Herpesvirus Antibody Response and Occurrence of Symptoms in Acute and Post-Acute COVID-19 Disease
Abstract
1. Introduction
2. Methods
2.1. Study Population
2.2. Outcome Assessment
2.3. Serological Analyses
2.4. Statistical Analyses
3. Results
3.1. Characteristics of the COVID-19 Cohort at the Acute Disease and Follow-Up Time-Points
3.2. Association of Herpesvirus Antibody Levels with Symptom Occurrence during Acute COVID-19
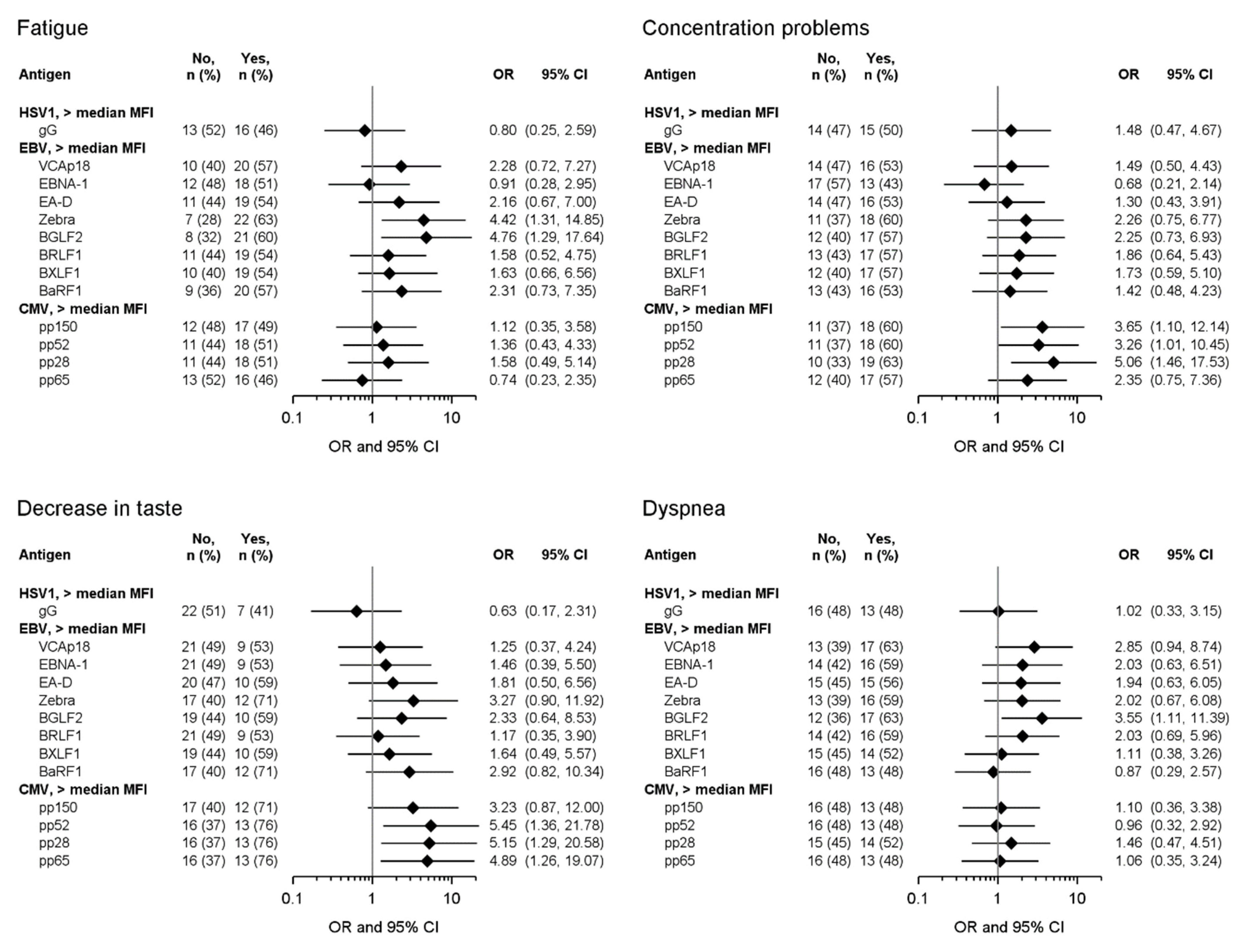
3.3. Association of Herpesvirus Antibody Levels with Symptom Occurrence during PASC
4. Discussion
Supplementary Materials
Author Contributions
Funding
Institutional Review Board Statement
Informed Consent Statement
Data Availability Statement
Acknowledgments
Conflicts of Interest
References
- WHO Coronavirus (COVID-19) Dashboard. Available online: https://covid19.who.int/ (accessed on 1 June 2024).
