an individual was classified into 7 categories: 3–6 months; >6–12 months; >12–24 months; >24–36 months; >36–48 months; >48–60 months; and >60 months. Individuals with multiple VL measurements were classified in the range of the highest VL group result when falling in the same duration strata for the calculation of VL group prevalence.
We then analyzed the association of predictors of VF using univariate and multivariate Cox proportional hazard regression models. The potential predictors of confirmed virologic failure and non-virologic suppression that we included were LLV (classified into LLV ranges and episodes), sex, age, time since DTG-based first-line ART initiation within individuals, DTG-based regimens, baseline CD4 count and Botswana citizenship status. The results were reported as hazard ratios indicating the risk of VF for each variable compared to their reference groups. When assessing the association of LLV with VF, each range of LLV and LLV episodes was compared with virological suppression of VL ≤ 50 copies/mL. In our analysis, PLWH who experienced VF were right censored while those not experiencing VF were right censored after their last available VL. The proportional hazard assumption was checked graphically and by tests based on Schoenfeld residuals. Kaplan–Meier survival curves were used to monitor time to VF among the different variables, which were also displayed with extended Kaplan–Meier estimators, allowing for changing compositions of the exposure groups over time. The log-rank test was used to assess the equality of the survival function of each variable toward VF. p-values below 0.05 were considered statistically significant. All of the analyses were conducted using STATA version 15.
3. Results
Among 75,723 individuals who were initiated on DTG-based regimens in Botswana between June 2016 and December 2022, 58,966 were initiated on DTG-based first-line ART for at-least 3 months on ART and all of them had at least one viral load measurement. Among 58,966, we excluded participants < 18 years (739) and non-TLD/non-Truvada DTG combinations (1397). A further 6118 were excluded as 4039 had their initial VL test prior to three months on DTG and 2079 had inconsistent initiation dates resulting in an analysis set of 50,742 PLWH (see Figure 1). All 50,742 PLWH were utilized for the prevalence of VL groups while individuals (46,716) with at least two viral load measurements were utilized in the analysis for the predictive factors of VF.
Figure 1.
Schema for selection of study participants. ART-antiretroviral therapy, DTG—dolutegravir, LLV—low level viremia, PLWH—people living with HIV, TLD—tenofovir-lamivudine-dolutegravir, VL—viral load.
3.1. Demographic Characteristics
Among the 50,742 individuals included, 30,153 (59.4%) were females and the median age was 35.5 (Q1, Q3: 29.0, 43.2) years. The median time since DTG-based first-line ART initiation within individuals was 4.3 (Q1, Q3: 2.5, 5.4) years. The median time from HIV-positive results to ART initiation (days) among PLWH on DTG was 52 (2, 1481) days (Table 1).
Table 1.
Characteristics of participants included in the study.
3.2. Trend of VL Groups across the Years
Among 50,742 PLWH who were used to determine the prevalence of VL groups, 53.0% (26,765/50,742), 34.0% (16,744/49,307), 16.1% (7864/48,933), 18.5% (8268/44,782), 24.8% (7805/39,292), 17.1% (5597/32,719 and 20.0% (4692/23,413) at timepoints 3–6, >6–12, >12–24, >24–36, >36–48, >48–60 and >60 months, respectively, had no VL measurements available. Amongst 23,977 PLWH who had VL tested within 3–6 months after initiating DTG-based regimens 22,915 (95.7%) were suppressed at VL ≤ 50 copies/mL, 622 (2.6%) had LLV, while 414 (1.7%) had VL ≥ 1000 copies/mL. By time since DTG-based first-line ART initiation within individuals, the viral suppression was 95.5%, 94.5%, 94.7%, 95.0%, 95.1% and 94.5% at timepoints >6–12, >12–24, >24−36, >36–48, >48–60 and >60 months, respectively. The virologic failure rates were 1.7% at months 3–6 and >6–12; 1.8% at months >12–24 and >24–36; and 1.7% at months >36–48 and >48–60, while 1.6% was reported at the >60 months timepoint. The overall prevalence of LLV as a whole group by time after ART start was 2.6%, 2.8%, 3.9%, 3.5%, 3.3%, 3.1% and 2.8% at 3–6, >6–12, >12–24, >24–36, >36–48, >48–60 and >60 months of the follow-up period, respectively (Figure 2). The prevalence of LLV was only statistically different at timepoints >6–12 (2.8%) and >12–24 (3.9%) (p-value < 0.01), showing a cross-sectional comparison in these two timepoints. The median time between consecutive VL measurements was 186 (Q1, Q3: 168, 253) days among individuals with at least two VL measurements.
