Plant Diversity along the Eastern and Western Slopes of Baima Snow Mountain, China
Abstract
:1. Introduction
2. Materials and Methods
2.1. Study Area
2.2. Meteorological Data
2.3. Field Sampling
2.4. Statistical Analysis
2.4.1. Estimate of α and β Diversity
2.4.2. Principal Component Analysis (PCA) of Climatic Variables
2.4.3. Environmental and Spatial Interpretations of Diversity Patterns
3. Results
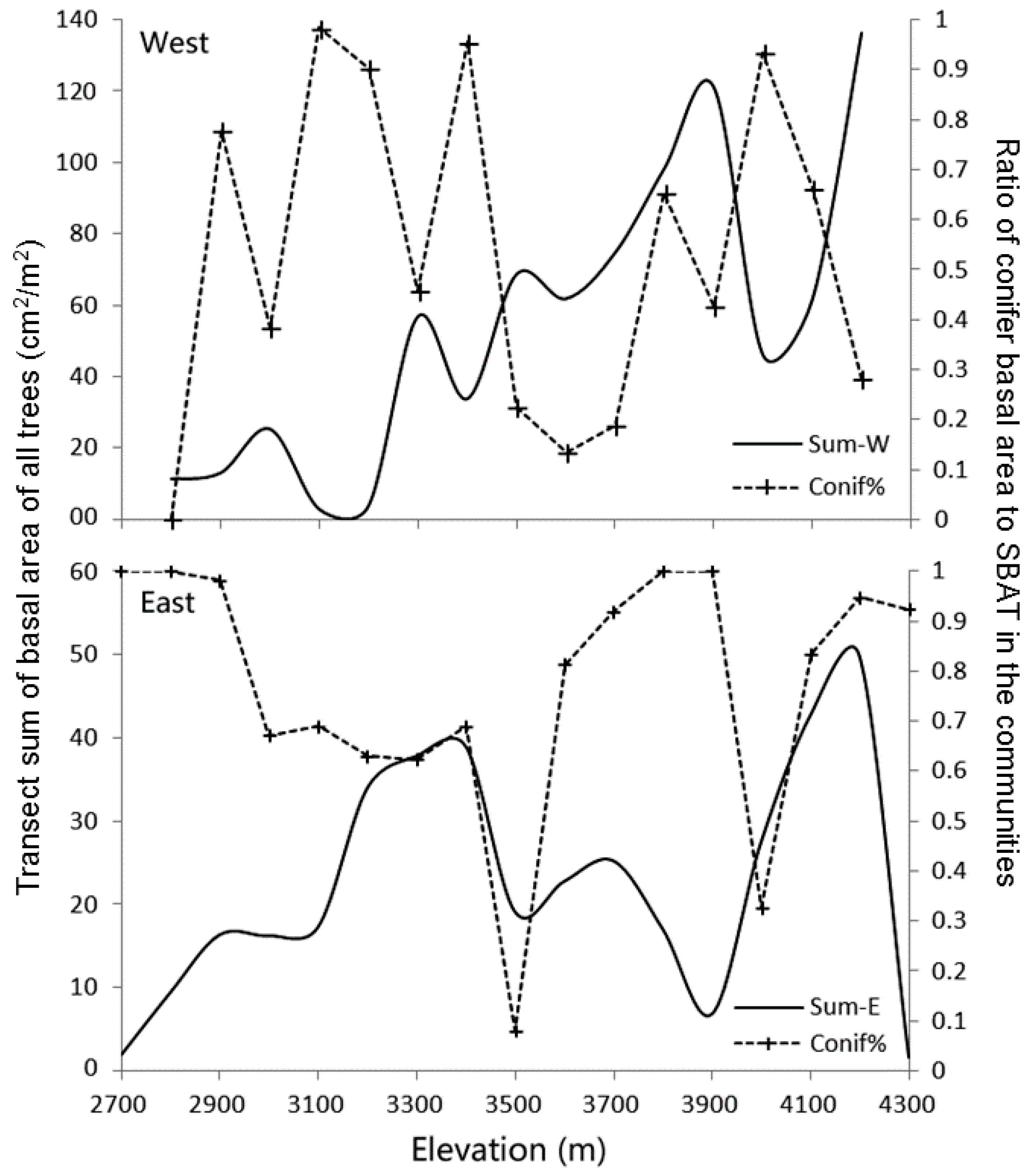
3.1. Vegetation Zones and Overall Species Composition along the Elevation Gradient
3.2. Species Richness and Species Turnover within Communities
3.3. Vegetation Zones and Species Turnover
3.4. Environmental Interpretation of Alpha Diversity Patterns
3.5. Climatic Interpretation of Beta Diversity Patterns
4. Discussion
4.1. Interpretation of Patterns
4.2. Testing Competing Hypotheses
4.3. Implications
5. Conclusions
Supplementary Materials
Acknowledgments
Author Contributions
Conflicts of Interest
References
- Myers, N.; Mittermeier, R.A.; Mittermeier, C.G.; Fonseca, G.A.D.; Kent, J. Biodiversity hotspots for conservation priorities. Nature 2000, 403, 853–858. [Google Scholar] [CrossRef] [PubMed]
- López-Pujol, J.; Zhang, F.M.; Ge, S. Plant biodiversity in China: Richly varied, endangered, and in need of conservation. Biodivers. Conserv. 2006, 15, 3983–4026. [Google Scholar] [CrossRef]
- Sanders, N.J.; Rahbek, C. The patterns and causes of elevational diversity gradients. Ecography 2012, 35, 1–3. [Google Scholar] [CrossRef]
- Wu, R.; Zhang, S.; Yu, D.W.; Zhao, P.; Li, X.; Wang, L.; Yu, Q.; Ma, J.; Chen, A.; Long, Y. Effectiveness of China’s nature reserves in representing ecological diversity. Front. Ecol. Environ. 2011, 9, 383–389. [Google Scholar] [CrossRef]
- Sloan, S.; Jenkins, C.N.; Joppa, L.N.; Gaveau, D.L.A.; Laurance, W.F. Remaining natural vegetation in the global biodiversity hotspots. Biol.Conserv. 2014, 177, 12–24. [Google Scholar] [CrossRef]
- Ying, L.; Shen, Z.; Chen, J.; Fang, R.; Chen, X.; Jiang, R. Spatiotemporal patterns of road network and road development priority in Three Parallel Rivers region in Yunnan, China: An evaluation based on modified kernel distance estimate. Chin. Geogr. Sci. 2014, 24, 39–49. [Google Scholar] [CrossRef]
- Rahbek, C. The elevational gradient of species richness: A uniform pattern? Ecography 1995, 18, 200–205. [Google Scholar] [CrossRef]
- McCain, C.M.; Grytnes, J.-A. Elevational gradients in species richness. In Encyclopedia of Life Sciences; John Wiley&Sons, Ltd.: Chichester, UK, 2010. [Google Scholar]
- Gentili, R.; Armiraglio, S.; Sgorbati, S.; Baroni, C. Geomorphological disturbance affects ecological driving forces and plants turnover along an altitudinal stress gradient on alpine slopes. Plant. Ecol. 2013, 214, 571–586. [Google Scholar] [CrossRef]
- Brown, J.H. Mammals on mountainsides: Elevational patterns of diversity. Glob. Ecol. Biogeogr. 2001, 10, 101–109. [Google Scholar] [CrossRef]