- World Health Organization. A Clinical Case Definition of Post COVID-19 Condition by a Delphi Consensus, 6 October 2021; World Health Organization: Geneva, Switzerland, 2021.
- Jacob, L.; Koyanagi, A.; Smith, L.; Tanislav, C.; Konrad, M.; van der Beck, S.; Kostev, K. Prevalence of, and factors associated with, long-term COVID-19 sick leave in working-age patients followed in general practices in Germany. Int. J. Infect. Dis. 2021, 109, 203–208. [Google Scholar] [CrossRef] [PubMed]
- Altmann, D.M.; Whettlock, E.M.; Liu, S.; Arachchillage, D.J.; Boyton, R.J. The immunology of long COVID. Nat. Rev. Immunol. 2023, 23, 618–634. [Google Scholar] [CrossRef] [PubMed]
- Franceschini, E.; Cozzi-Lepri, A.; Santoro, A.; Bacca, E.; Lancellotti, G.; Menozzi, M.; Gennari, W.; Meschiari, M.; Bedini, A.; Orlando, G.; et al. Herpes Simplex Virus Re-Activation in Patients with SARS-CoV-2 Pneumonia: A Prospective, Observational Study. Microorganisms 2021, 9, 1896. [Google Scholar] [CrossRef] [PubMed]
- Seeßle, J.; Hippchen, T.; Schnitzler, P.; Gsenger, J.; Giese, T.; Merle, U. High rate of HSV-1 reactivation in invasively ventilated COVID-19 patients: Immunological findings. PLoS ONE 2021, 16, e0254129. [Google Scholar] [CrossRef]
- Simonnet, A.; Engelmann, I.; Moreau, A.-S.; Garcia, B.; Six, S.; El Kalioubie, A.; Robriquet, L.; Hober, D.; Jourdain, M. High incidence of Epstein–Barr virus, cytomegalovirus, and human-herpes virus-6 reactivations in critically ill patients with COVID-19. Infect. Dis. Now 2021, 51, 296–299. [Google Scholar] [CrossRef]
- Carneiro, V.C.d.S.; Alves-Leon, S.V.; Sarmento, D.J.d.S.; Coelho, W.L.d.C.N.P.; Moreira, O.d.C.; Salvio, A.L.; Ramos, C.H.F.; Filho, C.H.F.R.; Marques, C.A.B.; Gonçalves, J.P.d.C.; et al. Herpesvirus and neurological manifestations in patients with severe coronavirus disease. Virol. J. 2022, 19, 101. [Google Scholar] [CrossRef] [PubMed]
- Weber, S.; Kehl, V.; Erber, J.; Wagner, K.I.; Jetzlsperger, A.-M.; Burrell, T.; Schober, K.; Schommers, P.; Augustin, M.; Crowell, C.S.; et al. CMV seropositivity is a potential novel risk factor for severe COVID-19 in non-geriatric patients. PLoS ONE 2022, 17, e0268530. [Google Scholar] [CrossRef]
- Bernal, K.D.E.; Whitehurst, C.B. Incidence of Epstein-Barr virus reactivation is elevated in COVID-19 patients. Virus Res. 2023, 334, 199157. [Google Scholar] [CrossRef]
- Brooks, B.; Tancredi, C.; Song, Y.; Mogus, A.T.; Huang, M.-L.W.; Zhu, H.; Phan, T.L.; Zhu, H.; Kadl, A.; Woodfolk, J.; et al. Epstein–Barr Virus and Human Herpesvirus-6 Reactivation in Acute COVID-19 Patients. Viruses 2022, 14, 1872. [Google Scholar] [CrossRef]
- Manoharan, S.; Ying, L.Y. Epstein Barr Virus Reactivation during COVID-19 Hospitalization Significantly Increased Mortality/Death in SARS-CoV-2(+)/EBV(+) than SARS-CoV-2(+)/EBV(−) Patients: A Comparative Meta-Analysis. Int. J. Clin. Pr. 2023, 2023, 1068000. [Google Scholar] [CrossRef]
- Liu, Z.; Hollmann, C.; Kalanidhi, S.; Grothey, A.; Keating, S.; Mena-Palomo, I.; Lamer, S.; Schlosser, A.; Kaiping, A.; Scheller, C.; et al. Increased circulating fibronectin, depletion of natural IgM and heightened EBV, HSV-1 reactivation in ME/CFS and long COVID. medRxiv 2023, Preprint. [Google Scholar] [CrossRef]
- Klein, J.; Wood, J.; Jaycox, J.; Lu, P.; Dhodapkar, R.M.; Gehlhausen, J.R.; Tabachnikova, A.; Tabacof, L.; Malik, A.A.; Kamath, K.; et al. Distinguishing features of Long COVID identified through immune profiling. medRxiv 2022. [Google Scholar] [CrossRef] [PubMed]
