Development of Dog Vaccination Strategies to Maintain Herd Immunity against Rabies
Abstract
:1. Introduction
2. Materials and Methods
2.1. Logistics and Dissemination of Equipment
2.2. Study Sites
2.3. Dog Vaccination Campaigns
Centralized Pulsed Vaccination
2.4. Decentralised Continuous Vaccination
2.5. Recruitment and Training
2.6. Pre-Vaccination Preparations
2.7. Household Surveys
2.8. Statistical Analyses
3. Results
3.1. Vaccinations
3.2. Accuracy of Dog Vaccination Status Assessment
3.3. Vaccination Coverage
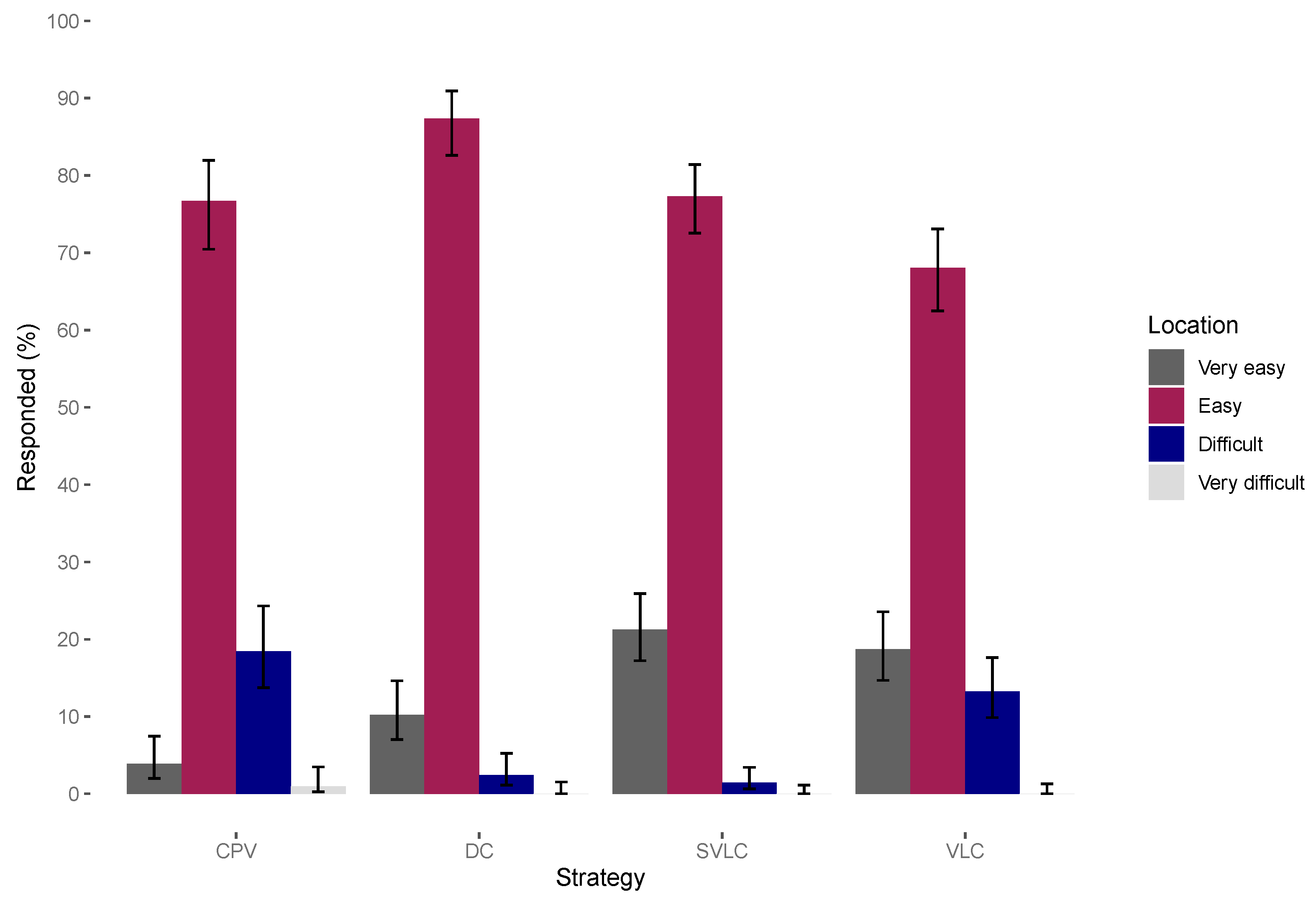
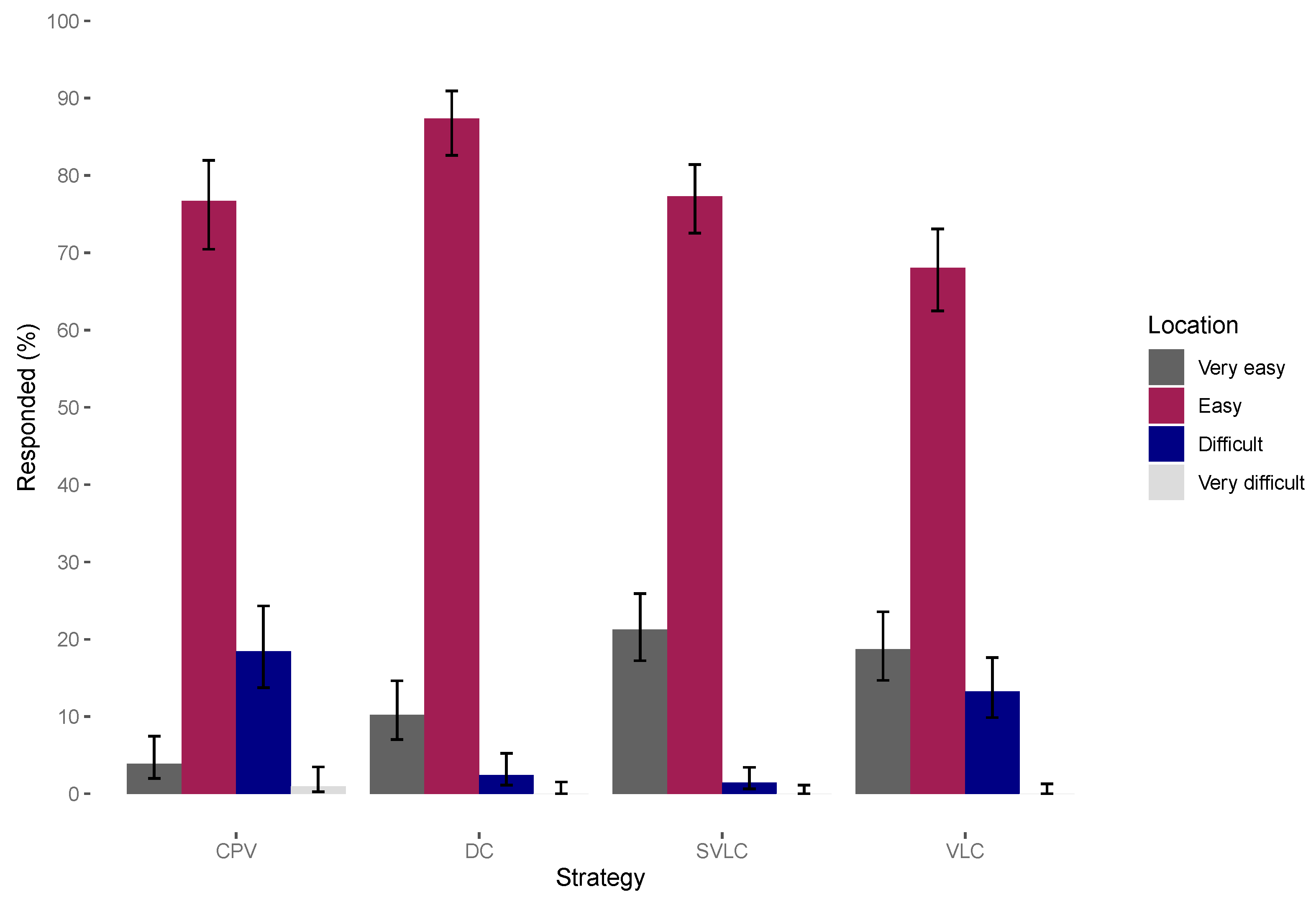
3.4. Vaccination Services
3.5. Reasons for Not Vaccinating Dogs
4. Discussion
5. Conclusions
Author Contributions
Funding
Institutional Review Board Statement
Informed Consent Statement
Data Availability Statement
Acknowledgments
Conflicts of Interest
References
- Knobel, D.L.; Cleaveland, S.; Coleman, P.G.; Fèvre, E.M.; Meltzer, M.I.; Miranda, M.E.G.; Shaw, A.; Zinsstag, J.; Meslin, F.-X. Re-Evaluating the Burden of Rabies in Africa and Asia. Bull. World Health Organ. 2005, 83, 360–368. [Google Scholar] [PubMed]
- Jibat, T.; Mourits, M.C.; Hogeveen, H. Incidence and Economic Impact of Rabies in the Cattle Population of Ethiopia. Prev. Vet. Med. 2016, 130, 67–76. [Google Scholar] [CrossRef] [PubMed]
- Fooks, A.R.; Banyard, A.C.; Horton, D.L.; Johnson, N.; McElhinney, L.M.; Jackson, A.C. Current Status of Rabies and Prospects for Elimination. Lancet Lond. Engl. 2014, 384, 1389–1399. [Google Scholar] [CrossRef]