- Hawkins, B.A.; Turner, J.R.G. Energy, water, and broad-scale geographic patterns of species richness. Ecology 2003, 84, 3105–3117. [Google Scholar] [CrossRef]
- Ricklefs, R.E.; Qian, H.; White, P.S. The region effect on mesoscale plant species richness between eastern Asia and eastern North America. Ecography 2004, 27, 129–136. [Google Scholar] [CrossRef]
- Wiens, J.J.; Parra-Olea, G.; Wake, D.B. Phylogenetic history underlies elevational biodiversity patterns in tropical salamanders. Proc. R. Soc. Lond. B Biol. 2007, 274, 919–928. [Google Scholar] [CrossRef] [PubMed]
- Terborgh, J.; Weske, J.S. The role of competition in the distribution of Andean birds. Ecology 1975, 56, 562–576. [Google Scholar] [CrossRef]
- Colwell, R.K.; Hurtt, G.C. Nonbiological gradients in species richness and a spurious Rapoport effect. Am. Nat. 1994, 144, 570–595. [Google Scholar] [CrossRef]
- Lomolino, M.V. Elevation gradients of species-density: Historical and prospective views. Glob. Ecol. Biogeogr. 2001, 10, 3–13. [Google Scholar] [CrossRef]
- Li, H.W.; Zhao, Y. Plant diversity of Baimaxueshan National Natural Reserve. Guihaia 2007, 27, 71–76. [Google Scholar]
- Kirkpatrick, R.C.; Long, Y.C.; Zhong, T.; Xiao, L. Social organization and range use in the Yunnan snub-nosed monkey Rhinopithecus bieti. Int. J. Primatol. 1998, 19, 14–51. [Google Scholar] [CrossRef]
- Zhang, Y.G. Several issues concerning vertical climate of the Hengduan Mountains. Res. Sci. 1998, 20, 12–19. [Google Scholar]
- Hijmans, R.J.; Cameron, S.E.; Parra, J.L.; Jones, P.G.; Jarvis, A. Very high resolution interpolated climate surfaces for global land areas. Int. J. Climatol. 2005, 25, 1965–1978. [Google Scholar] [CrossRef]
- Holdridge, L.R.; Grenke, W.C.; Hatheway, W.H.; Liang, T.; Tosi, J.A. Forest Environments in Tropical Life Zones; Pergamon Press: New York, NU, USA, 1971; p. 747. [Google Scholar]
- Kluge, J.; Kessler, M. Fern endemism and its correlates: Contribution from an elevational transect in Costa Rica. Divers. Distrib. 2006, 12, 535–545. [Google Scholar] [CrossRef]
- Schuur, E.A.G. Productivity and global climate revisited: The sensitivity of tropical forest growth to precipitation. Ecology 2003, 84, 1165–1170. [Google Scholar] [CrossRef]
- Baselga, A. Partitioning the turnover and nestedness components of beta diversity. Glob. Ecol. Biogeogr. 2010, 19, 134–143. [Google Scholar] [CrossRef]
- Koleff, P.; Gaston, K.J.; Lennon, J.J. Measuring beta diversity for presence-absence data. J. Anim. Ecol. 2003, 72, 367–382. [Google Scholar] [CrossRef]
- Harte, J.; Smith, A.B.; Storch, D. Biodiversity scales from plots to biomes with a universal species–area curve. Ecol. Lett. 2009, 12, 789–797. [Google Scholar] [CrossRef] [PubMed]
- Bro, R.; Smilde, A.K. Principal component analysis. Anal. Methods 2014, 6, 2812–2831. [Google Scholar] [CrossRef]
- Chevan, A.; Sutherland, M. Hierarchical Partitioning. Am. Stat. 1991, 45, 90–96. [Google Scholar]
- Mac-Nally, R. Hierarchical partitioning as an interpretative tool in multivariate inference. Aust. J. Ecol. 1996, 21, 224–228. [Google Scholar] [CrossRef]
