Structural Investigations on Novel Non-Nucleoside Inhibitors of Human Norovirus Polymerase
Abstract
1. Introduction
2. Materials and Methods
2.1. Molecular Modelling Studies
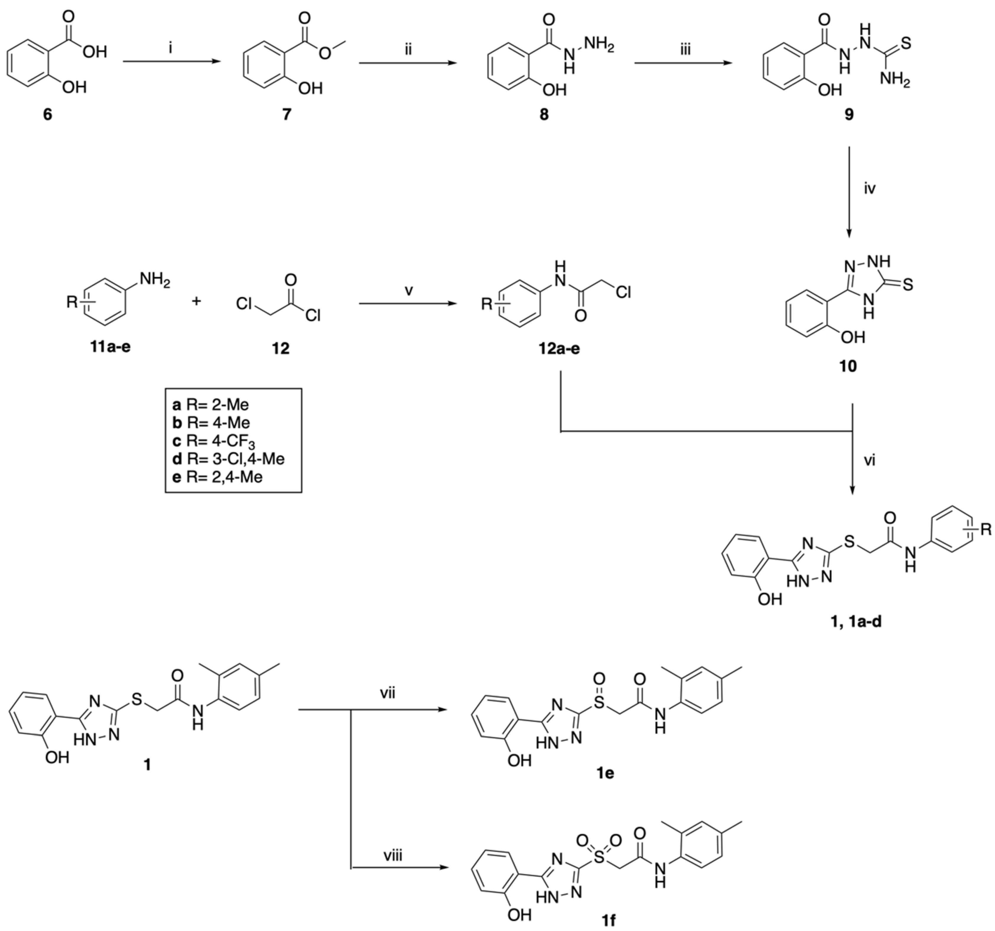
2.2. Synthetic Chemistry
2.3. Norovirus Polymerase Assays
2.3.1. Compounds
2.3.2. Recombinant RdRp Expression and Purification
2.3.3. Quantitative Fluorescent RdRp Activity
2.3.4. Gel-Based Assay
2.4. Antiviral and Cytotoxicity Assays
2.4.1. Cells and Virus
2.4.2. MNV Antiviral Assay
2.4.3. Cytotoxicity
3. Results and Discussion
3.1. Rational Design of Novel Analogues and Molecular Docking Studies
3.2. Synthesis of the Newly Designed Compounds
3.3. Norovirus RdRp Enzymatic Inhibition, Antiviral Activity and Cytotoxicity of the Synthesized Compounds
4. Conclusions
Supplementary Materials
Author Contributions
Funding
Institutional Review Board Statement
Informed Consent Statement
Data Availability Statement
Conflicts of Interest
References
- Lopman, B.A.; Steele, D.; Kirkwood, C.D.; Parashar, U.D. The Vast and Varied Global Burden of Norovirus: Prospects for Prevention and Control. PLoS Med. 2016, 13, e1001999. [Google Scholar] [CrossRef] [PubMed]
- De Graaf, M.; van Beek, J.; Koopmans, M.P. Human norovirus transmission and evolution in a changing world. Nat. Rev. Microbiol. 2016, 14, 421–433. [Google Scholar] [CrossRef] [PubMed]
- Scallan, E.; Hoekstra, R.M.; Angulo, F.J.; Tauxe, R.V.; Widdowson, M.A.; Roy, S.L.; Jones, J.L.; Griffin, P.M. Foodborne illness acquired in the United States—Major pathogens. Emerg. Infect. Dis. 2011, 17, 7–15. [Google Scholar] [CrossRef] [PubMed]
- Bartsch, S.; Lopman, B.; Ozawa, S.; Hall, A.; Lee, B. Global economic burden of norovirus gastroenteritis. PLoS ONE 2016, 11, 1–16. [Google Scholar] [CrossRef] [PubMed]
- Prasad, B.V.; Shanker, S.; Muhaxhiri, Z.; Deng, L.; Choi, J.M.; Estes, M.K.; Song, Y.; Palzkill, T.; Atmar, R.L. Antiviral targets of human noroviruses. Curr. Opin. Virol. 2016, 18, 117–125. [Google Scholar] [CrossRef] [PubMed]
- Tan, M. Norovirus Vaccines: Current Clinical Development and Challenges. Pathogens 2021, 10, 1641. [Google Scholar] [CrossRef]
- Netzler, N.E.; Enosi Tuipulotu, D.; White, P.A. Norovirus antivirals: Where are we now? Med. Res. Rev. 2019, 39, 860–886. [Google Scholar] [CrossRef]
- Haubrich, K.; Gantt, S.; Blydt-Hansen, T. Successful treatment of chronic norovirus gastroenteritis with nitazoxanide in a pediatric kidney transplant recipient. Pediatr. Transplant. 2018, 22, e13186. [Google Scholar] [CrossRef]
- Chhabra, P.; de Graaf, M.; Parra, G.I.; Chan, M.C.; Green, K.; Martella, V.; Wang, Q.; White, P.A.; Katayama, K.; Vennema, H.; et al. Updated classification of norovirus genogroups and genotypes. J. Gen. Virol. 2019, 100, 1393–1406. [Google Scholar] [CrossRef]
