Abstract
The biotic province of the Sierra Madre del Sur presents a mosaic of woodlands at different successional stages due to frequent modifications in land use. In this study, we analyzed changes in woody flora across three successional stages of pine-oak forest: early, intermediate, and mature. Vegetation composition and diversity were characterized in 10 plots (each 0.28 ha). The mature stage had the highest values for species richness, abundance, and diversity. Pioneer plants were dominant in the early-successional site and may promote the establishment of late-successional species. The vegetation structure was more complex in the mature stage, where members of the Quercus genus were co-dominant with Pinus species. Pine tree richness was highest in the early-successional stage, and its abundance increased at the intermediate-successional site. These results suggest that Pinus species can grow in perturbed and sunny environments but also require favorable edaphic and microclimatic conditions, such as those found in intermediate woodlands. Results of this fieldwork support the initial floristic composition succession model, which suggests that species present at early stages will also occur in subsequent stages. Ecological succession may be considered to be a natural restoration process, and thus, conservation strategies should focus on maintaining distinct successional communities in addition to mature forests in order to preserve a high number of species.
1. Introduction
Although pine-oak woodlands provide environmental goods and services, such as the conservation of biological diversity, carbon sequestration, and the regulation of climate and hydrological cycles [1,2,3], in Mexico and other parts of the world these forests have undergone anthropogenic modifications due to agriculture [4] and overharvesting [5,6]. Furthermore, temperate forests are susceptible to fires, landslides, and storms [7,8,9]. Currently, many of these landscapes are characterized by secondary pine-oak forest intermixed with scrublands, grasslands, and farmlands [10], in addition to small areas of mature pine-oak woodland that have been preserved due to their location along steep slopes or in abrupt canyons [7,11].
In addition to soil, climate, and biotic factors, such as competition and seed dispersal, the type of disturbance (frequency, intensity, and duration) may also explain patterns of species diversity across successional gradients [12,13,14,15]. In particular, seed dispersal and seedling recruitment determine the spatial distribution of adult trees in a forest community [16,17]. In contrast to tropical dry forests, the successional dynamics and natural regeneration of temperate pine-oak forests are less influenced by climatic seasonality [18,19]. Additionally, disturbed forests have an open canopy that leads to less fertile soils due to a lower incorporation of organic matter [1]. Also, this open canopy may promote variations in understory temperature and humidity [20]. These changes can limit the regeneration of many tree species [6,21]. Furthermore, the presence of dominant Pinus (pine) and Quercus (oak) species may strongly influence seedling recruitment rates, including those of other tree species [22]. For example, in sites with slightly open overstories where Pinus spp. are dominant, the growth of Quercus and various ligneous species increases due to the favorable effect of intermediate shade on seedlings and juveniles of these species [9,23,24]. On the other hand, pine regeneration diminishes under closed canopies, especially in oak-dominated landscapes [7,25]. In fact, most pine species tolerate direct solar radiation and grow in disturbed sites, and are therefore commonly considered to be pioneer species in temperate forests [26].
Environmental modifications in forested areas resulting from human activities can critically influence the early recruitment of species and have an impact on forest composition, structure, and dynamics [27,28]. Studies on plant succession in temperate environments have mainly focused on the role of fires (post-fire) in the natural dynamics of these ecosystems [26,29,30,31,32,33]. However, studies on the secondary succession of temperate woodlands have received little attention in comparison to dry or humid tropical environments.
The biotic province of Sierra Madre del Sur, Guerrero, has been over-exploited due to a high demand for timber and other forest resources. This, together with agricultural activities has resulted in frequent changes in land use [34]. These changes in land use have resulted in a patchy landscape represented by various successional stages. In this study, we analyzed the changes in composition, diversity, and structure of woody flora along a successional gradient in a mixed pine-oak forest. Since soil nutrients are limited in early successional stages, the rates of photosynthesis in Pinus and Quercus are therefore also be affected [7,35,36]. Thus, we tested the following hypotheses: (1) Woody species will have a less complex structure (i.e., foliage cover, foliage height diversity, relative importance value) in the initial successional stage in comparison to the intermediate and mature stages, as well as lower species richness and diversity; (2) Since succession depends on the seeds remaining in the soil after a disturbance [37], the composition of the plant communities will only vary slightly among stages without a total replacement of one community by another [38]. As Pinus spp. grow in open environments and the development of seedlings is dependent upon light penetration to the ground level, the relative foliage cover of pines will be higher in early successional stages. Accordingly, the relative pine cover will be lower in the mature stage. Also in the first seral stage we expected more anemochorous pioneer species; (3) The growth of oaks will be favored by habitats with closed canopies, since many oak species require fertile soils with high humidity that are developed under this type of habitat.
2. Materials and Methods
2.1. Study Area
This study was carried out in the locality of Xocomanatlán in the biotic province of the Sierra Madre del Sur, located in the state of Guerrero between 17°33’20.67”N and 17°31’29.81”N and 99°41’02.25”W and 99°38’15.59”W (Figure 1) at ~1900 m above sea level. The region is characterized by a diverse and rugged topography [39]. The prevailing climate, according to the Köppen classification [40], is temperate sub-humid. Soils are predominantly luvisol and limestone. All the study area consists of conifers and broadleaf forests.
Figure 1.
Study area and sampling plots in a temperate pine-oak forest of the Sierra Madre del Sur, Guerrero, Mexico.
2.2. Sample Sites
Three sites of pine-oak forest in distinct successional stages were selected: early (last disturbance ca. five years ago), intermediate (last disturbance ca. 20 years ago) and mature (last disturbance ca. 40 years ago). Due to the topography (inclination >45°) and rocky substrate of the mature site, agricultural activities on a large scale have been impeded, although tenants have partially cut trees to obtain forest goods. However, the site continues to maintain elements of the original flora. The early and intermediate successional sites were cleared by the traditional slash and burn method to plant corn and, to a lesser extent, peach, pear, apple, and hawthorn (tejocote in Spanish) orchards. The dates of the last major disturbance and type of management at each site were obtained from informal interviews with farmers.
2.3. Vegetation Sampling
At each selected site, we randomly delimited 10 plots of 0.28 ha (Figure 1). Within each plot, we traced two perpendicular lines with a rope, oriented to the four cardinal points. The taxonomic identity of all trees and shrubs with branches intersecting the rope and a diameter at breast height (DBH) ≥10 cm was determined. Foliage cover for each of these plants was estimated with the ellipse formula, using the length of the maximum and minimum diameters [41]. Foliage stratification was estimated by an optical square marked with two perpendicular axes [42]. The square has three mirrors arranged so that upon looking horizontally through the device, the height of objects above may be assessed. In each plot, we recorded foliage height and the number of times that foliage touched the point of intersection of the two axes. This procedure was repeated every 50 cm along the two transects, representing a total of 60 observational data points [19]. Foliage heights were estimated with the electronic clinometer Haglöf HEC and were grouped at 1 m intervals.
The determination of plants was accomplished by consulting botanical specimen collections, and plants were deposited at the Herbarium of the Chemistry and Biological Sciences Academic Unit of the Autonomous University of Guerrero. The list of species present in the study area follows the family classification of Stevens [43], and the genera and species nomenclature was assigned according to the database of the Missouri Botanical Garden [44].
2.4. Statistical Analysis
For each successional stage, we used a non-parametric richness estimator, Chao 2, to evaluate the efficiency of the sampling effort. It has been shown that this estimator allows for reliable approximations when using sample units of a relatively small size (i.e., circular plots) [45,46]. These analyses were performed with the software EstimateS, version 8.0 [47].
