Abstract
Bacterial viruses known as bacteriophages have been demonstrated to be effective in killing foodborne pathogens such as Shigella flexneri. Adsorption is the first step in the phage–host interaction. In the present work, 10 Shigella phages were used to characterize the adsorption process on Shigella flexneri ATCC12022 in several physicochemical conditions related to food and in a food matrix. One-step growth curves were drawn for all the Shigella-phages evaluated. Furthermore, the adsorption rate for each of the 10 phages was determined. In addition, the influence of temperature, Na+, Mg2+, pH, sucrose and glycerol on phage adsorption was investigated. Two phages (Shi22 and Shi30) showed higher burst sizes values (67 and 64 PFU cell−1, respectively) and burst times of 25 min to 30 min, while the other eight phages exhibited burst sizes ranging from 14 to 17 PFU cell−1 with slower burst times. Furthermore, most phages achieved a high adsorption rate, and the adsorption constants (k) ranged from ~10−9 to 10−10 mL min−1. Regarding the influence of temperature, cations and pH, a high or moderate percentage of adsorption was observed for most of the phages evaluated. The adsorption decreased at increasing concentrations of Na+, sucrose and glycerol, although at different levels, since adsorption was more affected by sucrose than by glycerol and Na+ for most phages. The adsorption obtained in Triptein soy broth (TSB) for most of the phages/strain systems evaluated was moderate or high, as well as those observed in a food matrix. Thus, our phages could potentially be used to improve food safety under a wide range of environmental conditions against foodborne pathogens.
1. Introduction
The foodborne pathogen Shigella flexneri is most frequently associated with shigellosis outbreaks in developing countries [1,2,3] such as Argentina [4] and related to the ingestion of contaminated water and food [5]. Shigellosis is recognized as an important cause of children’s mortality in Argentina [6] and is the most important cause of bloody diarrhea worldwide [7].
An increasing antibiotic resistance was observed in recent years [8] among Shigella populations [9]. In addition, Shigella is spread by direct contact with an infected person, or by eating contaminated food or drinking contaminated water [10]. Therefore, there is a need to develop new strategies in order to fight against foodborne pathogens resistant to antibiotics, as designated for Shigella strains [11]. Bacteriophages are the natural enemies of bacteria and may be used as a preventive technology in order to reduce the incidence of Shigella infections and enhance food safety. Unlike antibiotics, phages are very specific viruses that kill only the targeted bacteria without affecting any other beneficial bacteria present in food. Furthermore, phages have been generally recognized as having safe (GRAS) status, as granted by the Food and Drug Administration.
Adsorption of phages to the cell surface is the first step in the phage life cycle and determines the whole infection process [12]. Abiotic conditions such as pH and temperature are known to play an important role in the phage lifecycle. A better understanding of phage–host interactions in different abiotic conditions can lead to more effective biocontrol treatments. Although studies on the isolation or characterization of Shigella phages have been conducted [13,14], those focusing on adsorption of S. flexneri phages have hardly been documented.
In our previous study, 10 phages lytic against S. flexneri strains were isolated and characterized by their host range and challenge assays, including stability tests under various stress conditions [14]. Thus, the aim of the present work was to characterize the phage–host interaction through parameters of the phage cycle and adsorption constants (k), and to evaluate the influence of physicochemical conditions relevant to food processing on phage adsorption to improve the efficiency of application on the food matrix. To our knowledge, this is the first study focused on evaluating adsorption of S. flexneri phages at several abiotic conditions, such as varying temperature and pH as well as different concentrations of Na+, Mg2+ and sucrose.
2. Materials and Methods
2.1. Bacterial Strains and Phages
ATCC12022, a Shigella flexneri strain belonging to serotype 2b, was used in adsorption studies and as a host strain to propagate bacteriophages. Stocks at −80 °C in Triptein soy broth (TSB; pancreatic digest of casein 17 g L−1, papaic digest of soybean 3 g L−1, sodium chloride 5 g L−1, dipotassium phosphate 2.5 g L−1, glucose 2.5 g L−1 supplemented with 15% v/v glycerol) were reactivated overnight in TSB at 37 °C for assays with Shigella phages.
In this study, 10 bacteriophages, namely AShi, Shi3, Shi22, Shi30, Shi33, Shi34, Shi40, Shi88, Shi93 and Shi113, previously isolated from 114 stool samples [14], were used to evaluate their growth curve and adsorption characteristics.
2.2. One Step Growth Curve
A one-step growth analysis was carried out for the 10 Shigella phages evaluated. Briefly, ATCC12022 cells were grown (optical density at 600 nm-OD600nm -of 0.1), then harvested by centrifugation (1 min at 14,000× g), and the pellet obtained was resuspended (500 μL of TSB) and mixed with 500 μL of each phage evaluated (multiplicity of infection-MOI = 0.01). The ATCC12022-phage mixture was incubated (2 min at 37 °C) and then centrifuged (1 min at 14,000× g) to remove free phages. The pellet was resuspended in 10 mL of fresh TSB and incubated at 37 °C. Phages were enumerated every 10 min by the double-layer plaque technique [15]. Plaques were incubated for 18 h at 37 °C, and the plaque forming units (PFU) were counted to calculate the burst size for each phage by the equation described by Wang [16].
2.3. Adsorption Studies
Adsorption studies of phages (100 µL, 105 PFU) on bacteria (500 µL, OD600nm = 1.0) were conducted using a MOI of 0.001 in order to achieve the maximum adsorption possible. Following incubation at 25 °C for 10 min, suspensions were centrifuged for 5 min at 14,000× g. Then, free phages (supernatant) were enumerated by the double-layer plaque technique [15]. Non-adsorbing control (phages-105 PFU in TSB without cells incubated at 25 °C for 10 min, then centrifuged for 5 min at 14,000× g-and enumerated) was carried out for each phage evaluated (100% free phage).