Figure 2.
Prevalence of viral load groups by time since DTG-based first-line ART initiation. DTG—dolutegravir, LLV—low level viremia, n—PLWH with VL measurement at the timepoint, n.a—PLWH with no VL at the timepoint, VL—viral load.
3.3. Factors Associated with Virologic Non-Suppression and Confirmed Virologic Failure
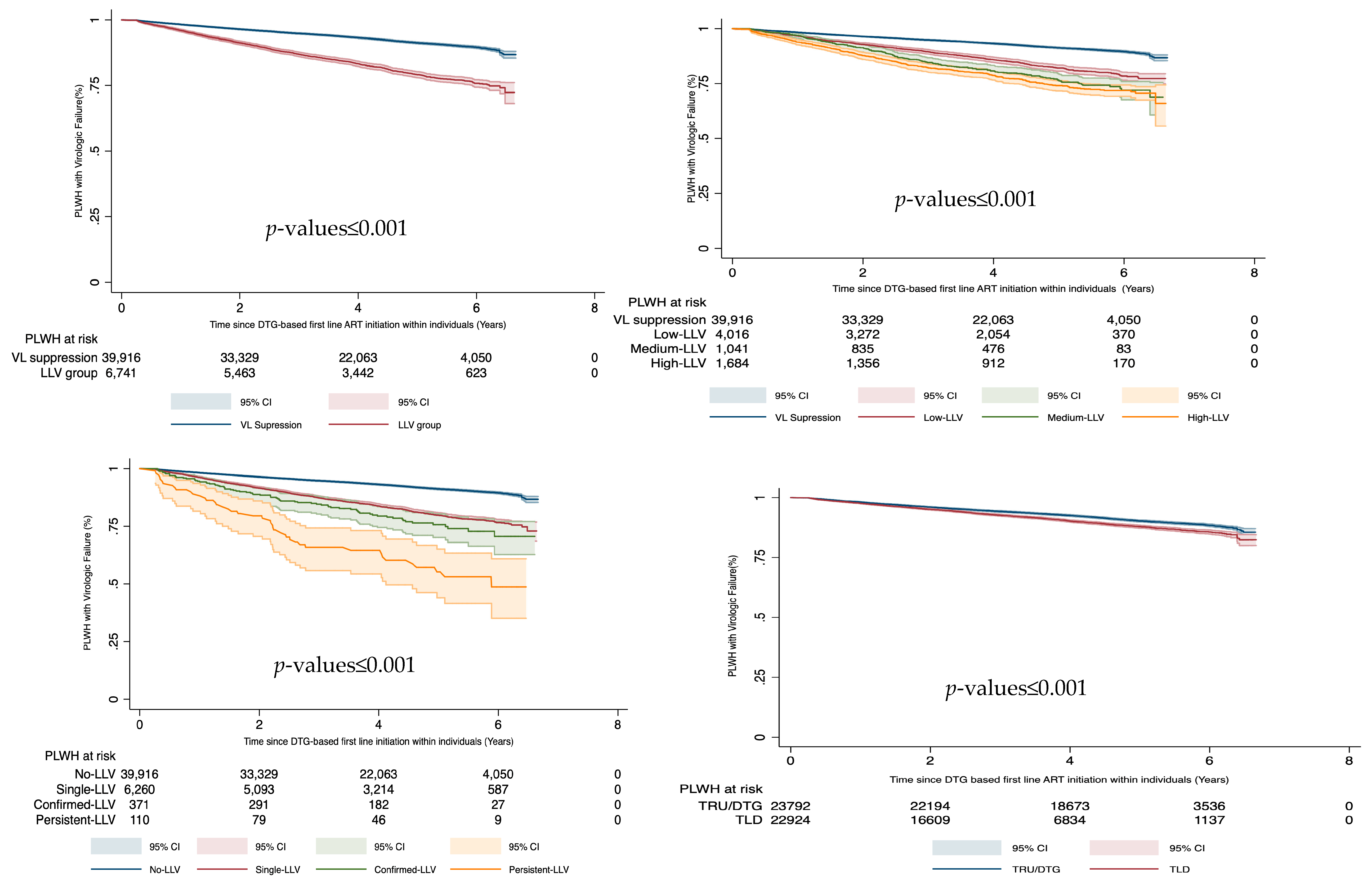
Among 46,716 PLWH on DTG-based first-line ART who had at least two VL measurements taken at least three months after starting ART, 917 (2.0%) experienced virologic non-suppression (a single VL ≥ 1000 copies/mL). Individuals who experienced any LLV were 2.5 (95% CI: 2.4–2.7) times more likely to progress to virologic non-suppression compared to individuals who maintained VL suppression before VF was reached. The hazard ratio of experiencing virologic non-suppression increased with the LLV ranges; individuals with high-LLV had 3.3 (95% CI: 2.9–3.6), medium-LLV with 2.9 (95% CI: 2.5–3.3) and low-LLV had 2.7 (95% CI: 2.3–3.3) hazard ratios compared to individuals with VL below ≤ 50 copies/mL. Individuals with single-LLV, confirmed-LLV and persistent-LLV had statistically increased hazard ratios of 2.2 (95% CI: 2.0–2.3), 3.3 (95% CI: 2.5–3.3) and 6.6 (95% CI: 4.9–8.9), respectively, to present virologic non-suppression compared to PLWH who had not experienced LLV. Experiencing virologic non-suppression was associated with being male (aHR: 1.3 (95% CI: 1.2–1.5)), age younger than 45 years old and having a baseline CD4 count in the lower quartile (aHR: 1.7 (95% CI: 1.5–2.0)). The use of TLD was independently associated with virologic non-suppression, but when adjusting for other variables, the association was not statistically significant. A one-year increase in time since initiating DTG-based first-line ART within individuals was associated with a 70% reduction in the hazard ratios of virologic non-suppression (aHR: 0.4 (95% CI: 0.3–0.4) (Table 2, Figure 3).
Table 2.
Factors associated with virologic non-suppression among PLWH on DTG-based first-line ART in Botswana.
Figure 3.