We used the Shannon-Wiener index (H′) to calculate species diversity, the Pielou index (J) to determine evenness, and the Simpson index (D) to measure dominance [48]. For the analysis of vegetation structure, the following values were calculated for dominant plant species at each site: relative density (proportion of the number of individuals of a species to the total sampled area), frequency (proportion of the number of plots with species presence to the total number of plots per site), and foliage cover (obtained with two perpendicular diameters of the plant canopy) [41]. From these three measurements, we obtained the relative importance value (RIV) for each plant species. In addition, we evaluated the diversity in foliage height using the Shannon-Wiener index, where values were recorded along 1 m intervals of the transects. To compare the mean diversity indices between successional stages, we applied an analysis of variance (one-way ANOVA). Similarly, plant cover, density, and diversity of foliage were compared among sites using one-way ANOVAs, following a prior analysis of normality and homoscedasticity. Comparisons were analyzed a posteriori with the HSD (honest significant difference Tukey test).
A classification of sample plots was performed using the unweighted pair-group average method (UPGMA) with the Bray-Curtis coefficient as a measure of dissimilarity, based on the values of relative importance for each plant species. This analysis was performed using the multivariate statistical package MVSP 3.13r [49]. To ascertain if the groups resulting from the classification differed statistically, we conducted a discriminant function analysis using the Wilks' Lambda criterion (λ), which gives values ranging from 0 (groups differ significantly) to 1 (groups do not differ). Also, an arrangement of sample plots was performed with a non-metric multidimensional scaling (NMDS). This method graphically shows similarities in the composition and abundance of species among sampling plots. The distance between points indicates the degree of similarity. We used NMDS because it is not based on any assumptions of data distribution [50]. Kruskal’s stress [51] was calculated to determine fit, resulting in values ranging from 0 (perfect fit) to 0.20 (bad fit). Also, we performed a one-way analysis of similarity (ANOSIM), which is a permutational non-parametric test that operates on similarities matrices [52]; in this case, we used the Bray-Curtis distance coefficients.
3. Results
3.1. Floristic Composition
We recorded 892 individuals in the three successional stages, corresponding to 19 shrub species and 34 tree species belonging to 20 families (Table A1). The family with the highest number of species was Fagaceae (10 species), followed by Fabaceae (eight), Pinaceae (five), and Compositae and Rosaceae with four species each (Table A1). These families represented 59.6% of the total species present in the study sites, while the remaining families had three or fewer species (see Table A1).
The highest RIV in the early stage corresponded to Brickellia spp., Pinus lawsonii Roezl ex Gordon., Acacia farnesiana (L.) Willd., Pinus pringlei Shaw., and Crataegus pubescens (C. Presl) C. Presl (Figure 2A) and in the intermediate stage to Pinus pringlei, P. lawsonii, Brickellia spp., Quercus acutifolia Née., and Q. liebmannii Oerst. ex Trel. (Figure 2B). In the mature stage, Quercus candicans Née., Pinus lawsonii, Quercus magnoliifolia Née., Q. crassifolia Benth., and Q. glaucescens Bonpl. had the highest RIV (Figure 2C).
Figure 2.