- Siebenga, J.J.; Vennema, H.; Zheng, D.P.; Vinjé, J.; Lee, B.E.; Pang, X.L.; Ho, E.C.; Lim, W.; Choudekar, A.; Broor, S.; et al. Norovirus illness is a global problem: Emergence and spread of norovirus GII.4 variants, 2001–2007. J. Infect. Dis. 2009, 200, 802–812. [Google Scholar] [CrossRef]
- Bok, K.; Abente, E.J.; Realpe-Quintero, M.; Mitra, T.; Sosnovtsev, S.V.; Kapikian, A.Z.; Green, K.Y. Evolutionary dynamics of GII.4 noroviruses over a 34-year period. J. Virol. 2009, 83, 11890–11901. [Google Scholar] [CrossRef]
- Donaldson, E.F.; Lindesmith, L.C.; Lobue, A.D.; Baric, R.S. Norovirus pathogenesis: Mechanisms of persistence and immune evasion in human populations. Immunol. Rev. 2008, 225, 190–211. [Google Scholar] [CrossRef]
- Clarke, I.N.; Lambden, P.R. Organization and expression of calicivirus genes. J. Infect. Dis. 2000, 181, S309–S316. [Google Scholar] [CrossRef]
- Belliot, G.; Sosnovtsev, S.V.; Mitra, T.; Hammer, C.; Garfield, M.; Green, K.Y. In vitro proteolytic processing of the MD145 norovirus ORF1 nonstructural polyprotein yields stable precursors and products similar to those detected in calicivirus-infected cells. J. Virol. 2003, 77, 10957–10974. [Google Scholar] [CrossRef]
- Kausar, S.; Said Khan, F.; Ishaq Mujeeb Ur Rehman, M.; Akram, M.; Riaz, M.; Rasool, G.; Hamid Khan, A.; Saleem, I.; Shamim, S.; Malik, A. A review: Mechanism of action of antiviral drugs. Int. J. Immunopathol. Pharmacol. 2021, 35, 20587384211002621. [Google Scholar] [CrossRef]
- Deval, J.; Jin, Z.; Chuang, Y.C.; Kao, C.C. Structure(s), function(s), and inhibition of the RNA-dependent RNA polymerase of noroviruses. Virus. Res. 2017, 234, 21–33. [Google Scholar] [CrossRef]
- Lee, J.-H.; Chung, M.S.; Kim, K.H. Structure and Function of Caliciviral RNA Polymerases. Viruses 2017, 9, 329. [Google Scholar] [CrossRef]
- Ferla, S.; Netzler, N.E.; Ferla, S.; Veronese, S.; Tuipulotu, D.E.; Guccione, S.; Brancale, A.; White, P.A.; Bassetto, M. In silico screening for human norovirus antivirals reveals a novel non-nucleoside inhibitor of the viral polymerase. Sci. Rep. 2018, 8, 4129. [Google Scholar] [CrossRef]
- Giancotti, G.; Rigo, I.; Pasqualetto, G.; Young, M.T.; Neyts, J.; Rocha-Pereira, J.; Brancale, A.; Ferla, S.; Bassetto, M. A new antiviral scaffold for human norovirus identified with computer-aided approaches on the viral polymerase. Sci. Rep. 2019, 9, 18413. [Google Scholar] [CrossRef]
- Ferla, S.; Varricchio, C.; Knight, W.; Ho, P.K.; Saporito, F.; Tropea, B.; Fagan, G.; Flude, B.M.; Bevilacqua, F.; Santos-Ferreira, N.; et al. Structure-Activity Relationship Studies on Novel Antiviral Agents for Norovirus Infections. Microorganisms 2021, 9, 1795. [Google Scholar] [CrossRef]
- Molecular Operating Environment (MOE 2019.10); Chemical Computing Group, Inc.: Montreal, QC, Canada. Available online: http://www.chemcomp.com (accessed on 11 November 2022).
