Diarrhea Is a Hallmark of Inflammation in Pediatric COVID-19
Abstract
1. Introduction
2. Materials and Methods
2.1. Study Design and Population
2.2. Statistical Analysis
3. Results
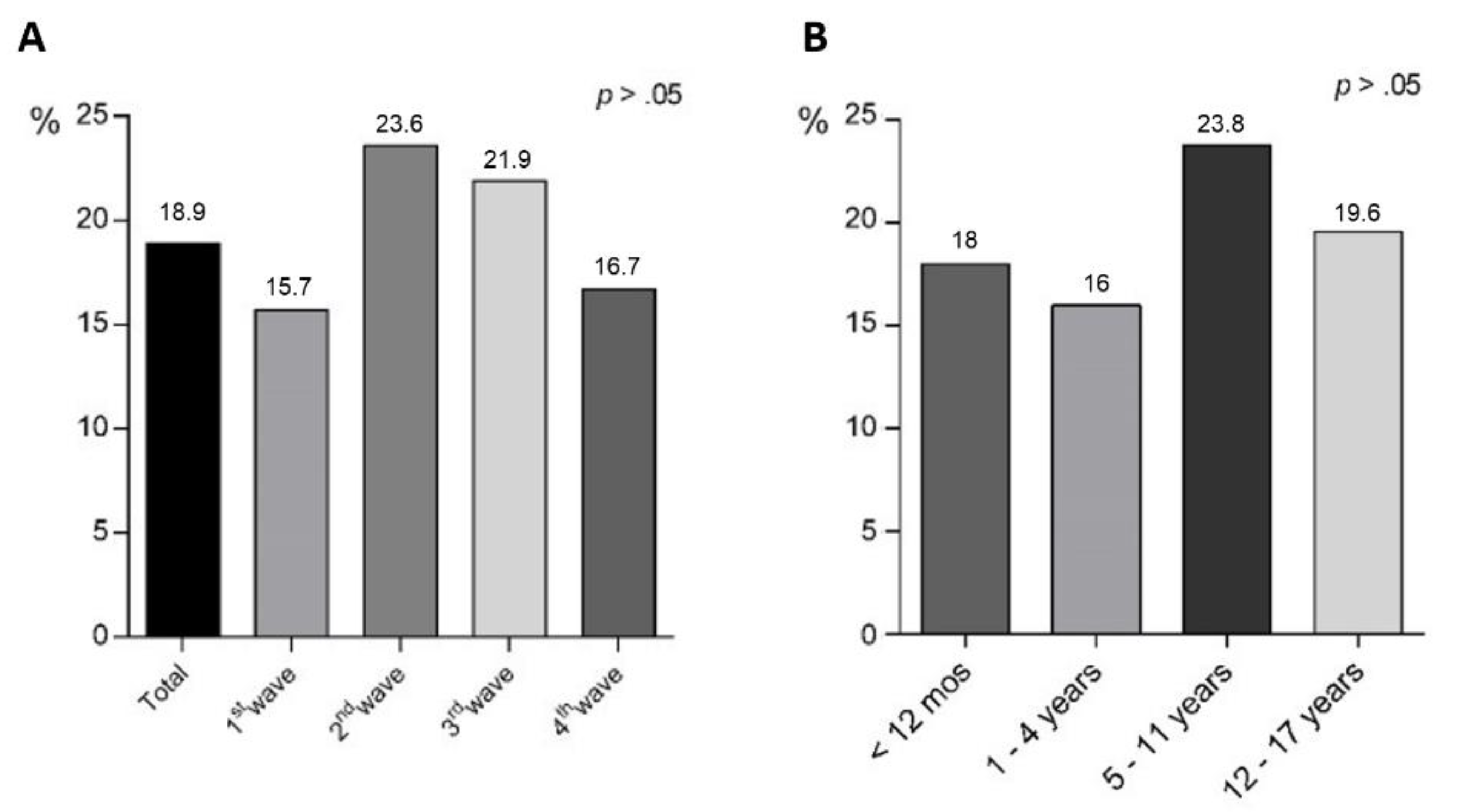
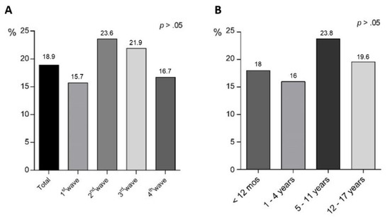
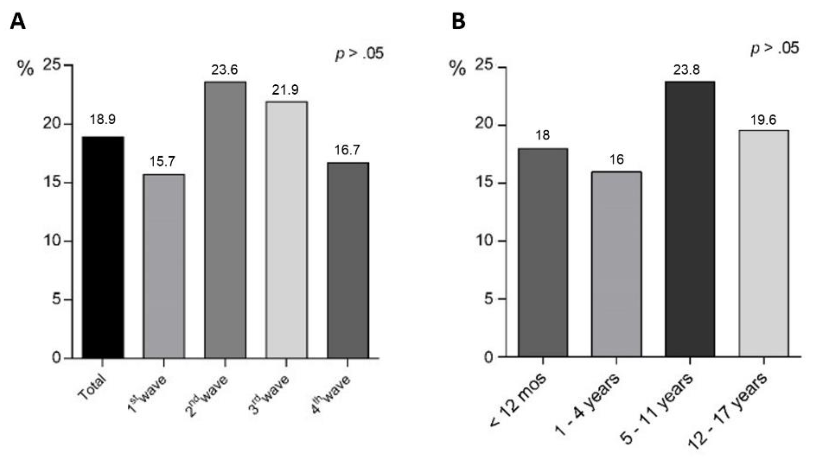
3.1. Study Population and Diarrhea Prevalence
3.2. Clinical Features
3.3. Biochemical and Radiologic Findings
3.4. Univariable and Multivariable Analysis
3.5. MIS-C
4. Discussion
Supplementary Materials
Author Contributions
Funding
Institutional Review Board Statement
Informed Consent Statement
Data Availability Statement
Conflicts of Interest
References
- Assa, A.; Benninga, M.A.; Borrelli, O.; Broekaert, I.; de Carpi, J.M.; Saccomani, M.D.; Dolinsek, J.; Mas, E.; Miele, E.; Thomson, M.; et al. Gastrointestinal Perspective of Coronavirus Disease 2019 in Children-An Updated Review. J Pediatr. Gastroenterol. Nutr. 2021, 73, 299–305. [Google Scholar] [CrossRef] [PubMed]
- Lo Vecchio, A.; Garazzino, S.; Smarrazzo, A.; Venturini, E.; Poeta, M.; Berlese, P.; Denina, M.; Meini, A.; Bosis, S.; Galli, L.; et al. Factors Associated With Severe Gastrointestinal Diagnoses in Children With SARS-CoV-2 Infection or Multisystem Inflammatory Syndrome. JAMA Netw. Open. 2021, 4, e2139974. [Google Scholar] [CrossRef]
- Barbosa da Luz, B.; de Oliveira, N.M.T.; França Dos Santos, I.W.; Paza, L.Z.; Braga, L.L.V.M.; Platner, F.D.S.; Werner, M.F.P.; Fernandes, E.S.; Maria-Ferreira, D. An overview of the gut side of the SARS-CoV-2 infection. Intest. Res. 2021, 19, 379–385. [Google Scholar] [CrossRef] [PubMed]
- Yeo, C.; Kaushal, S.; Yeo, D. Enteric involvement of coronaviruses: Is faecal-oral transmission of SARS-CoV-2 possible? Lancet Gastroenterol. Hepatol. 2020, 5, 335–337. [Google Scholar] [CrossRef] [PubMed]
- Poeta, M.; Cioffi, V.; Buccigrossi, V.; Nanayakkara, M.; Baggieri, M.; Peltrini, R.; Amoresano, A.; Magurano, F.; Guarino, A. Diosmectite inhibits the interaction between SARS-CoV-2 and human enterocytes by trapping viral particles, thereby preventing NF-kappaB activation and CXCL10 secretion. Sci. Rep. 2021, 11, 21725. [Google Scholar] [CrossRef] [PubMed]