Highest relative importance value (RIV) for woody plants in a temperate pine-oak forest successional gradient. (a) early stage; (b) intermediate stage; (c) mature stage. Acfa = Acacia farnesianna (L.) Willd., Acpe = Acacia pennatula Benth., Brsp = Brickellia spp., Crpu = Crataegus pubescens C. Presl., Mogr = Montanoa grandiflora DC., Pyco = Pyrus communis L., Pila = Pinus lawsonii Roezl ex Gordon, Pipr = Pinus pringlei Shaw., Qucr = Quercus crassifolia Benth., Qusp = Quercus spp. L., Arxa = Arbutus xalapensis Kunth., Pimo = Pinus montezumae Gordon & Glend., Quac = Quercus acutifolia Née., Qugl = Quercus glaucescens Bonpl., Quli = Quercus liebmanni Oerst. ex Trel., Quma = Quercus magnoliifolia Née., Semu = Senna multiglandulosa (Jacq.) H.S. Irwin & Barneby., Culi = Cupressus lindleyi Mill., Quel = Quercus elliptica Née., Quca = Quercus candicans Née., Pips = Pinus pseudostrobus Lindl.
3.2. Species Richness, Abundance, and Diversity
According to the Chao 2 estimator, 83% of the species present in the mature stage, 87% in the intermediate stage, and 88% in the early stage were recorded. The mature forest had the highest richness with 35 species (Table 1). Trees were more abundant in the mature stage, while shrubs were better represented in the early stage (Table 1).
Table 1.
Woody species richness (observed and expected) in the three successional stages of pine-oak forest in the Sierra Madre del Sur, Guerrero, Mexico.
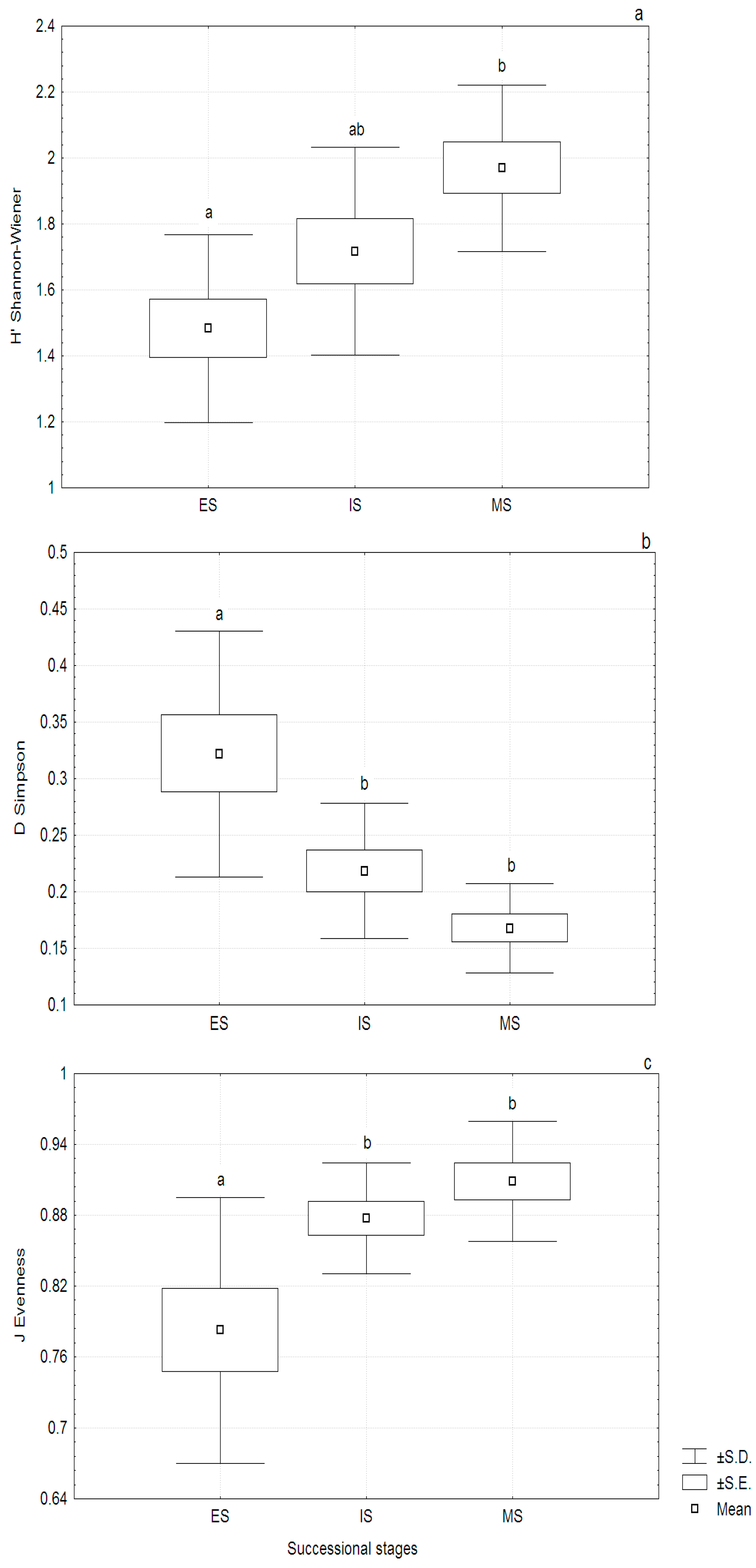
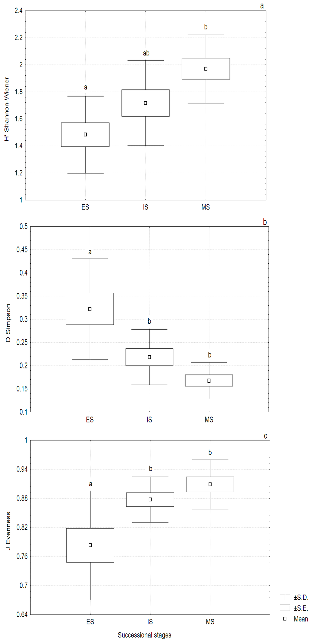
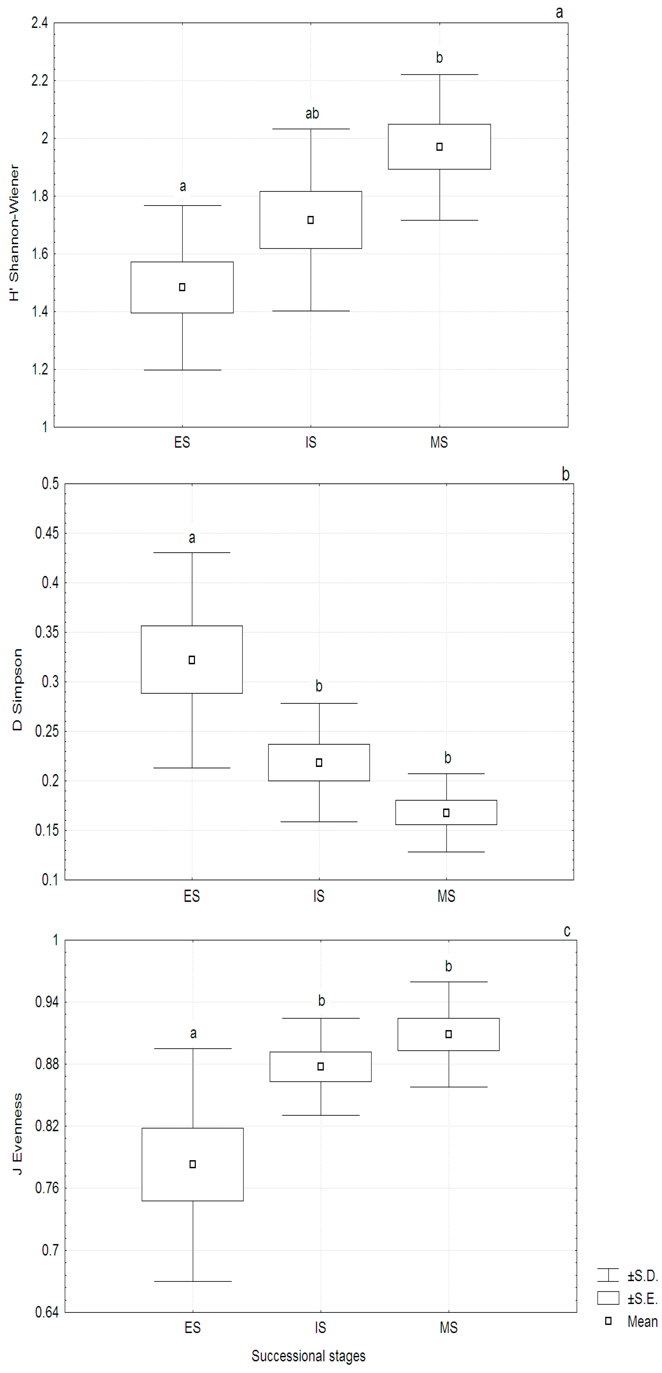
The Shannon-Wiener diversity was significantly higher in the mature site than in the early site (F2,27 = 7.27, p = 0.003; Figure 3A). However, dominance was higher in the early stage (0.32 ± 0.03) in comparison with the intermediate and mature stages (F2,27 = 10.95, p < 0.001; Figure 3B). The mature successional site also had the highest value of equitability (F2,27 = 7.41, p = 0.003; Figure 3C).
Figure 3.
Mean values of diversity indices for woody plants along a temperate forest successional gradient. (a) Shannon-Wiener; (b) Simpson; (c) evenness. Different letters indicate significant differences (Tukey, p < 0.05). ES = early stage, IS = intermediate stage, MS = mature stage.
3.3. Vegetation Structure
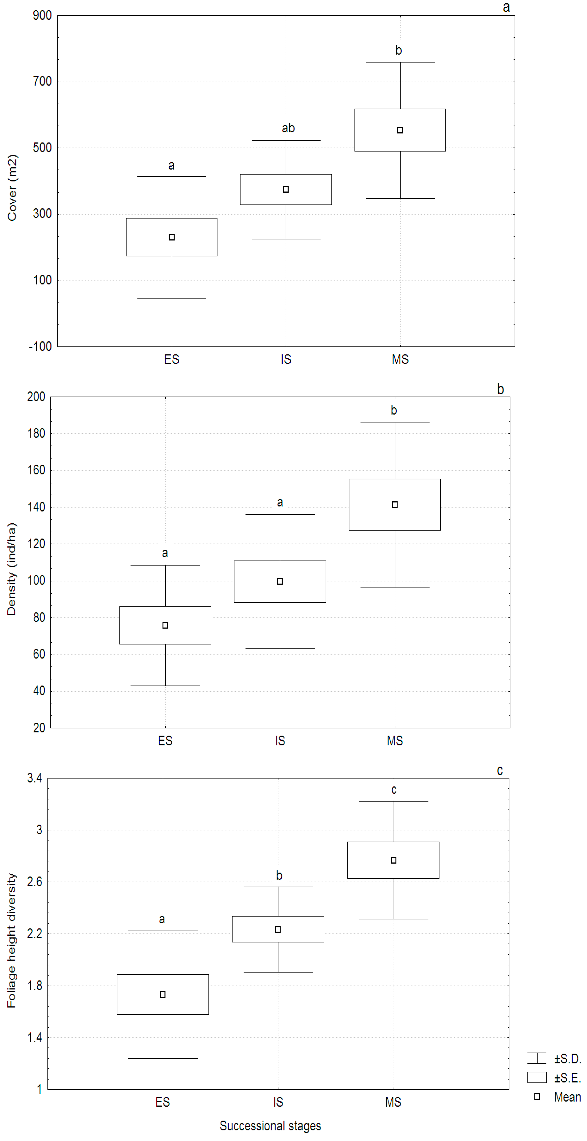
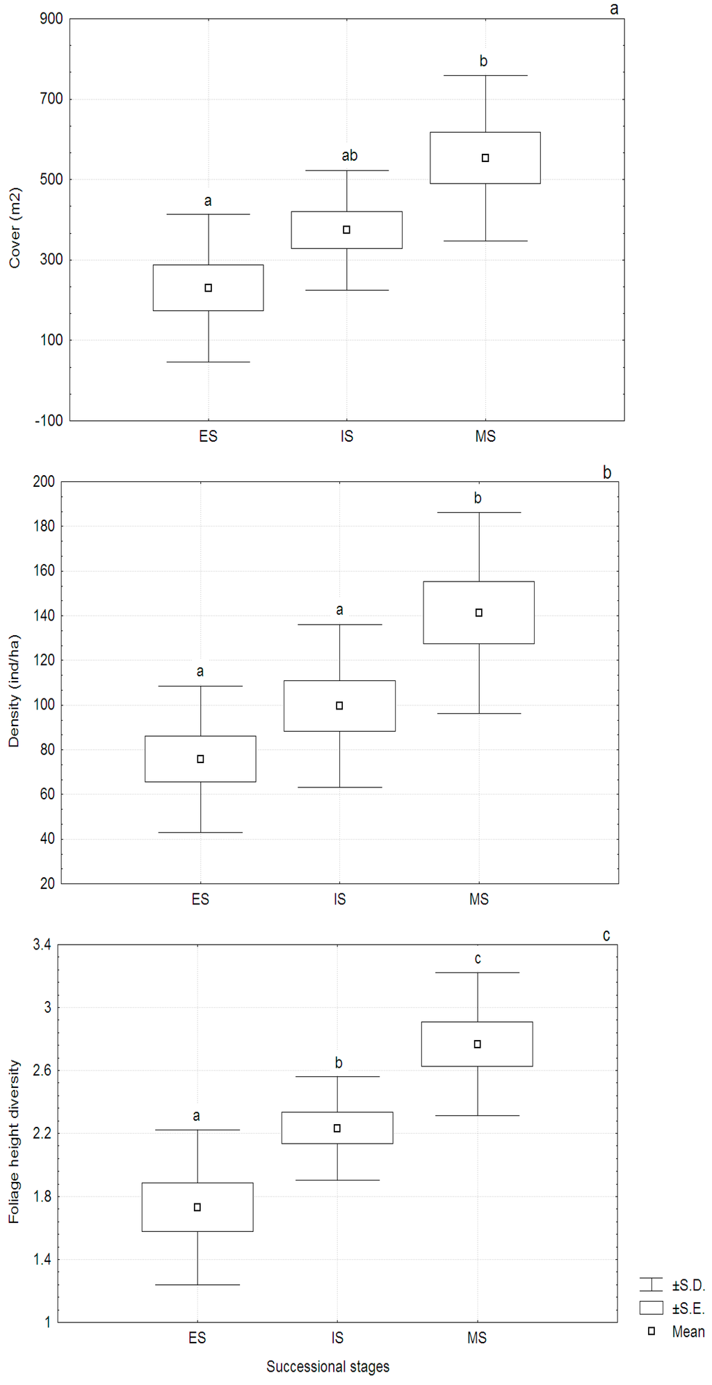
Total plant cover was greater in the mature (373.83 ± 46.93) and intermediate forests (552.83 ± 65.05); however, differences were only significant between the early and mature stages (F2,27 = 8.01, p = 0.002; Figure 4A). Density increased significantly in the mature stage (F2,27 = 8.20, p = 0.002; Figure 4B). Foliage height diversity was lower in the early and intermediate stages and differed significantly from the mature stage (F2,27 = 14.46, p < 0.001; Figure 4C).
Figure 4.
Mean values of woody plant structure along a temperate forest successional gradient. (a) cover; (b) density; (c) foliage height diversity. Different letters indicate significant differences (Tukey, p < 0.05). ES = early stage, IS = intermediate stage, MS = mature stage.
3.4. Spatial Distribution of the Plant Species
The classification analysis showed three main groups (Figure 5) at a similarity level of 75%. The first group included five plots of the early stage, and the second group included eight plots of the mature stage. Finally, the third group included all plots of the intermediate stage in addition to the remaining plots of early and mature stages (Figure 5). The discriminant analysis indicated that the groups identified by the classification were significantly different (Function 1: λ = 0.000; χ2 = 276.75, df = 120, p < 0.001; Function 2: λ = 0.000; χ2 = 158.69, df = 92; p < 0.001). The NMDS coincided with the classification and separated the majority of the mature stage plots from the rest of the plots. In addition, some of the plots of the intermediate and early stages intermingled, while others were segregated (Figure 6). The Kruskal’s stress value of 0.12 indicated an acceptable fit given the corresponding distances. Overall, the plant community composition was significantly different among successional stages (ANOSIM global R = 0.741, p < 0.001).