2.3.1. Adsorption Rate
Assays were conducted as described in Section 2.3 (25 °C; MOI = 0.001) to evaluate the phage adsorption rate. A non-adsorbing control (TSB without cells) was performed for each phage evaluated for setting the value of time 0 min (100% free phage). Then, samples were taken every 2 or 3 min (up to 17 min), centrifuged (1 min at 14,000× g) and free phages in the supernatant were enumerated by the double-layer plaque technique [15]. Finally, the adsorption constant k for each phage was calculated as previously described [17].
2.3.2. Influence of Physicochemical Factors
Adsorption of Shigella phages on ATCC12022 cells was evaluated under several conditions. Temperature: 4, 25 (control), 37 and 50 °C. Cations: NaCl (TSB, 1, 2, 4, 10 and 20 g dL−1) or MgSO4 (1, 5 and 10 mmol L−1). pH: 4, 7 (control) and 10. Sucrose: 5, 10 and 20 g dL−1. Glycerol: 5, 10, 20 and 30 g dL−1. Cells were grown in TSB for 18 h at 37 °C at each condition tested for adsorption assays. ATCC12022 was inhibited at 10 and 20 g dL−1 of NaCl, at pH 4 and 10 and at 20 and 30 g dL−1 of glycerol. Thus, cells of ATCC12022 were previously grown in TSB (18 h at 37 °C) and then centrifuged and resuspended at those salinities, with pH and glycerol values used to carry out experiments at the inhibitory conditions. Results were expressed as percentages of adsorption after 10 min of phage-cells interaction regarding non-adsorbing controls.
2.3.3. Adsorption in Meat
Adsorption studies of phages (10 µL, 105 PFU) on bacteria (10 µL, OD600nm = 1.0) in meat were conducted using an MOI of 0.001. Beef was aseptically cut into pieces (1 cm2; pH 5.6), placed in petri dishes and pre-equilibrated to 25 °C. Ten μL of ATCC12022 suspension were pipetted onto the surface of the meat sample and allowed to attach for ten minutes at room temperature. Next, 10 μL of each phage were pipetted on the meat surface. Following incubation at 25 °C for 10 min, meat pieces were transferred to a sterile tube with 1 mL of TSB and mixed for 1 min. A sample (0.6 mL) of the liquid portion was transferred to a sterile eppendorf and centrifuged for 5 min at 14,000× g. Then, free phages (supernatant) were enumerated by the double-layer plaque technique [15]. Nonadsorbing control (meat without cells) was carried out for each phage evaluated (100% free phage).
2.4. Statistical Analysis
Three independent experiments (biological replicates) were carried out. The mean values of treatments and controls were compared using the student’s t test at p < 0.05.
3. Results
3.1. One Step Growth Curve Experiment
Parameters such as burst size and latent period were investigated through the one-step growth curve. Although a similar behavior was found for all the phages evaluated, different values were observed (Figure S1). Studies showed that the latent period and burst size of phage Shi22 were 25 min and 67 PFU cell−1, respectively. In addition, the latent period was followed by a burst period of about 25 min with an average burst time of 40 min. Shi30 showed a similar behavior to Shi22 regarding the burst size (64 PFU cell−1). Moreover, Shi30 revealed the longer latent period (30 min) of all the phages tested.
Regarding the other phages evaluated, all of them showed a relatively low burst size, presenting values ranging from 14 to 17 PFU cell−1. Thus, experiments revealed two groups of phages: two phages with a large burst size, namely Shi22 and Shi30, and eight phages with a low burst size, namely AShi, Shi3, Shi33, Shi34, Shi40, Shi88, Shi93 and Shi113 (Table 1). Furthermore, phages with a large burst size presented a slightly higher latent period (25 min to 30 min) than those with lower values (15 min to 25 min).
Table 1.
Parameters calculated from the one-step growth curve and adsorption rate experiments.
3.2. Adsorption Studies
3.2.1. Adsorption Rate
Adsorption experiments revealed that our Shigella phages adsorbed differentially to ATCC12022 cells. Figure 1 shows a representative adsorption curve (phage Shi22). Four phages showed that a 70% or more of their particles adsorbed within 5 min (AShi, Shi3, Shi22 and Shi113), while, for the other six phages tested, the adsorption rate ranged from 21 to 56% after a 5-min incubation (MOI = 0.001), namely Shi30, Shi33, Shi34, Shi40, Shi88 and Shi93 (Table 1). At the end (17 min) of each experiment, six phages significantly increased (AShi, Shi22, Shi30, Shi34, Shi40 and Shi93) and the other three slightly increased (Shi3, Shi33 and Shi88) their amount of particles adsorbed. One phage presented an adsorption that remained unchanged (Shi113) within 17 min (Table 1).
Figure 1.
Phage Shi22 adsorption rate in TSB at 25 °C on ATCC12022 viable cells. A similar behavior was found for all the phages evaluated. Values are the mean ± standard deviation (error bars) of three determinations.
In this work, the adsorption rate constant k ranged from 4.64 × 10−10 mL min−1 to 4.16 × 10−9 mL min−1 after a 5-min phage–cell interaction at 25 °C (MOI = 0.001) (Table 1). Specifically, most phages showed values of k within the same order of magnitude (AShi, Shi3, Shi22, Shi30, Shi33, Shi34, Shi88, Shi93 and Shi113), while Shi40 presented the lower k value (4.64 × 10−10 mL min−1) of all the phages tested. In addition, phages with the highest k values (AShi and Shi22) were the only ones that achieved a high adsorption rate (>96%) at the end of the experiments (17 min).