- Cleaveland, S.; Kaare, M.; Tiringa, P.; Mlengeya, T.; Barrat, J. A Dog Rabies Vaccination Campaign in Rural Africa: Impact on the Incidence of Dog Rabies and Human Dog-Bite Injuries. Vaccine 2003, 21, 1965–1973. [Google Scholar] [CrossRef]
- Zinsstag, J.; Dürr, S.; Penny, M.; Mindekem, R.; Roth, F.; Gonzalez, S.M.; Naissengar, S.; Hattendorf, J. Transmission Dynamics and Economics of Rabies Control in Dogs and Humans in an African City. Proc. Natl. Acad. Sci. 2009, 106, 14996–15001. [Google Scholar] [CrossRef] [Green Version]
- Briggs, D.J. The Role of Vaccination in Rabies Prevention. Curr. Opin. Virol. 2012, 2, 309–314. [Google Scholar] [CrossRef]
- Lembo, T.; Hampson, K.; Kaare, M.T.; Ernest, E.; Knobel, D.; Kazwala, R.R.; Haydon, D.T.; Cleaveland, S. The Feasibility of Canine Rabies Elimination in Africa: Dispelling Doubts with Data. PLoS Negl. Trop. Dis. 2010, 4, e626. [Google Scholar] [CrossRef] [Green Version]
- Kaneko, C.; Omori, R.; Sasaki, M.; Kataoka-Nakamura, C.; Simulundu, E.; Muleya, W.; Moonga, L.; Ndebe, J.; Hang’ombe, B.M.; Dautu, G. Domestic Dog Demographics and Estimates of Canine Vaccination Coverage in a Rural Area of Zambia for the Elimination of Rabies. PLoS Negl. Trop. Dis. 2021, 15, e0009222. [Google Scholar] [CrossRef]
- Gsell, A.S.; Knobel, D.L.; Cleaveland, S.; Kazwala, R.R.; Vounatsou, P.; Zinsstag, J. Domestic Dog Demographic Structure and Dynamics Relevant to Rabies Control Planning in Urban Areas in Africa: The Case of Iringa, Tanzania. BMC Vet. Res. 2012, 8, 1–10. [Google Scholar] [CrossRef] [Green Version]