Treatment outcomes among PLWH on DTG based first-line ART. DTG—dolutegravir, LLV—low level viremia, VF—Virologic failure, VL—viral load.
Confirmed VF occurred in 149 (0.3%) PLWH. LLV was also associated with confirmed VF (aHR: 3.7 (3.0–4.5)) when adjusting for age, gender, and time since DTG-based first-line ART initiation within individuals and baseline CD4 count, while being male was not associated with an increased hazard ratios of presenting confirmed VF (Table 3). Low survival probability was reported in low level viremia compared to virally suppressed (Supplementary Table S1), high-LLV against low-LLV (Supplementary Table S1) and persistent-LLV compared to a single instance of LLV (Supplementary Table S1).
Table 3.
Factors associated with confirmed VF among PLWH on DTG-based first-line ART in Botswana.
4. Discussion
We analyzed the trends of LLV over a period of 5 years in Botswana to determine whether LLV after starting DTG-based ART is associated with subsequent virologic failure. National program data from adults living with HIV who initiated DTG-based first-line ART revealed high suppression rates of greater than 94.0%. Despite these high suppression rates, we observed that the occurrence of LLV after starting DTG-based first-line ART was strongly associated with both subsequent virologic non-suppression and confirmed virologic failure among individuals on DTG-based first-line ART. High VL suppression is expected during this evaluation period since Botswana was among the first countries to adopt the use of DTG-based first-line ART in June 2016, which was accompanied by the implementation of a treat-all strategy regardless of CD4+ T cell count [18]. In 2022, Botswana became one of the first three countries to exceed the 95:95:95 UNAIDS goals [19]. Our findings also emphasize that Botswana has reached virologic suppression targets even when the virologic suppression threshold is lowered to 50 copies/mL. Despite this, approximately 4.0% of PLWH are not suppressed on DTG-based first-line ART, many of whom experienced prior LLV.