3.2.2. Influence of Temperature
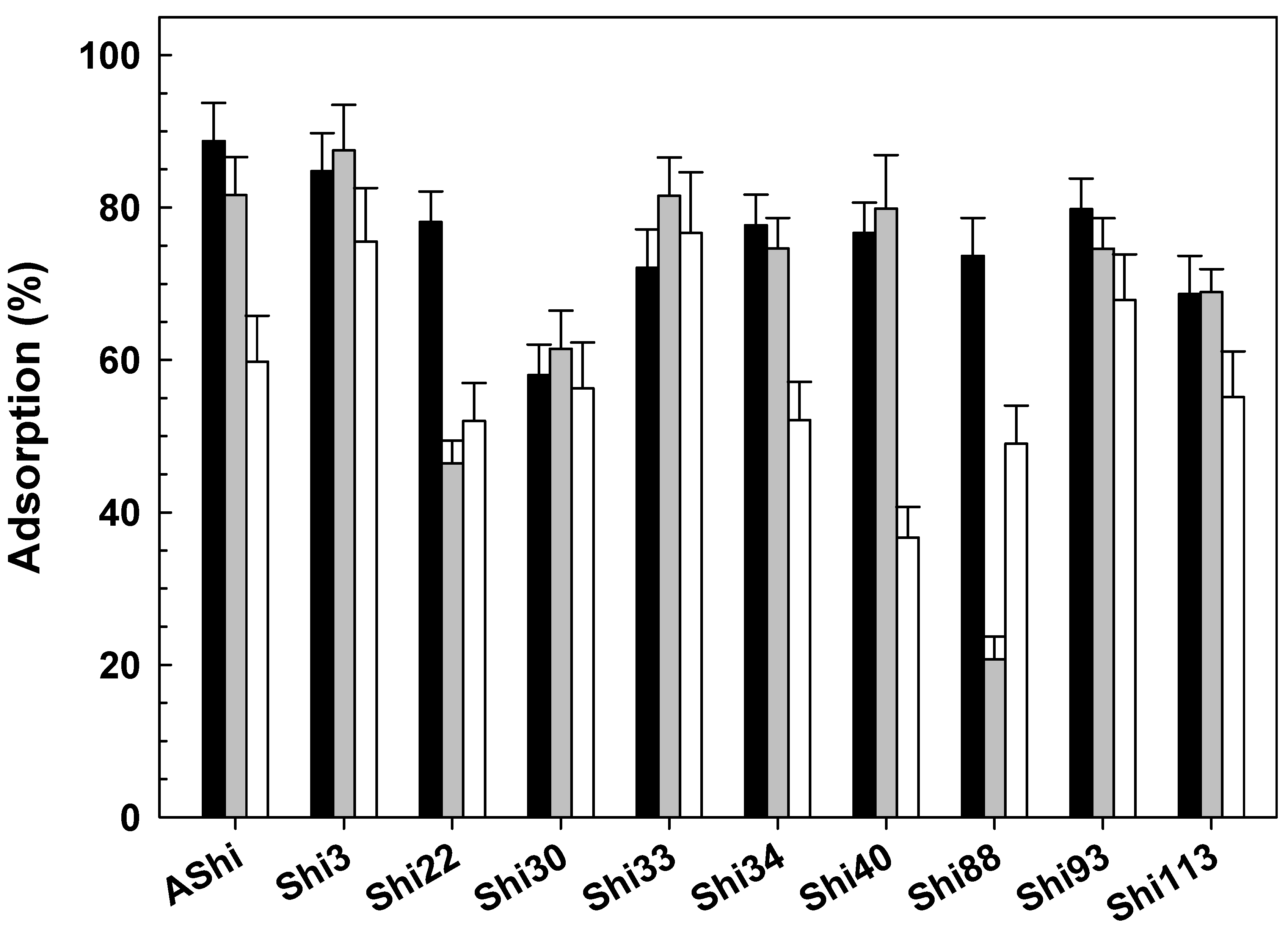
The effect of temperature on phage adsorption is shown in Figure 2. Results showed that phages can be efficiently absorbed even at the highest and lowest temperature assayed. At moderate temperatures (25 and 37 °C), phage adsorption showed no significant differences in nine of the ten phages tested, while Shi3 proved a higher adsorption at 37 °C than at 25 °C. When comparing adsorption between extreme temperatures (4 and 50 °C), six phages (Shi3, Shi34, Shi40, Shi88, Shi93 and Shi113) presented a higher adsorption value at 4 °C than at 50 °C, three phages (Shi22, Shi30 and Shi33) showed no significant differences at both temperatures, and one (AShi) showed a significant higher adsorption value at 50 °C. In addition, Shi40 and Shi113 showed adsorption values significantly higher at moderate temperatures, while Shi 22, Shi30 and Shi33 presented a significantly higher adsorption at extreme temperatures. To sum up, phages adsorbed efficiently at low (Shi3, Shi22, Shi30, Shi33, Shi34 and Shi88), at moderate (AShi, Shi34, Shi40, Shi93 and Shi113) and at high (AShi, Shi 22, Shi30 and Shi33) temperatures.
Figure 2.
Phage adsorption in TSB at 4 °C (
), 25 °C (☐; control), 37 °C (
) and 50 °C (
) on ATCC12022 viable cells. Values are the mean ± standard deviation (error bars) of three determinations.
), 25 °C (☐; control), 37 °C (
) and 50 °C (
) on ATCC12022 viable cells. Values are the mean ± standard deviation (error bars) of three determinations.
3.2.3. Influence of Cations
Several cations, at a wide range of concentrations, are natural or added components of dairy and meat products. In addition, some of them are sometimes used by phages to adsorb on bacterial cells. When adsorption was evaluated in the presence of Na+ at different concentrations, eight phages adsorbed normally up to 10 g dL−1, while at 20 g dL−1, a significant reduction was observed for all the phages evaluated (Figure 3). Moreover, four out of these eight phages (AShi, Shi22, Shi33, Shi34 and Shi40) showed an increasing adsorption up to 4 g dL−1. In general, adsorption values ranged from 55 to 99% between 0.5 and 10 g dL−1 of Na+ depending on the phage analyzed. In addition, a large dispersion of values was observed when adsorption was compared among different phages. For instance, the minimum adsorption value achieved by AShi at 20 g dL−1 was higher than the maximum achieved by Shi30 at 1 g dL−1.