- Oliver, I.; Nally, R.M.; York, A. Identifying performance indicators of the effects of forest management on ground-active arthropod biodiversity using hierarchical partitioning and partial canonical correspondence analysis. For. Ecol. Manag. 2000, 139, 21–40. [Google Scholar] [CrossRef]
- Mantel, N. The detection of disease clustering and a generalized regression approach. Can. Res. 1967, 27, 209–220. [Google Scholar]
- Jeremy, W.L. Multiple regression on distance matrices: A multivariate spatial analysis tool. Plant. Ecol. 2007, 188, 117–131. [Google Scholar]
- Li, X.W. A floristic study on the seed plants from the region of Yunnan Plateau. Acta Bot. Yunnanica 1995, 17, 1–14. [Google Scholar]
- Fu, C.; Hua, X.; Li, J.; Chang, Z.; Pu, Z.C.; Chen, J.K. Elevational patterns of frog species richness and endemic richness in the Hengduan Mountains, China: Geometric constraints, area and climate effects. Ecography 2006, 29, 919–927. [Google Scholar] [CrossRef]
- Wang, Z.H.; Tang, Z.Y.; Fang, J.Y. Altitudinal patterns of seed plant richness in the Gaoligong Mountains, south-east Tibet, China. Divers. Distrib. 2007, 13, 845–854. [Google Scholar] [CrossRef]
- Wu, Y.; Colwell, R.K.; Han, N.; Zhang, R.; Wang, W.; Quan, Q.; Zhang, C.; Song, G.; Qu, Y.; Lei, F. Understanding historical and current patterns of species richness of babblers along a 5000m subtropical elevational gradient. Glob. Ecol. Biogeogr. 2014, 23, 1167–1176. [Google Scholar] [CrossRef]
- Feng, J.M.; Wang, X.P.; Xu, C.D.; Yang, Y.H.; Fang, J.Y. Altitudinal patterns of plant species diversity and community structure on Yulong Mountains, Yunnan, China. J. Mt. Sci.-Engl. 2006, 24, 110–116. [Google Scholar]
- Sun, Z.H.; Peng, S.J.; Ou, X.K. A quick assessment of tree species richness in Mt. Gaoligong and the environmental interpretation. Chin. Sci. Bull. 2007, 52, 195–200. [Google Scholar]
- Jin, Z.Z. A mossy forest appearing in the sclerophyllous evergreen broad-leaf forests—Quercetum pannosum nimborum. Acta Bot. Yunnanica 1981, 3, 75–88. [Google Scholar]
- Liu, X.L.; He, F.; Fan, H.; Pan, H.L.; Li, M.H.; Liu, S.R. Leaf-form characteristics of plants in Quercus aquifolioides community along an elevational gradient on the Balang Mountain in Wolong Nature Reserve, Sichuan, China. Acta Ecol. Sin. 2013, 33, 7148–7156. [Google Scholar]
- Wang, Z.H.; Tang, Z.Y.; Fang, J.Y. The species-energy hypothesis as a mechanism for species richness patterns. Biodivers. Sci. 2009, 17, 613–624. [Google Scholar]
- Hawkins, B.A.; Diniz-Filho, J.A.F. Beyond Rapoport’s rule: Evaluating range size patterns of New World birds in a two-dimensional framework. Glob. Ecol. Biogeogr. 2006, 15, 461–469. [Google Scholar] [CrossRef]
- Shen, Z.H.; Fei, S.L.; Feng, J.M.; Liu, Y.N.; Liu, Z.L.; Tang, Z.Y.; Wang, X.P.; Wu, X.P.; Zheng, C.Y.; Zhu, B.; et al. Geographical patterns of community-based tree species richness in Chinese mountain forests: The effects of contemporary climate and regional history. Ecography 2012, 35, 1134–1146. [Google Scholar] [CrossRef]