Figure 5.
Classification of sample plots of the three successional stages of temperate pine-oak forest using the relative importance value (RIV). The dotted line represents the 75% level, used as the cut-off.
Figure 6.
Non-metric multidimensional scaling (NMDS) of the values of relative importance showing differences in species composition among plots in three successional stages of pine-oak forest. EP = plots of early stage, IP = plots of intermediate stage, MP = plots of mature stage.
4. Discussion
In our study sites, the natural sequence of successional stages that occurred subsequent to changes in land use showed a gradual increase in the total number of plant species from the early to the intermediate and mature stages. In the early stage, the lower number of species and abundance, in comparison to the latter stages, confirmed our first hypothesis. These results agree with other studies on the early stages of secondary succession in temperate forests of other parts of the world [4,6,7] where, in general, the quality of the environment under regimes of severe disturbance decreases dramatically. For example, soil fertility is negatively affected and, since variations in temperature are more extreme, these factors further affect the dynamics of the succession [1,12,20,36]. Some species of oaks (Quercus spp.) require specific soil conditions during their seed and seedling phase (i.e., accumulation of humus, nutrients) in addition to particular humidity and temperature conditions. Meanwhile, the Pinus genus requires environments with a high incidence of light. These factors gradually change along the disturbance gradient and thus influence species dominance [36,53,54]. Furthermore, the limited presence of biotic seed dispersers in early stages is due to the decrease of food and refuge sites [55] and, coupled with grazing cattle and anthropogenic disturbances, may potentially halt the process of plant succession [56]. Since the soil seed bank may be considerably reduced in disturbed fragments [57], seed dispersal can play an important role in the recruitment of plants, and hence contribute towards the composition and density of woody plants and the eventual restoration of these forests [17,58,59]. On the other hand, besides humidity and temperature, other abiotic differences such as inclination and rocky hillsides between mature forest and intermediate and early forest may be influencing the differences in richness and structure of the successional stages.
The early stage was characterized by a high species dominance and low evenness. This pattern is typical of disturbed plant communities where pioneer species have high values of relative importance in relation to other species [60,61]. In fact, Brickellia spp. and Acacia pennatula presented densities almost twice as high as those in the intermediate stage and five times higher than in the late-successional stage. However, the total density of trees remained lower in the early stage due to the low abundance of certain characteristic species, such as Quercus, as well as other species present in temperate forests (e.g., Juniperus flaccida Schltdl., Arbutus xalapensis) that are usually abundant at less disturbed sites [62]. We noted the same tendency in foliage cover and stratification, which were greater in the mature stage due to the presence of taller and larger trees (e.g., oak, pine, and cypress) and the absence of recent climatic or anthropogenic disturbances [8].