Figure 3.
Phage adsorption in TSB at 25 °C (0.5%; ☐) with 1.0 g dL−1 (
), 2 g dL−1 (
), 4 g dL−1 (
), 10 g dL−1 (
) and 20 g dL−1 (
) of Na+ on ATCC12022 viable cells. Values are the mean ± standard deviation (error bars) of three determinations.
), 2 g dL−1 (
), 4 g dL−1 (
), 10 g dL−1 (
) and 20 g dL−1 (
) of Na+ on ATCC12022 viable cells. Values are the mean ± standard deviation (error bars) of three determinations.
On the other hand, Shi3 and Shi88 were the two most affected phages since a significant reduction in their adsorption values was observed in treatments at 10 and 20 g dL−1 of Na+. Moreover, a significant decrease was observed for Shi3 at 4 g dL−1 where only 42 ± 5% of the particles were adsorbed to the cells, being the phage more affected at high concentrations (4, 10 and 20 g dL−1) of sodium.
Results indicate that adsorption was not significantly different for five out of the ten phages tested, namely AShi, Shi3, Shi22, Shi40 and Shi88, yet three of them (AShi, Shi22 and Shi88) showed a slightly increased adsorption at 1 mmol L−1 of Mg2+. Regarding phages Shi30, Shi33, Shi34 and Shi93, as the concentration of Mg2+ increases, adsorption decreased significantly, especially at the higher concentrations used (5 and 10 mmol L−1). Finally, Shi113 showed a significant reduction on particles adsorbed to Shigella cells, especially at the lowest (1 mmol L−1) and the highest (10 mmol L−1) concentrations assayed. However, adsorption was almost maximum (80 ± 4%) when compared with the control condition (82 ± 6%) without Mg2+ (data not shown). To sum up, phages showed their maximum adsorption between 2 to 4 g dL−1 of Na+ and from 0 to 1 mmol L−1 of Mg+.
3.2.4. Influence of pH
At pH 7, six bacteriophages (AShi, Shi22, Shi34, Shi88, Shi93 and113) exhibited adsorption values ≥ than at the extreme pH values (4 and 10) tested. Only four of them (AShi, Shi22, Shi88 and Shi93) showed a significantly higher adsorption at pH 7. For the other four phages (Shi3, Shi30, Shi33 and Shi40), the adsorption was ≥ at pH 4, yet only Shi33 showed a significant higher adsorption at the acidic pH than at the higher pH values assayed (7 and 10) (Figure 4). When the adsorption was compared between extreme pH values (4 and 10), eight out of the ten phages showed adsorption values ≥ at pH 4, though only six of them (AShi, Shi3, Shi34, Shi40, Shi93 and Shi113) showed a difference that was statistically significant. Conversely, the other two (Shi22 and Shi88) showed an adsorption significantly higher at pH 10. Phage viability losses were taken into account by calculating percentages regarding non-adsorbing controls at each pH evaluated.
Figure 4.
Phage adsorption in TSB at 25 °C and pH of 7.0 (
; control), 4.0 (
) and 10.0 (☐) on ATCC12022 viable cells. Values are the mean ± standard deviation (error bars) of three determinations.
; control), 4.0 (
) and 10.0 (☐) on ATCC12022 viable cells. Values are the mean ± standard deviation (error bars) of three determinations.
3.2.5. Influence of Sucrose
Four phages showed that their adsorption significantly decreased as the concentration of sucrose increases (Figure 5). Specifically, AShi, Shi3, Shi22 and Shi113 exhibited moderate values ranging from ~40 to 70% at 10 g dL−1, while adsorption was significantly lower (18 to 41%) at 20 g dL−1. Shi34 and Shi93 presented the lowest adsorption of all the phages tested since their values ranged between 2.5 and 15%. In addition, the adsorption decreased sharply at the lowest concentration of sucrose (5 g dL−1) evaluated as well as for other two phages, namely Shi30 and Shi40. Adsorption achieved by Shi33 and Shi88 was significantly higher than for the other eight phages tested when challenged with sucrose. Both phages showed an adsorption to Shigella cells that ranged from 72 to 79%. Shi33 proved the higher adsorption value (72%) at the highest sucrose concentration assayed, while Shi88 exhibited a high reduction in the number of adsorbed particles (30%), especially at 20 g dL−1 of sucrose.
Figure 5.
Phage adsorption in TSB at 25 °C without (☐) and with 5 g dL−1 (
), 10 g dL−1 (
) and 20 g dL−1 (
) of sucrose on ATCC12022 viable cells. Values are the mean ± standard deviation (error bars) of three determinations.
), 10 g dL−1 (
) and 20 g dL−1 (
) of sucrose on ATCC12022 viable cells. Values are the mean ± standard deviation (error bars) of three determinations.
3.2.6. Influence of Glycerol
Experiments showed that the adsorption significantly decreased as the concentration of glycerol increases (Figure 6). AShi, Shi3, Shi22, Shi88 and Shi113 were the more adsorbed phages, i.e., phages that exhibited the greater adsorption levels against increasing concentrations of glycerol. Among the 10 phages analyzed, Shi3 proved the highest adsorption value at 5 (92%), 10 (86%) and 20 g dL−1 (85%) of glycerol, whereas Shi113 exhibited the highest adsorption (23%) at the highest concentration of glycerol (30 g dL−1). On the other hand, Shi30, Shi40 and Shi93 were the least adsorbed phages since they were highly affected at high concentrations of glycerol, especially Shi30 at the highest concentration of glycerol evaluated.