- Colwell, R.K.; Rahbek, C.; Gotelli, N. The mid-domain effect and species richness patterns: What have we learned so far? Am. Nat. 2004, 163, E1–E23. [Google Scholar] [CrossRef] [PubMed]
- Freestone, A.L.; Inouye, B.D. Dispersal limitation and environmental heterogeneity shape scale-dependent diversity patterns in plant communities. Ecology 2006, 87, 2425–2432. [Google Scholar] [CrossRef]
- Chen, J.; Cao, L.; Chen, Y. Value of world natural heritage ′Three Parallel Rivers′—Scene diversity. World Nat. Herit. 2004, 22, 22–26. [Google Scholar]
- Fjeldså, J.; Álvarez, M.D.; Lazcano, J.M.; León, B. Illicit crops and armed conflict as constraints on biodiversity conservation in the Andes region. Ambio 2005, 34, 205–211. [Google Scholar] [CrossRef] [PubMed]
- Czech, B. Prospects for reconciling the conflict between economic growth and biodiversity conservation with technological progress. Conserv. Biol. 2008, 22, 1389–1398. [Google Scholar] [CrossRef] [PubMed]
- Mutke, J.; Barthlott, W. Patterns of vascular plant diversity at continental to global scales. Biol. Skr. 2005, 55, 521–531. [Google Scholar]





| Parameter | Western Aspect | Saddle | Eastern Aspect | ||||
|---|---|---|---|---|---|---|---|
| Station | No.1 | No.2 | No.3 | No.4 | No.5 | No.6 | No.7 |
| Elevation, m | 2080 | 2747 | 3485 | 4292 | 3760 | 2988 | 2025 |
| Mean annual temperature, °C | 14.74 | 10.83 | 5.24 | −1.14 | 2.97 | 9.65 | 16.57 |
| Annual precipitation, mm | 425.0 | 410.6 | 513.8 | 807.1 | 946.1 | 532.8 | 285.6 |
| Factors | Index | Algorithm | Reference |
|---|---|---|---|
| Energy | Tmin | Monthly mean temperature in the coldest month (January) | [20] |
| Tmax | Monthly mean temperature in the warmest month (July) | [20] | |
| MTWQ | Mean temperature in the wettest quarter: June, July and August | [20] | |
| MTCQ | Mean temperature of December, January and February | [20] | |
| MAT | Mean annual temperature | ||
| PET | Potential evapotranspiration: 58.93 × ABT † | [21] | |
| Moisture | PWQ | Precipitation in the wettest quarter: June, July and August | [21] |
| PDQ | Precipitation in the driest quarter: December, January and February | [21] | |
| Pmin | Minimum monthly precipitation (in January) | ||
| Pmax | Maximum monthly precipitation (in August) | ||
| AP | Annual precipitation | ||
| AET | Actual evapotranspiration: (P/(0.9 + (P/L)2)1/2, L = 300 + 25T + 0.05T3 | [22] | |
| MI | Moisture index: PET/AP | [21] | |
| WD | Water deficiency: PET − AET | [21] | |
| DI | Drought index: AET/P | [21] | |
| Productivity | NPP | Net primary productivity: min{NPPMAP, NPPMAT} | [23] |
| NPPMAP = 0.005212(MAP1.12363)/e0.000459532(MAP) | |||
| NPPMAT = 17.6243/(1 + e(1.3496−0.071514(MAT))) | |||
| Climate seasonality | ART | Annual range of temperature: T7 − T1 | [20] |
| TSN | Temperature seasonality: SD (monthly mean temperature) × 100 | [20] | |
| PSN | Precipitation seasonality: CV (monthly mean precipitation) | [20] |