The lowest prevalence of LLV reported in the study was 2.6% while the highest was 3.9%, at >3–6 and >12–24 months’ time since ART initiation within individuals. This prevalence was lower when compared to another real observational study conducted in India (LLV was 17.9%, 23.3% and 26.9% at 6, 12, 18 and 24 months) [20]. A higher LLV prevalence was also reported in a study performed in Nigeria: 1 (15.8%), 2 (15.6%), 3 (14.8%), 4 (13.7%), 5 (13.3%) and 6 (11.3%) annually since ART initiation [21]. The LLV prevalence reported in our study was in the same range as rates reported in Uganda, although LLV was reported from 2016–2020 (calendar years) instead of annually [22]. Our study only focused on adults living with HIV who were on DTG-based first-line ART compared to other studies that included all PLWH on DTG including those who are on second-line therapy [20,21,22], which could have led to a lower prevalence of LLV in our study.
We report that individuals with LLV are at risk of presenting with virologic non-suppression and confirmed virologic failure. The findings indicate that any LLV category or episode such as low-LLV and a single instance of LLV are independent predictors of future VF. This highlights the need for interventions to eliminate LLV, which may have negative long-term virologic outcomes. Unstable VL suppression has been linked to HIV transmission events, with a few cases reported at detectable VL > 1000 copies/mL [23]. This shows that the HIV treatment guidelines that initiated adherence support care at VL > 200 copies/mL are most likely to miss PLWH with VL: 50–200 copies/mL who are at risk of presenting virologic non-suppression and confirmed virologic failure. Therefore, extending intensified adherence support to PLWH with detectable VL > 50 copies/mL to ensure that viral suppression is achieved is crucial for the prevention and control of new HIV infections. The frequent viral load monitoring of PLWH with LLV can provide a further understanding of HIV transmission risk at LLV.
While low-LLV was associated with VF, there was an increased risk of presenting VF among individuals with high-LLV and persistent-LLV. Our results support the previous studies [24,25]. Some of these studies used a lower VF threshold between 400–500 copies/mL [26]. Similarly, LLV has been associated with the presence of HIV drug resistance even in a single instance of LLV [15,16]. These results highlight the need for HIV drug resistance testing at persistent LLV for the selection of appropriate ART options that will further avoid accumulations of more drug resistance mutations. Persistent-LLV has been associated with immune activation and inflammation resulting in non-AIDS defining events [27], viral reservoir size [28] and clonal expansion [29]. Studies on mechanisms of LLV in association with ongoing viral replication in reservoirs due to suboptimal drug penetration, and/or viral production by the activation of HIV-infected cells are warranted to further understand the virologic and immunological outcomes of LLV.
Our study has several limitations. We evaluated the viral suppression rates starting at 3 months on DTG-based first-line ART, which could have underestimated VL groups as some PLWH might have still been on their way to VL suppression. However, there are clinical trials that have reported high suppression rates among PLWH on DTG within a short period of less than 3 months [30,31]. The use of real-world data can lead to selection bias when selecting the PLWH who meet study inclusion criteria, leading to some PLWH being excluded from the study and missing data. The median proportion of PLWH with missing VL measurements was 20.0% across the seven timepoints, which could have led to an underestimation of the prevalence of LLV and VF. We did not perform a sensitivity analysis to determine the impact of missingness, as PLWH were removed based on the initiation date on DTG and availability of VL measurement; however, we retained relatively large numbers for the analysis. These missing data could have been due to missed visits, missed tests or general loss to follow-up. The VL measurements were performed in different laboratory set-ups using assays with different limits of detection and quantification. Approximately 140,000 VL measurements that were reported as 0 or 400 copies/mL were adapted as VL ≤ 50 copies/mL in our analysis; this could have led to a reduced prevalence of LLV and affected the comparison of LLV at lower LLV ranges. However, this was based on the VL ≤ 50 copies/mL prior and post these VL measurements. Lack of adjusting for adherence in the predictive factors associated with VF could have led to an increased risk of VF among individuals with LLV. Unavailability of HIV drug resistance data of individuals with LLV hindered the ability to determine if a lack of suppression resulted from the presence of HIV drug resistance mutations or other factors. Our study utilized a large sample size with approximately 310,000 viral load records from 50,742 PLWH in Botswana, providing a good representative sample of PLWH on DTG based first line ART in Botswana and providing insights into virologic outcomes among individuals with LLV on DTG-based first-line ART.