- Puoti, M.G.; Rybak, A.; Kiparissi, F.; Gaynor, E.; Borrelli, O. SARS-CoV-2 and the Gastrointestinal Tract in Children. Front. Pediatr. 2021, 9, 617980. [Google Scholar] [CrossRef]
- Poeta, M.; Cioffi, V.; Buccigrossi, V.; Corcione, F.; Peltrini, R.; Amoresano, A.; Magurano, F.; Viscardi, M.; Fusco, G.; Tarallo, A.; et al. SARS-CoV-2 causes secretory diarrhea with an enterotoxin-like mechanism, which is reduced by diosmectite. Heliyon 2022, 8, e10246. [Google Scholar] [CrossRef]
- Romani, L.; Del Chierico, F.; Macari, G.; Pane, S.; Ristori, M.V.; Guarrasi, V.; Gardini, S.; Pascucci, G.R.; Cotugno, N.; Perno, C.F.; et al. The Relationship Between Pediatric Gut Microbiota and SARS-CoV-2 Infection. Front. Cell. Infect. Microbiol. 2022, 12, 908492. [Google Scholar] [CrossRef]
- Battaglini, D.; Robba, C.; Fedele, A.; Trancǎ, S.; Sukkar, S.G.; Di Pilato, V.; Bassetti, M.; Giacobbe, D.R.; Vena, A.; Patroniti, N.; et al. The Role of Dysbiosis in Critically Ill Patients With COVID-19 and Acute Respiratory Distress Syndrome. Front. Med. 2021, 8, 671714. [Google Scholar] [CrossRef]
- Caramello, V.; Catalano, A.; Macciotta, A.; Dansero, L.; Sacerdote, C.; Costa, G.; Aprà, F.; Tua, A.; Boccuzzi, A.; Ricceri, F. Improvements throughout the Three Waves of COVID-19 Pandemic: Results from 4 Million Inhabitants of North-West Italy. J. Clin. Med. 2022, 11, 4304. [Google Scholar] [CrossRef]
- Acker, K.P.; Levine, D.A.; Varghese, M.; Nash, K.A.; RoyChoudhury, A.; Abramson, E.L.; Grinspan, Z.M.; Simmons, W.; Wu, A.; Han, J.Y. Indications for Hospitalization in Children with SARS-CoV-2 Infection during the Omicron Wave in New York City. Children 2022, 9, 1043. [Google Scholar] [CrossRef] [PubMed]
- Guarino, A.; Ashkenazi, S.; Gendrel, D.; Lo Vecchio, A.; Shamir, R.; Szajewska, H. European Society for Pediatric Gastroenterology, Hepatology, and Nutrition/European Society for Pediatric Infectious Diseases evidence-based guidelines for the management of acute gastroenteritis in children in Europe: Update 2014. J. Pediatr. Gastroenterol. Nutr. 2014, 59, 132–152. [Google Scholar] [CrossRef] [PubMed]
- Forrest, C.B.; Burrows, E.K.; Mejias, A.; Razzaghi, H.; Christakis, D.; Jhaveri, R.; Lee, G.M.; Pajor, N.M.; Rao, S.; Thacker, D.; et al. Severity of Acute COVID-19 in Children <18 Years Old March 2020 to December 2021. Pediatrics 2022, 149, e2021055765. [Google Scholar] [CrossRef] [PubMed]