- Cleaton, J.M.; Wallace, R.M.; Crowdis, K.; Gibson, A.; Monroe, B.; Ludder, F.; Etheart, M.D.; Natal Vigilato, M.A.; King, A. Impact of Community-Delivered SMS Alerts on Dog-Owner Participation during a Mass Rabies Vaccination Campaign, Haiti 2017. Vaccine 2018, 36, 2321–2325. [Google Scholar] [CrossRef]
- Arief, R.A.; Hampson, K.; Jatikusumah, A.; Widyastuti, M.D.; Sunandar; Basri, C.; Putra, A.A.; Willyanto, I.; Estoepangestie, A.T.; Mardiana, I.W.; et al. Determinants of Vaccination Coverage and Consequences for Rabies Control in Bali, Indonesia. Front. Vet. Sci. 2016, 3, 123. [Google Scholar] [CrossRef] [PubMed]
- Conan, A.; Akerele, O.; Simpson, G.; Reininghaus, B.; van Rooyen, J.; Knobel, D. Population Dynamics of Owned, Free-Roaming Dogs: Implications for Rabies Control. PLoS Negl. Trop. Dis. 2015, 9, e0004177. [Google Scholar] [CrossRef] [PubMed] [Green Version]
- Lechenne, M.; Oussiguere, A.; Naissengar, K.; Mindekem, R.; Mosimann, L.; Rives, G.; Hattendorf, J.; Moto, D.D.; Alfaroukh, I.O.; Zinsstag, J.; et al. Operational Performance and Analysis of Two Rabies Vaccination Campaigns in N’Djamena, Chad. Vaccine 2016, 34, 571–577. [Google Scholar] [CrossRef] [PubMed] [Green Version]
- Minyoo, A.B.; Steinmetz, M.; Czupryna, A.; Bigambo, M.; Mzimbiri, I.; Powell, G.; Gwakisa, P.; Lankester, F. Incentives Increase Participation in Mass Dog Rabies Vaccination Clinics and Methods of Coverage Estimation Are Assessed to Be Accurate. PLoS Negl. Trop. Dis. 2015, 9, e0004221. [Google Scholar] [CrossRef]
- WHO Zero by 30: The Global Strategic Plan to End Human Deaths from Dog-Mediated Rabies by 2030. 2018.