5. Conclusions
In a large-scale cohort of PLWH on DTG-based first-line ART in Botswana, the prevalence of LLV ranged from 2.6% to 3.9%. Our results show that LLV is strongly associated with future VF, particularly high-LLV and persistent-LLV. These findings show that any VL > 50 copies/mL may lead to poorer treatment outcomes, therefore highlighting the importance of using VL ≥ 50 copies/mL as an indicator for intensified adherence care support and frequent VL monitoring.
Supplementary Materials
The following supporting information can be downloaded at: https://www.mdpi.com/article/10.3390/v16050720/s1, Table S1: Low survival probability was reported in low level viremia compared to virally suppressed, high-LLV against low-LLV and persistent-LLV compared to a single instance of LLV.
Author Contributions
Conceptualization, O.T.B., S.M., C.K.K., W.T.C., D.M., I.G., M.S.M., R.M., R.S., S.L. and S.G.; Data curation, M.M. and K.S.; Formal analysis, O.T.B. and S.M.; Funding acquisition, S.M., R.M., J.M., R.S., S.L. and S.G.; Investigation, O.T.B., S.M., C.K.K., D.M., I.G., M.S.M., R.S., S.L. and S.G.; Methodology, O.T.B., S.M., M.M., K.S., W.T.C., N.O.M. and S.G.; Project administration, O.T.B., R.M. and S.G.; Resources, B.N., D.R., T.C., P.M., J.M. and S.G.; Supervision, S.M., I.G., M.M. and S.G.; Validation, W.T.C., R.S., S.L. and S.G.; Visualization, O.T.B., S.M. and W.T.C.; Writing—original draft, O.T.B.; Writing—review and editing, S.M., M.M., K.S., C.K.K., W.T.C., N.O.M., D.M., I.G., M.S.M., R.M., B.N., D.R., T.C., P.M., J.M., R.S., S.L. and S.G. All authors have read and agreed to the published version of the manuscript.
Funding
OTB was supported by the Fogarty International Center at the US National Institutes of Health (D43 TW009610). SG, SM, WTG and NOM were partly supported through the Sub-Saharan African Network for TB/HIV Research Excellence (SANTHE 2.0) from the Bill and Melinda Gates Foundation (INV-033558). SM was partially supported by the Fogarty International Center at the US National Institutes of Health (K43TW 012350). SG and WTC were partially supported by H3ABioNet. SL was supported by the US National Institutes of Health NIH K24 AI131928. H3ABioNet was supported by the US National Institutes of Health Common Fund (U41 HG006941). H3ABioNet is an initiative of the Human Health and Heredity in Africa Consortium (H3Africa) program of the African Academy of Science (AAS). SM, RM & OTB were supported by the Trials of Excellence in Southern Africa (TESA III), which is part of the EDCTP2 program supported by the European Union (CSA2020NoE-3104 TESAIII CSA2020NoE). The views expressed in this publication are those of the authors and not necessarily those of the funding agencies. The funders had no role in the study design, data collection, decision to publish, or preparation of this manuscript.
Institutional Review Board Statement
The study ethics approval was sought from Botswana Health Research and Development Committee reference HPRD: 6/14/1 and HRDC number 00976. The clinical data were extracted by the Ministry of Health and de-identified and assigned a unique patient key that was not linked to any individual; informed consent was waived by Botswana Health Research and Development Committee, as the study was declared minimal to no risk to any individual. We confirm that the study was performed in accordance with the Helsinki Declaration.
Informed Consent Statement
The clinical data were extracted by the Ministry of Health and de-identified and assigned a unique patient key that was not linked to any individual; informed consent was waived by the Botswana Health Research and Development Committee, as the study was declared minimal to no risk to any individual.
Data Availability Statement
All relevant data are within the paper, including the figures and tables. No new primary data were collected for this study. The data utilized in this manuscript belong to the Botswana Ministry of Health.
Acknowledgments
We thank all of the PLWH who are enrolled in the Botswana National Treatment Program. We thank the Ministry of Health for allowing us to use the dataset.
Conflicts of Interest
The other authors declare no conflicts of interest.