| Variable | Western Aspect | Eastern Aspect | ||||||
|---|---|---|---|---|---|---|---|---|
| Herbs | Shrubs | Trees | All Forms | Herbs | Shrubs | Trees | All Forms | |
| MAT | 0.080 | 0.174 * | 0.056 | 0.072 | 0.082 | 0.089 | ||
| Tmin | 0.087 | 0.174 * | 0.107 | |||||
| PET | 0.118 | 0.281 * | 0.107 | 0.051 | 0.166 * | 0.078 | ||
| Pmin | 0.169 * | 0.100 | ||||||
| Pmax | 0.122 * | 0.211 * | 0.075 | 0.070 | ||||
| PDQ | 0.306 * | 0.091 | 0.107 | |||||
| PWQ | 0.122 * | 0.201 * | 0.048 | 0.073 | 0.081 | 0.070 | ||
| WD | 0.073 | 0.114 * | ||||||
| AET | 0.167 * | 0.050 | 0.123 | 0.064 | 0.072 | |||
| NPP | 0.068 | 0.159 * | ||||||
| ART | 0.223 * | 0.096 | 0.110 | 0.238 * | 0.178 * | |||
| TSN | 0.200 * | 0.169 * | 0.257 * | 0.171 * | 0.221 * | |||
| PSN | 0.072 | |||||||
| Exposure | 0.061 | 0.042 | 0.028 | 0.027 | ||||
| Slope | 0.174 * | 0.077 | 0.171 * | |||||
| Interpreted variation (%) | 85.7 | 88.8 | 92.7 | 90.2 | 83.6 | 95.2 | 95.8 | 92.5 |
| Distance | Variables | Eastern Aspect | Western Aspect | ||||
|---|---|---|---|---|---|---|---|
| Herb | Shrub | Tree | Herb | Shrub | Tree | ||
| De | Energy | 0.156 | 0.335 | 0.995 *** | 0.180 | 0.035 | 1.269 * |
| Moisture | 0.385 ** | 0.525 ** | 0.289 | 0.513 ** | 0.618 ** | 1.133 * | |
| Seasonality | 0.076 | 0.052 | 0.035 | 0.211 * | 0.321 ** | 0.606 | |
| Productivity | 0.172 * | 0.217 ** | 0.035 | 0.204 ** | 0.234 ** | 0.224 | |
| Dg | 0.359 * | 0.477 ** | 0.682 *** | 0.230 | 0.354 ** | 0.410 * | |
| Total | R2 | 47.2% *** | 47.1% *** | 46.5% *** | 62.8% *** | 64.6% *** | 63.8% *** |
, partially supported (or rejected).
| Interpretive Hypothesis | α Diversity | β Diversity | R Diversity | Species-Area Curves |
|---|---|---|---|---|
| Area | × | × | × | ![]() |
| Middle-domain effect | ![]() | ![]() | × | × |
| Historical and regional process | √ | × | √ | ![]() |
| Water-energy balance | √ | √ | √ | √ |
| Habitat heterogeneity | ![]() | × | × | √ |
© 2016 by the authors; licensee MDPI, Basel, Switzerland. This article is an open access article distributed under the terms and conditions of the Creative Commons Attribution (CC-BY) license (http://creativecommons.org/licenses/by/4.0/).
Share and Cite
Yang, Y.; Shen, Z.; Han, J.; Zhongyong, C. Plant Diversity along the Eastern and Western Slopes of Baima Snow Mountain, China. Forests 2016, 7, 89. https://doi.org/10.3390/f7040089
Yang Y, Shen Z, Han J, Zhongyong C. Plant Diversity along the Eastern and Western Slopes of Baima Snow Mountain, China. Forests. 2016; 7(4):89. https://doi.org/10.3390/f7040089
Chicago/Turabian StyleYang, Yang, Zehao Shen, Jie Han, and Ciren Zhongyong. 2016. "Plant Diversity along the Eastern and Western Slopes of Baima Snow Mountain, China" Forests 7, no. 4: 89. https://doi.org/10.3390/f7040089
APA StyleYang, Y., Shen, Z., Han, J., & Zhongyong, C. (2016). Plant Diversity along the Eastern and Western Slopes of Baima Snow Mountain, China. Forests, 7(4), 89. https://doi.org/10.3390/f7040089