- Coleman, P.G.; Dye, C. Immunization Coverage Required to Prevent Outbreaks of Dog Rabies. Vaccine 1996, 14, 185–186. [Google Scholar] [CrossRef]
- Hampson, K.; Dushoff, J.; Cleaveland, S.; Haydon, D.T.; Kaare, M.; Packer, C.; Dobson, A. Transmission Dynamics and Prospects for the Elimination of Canine Rabies. PLoS Biol. 2009, 7, e1000053. [Google Scholar] [CrossRef]
- Morters, M.K.; McKinley, T.J.; Restif, O.; Conlan, A.J.; Cleaveland, S.; Hampson, K.; Whay, H.R.; Damriyasa, I.M.; Wood, J.L. The Demography of Free-roaming Dog Populations and Applications to Disease and Population Control. J. Appl. Ecol. 2014, 51, 1096–1106. [Google Scholar] [CrossRef]
- Kitala, P.M.; McDermott, J.J.; Coleman, P.G.; Dye, C. Comparison of Vaccination Strategies for the Control of Dog Rabies in Machakos District, Kenya. Epidemiol. Infect. 2002, 129, 215–222. [Google Scholar] [CrossRef]
- Kaare, M.; Lembo, T.; Hampson, K.; Ernest, E.; Estes, A.; Mentzel, C.; Cleaveland, S. Rabies Control in Rural Africa: Evaluating Strategies for Effective Domestic Dog Vaccination. Vaccine 2009, 27, 152–160. [Google Scholar] [CrossRef] [Green Version]
- Mulipukwa, C.P.; Mudenda, B.; Mbewe, A.R. Insights and Efforts to Control Rabies in Zambia: Evaluation of Determinants and Barriers to Dog Vaccination in Nyimba District. PLoS Negl. Trop. Dis. 2017, 11, e0005946. [Google Scholar] [CrossRef] [Green Version]
- Barbosa Costa, G.; Ludder, F.; Monroe, B.; Dilius, P.; Crowdis, K.; Blanton, J.D.; Pieracci, E.G.; Head, J.R.; Gibson, A.D.; Wallace, R.M. Barriers to Attendance of Canine Rabies Vaccination Campaigns in Haiti, 2017. Transbound. Emerg. Dis. 2020, 67, 2679–2691. [Google Scholar] [CrossRef] [PubMed]
- Beran, G.W. Ecology of Dogs in the Central Philippines in Relation to Rabies Control Efforts. Comp. Immunol. Microbiol. Infect. Dis. 1982, 5, 265–270. [Google Scholar] [CrossRef]
- Davlin, S.L.; VonVille, H.M. Canine Rabies Vaccination and Domestic Dog Population Characteristics in the Developing World: A Systematic Review. Vaccine 2012, 30, 3492–3502. [Google Scholar] [CrossRef] [PubMed]
- Lankester, F.J.; Wouters, P.A.; Czupryna, A.; Palmer, G.H.; Mzimbiri, I.; Cleaveland, S.; Francis, M.J.; Sutton, D.J.; Sonnemans, D.G. Thermotolerance of an Inactivated Rabies Vaccine for Dogs. Vaccine 2016, 34, 5504–5511. [Google Scholar] [CrossRef] [PubMed] [Green Version]
- Chen, S.-I.; Norman, B.A.; Rajgopal, J.; Lee, B.Y. Passive Cold Devices for Vaccine Supply Chains. Ann. Oper. Res. 2015, 230, 87–104. [Google Scholar] [CrossRef]
- Hibbs, B.F.; Miller, E.; Shi, J.; Smith, K.; Lewis, P.; Shimabukuro, T.T. Safety of Vaccines That Have Been Kept Outside of Recommended Temperatures: Reports to the Vaccine Adverse Event Reporting System (VAERS), 2008–2012. Vaccine 2018, 36, 553–558. [Google Scholar] [CrossRef]