- Peluso, M.J.; Deveau, T.-M.; Munter, S.E.; Ryder, D.; Buck, A.; Beck-Engeser, G.; Chan, F.; Lu, S.; Goldberg, S.A.; Hoh, R.; et al. Chronic viral coinfections differentially affect the likelihood of developing long COVID. J. Clin. Investig. 2023, 133, e163669. [Google Scholar] [CrossRef]
- Zubchenko, S.; Kril, I.; Nadizhko, O.; Matsyura, O.; Chopyak, V. Herpesvirus infections and post-COVID-19 manifestations: A pilot observational study. Rheumatol. Int. 2022, 42, 1523–1530. [Google Scholar] [CrossRef] [PubMed]
- Su, Y.; Yuan, D.; Chen, D.G.; Ng, R.H.; Wang, K.; Choi, J.; Li, S.; Hong, S.; Zhang, R.; Xie, J.; et al. Multiple early factors anticipate post-acute COVID-19 sequelae. Cell 2022, 185, 881–895.e20. [Google Scholar] [CrossRef]
- Gold, J.E.; Okyay, R.A.; Licht, W.E.; Hurley, D.J. Investigation of Long COVID Prevalence and Its Relationship to Epstein-Barr Virus Reactivation. Pathogens 2021, 10, 763. [Google Scholar] [CrossRef]
- Apostolou, E.; Rizwan, M.; Moustardas, P.; Sjögren, P.; Bertilson, B.C.; Bragée, B.; Polo, O.; Rosén, A. Saliva antibody-fingerprint of reactivated latent viruses after mild/asymptomatic COVID-19 is unique in patients with myalgic-encephalomyelitis/chronic fatigue syndrome. Front. Immunol. 2022, 13, 949787. [Google Scholar] [CrossRef]
- Klenerman, P.; Oxenius, A. T cell responses to cytomegalovirus. Nat. Rev. Immunol. 2016, 16, 367–377. [Google Scholar] [CrossRef]
- Waterboer, T.; Sehr, P.; Michael, K.M.; Franceschi, S.; Nieland, J.D.; O Joos, T.; Templin, M.F.; Pawlita, M. Multiplex human papillomavirus serology based on in situ–purified glutathione s-transferase fusion proteins. Clin. Chem. 2005, 51, 1845–1853. [Google Scholar] [CrossRef]
- Brenner, N.; Mentzer, A.J.; Butt, J.; Michel, A.; Prager, K.; Brozy, J.; Weißbrich, B.; Aiello, A.E.; Meier, H.C.S.; Breuer, J.; et al. Validation of Multiplex Serology detecting human herpesviruses 1-5. PLoS ONE 2018, 13, e0209379. [Google Scholar] [CrossRef]
- Simon, J.; Brenner, N.; Reich, S.; Langseth, H.; Hansen, B.T.; Ursin, G.; Ferreiro-Iglesias, A.; Brennan, P.; Kreimer, A.R.; Johansson, M.; et al. Nasopharyngeal carcinoma patients from Norway show elevated Epstein-Barr virus IgA and IgG antibodies prior to diagnosis. Cancer Epidemiol. 2022, 77, 102117. [Google Scholar] [CrossRef]
- Feederle, R.; Kost, M.; Baumann, M.; Janz, A.; Drouet, E.; Hammerschmidt, W.; Delecluse, H. The Epstein-Barr virus lytic program is controlled by the co-operative functions of two transactivators. EMBO J. 2000, 19, 3080–3089. [Google Scholar] [CrossRef] [PubMed]
- Littler, E.; Zeuthen, J.; McBride, A.; Sørensen, E.T.; Powell, K.; Walsh-Arrand, J.; Arrand, J. Identification of an Epstein-Barr virus-coded thymidine kinase. EMBO J. 1986, 5, 1959–1966. [Google Scholar] [CrossRef] [PubMed]
- Song, L.; Song, M.; Camargo, M.C.; Van Duine, J.; Williams, S.; Chung, Y.; Kim, K.-M.; Lissowska, J.; Sivins, A.; Gao, W.; et al. Identification of anti-Epstein-Barr virus (EBV) antibody signature in EBV-associated gastric carcinoma. Gastric Cancer 2021, 24, 858–867. [Google Scholar] [CrossRef] [PubMed]
- Seeßle, J.; Waterboer, T.; Hippchen, T.; Simon, J.; Kirchner, M.; Lim, A.; Müller, B.; Merle, U. Persistent Symptoms in Adult Patients 1 Year After Coronavirus Disease 2019 (COVID-19): A Prospective Cohort Study. Clin. Infect. Dis. 2021, 74, 1191–1198. [Google Scholar] [CrossRef]
