Fitness Estimation for Viral Variants in the Context of Cellular Coinfection
Abstract
1. Introduction
2. Materials and Methods
2.1. Deterministic Within-Host Evolution Model
2.2. Stochastic Within-Host Evolution Model
2.3. Simulated Data
2.4. Empirical H5N1 Data
2.5. Statistical Inference
3. Results
3.1. The Extent of Cellular Coinfection Impacts Variant Frequency Dynamics
3.2. Statistical Estimation of Variant Fitness Using the Deterministic Within-Host Model
3.2.1. Statistical Inference with Simulated Data
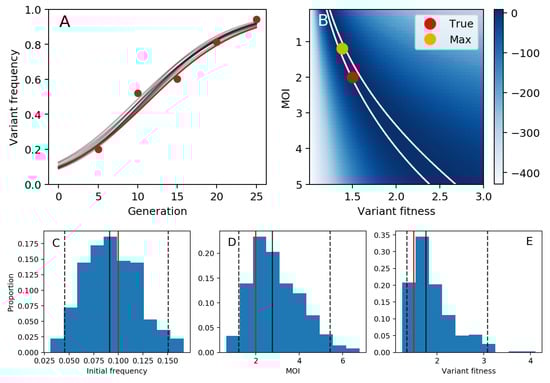
3.2.2. Statistical Inference with Experimental H5N1 Challenge Study
3.3. Statistical Estimation of Variant Fitness Using the Stochastic Within-Host Evolution Model
3.3.1. Statistical Inference with Simulated Data
3.3.2. Statistical Inference with Experimental H5N1 Challenge Study Data
4. Discussion
Supplementary Materials
Author Contributions
Funding
Institutional Review Board Statement
Informed Consent Statement
Data Availability Statement
Acknowledgments
Conflicts of Interest
References
- Antia, R.; Regoes, R.R.; Koella, J.C.; Bergstrom, C.T. The role of evolution in the emergence of infectious diseases. Nature 2003, 426, 658–661. [Google Scholar] [CrossRef]
- Matrosovich, M.; Tuzikov, A.; Bovin, N.; Gambaryan, A.; Klimov, A.; Castrucci, M.R.; Donatelli, I.; Kawaoka, Y. Early alterations of the receptor-binding properties of H1, H2, and H3 avian influenza virus hemagglutinins after their introduction into mammals. J. Virol. 2000, 74, 8502–8512. [Google Scholar] [CrossRef] [PubMed]
- Su, Y.C.; Bahl, J.; Joseph, U.; Butt, K.M.; Peck, H.A.; Koay, E.S.; Oon, L.L.; Barr, I.G.; Vijaykrishna, D.; Smith, G.J. Phylodynamics of H1N1/2009 influenza reveals the transition from host adaptation to immune-driven selection. Nat. Commun. 2015, 6, 7952. [Google Scholar] [CrossRef] [PubMed]
- Volz, E.; Hill, V.; McCrone, J.T.; Price, A.; Jorgensen, D.; O’Toole, Á.; Southgate, J.; Johnson, R.; Jackson, B.; Nascimento, F.F.; et al. Evaluating the effects of SARS-CoV-2 Spike mutation D614G on transmissibility and pathogenicity. Cell 2021, 184, 64–75. [Google Scholar] [CrossRef]
- Herfst, S.; Schrauwen, E.J.; Linster, M.; Chutinimitkul, S.; de Wit, E.; Munster, V.J.; Sorrell, E.M.; Bestebroer, T.M.; Burke, D.F.; Smith, D.J.; et al. Airborne transmission of influenza A/H5N1 virus between ferrets. Science 2012, 336, 1534–1541. [Google Scholar] [CrossRef] [PubMed]
- Imai, M.; Watanabe, T.; Hatta, M.; Das, S.C.; Ozawa, M.; Shinya, K.; Zhong, G.; Hanson, A.; Katsura, H.; Watanabe, S.; et al. Experimental adaptation of an influenza H5 HA confers respiratory droplet transmission to a reassortant H5 HA/H1N1 virus in ferrets. Nature 2012, 486, 420–428. [Google Scholar] [CrossRef] [PubMed]
- Holland, J.J.; De La Torre, J.C.; Clarke, D.; Duarte, E. Quantitation of relative fitness and great adaptability of clonal populations of RNA viruses. J. Virol. 1991, 65, 2960–2967. [Google Scholar] [CrossRef]
- Ganusov, V.V.; Goonetilleke, N.; Liu, M.K.; Ferrari, G.; Shaw, G.M.; McMichael, A.J.; Borrow, P.; Korber, B.T.; Perelson, A.S. Fitness costs and diversity of the (cytotoxic T lymphocyte (CTL)) response determine the rate of (CTL) escape during acute and chronic phases of (HIV) infection. J. Virol. 2011, 85, 10518–10528. [Google Scholar] [CrossRef]
- Illingworth, C.J. Fitness inference from short-read data: Within-host evolution of a reassortant H5N1 influenza virus. Mol. Biol. Evol. 2015, 32, 3012–3026. [Google Scholar] [CrossRef] [PubMed]