Figure 6.
Phage adsorption in TSB at 25 °C without (☐) and with 5 g dL−1 (
), 10 g dL−1 (
), 20 g dL−1 (
) and 30 g dL−1 (
) of glycerol on ATCC12022 viable cells. Values are the mean ± standard deviation (error bars) of three determinations.
), 10 g dL−1 (
), 20 g dL−1 (
) and 30 g dL−1 (
) of glycerol on ATCC12022 viable cells. Values are the mean ± standard deviation (error bars) of three determinations.
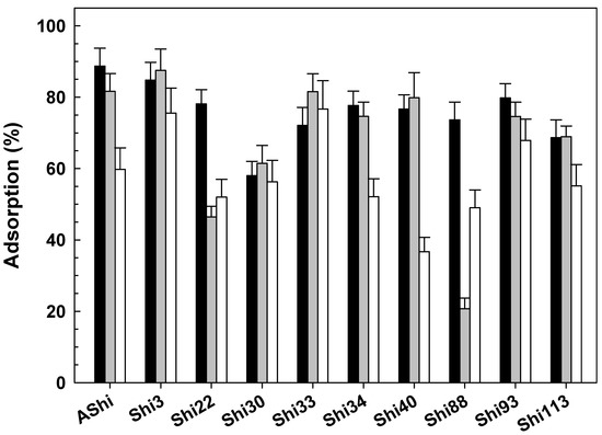
3.2.7. Adsorption in Meat
Adsorption experiments in food revealed that phages adsorbed differently to cells on the meat matrix. Figure 7 shows that Shi3, Shi 34 and Shi 93 were the most adsorbed phages, reaching an adsorption of 60 to 65% of their particles. Five phages (AShi, Shi22, Shi33, Shi88 and Shi113) showed values that ranged from 50 to 60% of their particles adsorbed in the food matrix, while, for the other two phages tested (Shi30 and Shi40), the adsorption was lower than 50%, namely 46 ± 7 and 43 ± 4%, respectively. The loss in the phage titer due to non-specific binding to meat was taken into account since percentages were calculated regarding the non-adsorbing controls.
Figure 7.
Phage adsorption in meat at 25 °C on ATCC12022 viable cells. Values are the mean ± standard deviation (error bars) of three determinations.
4. Discussion
To determine if phages are useful with biocontrol purposes against pathogens, parameters such as burst size and latent period were studied through the one-step growth curve. A greater burst size (more phages) and a small latent period (phages generated quickly) are advantageous to kill foodborne pathogens. Results observed for Shigella-phages Shi22 and Shi30, namely high burst values with a large latent period, were similar to those found when Shahin and Bouzari investigated the burst size (53 PFU cell−1) and the latent period (20 min) of a phage (vB_SflS-ISF001) active against Shigella flexneri [18]. On the other hand, the other eight phages evaluated belong to another group with a lower burst size (14 to 17 PFU cell−1) (Table 1). Different burst values varying from 16 PFU cell−1 [19] to 151 PFU cell−1 [20] have been previously reported for phages of Shigella. In general, a high burst value leads to higher lytic activity [21], a wanted feature in phages that will be used in biocontrol applications. In agreement with our findings, similar results were observed by Xu and coworkers for the Shigella phage vB_ShiP-A7 (100 PFU cell−1, latent period of 35 min) [22] and by Ahamed et al. [23] for Sfin-1 (28 PFU cell−1, latent period of 5 min). On the contrary, several authors found phages with a high burst value and a short latent period such as phage vBSdyS-ISF003 (128 PFU cell−1, 10 min) [24] and phage 2019SD1 (151 PFU cell−1, 20 min) [20], and phages with a low burst value with a long latent period, e.g., phage pSf-2 (16 PFU cell−1, 30 min) [19] and SGF2 (38 PFU cell−1, 40 min) [25].
The first study carried out to characterize the adsorption process of the 10 Shigella-phages was the determination of the adsorption rate. Parameters such as the adsorption constant (k) need to be assessed to determine if these phages are suitable for biocontrol applications. Regarding the high adsorption observed for AShi and Shi22 (Table 1), a similar result was found for other phage where ~ 87% of the particles were adsorbed on the S. flexneri cells in 14 min [18].
From the experiments, we were able to calculate the adsorption rate constant (k) for each phage evaluated [17]. K values normally found in related phages such as T4 are around ~10−9 mL min−1 [26]. In accordance with our results, another author found that k values ranged between ~10−11 mL min−1 (phage M13) and ~10−8 mL min−1 (phage vB_ShiP-A7) [22]. In addition, it is important to highlight that the two phages with the highest k values (AShi and Shi22) were the only ones that achieved a high adsorption rate at the end of the experiments (17 min) with more than 96% of their particles adsorbed to ATCC12022 cells. Thus, taking into account that AShi and Shi22 adsorbed at a higher rate and in a greater proportion than the other phages evaluated, these particular phages have an advantage for potential biocontrol applications against the foodborne pathogen S. flexneri.