- Kahn, A.L.; Kristensen, D.; Rao, R. Extending Supply Chains and Improving Immunization Coverage and Equity through Controlled Temperature Chain Use of Vaccines. Vaccine 2017, 35, 2214–2216. [Google Scholar] [CrossRef]
- Kristensen, D.D.; Lorenson, T.; Bartholomew, K.; Villadiego, S. Can Thermostable Vaccines Help Address Cold-Chain Challenges? Results from Stakeholder Interviews in Six Low- and Middle-Income Countries. Vaccine 2016, 34, 899–904. [Google Scholar] [CrossRef] [Green Version]
- Lugelo, A.; Hampson, K.; Bigambo, M.; Kazwala, R.; Lankester, F. Controlling Human Rabies: The Development of an Effective, Inexpensive and Locally Made Passive Cooling Device for Storing Thermotolerant Animal Rabies Vaccines. Trop. Med. Infect. Dis. 2020, 5, 130. [Google Scholar] [CrossRef]
- Tanzania National Bureau of Statistics 2012 Population and Housing Census. 2012. Available online: https://www.nbs.go.tz/index.php/en/census-surveys/population-and-housing-census (accessed on 1 March 2022).
- Czupryna, A.M.; Brown, J.S.; Bigambo, M.A.; Whelan, C.J.; Mehta, S.D.; Santymire, R.M.; Lankester, F.J.; Faust, L.J. Ecology and Demography of Free-Roaming Domestic Dogs in Rural Villages near Serengeti National Park in Tanzania. PLoS ONE 2016, 11, e0167092. [Google Scholar] [CrossRef] [Green Version]
- Gibson, A.D.; Mazeri, S.; Lohr, F.; Mayer, D.; Burdon Bailey, J.L.; Wallace, R.M.; Handel, I.G.; Shervell, K.; deC Bronsvoort, B.M.; Mellanby, R.J. One Million Dog Vaccinations Recorded on MHealth Innovation Used to Direct Teams in Numerous Rabies Control Campaigns. PLoS ONE 2018, 13, e0200942. [Google Scholar] [CrossRef] [PubMed] [Green Version]
- Hartig, F. DHARMa: Residual Diagnostics for Hierarchical (Multi-Level/Mixed) Regression Models. R Package Version 044 2020, 3. [Google Scholar] [CrossRef]
- Bates, D.; Maechler, M.; Bolker, B.; Walker, S. Fitting Linear Mixed-Effects Models Using Lme4. J. Stat. Softw. 2015, 67, 1–48. [Google Scholar] [CrossRef]
- Kuznetsova, A.; Brockhoff, P.B.; Christensen, R.H. LmerTest Package: Tests in Linear Mixed Effects Models. J. Stat. Softw. 2017, 82, 1–26. [Google Scholar] [CrossRef] [Green Version]
- Nakagawa, S.; Johnson, P.C.; Schielzeth, H. The Coefficient of Determination R 2 and Intra-Class Correlation Coefficient from Generalized Linear Mixed-Effects Models Revisited and Expanded. J. R. Soc. Interface 2017, 14, 20170213. [Google Scholar] [CrossRef] [Green Version]
- Jibat, T.; Hogeveen, H.; Mourits, M.C. Review on Dog Rabies Vaccination Coverage in Africa: A Question of Dog Accessibility or Cost Recovery? PLoS Negl. Trop. Dis. 2015, 9, e0003447. [Google Scholar] [CrossRef] [Green Version]
- Touihri, L.; Zaouia, I.; Elhili, K.; Dellagi, K.; Bahloul, C. Evaluation of Mass Vaccination Campaign Coverage against Rabies in Dogs in Tunisia. Zoonoses Public Health 2011, 58, 110–118. [Google Scholar] [CrossRef]