In response to the second hypothesis, we found a gradual shift in species assortment between successional stages (according to the initial floristic composition hypothesis) [37,60]. This is consistent with other studies conducted in the temperate forests of Mexico [35]. Complete floristic and structural replacements have been reported in the temperate ecosystems of Chiapas, Mexico, although in this case, the chronosequence comparison was between truly open areas with a predominance of grasses and herbs and the early stages of more developed forests [4,7].
Some characteristic species of early forest were absent in the mature stages of our study sites (Vallesia glabra (Cav.) Link., Leucaena leucocephala (Lam.) de Wit). Also, several dominant species decreased considerably in abundance at this stage, including Brickellia spp., Montanoa grandiflora, Senna multiglandulosa, Acacia farnesiana, and A. pennatula. On the other hand, some pine species such as Pinus montezumae and P. pringlei occurred in the early stage. Often these species grow in open and degraded environments [7,9,25], and are frequently used for the restoration of areas with heavily degraded soils [26]. Apparently, the presence of pines allows for the later installation of other plants, including some species of Quercus. We recorded five species of pine in the early stage, although their crown cover was low since the trees were young individuals.
Conversely, in the intermediate and mature stages, species representative of advanced successional stages, such as Quercus candicans, Q. castanea, Q. crassifolia, Q. magnoliifolia, Juniperus flaccida, and Pinus oocarpa Schiede ex Schltdl. were dominant. In addition to the gradual replacement of species from one site to another, the presence of these species in late successional forest suggests a process of facilitation, where pioneer species alter environmental conditions to make them more suitable for the arrival of late successional species [63], such as Quercus.
Additionally, some studies have reported that various mechanisms of seed dispersal can contribute differentially to local species diversity and favor ecological succession in temperate forests [13,64]. For example, in a montane oak forest in Costa Rica, Wilms and Kappelle [13] found that numerous birds forage on the fruits of mature forest trees also forage on those that occur in pastures. Thus, they may serve as key dispersal agents, transporting tree seeds from mature, closed forests into non-forested secondary scrublands or pastures. Nonetheless, in addition to seed dispersal by animals, some plant species are anemochorous [58]. Indeed, in the early stage anemochorous species are more common e.g., genus Brickellia, Acacia). On the other hand, while it is true that several species of pines of intermediate and mature forests have winged seeds adapted for wind dispersal, they owe much of their establishment to scatter-hoarding animals [16]. Despite the fact that pines are pioneer species, in our study we do not consider them to be true facilitators. If this were true, they would allow for the establishment of other species that would later become dominant. In this case, the density of pines would diminish in the advanced seral stages and eventually be lesser than that of the facilitated species. However, this does not occur with pines in the current study area, as they are still present in large numbers at the mature stages. Another explanation may be that in the early stages, the shade conditions provided by some legume plants (genus Acacia) during summer drought reduces water stress, whereby these species facilitate the establishment of seedlings [33,65,66] and can fix nitrogen in the soil. We also observed that species with very high densities, such as Brickellia spp., contribute to the shading effect for some recruited plants of mature forest e.g., Quercus, Juniperus, and some Pinus). Furthermore, the presence of grazing livestock is greater in the early stage, and consequently, the ability of young pine species to provide physical protection to regenerated vegetation in this stage is rendered more difficult. Therefore, in this case, it is likely that shrubs (Acacia and Brickellia species) serve as pioneers and facilitators in creating plant communities of higher density [67].
Moreover, even if Quercus and Pinus species represent two biologically and ecologically distinct taxonomic groups [68], they usually coexist spatially and temporarily. Interestingly, in the study area oaks were better represented in communities with advanced succession, which is consistent with another study [69]. Indeed, the composition of Quercus increased, and its structure (higher RIV) was more complex in the mature stage, confirming the third hypothesis. Another factor contributing to the marked dominance of mainly adult oak individuals in mature succession may rest on their lower light requirement [23,35]. Inversely, the same condition could explain the decrease in the composition and structure of pines in the mature stage, due to their high demand for light [7]. This idea may be confirmed, since the clearing and selective cutting of oaks, whether natural or due to human activities, leads to an increase in the presence of Pinus individuals. This phenomenon has been documented in other secondary forests around the world [4,7,70]. On the other hand, the two plots of the mature forest that were grouped with intermediate successional forest can be explained due to similar abiotic conditions; for example, the soils of the majority of the intermediate plots are not very deep [17] as well as those found in these two plots of mature succession [39]. Further, the altitude, slope inclination, and microclimatic variations may be influencing this grouping (sensu Tansley [71]). The groups formed with the sample plots indicate possible differences in the age of the forest stands; however, this also could be due to other abiotic differences e.g., soil water content, bulk density of soil, pH) that weren’t considered in the study.
In the highlands of the Sierra Madre del Sur, Guerrero, the continued fragmentation and modification of forest habitats will affect successional dynamics and increase the susceptibility of non-tolerant species to abrupt environmental changes. Since ecological succession may be considered to be a natural restoration process, strategies and conservation priorities should be aimed at maintaining different successional plant communities with heterogeneous physiognomy in addition to mature forests in order to sustain regeneration processes and a high level of plant diversity.
Acknowledgments
This research is the result of the collaboration of the academic group Biodiversity and Sustainable Environmental Management (Biodiversidad y Gestión Ambiental Sustentable de Guerrero; UAGro-CA-170). The authors thank the Chemistry and Biological Sciences Academic Unit of the Autonomous University of Guerrero for the facilities provided for this research. Pablo Sierra produced Figure 1. Special thanks are extended to Pablo Sierra, Nefris Jacinto, Antonio Estrada, Genesis Benitez, Lucely Muñoz, and Juan Carlos Gomez, who supported the fieldwork. The manuscript was greatly improved by the comments of two anonymous reviewers. Allison M. Jermain reviewed the English translation.
Author Contributions
R. Carlos Almazán-Núñez conceived and designed the study; Liliana Parra-Juárez and R. Carlos Almazán-Núñez performed the experiments; R. Carlos Almazán-Núñez, Pablo Corcuera, and Gregory Michäel Charre analyzed the data; R. Carlos Almazán-Núñez, Pablo Corcuera, Liliana Parra-Juárez, Javier Jiménez-Hernández, and Gregory Michäel Charre all contributed to the writing of the paper.
Conflicts of Interest
The authors declare no conflict of interest.
Appendix 1
Table A1.
Plant species composition identified in three successional stages in a pine-oak forest in the Sierra Madre del Sur, Mexico. ES = early stage, IS = intermediate stage, and MS = mature stage.