Adsorption of phages was evaluated at different temperatures of food interest. Foodstuffs are subjected to different temperatures during manufacture and storage. In addition, optimal growth temperatures for most pathogens, such as Shigella flexneri, are higher (37 °C), and most pathogens can survive long periods of time at 25 °C when the cold chain is lost. Therefore, it is important to assess phage adsorption to evaluate if they can be effective against pathogens in food environments at refrigeration and also at abusive temperatures. Prior to adsorption assays, viability of phages at refrigeration (4 °C), room (25 °C) and abusive (50 °C) temperatures was evaluated. All the phages tested showed a high resistance from 4 to 50 °C [14]. In agreement, two phages (vB_SflS-ISF001 and vB-SdyS-ISF003) active against S. flexneri [18] and S. dysenteriae [24], respectively, proved to have a high thermal stability in the range of -20 to 60 °C. Phages adsorbed efficiently at low (Shi3, Shi22, Shi30, Shi33, Shi34 and Shi88), at moderate (AShi, Shi34, Shi40, Shi93 and Shi113) and at high (AShi, Shi 22, Shi30 and Shi33) temperatures. Thus, a phage cocktail composed of the 10 phages evaluated in the present work covers a wide range of temperatures, a necessary and advantageous condition in biocontrol applications against foodborne pathogens. Furthermore, one of the strategies used to prevent the emergence of bacteriophage insensitive mutants is utilizing lytic phage cocktails since different phages from a given cocktail bind to different receptors on the bacterial cell surface.
No references were found regarding adsorption of S. flexneri phages at various temperatures. However, similar results were found for other foodborne pathogend, such as S. dysenteriae. Namely, an 80% [20] and 90% [24] of adsorption was found after 5 and 17 min of interaction at 37 °C, respectively. In addition, only in two studies was the adsorption rate for an S. flexneri phage determined. Shahin and Bouzari [18] found an adsorption of 87% after 14 min at 25 °C, while Xu and coworkers found an adsorption of 92% after a 5-min incubation with S. flexneri cells at 37 °C [22]. Although similar results were found by these two authors, only one temperature was assessed in both cases.
Several cations, at a wide range of concentrations, are natural or added components of dairy and meat products. Foods such as meat products possess variable concentrations of salt, reaching 4% or higher in some products, such as cold cuts. To determine whether bacteriophages can be useful on food environments, adsorption of the ten phages was assessed against increasing concentrations of Na+. Furthermore, phage adsorption against cations potentially involved in the adsorption process (Mg2+) was also evaluated. From previous studies, phages against Staphylococcus aureus [27] and S. dysenteriae [8] reported a significant increase in adsorption when Ca2+ was present. In addition, other authors found a high activity for vB_SflS-ISF001 (Shigella flexneri phage) when it was treated with increasing concentrations of Na+ [18], although adsorption of S. flexneri phages has not been previously evaluated against Na+. Furthermore, contrasting results were found for other phage of Shigella when it was tested against divalent cations such as Ca2+ [8]. However, a comparison could not be made regarding cations such as magnesium since no previous studies had been conducted.
Meat and dairy products have characteristic physicochemical parameters. After cattle slaughtering, meat pH falls to 5.5–6.0 while, during the milk fermentation process, the pH falls as low as 4.0–4.5. Therefore, it is important to evaluate the adsorption of phages in order to determine if they can be effective in these adverse conditions found in food environments. Our previous results indicated that phage viability was not significantly affected from pH 5 to pH 11, yet, at pH 3, a significant reduction in viability was observed. In addition, the activity of the 10 phages tested in this work was the same at 5 < pH < 9 and was slightly affected at 3 < pH < 5 and 9 < pH < 11 [14]. As previously observed by others [8,20,28], our phages were highly stable in a wide range of pH values (Figure 4). In addition, Shahin and Bouzari found a phage (vB_SflS-ISF001) active against S. flexneri, which proved to be stable in the range of 7 < pH < 10 [18]; however, assays have not been carried out to evaluate the adsorption at different pH values.
To determine the effect of different osmolarities present in foodstuffs such as dairy products (3 to 17 g dL−1) on the adsorption process, TSB with increasing concentrations of sucrose was prepared. Wang and coworkers [29] evaluated the inhibition of burst (adsorption, replication and burst) by sucrose and found that inhibition was achieved at a low osmolarity level (0.4 osmoles L−1). In our study, a similar value (0.15 osmoles L−1) was obtained when the inhibition of the adsorption process was evaluated. On the other hand, when the assays of sucrose and NaCl were compared, the inhibition achieved by sucrose is much greater than that observed with NaCl at the same osmolarity level. Namely, a significant inhibition of adsorption was achieved with sucrose at 0.15 osmoles L−1, while a similar inhibitory effect was observed for most phages at 3.42 osmoles L−1 when using NaCl. No previous studies related to the adsorption of Shigella-phages and sucrose could be found.
Regarding adsorption experiments with glycerol (Figure 6), as observed with sucrose, the adsorption process was significantly affected. The inhibition in the adsorption process was proportional to the number of the hydroxyl groups (OH) [29]. These groups (OH) are characteristics of alcohols, phenols and carboxylic acids, which are present in foods in a wide range of concentrations. Accordingly, other authors found that the concentration of glycerol was directly proportional to the inhibition of adsorption of an S. flexneri phage [29]. Glycerol proved a greater inhibition of the adsorption process than Na+ at a similar osmolarity level, although sucrose presented a similar inhibitory effect at a slightly lower osmolarity value than glycerol. Namely, adsorption was inhibited for most of our phages at 0.54 osmoles L−1 of glycerol, while a similar inhibition was achieved at 3.42 osmoles L−1 of Na+ and at 0.15 osmoles L−1 of sucrose. No recent studies related to the adsorption of Shigella-phages and glycerol could be found.
In a real food setting, phages showed a relatively high adsorption level since four to six (4–6) out of ten phage particles adsorbed to ATCC12022 cells in a solid food matrix such as meat. These adsorption values should be taken into account to calculate the correct number of particles per gram of food (PFU g−1) to achieve a successful biocontrol treatment. Biocontrol studies were conducted by other authors in which phages (ShigaShieldTM) were used against S. sonnei strains in smoked salmon and yogurt [30]. However, no previous studies related to the adsorption of phages of S. flexneri in meat could be found.