- Townsend, S.E.; Sumantra, I.P.; Pudjiatmoko; Bagus, G.N.; Brum, E.; Cleaveland, S.; Crafter, S.; Dewi, A.P.; Dharma, D.M.; Dushoff, J.; et al. Designing Programs for Eliminating Canine Rabies from Islands: Bali, Indonesia as a Case Study. PLoS Negl. Trop. Dis. 2013, 7, e2372. [Google Scholar] [CrossRef]
- Butler, J.; Bingham, J. Demography and Dog-human Relationships of the Dog Population in Zimbabwean Communal Lands. Vet. Rec. 2000, 147, 442–446. [Google Scholar] [CrossRef]
- Gibson, A.D.; Handel, I.G.; Shervell, K.; Roux, T.; Mayer, D.; Muyila, S.; Maruwo, G.B.; Nkhulungo, E.M.S.; Foster, R.A.; Chikungwa, P.; et al. The Vaccination of 35,000 Dogs in 20 Working Days Using Combined Static Point and Door-to-Door Methods in Blantyre, Malawi. PLoS Negl. Trop. Dis. 2016, 10. [Google Scholar] [CrossRef] [Green Version]
- Taylor, L.H.; Wallace, R.M.; Balaram, D.; Lindenmayer, J.M.; Eckery, D.C.; Mutonono-Watkiss, B.; Parravani, E.; Nel, L.H. The Role of Dog Population Management in Rabies Elimination—a Review of Current Approaches and Future Opportunities. Front. Vet. Sci. 2017, 4, 109. [Google Scholar] [CrossRef] [PubMed]
- Morters, M.K.; McKinley, T.J.; Horton, D.L.; Cleaveland, S.; Schoeman, J.P.; Restif, O.; Whay, H.R.; Goddard, A.; Fooks, A.R.; Damriyasa, I.M. Achieving Population-Level Immunity to Rabies in Free-Roaming Dogs in Africa and Asia. PLoS Negl. Trop. Dis. 2014, 8, e3160. [Google Scholar] [CrossRef] [PubMed] [Green Version]
- Mazeri, S.; Gibson, A.D.; Meunier, N.; Bronsvoort, B.M.D.; Handel, I.G.; Mellanby, R.J.; Gamble, L. Barriers of Attendance to Dog Rabies Static Point Vaccination Clinics in Blantyre, Malawi. PLoS Negl. Trop. Dis. 2018, 12, e0006159. [Google Scholar] [CrossRef] [PubMed] [Green Version]
- Durr, S.; Mindekem, R.; Kaninga, Y.; Moto, D.D.; Meltzer, M.; Vounatsou, P.; Zinsstag, J. Effectiveness of Dog Rabies Vaccination Programmes: Comparison of Owner-Charged and Free Vaccination Campaigns. Epidemiol. Infect. 2009, 137, 1558–1567. [Google Scholar] [CrossRef]
- Muthiani, Y.; Traore, A.; Mauti, S.; Zinsstag, J.; Hattendorf, J. Low Coverage of Central Point Vaccination against Dog Rabies in Bamako, Mali. Prev. Vet. Med. 2015, 120, 203–209. [Google Scholar] [CrossRef]
- Castillo-Neyra, R.; Brown, J.; Borrini, K.; Arevalo, C.; Levy, M.Z.; Buttenheim, A.; Hunter, G.C.; Becerra, V.; Behrman, J.; Paz-Soldan, V.A. Barriers to Dog Rabies Vaccination during an Urban Rabies Outbreak: Qualitative Findings from Arequipa, Peru. PLoS Negl. Trop. Dis. 2017, 11, e0005460. [Google Scholar] [CrossRef]
- Sánchez-Soriano, C.; Gibson, A.D.; Gamble, L.; Bailey, J.L.B.; Green, S.; Green, M.; Barend, M.; Handel, I.G.; Mellanby, R.J.; Mazeri, S. Development of a High Number, High Coverage Dog Rabies Vaccination Programme in Sri Lanka. BMC Infect. Dis. 2019, 19, 1–12. [Google Scholar] [CrossRef] [Green Version]
- Sánchez-Soriano, C.; Gibson, A.D.; Gamble, L.; Bailey, J.L.B.; Mayer, D.; Lohr, F.; Chikungwa, P.; Chulu, J.; Handel, I.G.; Barend, M. Implementation of a Mass Canine Rabies Vaccination Campaign in Both Rural and Urban Regions in Southern Malawi. PLoS Negl. Trop. Dis. 2020, 14, e0008004. [Google Scholar] [CrossRef] [Green Version]