| Family | Species | Life Form | ES | IS | MS |
|---|---|---|---|---|---|
| Anacardiaceae | Rhus spp. L. 1753 | Tree | x | ||
| Actinocheita potentillifolia (Turcz.) Bullock 1937 | Shrub | x | |||
| Apocynaceae | Vallesia glabra (Cav.) Link 1821 | Shrub | x | ||
| Arecaceae | Brahea dulcis (Kunth) Mart. 1838 | Tree | x | x | |
| Asteraceae | Brickellia spp. | Shrub | x | x | |
| Baccharis heterophylla Kunth 1820 | Shrub | x | |||
| Betulaceae | Carpinus caroliniana Walter 1788 | Tree | x | ||
| Alnus acuminata Kunth 1817 | Tree | x | x | ||
| Burseraceae | Bursera cuneata (Schltdl.) Engl. 1880 | Tree | x | ||
| Cactaceae | Opuntia sp. Mill. 1754 | Shrub | x | ||
| Clethraceae | Clethra mexicana DC. 1839 | Tree | x | x | |
| Compositae | Vernonia alamanii DC.1836 | Shrub | x | ||
| Montanoa grandiflora DC. 1836 | Shrub | x | x | ||
| Piqueria trinervia Cav. 1794 | Shrub | x | |||
| Coreopsis mutica DC. 1836 | Shrub | x | x | x | |
| Cupressaceae | Cupressus lindleyi Klotzsch ex Endl. 1847 | Tree | x | x | |
| Cupressus lusitanica Mill. 1768 | Tree | x | |||
| Juniperus flaccida Schltdl. 1838 | Tree | x | |||
| Ericaceae | Arbutus xalapensis Kunth 1818 | Tree | x | x | x |
| Arctostaphylos discolor (Hook.) DC.1839 | Shrub | x | x | ||
| Fabaceae | Leucaena leucocephala (Lam.) de Wit 1961 | Tree | x | ||
| Eysenhardtia polystachia (Ortega) Sarg.1892 | Shrub | x | |||
| Senna multiglandulosa (Jacq.) H.S. Irwin & Barneby 1982 | Shrub | x | x | ||
| Mimosa tenuiflora Benth 1846 | Tree | x | |||
| Acacia farnesiana (L.) Willd. 1806 | Tree | x | x | x | |
| Acacia pennatula (Schltdl. & Cham.) Benth. 1842 | Tree | x | x | ||
| Dalea lutea (Cav.) Willd. 1802 | Shrub | x | |||
| Calliandra grandiflora (L'Hér.) Benth. 1840 | Shrub | x | x | ||
| Fagaceae | Quercus acutifolia Née 1801 | Tree | x | x | |
| Quercus candicans Née 1801 | Tree | x | |||
| Quercus castanea Née 1801 | Tree | x | |||
| Quercus crassifolia Benth. 1840 | Tree | x | |||
| Quercus liebmannii Oerst. ex Trel. 1924 | Tree | x | x | x | |
| Quercus magnoliifolia Née 1801 | Tree | x | |||
| Quercus spp. L. 1753 | Tree | x | |||
| Quercus elliptica Née 1801 | Tree | x | x | ||
| Quercus martinezii C.H. Mull.1954 | Tree | x | x | ||
| Quercus glaucescens Bonpl. 1809 | Tree | x | x | ||
| Flacourtiaceae | Xylosma flexuosum (Kunth) Hemsley 1879 | Shrub | x | ||
| Labiatae | Salvia sessei Benth. 1833 | Shrub | x | ||
| Litsea glaucescens Kunth 1817 | Shrub | x | x | ||
| Myricaceae | Myrica cerifera L. 1753 | Shrub | x | ||
| Pinaceae | Pinus lawsonii Roezl ex Gordon 1862 | Tree | x | x | x |
| Pinus pringlei Shaw 1905 | Tree | x | x | x | |
| Pinus oocarpa Schiede ex Schltdl. 1838 | Tree | x | x | ||
| Pinus pseudostrobus Lindl. 1839 | Tree | x | x | x | |
| Pinus montezumae Gordon & Glend. 1858 | Tree | x | x | ||
| Rosaceae | Crataegus pubescens (C. Presl) C. Presl 1826 | Tree | x | ||
| Prunus serotina Ehrh. 1783 | Tree | x | |||
| Pyrus communis L. 1753 | Tree | x | |||
| Cercocarpus fothergilloides Kunth 1823 | Tree | x | x | ||
| Rubiaceae | Randia echinocarpa DC. 1830 | Tree | x | ||
| Solanaceae | Datura candida Voigt 1845 | Shrub | x |
References
- Nave, L.E.; Vance, E.D.; Swanston, C.W.; Curtis, P.S. Harvest impacts on soil carbon storage in temperate forest. For. Ecol. Manag. 2010, 259, 857–866. [Google Scholar] [CrossRef]
- Price, N.W.; Gratzer, G.; Alemayehu-Duguma, L.; Kohler, T.; Maselli, D.; Romero, R. Mountain Forests in a Changing World—Realizing Values, Addressing Challenges; Food and Agriculture Organization of the United Nations-Swiss Agency for Development and Cooperation: Roma, Italy, 2011. [Google Scholar]
- Seppelt, R.; Dormann, C.F.; Eppink, F.V.; Lautenbach, S.; Schmidt, S. A quantitative review of ecosystem service studies: Approaches, shortcomings and the road ahead. J. Appl. Ecol. 2011, 48, 630–636. [Google Scholar] [CrossRef]
- González-Espinosa, M.; Ramírez-Marcial, N.; Galindo-Jaimes, L. Secondary succession in montane pine-oak forests of Chiapas, Mexico. In Ecology and Conservation of Neotropical Montane Oak Forests, Ecological Studies 185; Kapelle, M., Ed.; Springer-Verlag: Heidelberg/Berlin, Germany, 2006; pp. 209–221. [Google Scholar]
- Fregoso, A.; Velázquez, A.; Bocco, G.; Cortéz, G. El enfoque de paisaje en el manejo forestal de la comunidad indígena de Nuevo San Juan Parangaricutiro, Michoacán, México. Investig. Geogr. 2001, 46, 58–77. [Google Scholar]
- Petruccelli, C.A.; Sakulich, J.; Harley, G.L.; Grissino-Mayer, H.G. Structure and dynamics of an old-growth pine-oak community in the southern Appalachian mountains, Georgia, USA. Southeast. Geogr. 2014, 54, 161–182. [Google Scholar] [CrossRef]
- González-Espinosa, M.; Quintana-Ascensio, P.F.; Ramírez-Marcial, N.; Gaytan-Guzmán, P. Secondary succession in disturbed Pinus-Quercus forests in the Highlands of Chiapas, Mexico. J. Veg. Sci. 1991, 2, 351–360. [Google Scholar] [CrossRef]
- Rigling, A.; Bigler, C.; Eilmann, B.; Feldmeyer-Christe, E.; Gimmi, U.; Ginzler, C.; Graf, U.; Mayer, P.; Vacchiano, G.; Weber, P.; et al. Driving factors of a vegetation shift from Scots pine to pubescent oak in dry Alpine forest. Glob. Change. Biol. 2013, 19, 229–240. [Google Scholar] [CrossRef] [PubMed]
- Yu, F.; Wang, D.; Shi, X.; Yi, X.; Huang, Q.; Hu, Y. Effects of environmental factors on tree seedling regeneration in a pine-oak mixed forest in the Qinling Mountains, China. J. Mt. Sci. 2013, 10, 845–853. [Google Scholar] [CrossRef]
- Ochoa-Gaona, S.; González-Espinosa, M. Land-use and deforestation in the highlands of Chiapas, Mexico. Appl. Geogr. 2000, 20, 17–42. [Google Scholar] [CrossRef]
- Hao, Z.; Zhang, J.; Song, B.; Ye, J.; Li, B. Vertical structure and spatial associations of dominant tree species in an old-growth temperate forest. For. Ecol. Manag. 2007, 252, 1–11. [Google Scholar] [CrossRef]
- Álvarez-Yépiz, J.C.; Martínez-Yrizar, A.; Burquez, A.; Lindquist, C. Variation in vegetation structure and soil properties related to land use history of old-growth and secondary tropical dry forest in northwest Mexico. For. Ecol. Manag. 2008, 256, 355–366. [Google Scholar] [CrossRef]
- Wilms, J.J.A.; Kapelle, M. Frugivorous birds, hábitat preference and seed dispersal in a fragmented Costa Rican montane oak forest landscape. In Ecology and Conservation of Neotropical Montane Oak Forest, Ecological Studies 185; Kappelle, M., Ed.; Springer-Verlag: Heidelberg/Berlin, Germany, 2006; pp. 309–324. [Google Scholar]
- Rey-Benayas, J.M.; Newton, A.C.; Díaz, A.; Bullock, J.M. Enhancement of biodiversity and ecosystem services by ecological restoration: A meta-analysis. Science 2009, 325, 1121–1124. [Google Scholar] [CrossRef] [PubMed]