- Millar, J.E.; Neyton, L.; Seth, S.; Dunning, J.; Merson, L.; Murthy, S.; Russell, C.D.; Keating, S.; Swets, M.; Sudre, C.H.; et al. Distinct clinical symptom patterns in patients hospitalised with COVID-19 in an analysis of 59,011 patients in the ISARIC-4C study. Sci. Rep. 2022, 12, 6843. [Google Scholar] [CrossRef]
- Rudan, I.; Adeloye, D.; Katikireddi, S.V.; Murray, J.; Simpson, C.; Shah, S.A.; Robertson, C.; Sheikh, A.; EAVE II Collaboration. The COVID-19 pandemic in children and young people during 2020-2021: Learning about clinical presentation, patterns of spread, viral load, diagnosis and treatment. J. Glob. Health 2021, 11, 01010. [Google Scholar] [CrossRef]
- Chou, J.; Thomas, P.G.; Randolph, A.G. Immunology of SARS-CoV-2 infection in children. Nat. Immunol. 2022, 23, 177–185. [Google Scholar] [CrossRef]
- Garazzino, S.; Lo Vecchio, A.; Pierantoni, L.; Calò Carducci, F.I.; Marchetti, F.; Meini, A.; Castagnola, E.; Vergine, G.; Donà, D.; Bosis, S.; et al. Epidemiology, Clinical Features and Prognostic Factors of Pediatric SARS-CoV-2 Infection: Results From an Italian Multicenter Study. Front. Pediatr. 2021, 19, 649358. [Google Scholar] [CrossRef]
- Preston, L.E.; Chevinsky, J.R.; Kompaniyets, L.; Lavery, A.M.; Kimball, A.; Boehmer, T.K.; Goodman, A.B. Characteristics and Disease Severity of US Children and Adolescents Diagnosed With COVID-19. JAMA Netw. Open. 2021, 4, e215298. [Google Scholar] [CrossRef]
- Mohaghegh, S.; Motie, P.; Motamedian, S.R. Role of ACE2 polymorphism in COVID-19: Impact of age. Clin. Chem. Lab. Med. 2021, 59, 1623–1627. [Google Scholar] [CrossRef]
- Cui, J.; Li, F.; Shi, Z.L. Origin and evolution of pathogenic coronaviruses. Nat. Rev. Microbiol. 2019, 17, 181–192. [Google Scholar] [CrossRef]
- Aroniadis, O.C.; Wang, X.; Gong, T.; Forbes, N.; Yang, J.Y.; Canakis, A.; Elmunzer, B.J.; Yadav, D.; North American Alliance for the Study of Digestive Manifestations of COVID-19. Factors Associated with the Development of Gastrointestinal Symptoms in Patients Hospitalized with COVID-19. Dig. Dis. Sci. 2022, 67, 3860–3871. [Google Scholar] [CrossRef] [PubMed]