- Kayali, U.; Mindekem, R.; Yemadji, N.; Vounatsou, P.; Kaninga, Y.; Ndoutamia, A.G.; Zinsstag, J. Coverage of Pilot Parenteral Vaccination Campaign against Canine Rabies in N’Djamena, Chad. Bull. World Health Organ. 2003, 81, 739–744. [Google Scholar]
- Evans, M.; Bailey, J.B.; Lohr, F.; Opira, W.; Migadde, M.; Gibson, A.; Handel, I.; deC Bronsvoort, B.; Mellanby, R.; Gamble, L. Implementation of High Coverage Mass Rabies Vaccination in Rural Uganda Using Predominantly Static Point Methodology. Vet. J. 2019, 249, 60–66. [Google Scholar] [CrossRef]
- Turkson, P. Client’s Satisfaction with Delivery of Animal Health-Care Services in Peri-Urban Ghana. Prev. Vet. Med. 2009, 90, 153–159. [Google Scholar] [CrossRef] [PubMed]
- Cleaveland, S.; Lankester, F.; Townsend, S.; Lembo, T.; Hampson, K. Rabies Control and Elimination: A Test Case for One Health. Vet. Rec. 2014, 175, 188–193. [Google Scholar] [CrossRef] [PubMed] [Green Version]
- Wallace, R.M.; Undurraga, E.A.; Blanton, J.D.; Cleaton, J.; Franka, R. Elimination of Dog-Mediated Human Rabies Deaths by 2030: Needs Assessment and Alternatives for Progress Based on Dog Vaccination. Front. Vet. Sci. 2017, 4, 9. [Google Scholar] [CrossRef] [PubMed] [Green Version]
- Taylor, L.; Partners for Rabies Prevention. Eliminating Canine Rabies: The Role of Public–Private Partnerships. Antiviral Res. 2013, 98, 314–318. [Google Scholar] [CrossRef] [PubMed]





| Sn | District | Ward | Strategy | Dogs |
|---|---|---|---|---|
| 1 | Butiama | Masaba | CPV | 524 |
| 2 | Butiama | Buswahili | VLC | 2198 |
| 3 | Butiama | Sirorisimba | SVLC | 2403 |
| 4 | Butiama | Nyamimange | DC | 1594 |
| 5 | Rorya | Komuge | CPV | 1326 |
| 6 | Rorya | Tai | VLC | 1418 |
| 7 | Rorya | Mkoma | SVLC | 1280 |
| 8 | Rorya | Bukura | DC | 1606 |
| 9 | Tarime | Nyamwaga | CPV | 804 |
| 10 | Tarime | Gorong’a | VLC | 1493 |
| 11 | Tarime | Nyanungu | SVLC | 1489 |
| 12 | Tarime | Itiryo | DC | 1436 |
| Total | 17,571 |
| Strategy | Dogs |
|---|---|
| CPV | 223 |
| VLC | 275 |
| SVLC | 72 |
| DC | 71 |
| Variable | VLC | SVLC | DC |
|---|---|---|---|
| Is the respondent aware there is a RC in their ward? | 301/361 (83.4%) | 233/348 (67.0%) | 237/296 (80.1%) |
| If yes, do they know how to contact the RC? | 256/301 (85.1%) | 200/233 (85.8%) | 235/237 (99.2%) |
| Is the respondent aware there is a OHC in their village? | 330/361 (91.4%) | 315/388 (81.2%) | 150/296 (50.7%) |
| If yes, do they know how to contact the OHC? | 303/330 (91.8%) | 302/315 (95.9%) | 144/153 (94.1%) |
| Are you satisfied with the vaccination services provided by the RC and OHC in your area? | 324/355 (91.3%) | 354/388 (91.2%) | 249/294 (84.7%) |
| Reason | CPV (n) | % | DCV (n) | % |
|---|---|---|---|---|
| 1. Dog had puppies | 10 | 5.1 | 4 | 1.0 |