- Prach, K.; Walker, L.R. Four opportunities for studies of ecological succession. Trends. Ecol. Evol. 2011, 26, 119–123. [Google Scholar] [CrossRef] [PubMed]
- Vander Wall, S.B. On the relative contributions of wind vs. animals to seed dispersal of four Sierra Nevada pines. Ecology 2008, 89, 1837–1849. [Google Scholar] [CrossRef] [PubMed]
- Chen, L.; Wang, L.; Baiketuerhan, Y.; Zhang, C.; Zhao, X.; von Gadow, K. Seed dispersal and seedling recruitment of trees at different successional stages in a temperate forest in northeastern China. J. Plant Ecol. 2013, 7, 337–346. [Google Scholar] [CrossRef]
- Madeira, B.G.; Espírito-Santo, M.M.; Neto, S.D.; Nunes, Y.R.F.; Sánchez-Azofeita, G.A.; Wilson, G.; Quesada, M. Changes in tree and liana communities along a successional gradient in a tropical dry forest in south-eastern Brazil. Plant. Ecol. 2009, 201, 291–304. [Google Scholar] [CrossRef]
- Almazán-Núñez, R.C.; Arizmendi, M.C.; Eguiarte, L.E.; Corcuera, P. Changes in composition, diversity and structture of woody plants in successional stages of tropical dry forest in southwest Mexico. Rev. Mex. Biodivers. 2012, 83, 1096–1109. [Google Scholar]
- Galindo-Jaimes, L.; González-Espinosa, M.; Quintana-Ascencio, P.; García-Barrios, L. Tree composition and structure in disturbed stands with varying dominance by Pinus spp. in the highlands of Chiapas, Mexico. Plant. Ecol. 2002, 162, 59–272. [Google Scholar] [CrossRef]
- Zavala, M.A.; Galindo-Jaimes, L.; González-Espinosa, M. Models of regional and local stand composition and dynamics of pine-oak forests in the central highlands of Chiapas (Mexico): Theoretical and management implications. In Biodiversity Loss and Conservation in Fragmented Forest Landscapes: The Forests of Montane Mexico and Temperate South America; Newton, A.C., Ed.; CAB International: Wallingford, UK, 2007; pp. 223–243. [Google Scholar]
- Bonfil, C.; Soberón, J. Quercus rugosa seedling dynamics in relation to its re-introduction in a disturbed Mexican landscape. Appl. Veg. Sci. 1999, 2, 189–200. [Google Scholar] [CrossRef]
- Kato, J.; Hayashi, I. The determination and prediction of pine to oak forest succession in Sugadaira, Central Japan. Korean. J. Ecol. 2003, 26, 155–163. [Google Scholar]
- García-Barrios, L.E.; González-Espinosa, M. Change in oak to pine dominance in secondary forests may reduce shifting agriculture yields: Experimental evidence from Chiapas, Mexico. Agr. Ecosyst. Environ. 2004, 102, 389–401. [Google Scholar] [CrossRef]
- Puhlick, J.J.; Laughlin, D.C.; Moore, M. Factors influencing ponderosa pine regeneration in the southwestern USA. For. Ecol. Manag. 2012, 264, 10–19. [Google Scholar] [CrossRef]
- Rodríguez-Trejo, D.A.; Fulé, P.Z. Fire ecology of Mexican pines and a fire management proposal. Int. J. Wildland Fire 2003, 12, 23–37. [Google Scholar] [CrossRef]
- Kobe, R.K. Light gradient partitioning among tropical tree species through differential seedling mortality and growth. Ecology 1999, 80, 187–201. [Google Scholar] [CrossRef]
- Lohbeck, M.; Poorter, L.; Lebrija-Trejos, E.; Martínez-Ramos, M.; Meave, J.A.; Paz, H.; Pérez-García, E.A.; Rómero-Pérez, I.E.; Tauro, A.; Bongers, F. Successional changes in functional composition contrast for dry and wet tropical forest. Ecology 2013, 94, 1211–1216. [Google Scholar] [CrossRef] [PubMed]
- Fulé, P.Z.; Convington, W.W. Changing fire regimes in Mexican pine forest. Ecological and management implications. J. Forest. 1996, 4, 33–38. [Google Scholar]
- Rodríguez-Trejo, D.A.; Catalina, H.; Ortega, V. Ecología del fuego en bosques de Pinus hartwegii. In Incendios Forestales en México. Métodos de Evaluación; Villers-Ruiz, L., López-Blanco, J., Eds.; Centro de Ciencias de la Atmósfera, UNAM: México City, Mexico, 2004; pp. 103–120. [Google Scholar]
- González-Tagle, M.A.; Schwendenmann, L.; Jiménez-Pérez, J.; Schulz, R. Forest structure and woody plant species composition along a fire chronosequence in mixed pine oak forest in the Sierra Madre Oriental, northeast Mexico. For. Ecol. Manag. 2008, 256, 161–167. [Google Scholar] [CrossRef]
- Lafon, C.W.; Waldron, J.D.; Cairns, D.M.; Tchakerian, D.M.; Coulson, R.N.; Klepzig, K.D. Modeling the effects of fire on the long-term dynamics and restoration of yellow pine and oak forest in the southern Appalachian mountains. Restor. Ecol. 2007, 15, 400–411. [Google Scholar] [CrossRef]
- Marañón-Jiménez, S.; Castro, J.; Querejeta, J.I.; Fernández-Ondoño, E.; Allen, C. Post-fire wood management alters stress, growth, and performance of pine regeneration in a Mediterranean ecosystem. For. Ecol. Manag. 2013, 308, 231–239. [Google Scholar] [CrossRef]
- Cervantes, G.V.; Arriaga, V.; Carabias, J. La problemática socioambiental e institucional de la reforestación en la región de La Montaña, Guerrero, México. Bol. Soc. Bot. Mex. 1996, 59, 67–80. [Google Scholar]
- Figueroa-Rangel, B.L.; Olvera-Vargas, M. Dinámica de la composición de especies en bosques de Quercus crassipes H. & B. en Cerro Grande, sierra de Manantlán, México. Agrociencia 2000, 34, 91–98. [Google Scholar]
- Fernández, I.; Carrasco, B.; Cabaneiro, A. Evolution of soil organic matter composition and edaphic carbon effluxes following oak forest clearing for pasture: Climate change implications. Eur. J. For. Res. 2011, 131, 1681–1693. [Google Scholar] [CrossRef]
- Egler, F.E. Vegetation science concepts I. Initial floristic composition—A factor in old-field vegetation development. Vegetation 1954, 4, 412–417. [Google Scholar] [CrossRef]
- Norden, N.; Chazdon, R.L.; Chao, A.; Jiang, Y.H.; Vilchez-Alvarado, B. Resilience of tropical rain forests: Tree community reassembly in secondary forests. Ecol. Lett. 2009, 12, 385–394. [Google Scholar] [CrossRef] [PubMed]
- Luna, I.; Llorente, J. Historia Natural Del Parque Ecológico Estatal Omiltemi, Chilpancingo, Guerrero, México; CONABIO-UNAM: México City, Mexico, 1993. [Google Scholar]
- García, E. Modificaciones al Sistema de Clasificación Climática de Köppen; Universidad Autónoma de Chapingo: México City, Mexico, 2004. [Google Scholar]
- Muller-Dombois, D.; Ellenberg, H. Aims and Methods of Vegetation Ecology; John Wiley and Sons: New York, NY, USA, 1974. [Google Scholar]
- Montaña, C.; Ezcurra, E. Simple instrument for quick measurement of crown projections. J. Forest. 1980, 78, 699. [Google Scholar]
- Stevens, P.F. Angiosperm Phylogeny Website. Version 9. 2001. Available online: http://www.mobot.org/MOBOT/research/APweb/ (accessed on 7 October 2014).