- Tagarro, A.; Coya, O.N.; Pérez-Villena, A.; Iglesias, B.; Navas, A.; Aguilera-Alonso, D.; Moraleda, C. Features of COVID-19 in Children During the Omicron Wave Compared With Previous Waves in Madrid, Spain. Pediatr. Infect. Dis. J. 2022, 41, e249–e251. [Google Scholar] [CrossRef] [PubMed]
- Mautner, L.; Hoyos, M.; Dangel, A.; Berger, C.; Ehrhardt, A.; Baiker, A. Replication kinetics and infectivity of SARS-CoV-2 variants of concern in common cell culture models. Virol. J. 2022, 19, 76. [Google Scholar] [CrossRef] [PubMed]
- Zhang, J.; Cai, Y.; Lavine, C.L.; Peng, H.; Zhu, H.; Anand, K.; Tong, P.; Gautam, A.; Mayer, M.L.; Rits-Volloch, S.; et al. Structural and functional impact by SARS-CoV-2 Omicron spike mutations. Cell. Rep. 2022, 39, 110729. [Google Scholar] [CrossRef]
- Song, J.; Patel, J.; Khatri, R.; Nadpara, N.; Malik, Z.; Parkman, H.P. Gastrointestinal symptoms in patients hospitalized with COVID-19: Prevalence and outcomes. Medicine 2022, 101, e29374. [Google Scholar] [CrossRef]
- Kalın, S.; Sözeri, B. Radiological findings of multisystem inflammatory syndrome in children associated with COVID-19. Br. J. Radiol. 2022, 95, 20220101. [Google Scholar] [CrossRef]
- Chen, J.; Vitetta, L. The Role of the Gut-Lung Axis in COVID-19 Infections and Its Modulation to Improve Clinical Outcomes. Front. Biosci. 2022, 14, 23. [Google Scholar] [CrossRef]
- Uzzan, M.; Corcos, O.; Martin, J.C.; Treton, X.; Bouhnik, Y. Why is SARS-CoV-2 infection more severe in obese men? The gut lymphatics-Lung axis hypothesis. Med. Hypotheses 2020, 144, 110023. [Google Scholar] [CrossRef]
- Maslennikov, R.; Svistunov, A.; Ivashkin, V.; Ufimtseva, A.; Poluektova, E.; Efremova, I.; Ulyanin, A.; Okhlobystin, A.; Kardasheva, S.; Kurbatova, A.; et al. Early viral versus late antibiotic-associated diarrhea in novel coronavirus infection. Medicine 2021, 100, e27528. [Google Scholar] [CrossRef]
- Jaramillo-Esparza, C.M.; Vázquez-Frias, R. Risk of pediatric inflammatory multi-system syndrome (PIMS or MIS-C) in pediatric patients with COVID-19 presenting with gastrointestinal symptoms. Front. Pediatr. 2022, 10, 904793. [Google Scholar] [CrossRef]