5. Conclusions
To improve phage treatments against foodborne pathogens such as S. flexneri, adsorption studies at different conditions must be evaluated. The present study demonstrated that a significant amount of the initial number of phages was adsorbed to S. flexneri cells in a wide range of physicochemical conditions. Results suggest that our phages will be effective in controlling S. flexneri in food environments and in a food matrix such as meat. However, further studies are needed to improve the understanding of the adsorption process in the food matrix. In addition, sequencing and bioinformatics analyses are required to ensure that phages are safe for use as biocontrol of pathogens in food. Research previously conducted on S. flexneri phages was mostly focused on phage stability. To our knowledge, this is the first study focused on the adsorption process of S. flexneri phages against varying physicochemical conditions.
Supplementary Materials
The following supporting information can be downloaded at: https://www.mdpi.com/article/10.3390/v14122815/s1, Figure S1: One-step growth curve in TSB at 37 °C on ATCC12022 viable cells. A representative curve (phage Shi22) is shown since a similar behavior was found for all the phages evaluated. Values are the mean ± standard deviation (error bars) of three determinations.
Author Contributions
D.T. Conceptualization; funding acquisition; investigation; methodology; project administration; writing—original draft; writing—review and editing. V.A. methodology. C.C. methodology. A.Q. Conceptualization; methodology, resources; supervision. All authors have read and agreed to the published version of the manuscript.
Funding
This research was supported by the Agencia Santafesina de Ciencia, Tecnología e Innovación (ASaCTeI, Project IO-2019-008) of Argentina.
Institutional Review Board Statement
This article does not contain any studies with human participants or animals performed by any of the authors.
Informed Consent Statement
Not applicable.
Data Availability Statement
The datasets generated during and/or analyzed during the current study are available from the corresponding author on reasonable request.
Acknowledgments
We would like to thank the staff from the English Department of the Facultad de Ciencias Bioquímicas y Farmacéuticas (UNR) for the language correction of the manuscript.
Conflicts of Interest
The authors declare no conflict of interest.
References
- Allison, G.E.; Verma, N.K. Serotype-converting bacteriophages and O-antigen modification in Shigella flexneri. Trends Microbiol. 2000, 8, 17–23. [Google Scholar] [CrossRef] [PubMed]
- Connor, T.R.; Barker, C.R.; Baker, K.S.; Weill, F.X.; Talukder, K.A.; Smith, A.M.; Baker, S.; Gouali, M.; Pham Thanh, D.; Jahan Azmi, I.; et al. Species-wide whole genome sequencing reveals historical global spread and recent local persistence in Shigella flexneri. eLife 2015, 4, e07335. [Google Scholar] [CrossRef] [PubMed]
- Zafar, A.; Sabir, N.; Bhutta, Z.A. Frequency of isolation of Shigella serogroups/serotypes and their antimicrobial susceptibility pattern in children from slum areas in Karachi. J. Pak. Med. Assoc. 2005, 55, 184–188. [Google Scholar]
- Torrez Lamberti, M.F.; Lopez, F.E.; Valdez, P.; Bianchi, A.; Barrionuevo Medina, E.; Pescaretti, M.L.M.; Delgado, M.A. Epidemiological study of prevalent pathogens in the Northwest region of Argentina (NWA). PLoS ONE 2020, 15, e0240404. [Google Scholar] [CrossRef] [PubMed]
- Niyogi, S.K. Shigellosis. J. Microbiol. 2005, 43, 133–143. [Google Scholar] [PubMed]
- Rubinstein, A.; Aruachan, D.; Burgos, M.; Angeleri, P.I. Dirección Nacional de Epidemiologia y Análisis de la Situación de Salud Ministerio de Salud de la Nación Argentina. Boletín Integr. Vigil. 2018, 417, 1–40. [Google Scholar]
- Pichel, M.; Brengi, S.P.; Cooper, K.L.F.; Ribot, E.; Al-Busaidy, S.; Araya, P.; Fernández, J.; Vaz, T.; Kam, K.; Morcos, M.; et al. Standardization and international multicenter validation of a PulseNet pulsedfield gel electrophoresis protocol for subtyping Shigella flexneri isolates. Foodborne Pathog. Dis. 2012, 9, 418–424. [Google Scholar] [CrossRef]
- Jamal, M.; Chaudhry, W.N.; Hussain, T.; Das, C.R.; Andleeb, S. Characterization of new Myoviridae bacteriophage WZ1 against multi-drug resistant (MDR) Shigella dysenteriae. J. Basic Microbiol. 2015, 55, 420–431. [Google Scholar] [CrossRef]
- Gu, B.; Cao, Y.; Pan, S.; Zhuang, L.; Yu, R.; Peng, Z.; Qian, H.; Wei, Y.; Zhao, L.; Liu, G.; et al. Comparison of the prevalence and changing resistance to nalidixic acid and ciprofloxacin of Shigella between Europe-America and Asia-Africa from 1998 to 2009. Int. J. Antimicrob. Agents. 2012, 40, 9–17. [Google Scholar] [CrossRef]
- World Health Organization. Guidelines for the Control of Shigellosis, Including Epidemics Due to Shigella dysenteriae Type 1; WHO Document Production Services; World Health Organization: Geneva, Switzerland, 2005. [Google Scholar]