| 2. Dog sick | 2 | 1.0 | 3 | 0.8 |
| 3. Dog aggressive | 9 | 4.6 | 13 | 3.4 |
| 4. Acquired/born after vaccination | 28 | 14.4 | 159 | 41.5 |
| 5. Didn’t hear about the campaign | 44 | 22.6 | 7 | 1.8 |
| 6. Dog difficult to restrain | 14 | 7.2 | 48 | 12.5 |
| 7. Distance to vaccination point too long | 1 | 0.5 | 1 | 0.3 |
| 8. Dog not at home | 7 | 3.6 | 23 | 6.0 |
| 9. Owner sick | 7 | 3.6 | 3 | 0.8 |
| 10. Dog too young | 2 | 1.0 | 12 | 3.1 |
| 11. Ran away | 28 | 14.4 | 84 | 21.9 |
| 12. Owner unavailable | 36 | 18.5 | 19 | 5.0 |
| 13. Not enough time | 6 | 3.1 | 0 | 0.0 |
| 14. Mistrust of vaccination campaigns | 1 | 0.5 | 0 | 0.0 |
| 15. Vaccine finished | 0 | 0.0 | 3 | 0.8 |
| 16. Too many dogs at home | 0 | 0.0 | 4 | 1.0 |
| Total | 195 | 100.0 | 383 | 100.0 |
| Fixed Effect | Sum of Squares | Mean Squares | Df (num, den.) | F Value | p Value | |
|---|---|---|---|---|---|---|
| Travel time | Intervention | 1.6 | 0.5 | 3, 6.1 | 1.3 | 0.37 |
| District | 0.5 | 0.3 | 2, 6.2 | 0.6 | 0.56 | |
| Wait time | Intervention | 3.1 | 1.0 | 3, 6.1 | 1.9 | 0.22 |
| District | 3.7 | 1.9 | 2, 6.1 | 3.4 | 0.09 |
| Strategy | Mean Travel Time (min) | 95% CI | Mean Wait Time (min) | 95% CI |
|---|---|---|---|---|
| CPV | 22.4 | 14.8–33.9 | 58.5 | 23.7–144.0 |
| VLC | 28.1 | 18.8–42.2 | 81.3 | 33.2–199.5 |
| SVLC | 17.3 | 11.5–25.9 | 34.0 | 13.8–83.3 |
| DC | 20.2 | 13.4–30.6 | 35.3 | 14.3–87.3 |
Publisher’s Note: MDPI stays neutral with regard to jurisdictional claims in published maps and institutional affiliations. |
© 2022 by the authors. Licensee MDPI, Basel, Switzerland. This article is an open access article distributed under the terms and conditions of the Creative Commons Attribution (CC BY) license (https://creativecommons.org/licenses/by/4.0/).
Share and Cite
Lugelo, A.; Hampson, K.; Ferguson, E.A.; Czupryna, A.; Bigambo, M.; Duamor, C.T.; Kazwala, R.; Johnson, P.C.D.; Lankester, F. Development of Dog Vaccination Strategies to Maintain Herd Immunity against Rabies. Viruses 2022, 14, 830. https://doi.org/10.3390/v14040830
Lugelo A, Hampson K, Ferguson EA, Czupryna A, Bigambo M, Duamor CT, Kazwala R, Johnson PCD, Lankester F. Development of Dog Vaccination Strategies to Maintain Herd Immunity against Rabies. Viruses. 2022; 14(4):830. https://doi.org/10.3390/v14040830
Chicago/Turabian StyleLugelo, Ahmed, Katie Hampson, Elaine A. Ferguson, Anna Czupryna, Machunde Bigambo, Christian Tetteh Duamor, Rudovick Kazwala, Paul C. D. Johnson, and Felix Lankester. 2022. "Development of Dog Vaccination Strategies to Maintain Herd Immunity against Rabies" Viruses 14, no. 4: 830. https://doi.org/10.3390/v14040830
APA StyleLugelo, A., Hampson, K., Ferguson, E. A., Czupryna, A., Bigambo, M., Duamor, C. T., Kazwala, R., Johnson, P. C. D., & Lankester, F. (2022). Development of Dog Vaccination Strategies to Maintain Herd Immunity against Rabies. Viruses, 14(4), 830. https://doi.org/10.3390/v14040830