| Overall Population (n = 407) | Children with Diarrhea (n = 77) | Children without Diarrhea (n = 330) | p | |
|---|---|---|---|---|
| Mean age, y (SD) | 3.9 (5.0) | 4.3 (5.2) | 3.8 (5.0) | 0.525 |
| <12 m, n (%) | 177 (43.5) | 32 (41.4) | 145 (44) | 0.704 |
| 1–4 y, n (%) | 100 (25) | 16 (21) | 84 (25.4) | 0.391 |
| 5–11 y, n (%) | 84 (20.6) | 20 (26) | 64 (19.4) | 0.199 |
| 12–17 y, n (%) | 46 (11.3) | 9 (11.6) | 37 (11.2) | 0.905 |
| Male sex, n (%) | 226 (55.5) | 47 (61) | 179 (54.2) | 0.330 |
| Non-Caucasian, n (%) | 23 (5.7) | 4 (5.2) | 19 (5.8) | 0.923 |
| At least one comorbidity, n (%) | 166 (40.8) | 29 (37.7) | 137 (41.5) | 0.536 |
| Cardiovascular, n (%) | 25 (6.1) | 3 (3.8) | 22 (6.7) | 0.362 |
| Respiratory, n (%) | 28 (6.9) | 7 (9.1) | 21 (6.4) | 0.395 |
| Neurological, n (%) | 31 (7.6) | 7 (9.1) | 24 (7.3) | 0.588 |
| Immuno-rheumatological, n (%) | 7 (1.7) | 1 (1.3) | 6 (1.8) | 0.752 |
| Onco-hematological, n (%) | 43 (10.6) | 5 (6.5) | 38 (11.5) | 0.197 |
| Genetic-metabolic, n (%) | 21 (5.2) | 5 (6.5) | 16 (4.8) | 0.557 |
| Hepato-gastroenterological, n (%) | 16 (3.9) | 4 (5.2) | 12 (3.6) | 0.526 |
| Nephro-urological, n (%) | 8 (2) | 0 (0) | 8 (2.4) | 0.168 |
| Endocrinological, n (%) | 17 (4.2) | 3 (3.8) | 14 (4.2) | 0.891 |
| Immunosuppression, n (%) | 44 (10.8) | 3 (3.8) | 41 (12.4) | 0.030 |
| COVID-19 vaccination, n (%) | 29 (7.8) | 6 (7.8) | 23 (7.0) | 0.164 |
| Period of hospital admission | ||||
| 1st wave (ancestral strain), n (%) | 83 (20.4) | 13 (16.9) | 70 (21.2) | 0.740 |
| 2nd wave (Alpha variant), n (%) | 89 (21.9) | 21 (27.3) | 68 (20.6) | 0.203 |
| 3rd wave (Delta variant), n (%) | 73 (17.9) | 16 (20.8) | 57 (17.3) | 0.470 |
| 4th wave (Omicron variant), n (%) | 162 (39.8) | 27 (35.1) | 135 (40.9) | 0.203 |
| Overall Population (n = 407) | Children with Diarrhea (n = 77) | Children without Diarrhea (n = 330) | p | |
|---|---|---|---|---|
| Clinical features | ||||
| Fever, n (%) | 282 (69.3) | 57 (74) | 225 (68.2) | 0.317 |
| Peak body temperature, mean °C (SD) | 38.4 (0.7) | 38.6 (0.8) | 38.4 (0.7) | 0.683 |
| Cough, n (%) | 157 (38.6) | 38 (49.4) | 119 (36.1) | 0.031 |
| Nasal discharge, n (%) | 84 (20.6) | 17 (22.1) | 67 (20.3) | 0.729 |
| Sore throat, n (%) | 24 (5.9) | 5 (6.5) | 19 (5.8) | 0.805 |