- World Health Organization. Global Priority List of Antibiotic Resistant Bacteria to Guide Research, Discovery, and Development of New Antibiotics; World Health Organization: Geneva, Switzerland, 2017. [Google Scholar]
- Ge, H.; Hua, M.; Zhaoa, G.; Du, Y.; Xu, N.; Chen, X.; Jiao, X. The “fighting wisdom and bravery” of tailed phage and host in the process of adsorption. Microbiol. Res. 2020, 230, 126344. [Google Scholar] [CrossRef]
- Doore, S.; Schrad, J.R.; Dean, W.F.; Dover, J.A.; Parenta, K.N. Shigella Phages Isolated during a Dysentery Outbreak Reveal Uncommon Structures and Broad Species Diversity. J. Virol. 2018, 92, e02117-17. [Google Scholar] [CrossRef] [PubMed]
- Tomat, D.; Gonzales, A.; Aquili, V.; Casabonne, C.; Quiberoni, A. Characterization of ten newly isolated phages against the foodborne pathogen Shigella flexneri. J. Food Process. Preserv. 2022, 46, e15676. [Google Scholar] [CrossRef]
- Tomat, D.; Mercanti, D.; Balague, C.; Quiberoni, A. Phage biocontrol of enteropathogenic and Shiga toxin-producing Escherichia coli during milk fermentation. Lett. Appl. Microbiol. 2013, 57, 3–10. [Google Scholar] [CrossRef] [PubMed]
- Wang, I.N. Lysis timing and bacteriophage fitness. Genetics 2006, 172, 17–26. [Google Scholar] [CrossRef] [PubMed]
- Kropinski, A. Measurement of the Rate of Attachment of Bacteriophage to Cells. In Bacteriophages: Methods and Protocols; En Clokie, M., Kropinski, A., Eds.; Humana Press: London, UK, 2009; pp. 151–155. [Google Scholar] [CrossRef]
- Shahin, K.; Bouzari, M. Bacteriophage application for biocontrolling Shigella flexneri in contaminated foods. J. Food Sci. Technol. 2018, 55, 550–559. [Google Scholar] [CrossRef] [PubMed]
- Jun, J.W.; Kim, H.J.; Yun, S.K.; Chai, J.Y.; Lee, B.C.; Park, S.C. Isolation and comparative genomic analysis of T1-Like Shigella bacteriophage pSf-2. Curr. Microbiol. 2015, 72, 235–241. [Google Scholar] [CrossRef] [PubMed]
- Kumar, P.; Meghvansi, M.K.; Kamboj, D.V. Isolation, phenotypic characterization and comparative genomic analysis of 2019SD1, a polyvalent enterobacteria phage. Sci. Rep. 2021, 11, 22197. [Google Scholar] [CrossRef]
- Shen, G.H.; Wang, J.L.; Wen, F.S.; Chang, K.M.; Kuo, C.F.; Lin, C.H.; Luo, H.R.; Hung, C.H. Isolation and characterization of ukm18p, a novel lytic phage with therapeutic potential against extensively drug resistant Acinetobacter baumannii. PLoS ONE 2012, 7, e46537. [Google Scholar] [CrossRef]
- Xu, J.; Zhang, R.; Yu, X.; Zhang, X.; Liu, G.; Liu, X. Molecular Characteristics of Novel Phage vB_ShiP-A7 Infecting Multidrug-Resistant Shigella flexneri and Escherichia coli, and Its Bactericidal Effect in vitro and in vivo. Front. Microbiol. 2021, 12, 698962. [Google Scholar] [CrossRef]
- Ahamed, S.K.T.; Roy, B.; Basu, U.; Dutta, S.; Ghosh, A.N.; Bandyopadhyay, B.; Giri, N. Genomic and Proteomic Characterizations of Sfin-1, a Novel Lytic Phage Infecting Multidrug-Resistant Shigella spp. and Escherichia coli C. Front. Microbiol. 2019, 10, 1876. [Google Scholar] [CrossRef]
- Shahin, K.; Bao, H.; Komijani, M.; Barazandeh, M.; Bouzaric, M.; Hedayatkhahd, A.; Zhang, L.; Zhao, H.; He, T.; Pang, M.; et al. Isolation, characterization, and PCR-based molecular identification of a siphoviridae phage infecting Shigella dysenteriae. Microb. Pathog. 2019, 131, 175–180. [Google Scholar] [CrossRef] [PubMed]
- Lu, H.; Yan, P.; Xiong, W.; Wang, J.; Liu, W. Genomic characterization of a novel virulent phage infecting Shigella flexneri and isolated from sewage. Virus Res. 2020, 283, 197983. [Google Scholar] [CrossRef] [PubMed]
- Kasman, L.M.; Kasman, A.; Westwater, C.; Dolan, J.; Schmidt, M.G.; Norris, J.S. Overcoming the phage replication threshold: A mathematical model with implications for phage therapy. J. Virol. 2002, 76, 5557–5564. [Google Scholar] [CrossRef] [PubMed]
- Chhibber, S.; Kaur, T.; Kaur, S. Essential role of calcium in the infection process of broad-spectrum methicillin-resistant Staphylococcus aureus bacteriophage. J. Basic Microbiol. 2014, 54, 775–780. [Google Scholar] [CrossRef]
- Jun, J.W.; Giri, S.S.; Kim, H.J.; Yun, S.K.; Chi, C.; Chai, J.C.; Lee, B.C.; Park, S.C. Bacteriophage application to control the contaminated water with Shigella. Sci. Rep. 2016, 6, 22636. [Google Scholar] [CrossRef]
- Wang, W.L.L.; Dunlop, S.G.; Maunson, P.S. Survival of Shigella in Sewage II. Effect of Glycerol on Shigella flexneri and Shigella Bacteriophage. Appl. Microbiol. 1964, 12, 188–194. [Google Scholar] [CrossRef]
- Soffer, N.; Woolston, J.; Li, M.; Das, C.; Sulakvelidze, A. Bacteriophage preparation lytic for Shigella significantly reduces Shigella sonnei contamination in various foods. PLoS ONE 2017, 12, e0175256. [Google Scholar] [CrossRef]
Publisher’s Note: MDPI stays neutral with regard to jurisdictional claims in published maps and institutional affiliations. |
© 2022 by the authors. Licensee MDPI, Basel, Switzerland. This article is an open access article distributed under the terms and conditions of the Creative Commons Attribution (CC BY) license (https://creativecommons.org/licenses/by/4.0/).