References
- Günthard, H.F.; Saag, M.S.; Benson, C.A.; del Rio, C.; Eron, J.J.; Gallant, J.E.; Hoy, J.F.; Mugavero, M.J.; Sax, P.E.; Thompson, M.A.; et al. Antiretroviral Drugs for Treatment and Prevention of HIV Infection in Adults: 2016 Recommendations of the International Antiviral Society-USA Panel. JAMA 2016, 316, 191–210. [Google Scholar] [CrossRef] [PubMed]
- Panel on Antiretroviral Guidelines for Adults and Adolescents. U.S. Department of Health and Human Services Guidelines for the Use of Antiretroviral Agents in HIV-1 Infected Adults and Adolescents. 2016. Available online: https://clinicalinfo.hiv.gov/en/guidelines/adult-and-adolescent-arv (accessed on 1 March 2024).
- U.S. Department of Health and Human Services. Guidelines for the Use of Antiretroviral Agents in Adults and Adolescents Living with HIV. U.S. Department of Health and Human Services, 2021. Available online: https://clinicalinfo.hiv.gov/en/guidelines/adult-and-adolescent-arv/whats-new-guidelines (accessed on 1 March 2024).
- Phillips, A.N.; Staszewski, S.; Weber, R.; Kirk, O.; Francioli, P.; Miller, V.; Vernazza, P.; Lundgren, J.D.; Ledergerber, B.; Swiss HIV Cohort Study; et al. HIV viral load response to antiretroviral therapy according to the baseline CD4 cell count and viral load. JAMA 2001, 286, 2560–2567. [Google Scholar] [CrossRef] [PubMed]
- Punekar, Y.S.; Parks, D.; Joshi, M.; Kaur, S.; Evitt, L.; Chounta, V.; Radford, M.; Jha, D.; Ferrante, S.; Sharma, S.; et al. Effectiveness and safety of dolutegravir two-drug regimens in virologically suppressed people living with HIV: A systematic literature review and meta-analysis of real-world evidence. HIV Med. 2021, 22, 423–433. [Google Scholar] [CrossRef]
- Nabitaka, V.M.; Nawaggi, P.; Campbell, J.; Conroy, J.; Harwell, J.; Magambo, K.; Middlecote, C.; Caldwell, B.; Katureebe, C.; Namuwenge, N.; et al. High acceptability and viral suppression of patients on Dolutegravir-based first-line regimens in pilot sites in Uganda: A mixed-methods prospective cohort study. PLoS ONE 2020, 15, e0232419. [Google Scholar] [CrossRef]
- Mondi, A.; Cozzi-Lepri, A.; Tavelli, A.; Rusconi, S.; Vichi, F.; Ceccherini-Silberstein, F.; Calcagno, A.; De Luca, A.; Maggiolo, F.; Marchetti, G.; et al. Effectiveness of dolutegravir-based regimens as either first-line or switch antiretroviral therapy: Data from the Icona cohort. J. Int. AIDS Soc. 2019, 22, e25227. [Google Scholar] [CrossRef]
- Tobin, N.H.; Learn, G.H.; Holte, S.E.; Wang, Y.; Melvin, A.J.; McKernan, J.L.; Pawluk, D.M.; Mohan, K.M.; Lewis, P.F.; Mullins, J.I.; et al. Evidence that low-level viremias during effective highly active antiretroviral therapy result from two processes: Expression of archival virus and replication of virus. J. Virol. 2005, 79, 9625–9634. [Google Scholar] [CrossRef]
- Jacobs, J.L.; Halvas, E.K.; Tosiano, M.A.; Mellors, J.W. Persistent HIV-1 Viremia on Antiretroviral Therapy: Measurement and Mechanisms. Front. Microbiol. 2019, 10, 2383. [Google Scholar] [CrossRef]
- Palich, R.; Wirden, M.; Peytavin, G.; Lê, M.P.; Seang, S.; Abdi, B.; Schneider, L.; Tubiana, R.; Valantin, M.A.; Paccoud, O.; et al. Persistent low-level viraemia in antiretroviral treatment-experienced patients is not linked to viral resistance or inadequate drug concentrations. J. Antimicrob. Chemother. 2020, 75, 2981–2985. [Google Scholar] [CrossRef] [PubMed]