| Dyspnea, n (%) | 49 (12) | 7 (9.1) | 42 (12.7) | 0.377 |
| Croup, n (%) | 6 (1.5) | 0 (0) | 6 (1.8) | 0.233 |
| Vomiting, n (%) | 55 (13.5) | 24 (31.2) | 31 (9.4) | <0.001 |
| Abdominal pain, n (%) | 37 (9.1) | 21 (27.3) | 16 (4.8) | <0.001 |
| Poor feeding, n (%) | 51 (12.5) | 13 (16.9) | 38 (11.5) | <0.001 |
| Asthenia, n (%) | 41 (10.1) | 10 (13) | 31 (9.4) | 0.346 |
| Headache, n (%) | 20 (4.9) | 7 (9.1) | 13 (4) | 0.060 |
| Seizures, n (%) | 34 (8.4) | 2 (2.6) | 32 (9.7) | 0.043 |
| Chest pain, n (%) | 11 (2.7) | 3 (4) | 8 (2.4) | 0.473 |
| Skin lesions, n (%) | 24 (5.9) | 7 (9.1) | 17 (5.2) | 0.186 |
| Length of hospital stay, mean (SD) | 5.9 (6.8) | 6.4 (8.3) | 5.8 (6.4) | 0.578 |
| Severity classification * | ||||
| Asymptomatic, n (%) | 14 (3.4) | 0 (0) | 14 (4.2) | 0.177 |
| Mild, n (%) | 187 (45.9) | 33 (42.9) | 154 (46.7) | 0.546 |
| Moderate, n (%) | 179 (44) | 37 (48.1) | 142 (43) | 0.424 |
| Severe, n (%) | 27 (6.6) | 7 (9) | 20 (6.1) | 0.336 |
| Critical, n (%) | 4 (1) | 1 (1.3) | 3 (0.9) | 0.755 |
| Deaths, n (%) | 0 (0) | 0 (0) | 0 (0) | - |
| Therapies | ||||
| Antibiotics, n (%) | 155 (38.1) | 36 (46) | 119 (36.1) | 0.089 |
| Systemic corticosteroids, n (%) | 39 (9.6) | 10 (13) | 29 (8.8) | 0.260 |
| LMWH, n (%) | 10 (2.5) | 2 (2.6) | 8 (2.4) | 0.922 |
| Oxygen supplementation, n (%) | 23 (5.7) | 5 (6.5) | 18 (5.5) | 0.727 |
| Parenteral rehydration, n (%) | 74 (18.2) | 20 (26.0) | 54 (16.4) | 0.048 |
| Probiotics, n (%) | 18 (4.4) | 18 (23.4) | 0 (0) | <0.001 |
| Diosmectite, n (%) | 3 (0.7) | 3 (3.9) | 0 (0) | <0.001 |
| Overall Population | Children with Diarrhea | Children without Diarrhea | p | |
|---|---|---|---|---|
| Biochemical parameters | (n = 407) | (n = 77) | (n = 330) | |
| CRP, mg/L mean (SD) | 15.2 (33.2) | 27.0 (65.0) | 12.4 (25.5) | 0.002 |
| PCT, ng/mL mean (SD) | 0.9 (2.9) | 2.8 (7.4) | 0.5 (1.9) | 0.004 |
| Ferritin, ng/mL mean (SD) | 344 (608.9) | 650 (1470) | 273 (408) | 0.034 |
| Neutropenia, n (%) | 111 (27.3) | 16 (20.8) | 95 (28.8) | 0.147 |
| WBC (103 cells/μL), mean (SD) | 8.5 (4.7) | 9.1 (5.7) | 8.3 (4.5) | 0.166 |
| Neutrophils (103 cells/μL), mean (SD) | 3.5 (3.6) | 4.0 (4.2) | 3.4 (3.5) | 0.230 |
| Lymphocytes (103 cells/μL), mean (SD) | 4.5 (2.6) | 4.1 (2.4) | 4.6 (2.6) | 0.477 |