- Schrödinger. Release 2020-2: Glide; Schrödinger LLC: New York, NY, USA, 2020. [Google Scholar]
- Urakova, N.; Netzler, N.; Kelly, A.G.; Frese, M.; White, P.A.; Strive, T. Purification and Biochemical Characterisation of Rabbit Calicivirus RNA-Dependent RNA Polymerases and Identification of Non-Nucleoside Inhibitors. Viruses 2016, 8, 100. [Google Scholar] [CrossRef] [PubMed]
- Rocha-Pereira, J.; Jochmans, D.; Debing, Y.; Verbeken, E.; Nascimento, M.S.; Neyts, J. The viral polymerase inhibitor 2′-C-methylcytidine inhibits Norwalk virus replication and protects against norovirus-induced diarrhea and mortality in a mouse model. J. Virol. 2013, 87, 11798–11805. [Google Scholar] [CrossRef] [PubMed]
- Miyaura, N.; Suzuki, A. Palladium-Catalyzed Cross-Coupling Reactions of Organoboron Compounds. Chem. Rev. 1995, 95, 2457–2483. [Google Scholar] [CrossRef]
- Jones, G. The Knoevenagel Condensation. Organic Reactions 2011. [Google Scholar] [CrossRef]
- Kolawole, A.O.; Rocha-Pereira, J.; Elftman, M.D.; Neyts, J.; Wobus, C.E. Inhibition of human norovirus by a viral polymerase inhibitor in the B cell culture system and in the mouse model. Antiviral. Res. 2016, 132, 46–49. [Google Scholar] [CrossRef]














| Compound | Structure | In Vitro RdRp Activity Assay IC50 (μM) 1 |
|---|---|---|
| 1f | ![]() | >100 |
| 2 | ![]() | 41.9 ± 0.6 |
| 2a | ![]() | >100 |
| 4 | ![]() | 15.0 2 |
| 4b | ![]() | 15.6 ± 1.8 |
| 5 | ![]() | 5.6 2 |
| 5a | ![]() | 17.3 ± 1.2 |
| PPNDS | ![]() | 1.5 ± 0.25 2 |
Disclaimer/Publisher’s Note: The statements, opinions and data contained in all publications are solely those of the individual author(s) and contributor(s) and not of MDPI and/or the editor(s). MDPI and/or the editor(s) disclaim responsibility for any injury to people or property resulting from any ideas, methods, instructions or products referred to in the content. |
© 2022 by the authors. Licensee MDPI, Basel, Switzerland. This article is an open access article distributed under the terms and conditions of the Creative Commons Attribution (CC BY) license (https://creativecommons.org/licenses/by/4.0/).
Share and Cite
Giancotti, G.; Nannetti, G.; Padalino, G.; Landini, M.; Santos-Ferreira, N.; Van Dycke, J.; Naccarato, V.; Patel, U.; Silvestri, R.; Neyts, J.; et al. Structural Investigations on Novel Non-Nucleoside Inhibitors of Human Norovirus Polymerase. Viruses 2023, 15, 74. https://doi.org/10.3390/v15010074
Giancotti G, Nannetti G, Padalino G, Landini M, Santos-Ferreira N, Van Dycke J, Naccarato V, Patel U, Silvestri R, Neyts J, et al. Structural Investigations on Novel Non-Nucleoside Inhibitors of Human Norovirus Polymerase. Viruses. 2023; 15(1):74. https://doi.org/10.3390/v15010074
Chicago/Turabian StyleGiancotti, Gilda, Giulio Nannetti, Gilda Padalino, Martina Landini, Nanci Santos-Ferreira, Jana Van Dycke, Valentina Naccarato, Usheer Patel, Romano Silvestri, Johan Neyts, and et al. 2023. "Structural Investigations on Novel Non-Nucleoside Inhibitors of Human Norovirus Polymerase" Viruses 15, no. 1: 74. https://doi.org/10.3390/v15010074
APA StyleGiancotti, G., Nannetti, G., Padalino, G., Landini, M., Santos-Ferreira, N., Van Dycke, J., Naccarato, V., Patel, U., Silvestri, R., Neyts, J., Gozalbo-Rovira, R., Rodríguez-Díaz, J., Rocha-Pereira, J., Brancale, A., Ferla, S., & Bassetto, M. (2023). Structural Investigations on Novel Non-Nucleoside Inhibitors of Human Norovirus Polymerase. Viruses, 15(1), 74. https://doi.org/10.3390/v15010074