- Siedner, M.J.; Moorhouse, M.A.; Simmons, B.; de Oliveira, T.; Lessells, R.; Giandhari, J.; Kemp, S.A.; Chimukangara, B.; Akpomiemie, G.; Serenata, C.M.; et al. Reduced efficacy of HIV-1 integrase inhibitors in patients with drug resistance mutations in reverse transcriptase. Nat. Commun. 2020, 11, 5922. [Google Scholar] [CrossRef]
- Rutstein, S.E.; Chen, J.S.; Nelson, J.A.E.; Phiri, S.; Miller, W.C.; Hosseinipour, M.C. High rates of transmitted NNRTI resistance among persons with acute HIV infection in Malawi: Implications for first-line dolutegravir scale-up. AIDS Res. Ther. 2019, 16, 5. [Google Scholar] [CrossRef]
- Jordan, M.R.; Winsett, J.; Tiro, A.; Bau, V.; Berbara, R.S.; Rowley, C.; Bellosillo, N.; Wanke, C.; Coakley, E.P. HIV Drug Resistance Profiles and Clinical Outcomes in Patients with Viremia Maintained at Very Low Levels. World J. AIDS 2013, 3, 71–78. [Google Scholar] [CrossRef] [PubMed]
- Swenson, L.C.; Min, J.E.; Woods, C.K.; Cai, E.; Li, J.Z.; Montaner, J.S.G.; Harrigan, P.R.; Gonzalez-Serna, A. HIV drug resistance detected during low-level viraemia is associated with subsequent virologic failure. AIDS 2014, 28, 1125–1134. [Google Scholar] [CrossRef] [PubMed]
- Li, J.Z.; Gallien, S.; Do, T.D.; Martin, J.N.; Deeks, S.; Kuritzkes, D.R.; Hatano, H. Prevalence and significance of HIV-1 drug resistance mutations among patients on antiretroviral therapy with detectable low-level viremia. Antimicrob. Agents Chemother. 2012, 56, 5998–6000. [Google Scholar] [CrossRef] [PubMed]
- Bareng, O.T.; Moyo, S.; Zahralban-Steele, M.; Maruapula, D.; Ditlhako, T.; Mokaleng, B.; Mokgethi, P.; Choga, W.T.; Moraka, N.O.; Pretorius-Holme, M.; et al. HIV-1 drug resistance mutations among individuals with low-level viraemia while taking combination ART in Botswana. J. Antimicrob. Chemother. 2022, 77, 1385–1395. [Google Scholar] [CrossRef] [PubMed]
- Botswana Ministry of Health. Handbook of The Botswana 2023 Integrated HIV Clinical Care Guidelines; Ministry of Health: Gaborone, Botswana, 2023.
- Botswana Ministry of Health. Botswana Integrated HIV Clinical Care Guidelines; Ministry of Health: Gaborone, Botswana, 2016.
- Mine, M.; Stafford, K.; Laws, R.L.; Marima, R.; Lekone, P.; Ramaabya, D.; Makhaola, K.; Mapondera, P.; Wray-Gordon, F.; Agbakwuru, C.; et al. PELBC01, Botswana achieved the Joint United Nations Programme on HIV/AIDS (UNAIDS) 95-95-95 targets: Results from the Fifth Botswana HIV/AIDS Impact Survey (BAIS V), 2021. J. Int. AIDS Soc. 2022, 25, 231–232. [Google Scholar]
- Patel, A.K.; Patel, K.K.; Pujari, S.; Patel, J.K.; Kumar, A. Virological outcome and frequency of low-level viremia in patients receiving generic dolutegravir-containing regimen at a large tertiary care clinic in Western India. Indian J. Sex. Transm. Dis. AIDS 2021, 42, 31–37. [Google Scholar] [CrossRef] [PubMed]
- Chun, H.M.; Abutu, A.; Milligan, K.; Ehoche, A.; Shiraishi, R.W.; Odafe, S.; Dalhatu, I.; Onotu, D.; Okoye, M.; Oladipo, A.; et al. Low-level viraemia among people living with HIV in Nigeria: A retrospective longitudinal cohort study. Lancet Glob. Health 2022, 10, e1815–e1824. [Google Scholar] [CrossRef]
- Nanyeenya, N.; Chang, L.W.; Kiwanuka, N.; Nasuuna, E.; Nakanjako, D.; Nakigozi, G.; Kibira, S.P.S.; Nabadda, S.; Kiyaga, C.; Makumbi, F. The association between low-level viraemia and subsequent viral non-suppression among people living with HIV/AIDS on antiretroviral therapy in Uganda. PLoS ONE 2023, 18, e0279479. [Google Scholar] [CrossRef] [PubMed]