| Platelet count (103 cells/μL), mean (SD) | 294 (131) | 316 (159) | 289 (125) | 0.113 |
| D-Dimer, ng/mL mean (SD) | 1573 (4083) | 2170 (7124) | 1434 (3374) | 0.211 |
| CK-MB, ng/mL mean (SD) | 1.3 (10.2) | 2.3 (1.8) | 4.2 (12.2) | 0.091 |
| hs-cTn, pg/mL mean (SD) | 23.0 (85.4) | 8.1 (14.4) | 26.5 (102) | 0.144 |
| Any coinfections, n (%) | 81 (19.9) | 20 (25) | 61 (18.5) | 0.138 |
| Chest X-ray | (n = 348) | (n = 67) | (n = 281) | |
| Normal | 107 (30.7) | 19 (28.4) | 88 (31.3) | 0.637 |
| Pathological | 241 (69.3) | 48 (71.6) | 193 (68.7) | 0.637 |
| Interstitial | 163 (46.8) | 32 (47.8) | 131 (46.6) | 0.866 |
| Lobar/GGO | 78 (22.4) | 16 (23.9) | 62 (22.1) | 0.749 |
| Abdominal ultrasounds | (n = 61) | (n = 24) | (n = 37) | |
| Normal | 28 (45.9) | 7 (29.1) | 21 (56.8) | 0.035 |
| Pathological | 33 (54.1) | 17 (70.9) | 16 (43.2) | 0.035 |
| Abdominal lymphadenopathy | 7 (11.5) | 4 (16.7) | 3 (8.1) | 0.306 |
| Mesenteric fat hyperechogenicity | 25 (41.0) | 14 (58.3) | 11 (29.7) | 0.026 |
| Intestinal wall thickening | 4 (6.6) | 1 (4.2) | 3 (8.1) | 0.544 |
| Peritoneal effusion/fluid collections | 7 (11.5) | 4 (16.7) | 3 (8.1) | 0.306 |
| Univariable Analysis | Multivariable Analysis | |||||
|---|---|---|---|---|---|---|
| Factors | aOR | 95%CI | p | aOR | 95%CI | p |
| Vomiting | 4.368 | 2.379–8.020 | <0.001 | 2.549 | 1.266–5.132 | 0.009 |
| Abdominal pain | 7.359 | 3.619–14.966 | <0.001 | 5.290 | 2.366–11.825 | <0.001 |
| Cough | 1.728 | 1.048–2.849 | 0.032 | 1.563 | 0.891–2.743 | 0.119 |
| Seizures | 0.248 | 0.058–1.060 | 0.060 | 0.287 | 0.064–1.296 | 0.105 |
| Headache | 2.438 | 0.939–6.334 | 0.067 | 1.931 | 0.660–5.652 | 0.230 |
| Antibiotics administration | 0.648 | 0.393–1.070 | 0.090 | 1.472 | 0.836–2.590 | 0.180 |
| Pathological abdominal US | 3.055 | 1.063–8.774 | 0.038 | 1.802 | 0.717–4.532 | 0.211 |
| Mesenteric fat inflammation | 3.309 | 1.129–9.695 | 0.029 | 3.109 | 0.959–10.078 | 0.059 |
| Immunosuppression | 0.286 | 0.086–0.949 | 0.041 | 0.187 | 0.050–0.700 | <0.001 |
| MIS-C Patients (n = 7) | |
|---|---|
| Mean age, y (SD) | 9.0 (2.7) |
| Male sex, n (%) | 3 (43) |
| Caucasian, n (%) | 7 (100) |
| Comorbidities, n (%) | 0 (0) |