- Brooke, C.B.; Ince, W.L.; Wrammert, J.; Ahmed, R.; Wilson, P.C.; Bennink, J.R.; Yewdell, J.W. Most influenza A virions fail to express at least one essential viral protein. J. Virol. 2013, 87, 3155–3162. [Google Scholar] [CrossRef]
- Jacobs, N.T.; Onuoha, N.O.; Antia, A.; Steel, J.; Antia, R.; Lowen, A.C. Incomplete influenza A virus genomes occur frequently but are readily complemented during localized viral spread. Nat. Commun. 2019, 10, 3526. [Google Scholar] [CrossRef] [PubMed]
- Phipps, K.L.; Ganti, K.; Jacobs, N.T.; Lee, C.Y.; Carnaccini, S.; White, M.C.; Manandhar, M.; Pickett, B.E.; Tan, G.S.; Ferreri, L.M.; et al. Collective interactions augment influenza A virus replication in a host-dependent manner. Nat. Microbiol. 2020, 5, 1158–1169. [Google Scholar] [CrossRef]
- Shriner, D.; Rodrigo, A.G.; Nickle, D.C.; Mullins, J.I. Pervasive genomic recombination of HIV-1 in vivo. Genetics 2004, 167, 1573–1583. [Google Scholar] [CrossRef]
- Neher, R.A.; Leitner, T. Recombination rate and selection strength in HIV intra-patient evolution. PLoS Comput. Biol. 2010, 6, e1000660. [Google Scholar] [CrossRef]
- Wilke, C.O.; Novella, I.S. Phenotypic mixing and hiding may contribute to memory in viral quasispecies. BMC Microbiol. 2003, 3, 11. [Google Scholar] [CrossRef]
- Zavada, J. Viral pseudotypes and phenotypic mixing. Arch. Virol. 1976, 50, 1–15. [Google Scholar] [CrossRef]
- Froissart, R.; Wilke, C.O.; Montville, R.; Remold, S.K.; Chao, L.; Turner, P.E. Co-infection weakens selection against epistatic mutations in RNA viruses. Genetics 2004, 168, 9–19. [Google Scholar] [CrossRef]
- Wodarz, D.; Levy, D.N.; Komarova, N.L. Multiple infection of cells changes the dynamics of basic viral evolutionary processes. Evol. Lett. 2019, 3, 104–115. [Google Scholar] [CrossRef]
- Acevedo, A.; Brodsky, L.; Andino, R. Mutational and fitness landscapes of an RNA virus revealed through population sequencing. Nature 2014, 505, 686–690. [Google Scholar] [CrossRef] [PubMed]
- Foll, M.; Shim, H.; Jensen, J.D. WFABC: A Wright–Fisher ABC-based approach for inferring effective population sizes and selection coefficients from time-sampled data. Mol. Ecol. Resour. 2015, 15, 87–98. [Google Scholar] [CrossRef] [PubMed]
- McCrone, J.T.; Woods, R.J.; Martin, E.T.; Malosh, R.E.; Monto, A.S.; Lauring, A.S. Stochastic processes constrain the within and between host evolution of influenza virus. Elife 2018, 7, e35962. [Google Scholar] [CrossRef]
- McCrone, J.T.; Woods, R.J.; Martin, E.T.; Monto, A.S.; Lauring, A.S. The effective population size and mutation rate of influenza A virus in acutely infected individuals. bioRxiv 2020. [Google Scholar] [CrossRef]
- Wilker, P.R.; Dinis, J.M.; Starrett, G.; Imai, M.; Hatta, M.; Nelson, C.W.; O’Connor, D.H.; Hughes, A.L.; Neumann, G.; Kawaoka, Y.; et al. Selection on haemagglutinin imposes a bottleneck during mammalian transmission of reassortant H5N1 influenza viruses. Nat. Commun. 2013, 4, 2636. [Google Scholar] [CrossRef][Green Version]
- Andrieu, C.; Doucet, A.; Holenstein, R. Particle Markov chain Monte Carlo methods. J. R. Stat. Soc. Ser. B Stat. Methodol. 2010, 72, 269–342. [Google Scholar] [CrossRef]
- Rasmussen, D.A.; Ratmann, O.; Koelle, K. Inference for nonlinear epidemiological models using genealogies and time series. PLoS Comput. Biol. 2011, 7, e1002136. [Google Scholar] [CrossRef]
- Endo, A.; van Leeuwen, E.; Baguelin, M. Introduction to particle Markov-chain Monte Carlo for disease dynamics modellers. Epidemics 2019, 29, 100363. [Google Scholar] [CrossRef]