- Broyles, L.N.; Luo, R.; Boeras, D.; Vojnov, L. The risk of sexual transmission of HIV in individuals with low-level HIV viraemia: A systematic review. Lancet 2023, 402, 464–471. [Google Scholar] [CrossRef]
- Hermans, L.E.; Moorhouse, M.; Carmona, S.; Grobbee, D.E.; Hofstra, L.M.; Richman, D.D.; Tempelman, H.A.; Venter, W.D.F.; Wensing, A.M.J. Effect of HIV-1 low-level viraemia during antiretroviral therapy on treatment outcomes in WHO-guided South African treatment programmes: A multicentre cohort study. Lancet Infect. Dis. 2018, 18, 188–197. [Google Scholar] [CrossRef]
- Laprise, C.; de Pokomandy, A.; Baril, J.G.; Dufresne, S.; Trottier, H. Virologic failure following persistent low-level viremia in a cohort of HIV-positive patients: Results from 12 years of observation. Clin. Infect. Dis. 2013, 57, 1489–1496. [Google Scholar] [CrossRef] [PubMed]
- Geretti, A.M.; Smith, C.; Haberl, A.; Garcia-Diaz, A.; Nebbia, G.; Johnson, M.; Phillips, A.; Staszewski, S. Determinants of virological failure after successful viral load suppression in first-line highly active antiretroviral therapy. Antivir. Ther. 2008, 13, 927–936. [Google Scholar] [CrossRef] [PubMed]
- Crespo-Bermejo, C.; de Arellano, E.R.; Lara-Aguilar, V.; Valle-Millares, D.; Gómez-Lus, M.L.; Madrid, R.; Martín-Carbonero, L.; Briz, V. Persistent low-Level viremia in persons living with HIV undertreatment: An unresolved status. Virulence 2021, 12, 2919–2931. [Google Scholar] [CrossRef] [PubMed]
- Chun, T.W.; Justement, J.S.; Murray, D.; Hallahan, C.W.; Maenza, J.; Collier, A.C.; Sheth, P.M.; Kaul, R.; Ostrowski, M.; Moir, S.; et al. Rebound of plasma viremia following cessation of antiretroviral therapy despite profoundly low levels of HIV reservoir: Implications for eradication. Aids 2010, 24, 2803–2808. [Google Scholar] [CrossRef] [PubMed]
- Bui, J.K.; Sobolewski, M.D.; Keele, B.F.; Spindler, J.; Musick, A.; Wiegand, A.; Luke, B.T.; Shao, W.; Hughes, S.H.; Coffin, J.M.; et al. Proviruses with identical sequences comprise a large fraction of the replication-competent HIV reservoir. PLoS Pathog. 2017, 13, e1006283. [Google Scholar] [CrossRef] [PubMed]
- Waitt, C.; Orrell, C.; Walimbwa, S.; Singh, Y.; Kintu, K.; Simmons, B.; Kaboggoza, J.; Sihlangu, M.; Coombs, J.A.; Malaba, T.; et al. Safety and pharmacokinetics of dolutegravir in pregnant mothers with HIV infection and their neonates: A randomised trial (DolPHIN-1 study). PLoS Med. 2019, 16, e1002895. [Google Scholar] [CrossRef]
- Bruzzese, E.; Lo Vecchio, A.; Smarrazzo, A.; Tambaro, O.; Palmiero, G.; Bonadies, G.; Guarino, A. Dolutegravir-based anti-retroviral therapy is effective and safe in HIV–infected paediatric patients. Ital. J. Pediatr. 2018, 44, 37. [Google Scholar] [CrossRef]
Disclaimer/Publisher’s Note: The statements, opinions and data contained in all publications are solely those of the individual author(s) and contributor(s) and not of MDPI and/or the editor(s). MDPI and/or the editor(s) disclaim responsibility for any injury to people or property resulting from any ideas, methods, instructions or products referred to in the content. |
© 2024 by the authors. Licensee MDPI, Basel, Switzerland. This article is an open access article distributed under the terms and conditions of the Creative Commons Attribution (CC BY) license (https://creativecommons.org/licenses/by/4.0/).