- Munblit, D.; Nicholson, T.; Akrami, A.; Apfelbacher, C.; Chen, J.; De Groote, W.; Diaz, J.V.; Gorst, S.L.; Harman, N.; Kokorina, A.; et al. A core outcome set for post-COVID-19 condition in adults for use in clinical practice and research: An international Delphi consensus study. Lancet Respir. Med. 2022, 10, 715–724. [Google Scholar] [CrossRef]


| Study Characteristics | Cohort at the Acute COVID-19 Disease Time-Point (n = 96) | Follow-Up Sub-Cohort c (n = 62) |
|---|---|---|
| Age at acute disease onset, years, n (%) | ||
| <60 | 50 (53) | 31 (51) |
| ≥60 | 45 (47) | 30 (49) |
| Missing | 1 | 1 |
| Sex, n (%) | ||
| Male | 44 (46) | 30 (49) |
| Female | 51 (54) | 31 (51) |
| Missing | 1 | 1 |
| Pre-existing medical conditions at acute disease onset, n (%) | ||
| Asthma | 8 (8) | 7 (11) |
| Hypertension | 33 (34) | 21 (34) |
| Cardiovascular disease | 3 (3) | 1 (2) |
| Diabetes mellitus type 2 | 6 (6) | 5 (8) |
| Active malignancy | 5 (5) | 3 (5) |
| Depression | 4 (4) | 2 (3) |
| Obesity (BMI > 30kg/m2) | 23 (24) | 16 (26) |
| ≥1 condition | 51 (53) | 33 (53) |
| Acute disease severity, n (%) | ||
| Mild/moderate (WHO scale score of 3 or 4) | 59 (62) | 38 (61) |
| Severe/critical (WHO scale scores of 5–7) | 37 (38) | 24 (39) |
| CRP levels at acute disease onset > 5 mg/L, n (%) | 72 (75) | 46 (74) |
| Immunomodulatory therapy during acute COVID-19 disease, n (%) | ||
| Anti-IL1 | 2 (2) | 1 (2) |
| Cortisone | 1 (1) | 1 (2) |
| Acute symptoms, n (%) | ||
| Fatigue | 81 (84) | 53 (85) |
| Fever | 72 (75) | 46 (74) |
| Decrease in taste | 63 (66) | 40 (65) |
| Dyspnea | 53 (55) | 34 (55) |
| PASC symptoms a,b, n (%) | ||
| Fatigue | NA | 37 (60) |
| Decrease in taste | NA | 19 (31) |
| Dyspnea | NA | 29 (47) |
| Concentration problems | NA | 32 (52) |
Disclaimer/Publisher’s Note: The statements, opinions and data contained in all publications are solely those of the individual author(s) and contributor(s) and not of MDPI and/or the editor(s). MDPI and/or the editor(s) disclaim responsibility for any injury to people or property resulting from any ideas, methods, instructions or products referred to in the content. |
© 2024 by the authors. Licensee MDPI, Basel, Switzerland. This article is an open access article distributed under the terms and conditions of the Creative Commons Attribution (CC BY) license (https://creativecommons.org/licenses/by/4.0/).
Share and Cite
Butt, J.; Simon, J.; Waterboer, T.; Merle, U. Herpesvirus Antibody Response and Occurrence of Symptoms in Acute and Post-Acute COVID-19 Disease. Viruses 2024, 16, 1577. https://doi.org/10.3390/v16101577
Butt J, Simon J, Waterboer T, Merle U. Herpesvirus Antibody Response and Occurrence of Symptoms in Acute and Post-Acute COVID-19 Disease. Viruses. 2024; 16(10):1577. https://doi.org/10.3390/v16101577
Chicago/Turabian StyleButt, Julia, Julia Simon, Tim Waterboer, and Uta Merle. 2024. "Herpesvirus Antibody Response and Occurrence of Symptoms in Acute and Post-Acute COVID-19 Disease" Viruses 16, no. 10: 1577. https://doi.org/10.3390/v16101577
APA StyleButt, J., Simon, J., Waterboer, T., & Merle, U. (2024). Herpesvirus Antibody Response and Occurrence of Symptoms in Acute and Post-Acute COVID-19 Disease. Viruses, 16(10), 1577. https://doi.org/10.3390/v16101577