- Varble, A.; Albrecht, R.A.; Backes, S.; Crumiller, M.; Bouvier, N.M.; Sachs, D.; García-Sastre, A. Influenza A virus transmission bottlenecks are defined by infection route and recipient host. Cell Host Microbe 2014, 16, 691–700. [Google Scholar] [CrossRef]
- Dou, D.; Hernández-Neuta, I.; Wang, H.; Östbye, H.; Qian, X.; Thiele, S.; Resa-Infante, P.; Kouassi, N.M.; Sender, V.; Hentrich, K.; et al. Analysis of IAV replication and co-infection dynamics by a versatile RNA viral genome labeling method. Cell Rep. 2017, 20, 251–263. [Google Scholar] [CrossRef]
- Dolan, P.T.; Taguwa, S.; Rangel, M.A.; Acevedo, A.; Hagai, T.; Andino, R.; Frydman, J. Principles of dengue virus evolvability derived from genotype-fitness maps in human and mosquito cells. Elife 2021, 10, e61921. [Google Scholar] [CrossRef]
- Da Silva, J.; Coetzer, M.; Nedellec, R.; Pastore, C.; Mosier, D.E. Fitness epistasis and constraints on adaptation in a human immunodeficiency virus type 1 protein region. Genetics 2010, 185, 293–303. [Google Scholar] [CrossRef]
- Burnham, A.J.; Armstrong, J.; Lowen, A.C.; Webster, R.G.; Govorkova, E.A. Competitive fitness of influenza B viruses with neuraminidase inhibitor-resistant substitutions in a coinfection model of the human airway epithelium. J. Virol. 2015, 89, 4575–4587. [Google Scholar] [CrossRef] [PubMed]
- Bushman, M.; Antia, R. A general framework for modelling the impact of co-infections on pathogen evolution. J. R. Soc. Interface 2019, 16, 20190165. [Google Scholar] [CrossRef]
- Martin, B.E.; Harris, J.D.; Sun, J.; Koelle, K.; Brooke, C.B. Cellular co-infection can modulate the efficiency of influenza A virus production and shape the interferon response. PLoS Pathog. 2020, 16, e1008974. [Google Scholar] [CrossRef] [PubMed]
- Gallagher, M.E.; Brooke, C.B.; Ke, R.; Koelle, K. Causes and consequences of spatial within-host viral spread. Viruses 2018, 10, 627. [Google Scholar] [CrossRef]
- Dinis, J.M.; Florek, N.W.; Fatola, O.O.; Moncla, L.H.; Mutschler, J.P.; Charlier, O.K.; Meece, J.K.; Belongia, E.A.; Friedrich, T.C. Deep sequencing reveals potential antigenic variants at low frequencies in influenza A virus-infected humans. J. Virol. 2016, 90, 3355–3365. [Google Scholar] [CrossRef] [PubMed]
- Morris, D.H.; Petrova, V.N.; Rossine, F.W.; Parker, E.; Grenfell, B.T.; Neher, R.A.; Levin, S.A.; Russell, C.A. Asynchrony between virus diversity and antibody selection limits influenza virus evolution. Elife 2020, 9, e62105. [Google Scholar] [CrossRef]






Publisher’s Note: MDPI stays neutral with regard to jurisdictional claims in published maps and institutional affiliations. |
© 2021 by the authors. Licensee MDPI, Basel, Switzerland. This article is an open access article distributed under the terms and conditions of the Creative Commons Attribution (CC BY) license (https://creativecommons.org/licenses/by/4.0/).
Share and Cite
Zhu, H.; Allman, B.E.; Koelle, K. Fitness Estimation for Viral Variants in the Context of Cellular Coinfection. Viruses 2021, 13, 1216. https://doi.org/10.3390/v13071216
Zhu H, Allman BE, Koelle K. Fitness Estimation for Viral Variants in the Context of Cellular Coinfection. Viruses. 2021; 13(7):1216. https://doi.org/10.3390/v13071216
Chicago/Turabian StyleZhu, Huisheng, Brent E. Allman, and Katia Koelle. 2021. "Fitness Estimation for Viral Variants in the Context of Cellular Coinfection" Viruses 13, no. 7: 1216. https://doi.org/10.3390/v13071216
APA StyleZhu, H., Allman, B. E., & Koelle, K. (2021). Fitness Estimation for Viral Variants in the Context of Cellular Coinfection. Viruses, 13(7), 1216. https://doi.org/10.3390/v13071216