| Fever, n (%) | 7 (100) |
| GI involvement, n (%) | 7 (100) |
| Diarrhea, n (%) | 7 (100) |
| Vomiting, n (%) | 4 (57) |
| Abdominal pain, n (%) | 7 (100) |
| Normal chest X-ray, n (%) | 7 (100) |
| Cardiac involvement, n (%) | 4 (57) |
| Abdominal US, n (%) | |
| Normal | 1 (14) |
| Lymphadenopathy | 3 (43) |
| Mesenteric fat hyperechogenicity | 6 (86) |
| Intestinal wall thickening | 2 (29) |
| Peritoneal effusion/fluid collections | 3 (43) |
| ICU admissions, n (%) | 2 (29) |
| CRP, mg/L mean (SD) | 195.4 (140.8) |
| PCT, ng/mL mean (SD) | 10.4 (8.7) |
| Ferritin, ng/mL mean (SD) | 510.3 (346.8) |
| WBC (103 cells/μL), mean (SD) | 14.4 (7.9) |
| Neutrophils (103 cells/μL), mean (SD) | 10.1 (8.4) |
Publisher’s Note: MDPI stays neutral with regard to jurisdictional claims in published maps and institutional affiliations. |
© 2022 by the authors. Licensee MDPI, Basel, Switzerland. This article is an open access article distributed under the terms and conditions of the Creative Commons Attribution (CC BY) license (https://creativecommons.org/licenses/by/4.0/).
Share and Cite
Poeta, M.; Nunziata, F.; Del Bene, M.; Morlino, F.; Salatto, A.; Scarano, S.M.; Cioffi, V.; Amitrano, M.; Bruzzese, E.; Guarino, A.; et al. Diarrhea Is a Hallmark of Inflammation in Pediatric COVID-19. Viruses 2022, 14, 2723. https://doi.org/10.3390/v14122723
Poeta M, Nunziata F, Del Bene M, Morlino F, Salatto A, Scarano SM, Cioffi V, Amitrano M, Bruzzese E, Guarino A, et al. Diarrhea Is a Hallmark of Inflammation in Pediatric COVID-19. Viruses. 2022; 14(12):2723. https://doi.org/10.3390/v14122723
Chicago/Turabian StylePoeta, Marco, Francesco Nunziata, Margherita Del Bene, Francesca Morlino, Alessia Salatto, Sara Maria Scarano, Valentina Cioffi, Michele Amitrano, Eugenia Bruzzese, Alfredo Guarino, and et al. 2022. "Diarrhea Is a Hallmark of Inflammation in Pediatric COVID-19" Viruses 14, no. 12: 2723. https://doi.org/10.3390/v14122723
APA StylePoeta, M., Nunziata, F., Del Bene, M., Morlino, F., Salatto, A., Scarano, S. M., Cioffi, V., Amitrano, M., Bruzzese, E., Guarino, A., & Lo Vecchio, A. (2022). Diarrhea Is a Hallmark of Inflammation in Pediatric COVID-19. Viruses, 14(12), 2723. https://doi.org/10.3390/v14122723