- W3Trópicos. Missouri Botanical Garden’s VAST Nomenclatural Database and Associated Authority Files. 2014. Available online: http://www.tropicos.org (accessed on 10 November 2014).
- Hortal, J.; Borges, P.A.; Gaspar, C. Evaluating the performance of species richness estimators: Sensitivity to sample grain size. J. Anim. Ecol. 2006, 75, 274–287. [Google Scholar] [CrossRef] [PubMed]
- González-Oreja, J.A.; de la Fuente-Díaz, A.A.; Hernández-Santín, L.; Buzo-Franco, D.; Bonache-Regidor, C. Evaluación de estimadores no paramétricos de la riqueza de especies. Un ejemplo con aves en áreas verdes de la ciudad de Puebla, México. Anim. Biodivers. Conserv. 2010, 33, 31–45. [Google Scholar]
- Colwell, R.K. EstimateS: Statistical Estimation of Species Richness and Shared Species from Samples; Version 8; Robert K. Colwell: Storrs, CT, USA, 2006; Available online: http://viceroy.eeb.uconn.edu/estimates (accessed on 20 June 2014).
- Brower, J.E.; Zar, J.H.; von Ende, C.N. Field and Laboratory Methods for General Ecology, 4th ed.; WCB-McGraw-Hill: New York, NY, USA, 1998. [Google Scholar]
- Kovach, W.L. MVSP: A Multivariate Statistical Package for Windows. Version 3.13r; Kovach Computing Services: Pentraeth, Wales, UK, 2009. [Google Scholar]
- Cheng, C. Statistical approaches on discriminating spatial variation of species diversity. Bot. Bull. Acad. Sin. 2004, 45, 339–346. [Google Scholar]
- Kruskal, J.B. Multidimensional scaling by optimizing goodness of fit to a nonmetric hypothesis. Psychometrika 1964, 29, 1–27. [Google Scholar] [CrossRef]
- Clarke, K.R. Non-parametric multivariate analysis of changes in community structure. Aus. J. Ecol. 1993, 18, 117–143. [Google Scholar] [CrossRef]
- Ramírez-Marcial, N.; González-Espinosa, M.; García-Moya, E. Establecimiento de Pinus spp. y Quercus spp. en matorrales y pastizales de Los Altos de Chiapas. Agrociencia 1996, 30, 249–257. [Google Scholar]
- Ochoa-Gaona, S.; González-Espinosa, M.; Meave, J.A.; Sorani, V. Effect of forest fragmentation on the woody flora of the highlands of Chiapas, Mexico. Biodivers. Conserv. 2004, 13, 867–884. [Google Scholar] [CrossRef]
- Castro, J.; Gómez, J.M.; García, D.; Zamora, R.; Hódar, J.A. Seed predation and dispersal in relict scots pine forests in southern Spain. Plant. Ecol. 1999, 145, 115–123. [Google Scholar] [CrossRef]
- Kreutz, A.; Aakala, T.; Grenfell, R.; Kuuluvainen, T. Spatial tree community structure in three stands across a forest succession gradient in northern boreal Fennoscandia. Silva. Fenn. 2015, 49, 1–17. [Google Scholar] [CrossRef]
- Martins, A.M.; Engel, V.L. Soil seed banks in tropical forests fragments with different disturbance histories in southeastern Brazil. Ecol. Eng. 2007, 31, 265–291. [Google Scholar] [CrossRef]
- Peña-Claros, M.; De Boo, H. The effect of forest successional stage on seed removal of tropical rain forest tree species. J. Trop. Ecol. 2002, 18, 261–274. [Google Scholar] [CrossRef]
- Olano, J.M.; Caballero, I.; Laskurain, N.A.; Loidi, J.; Escudero, A. Seed bank spatial pattern in a temperate secondary forest. J. Veg. Sci. 2002, 13, 775–784. [Google Scholar] [CrossRef]
- Onaindia, M.; Dominguez, I.; Albizu, I.; Garbisu, C.; Amezaga, I. Vegetation diversity and vertical structure ad indicators of forest disturbance. For. Ecol. Manag. 2004, 195, 341–354. [Google Scholar] [CrossRef]
- Bongers, F.; Poorter, L.; Hawthorne, W.D.; Sheil, D. The intermediate disturbance hypothesis applies to tropical forests, but disturbance contributes little to tree diversity. Ecol. Lett. 2009, 12, 1–8. [Google Scholar] [CrossRef] [PubMed]
- Ayerde-Lozada, D.A.; López-Mata, L. Estructura poblacional y parámetros demográficos de Juniperus flaccida Schltdl. Madera y Bosques 2006, 12, 65–76. [Google Scholar]
- Connell, J.H.; Slatyer, R.O. Mechanisms of succession in natural communities and their role in community stability and organization. Am. Nat. 1977, 111, 1119–1144. [Google Scholar] [CrossRef]
- Martínez-Orea, Y.; Orozco-Segovia, A.; Castillo-Argüero, A.; Collazo-Ortega, M.; Zavala-Hurtado, J.A. Seed rain as a source of propagules for natural regeneration in a temperate forest in Mexico City. J. Torrey Bot. Soc. 2014, 141, 135–150. [Google Scholar] [CrossRef]
- Marañón, T.; Zamora, R.; Villar, R.; Zavala, M.A.; Quero, J.L.; Pérez-Ramos, I.; Mendoza, I.; Castro, J. Regeneration of tree species and restoration under contrasted Mediterranean habitats: Fields and glasshouse experiments. Int. J. Ecol. Environ. Sci. 2004, 30, 187–196. [Google Scholar]
- Eilmann, B.; Zweifel, R.; Buchmann, N.; Graf, E.; Rigling, A. Drought alters timing, quantity, and quality of wood formation in Scots pine. J. Exp. Bot. 2011, 62, 2763–2771. [Google Scholar] [CrossRef] [PubMed]
- Sosa-Pérez, G.; Rodríguez-Trejo, D.A. Efecto de la calidad de planta en la supervivencia y crecimiento de Pinus patula en un área quemada. Rev. Chapingo Ser. Cienc. Forest Ambient. 2003, 9, 35–43. [Google Scholar]
- Rzedowski, J. Vegetación de México; Limusa: México City, Mexico, 1978. [Google Scholar]
- Quintana-Ascencio, P.F.; Ramírez-Marcial, N.; González-Espinosa, M.; Martínez-Icó, M. Sapling survival and growth of conifer and broad-leaved trees in successional highland habitats in Mexico. Appl. Veg. Sci. 2004, 7, 81–88. [Google Scholar] [CrossRef]
- Veblen, T.T. Forest preservation in Highland Guatemala. Geogr. Rev. 1978, 68, 417–434. [Google Scholar] [CrossRef]
- Tansley, A.G. The use and abuse of vegetational concepts and terms. Ecology 1935, 16, 284–307. [Google Scholar] [CrossRef]
© 2016 by the authors; licensee MDPI, Basel, Switzerland. This article is an open access article distributed under the terms and conditions of the Creative Commons Attribution (CC-BY) license (http://creativecommons.org/licenses/by/4.0/).





