Next Article in Journal
Seasonal Dynamics, Environmental Drivers, and Hysteresis of Sap Flow in Forests of China’s Subtropical Transitional Zone
Previous Article in Journal
Spatial Patterns of Stem Tissue Carbon Content in Fagaceae Species from Typical Forests in China
 
 
Font Type:
Arial Georgia Verdana
Font Size:
Aa Aa Aa
Line Spacing:
Column Width:
Background:
Article

Evaluating Crown Defoliation Thresholds for the Identification of Trees Targeted for Sanitary Felling

1
Faculty of Forestry and Wood Technology, University of Zagreb, 10000 Zagreb, Croatia
2
Croatian Forest Research Institute, 10450 Jastrebarsko, Croatia
3
Faculty of Spatial and Environmental Sciences, Geobotany, University of Trier, 54296 Trier, Germany
*
Authors to whom correspondence should be addressed.
Forests 2025, 16(9), 1479; https://doi.org/10.3390/f16091479
Submission received: 23 July 2025 / Revised: 5 September 2025 / Accepted: 16 September 2025 / Published: 18 September 2025
(This article belongs to the Section Forest Ecology and Management)

Abstract

Crown defoliation in trees is one of the indicators of forest tree vitality, and a primary criterion for selecting trees for sanitary felling. In Croatia, the selection of trees for sanitary felling includes all dead trees and those with crown defoliation greater than 60% (defoliation class 3a); in the past, the threshold for marking trees for sanitary felling was above 80% (class 3b). The aim of this study was to analyze tree mortality in pedunculate oak (Quercus robur), silver fir (Abies alba), and European beech (Fagus sylvatica), as well as crown regeneration, i.e., the reduction in defoliation. The analysis included a total of 7975 trees, comprising 1182 silver fir, 4221 European beech, and 2572 pedunculate oak trees, covering the period from 1998 to 2023. The mortality rate was 7.2% for silver fir, 2.16% for beech, and 9.6% for oak. The percentage of trees that regenerated their crowns or reduced defoliation to below 60% was 17.01% for fir, 4.33% for beech, and 12.51% for oak. Considering the proportion of silver fir and pedunculate oak trees whose defoliation decreased to below 60%, a defoliation threshold greater than 80% would be a more appropriate criterion for sanitary felling, except for European beech trees, for which there is a minimal difference between the recovery rates in classes 3a and 3b.

1. Introduction

Crown defoliation is defined as the loss of leaves or needles compared to a reference optimum and is used as an indicator of tree health and vitality [1,2]. A decline in tree vitality, evidenced by fine root dieback, reduced growth, and eventual mortality, is often linked to increased defoliation [3]. Numerous research and monitoring programs exist worldwide, including the International Co-operative Program on Assessment and Monitoring of Air Pollution Effects on Forests in Europe (ICP Forests). In Croatia, crown condition monitoring of forest tree species has been conducted since 1987 as part of this international program, making it the longest-running forest ecosystem monitoring effort in the country. Observations are carried out in accordance with the UNECE ICP Forests Manual (2016) and the national Regulation on the Monitoring of Forest Ecosystem Damage (Official Gazette 54/2019). Crown defoliation assessments are performed during July and August, with estimates made to the nearest 5% on predominant, dominant, and co-dominant trees according to Kraft’s classification system. Trees are then assigned to the appropriate defoliation class [1]. Based on the degree of defoliation, trees are categorized into five classes: no defoliation (0–10%), slight defoliation/warning level (10–25%), moderate defoliation (25–60%), severe defoliation (60–100%), and dead trees (100%). Continuous defoliation monitoring provides a valuable early-warning system for detecting forest ecosystem responses to environmental changes. Crown defoliation is a non-specific indicator of stressors that may have affected the tree, or of the stress agents themselves, such as defoliators or frost [3]. It is considered a general indicator of tree vitality, integrating the combined effects of abiotic and biotic stressors. Reduced growth and increment, along with increased crown defoliation, are key indicators of declining tree vitality and impending tree mortality). Declines in tree health are often correlated with increased defoliation [4].
Crown defoliation is influenced by a range of factors, including climatic conditions, extreme weather events, insect and fungal attacks, and pollution [5]. Higher levels of defoliation are associated with increased tree mortality [3], which results from the complex interplay of abiotic and biotic stress factors [6]. Trees die when they are no longer able to mobilize sufficient resources to heal damage or combat disease [7].
Sanitary felling is a type of harvesting aimed at removing trees and other biological material from a site following natural disturbances. Windstorms, insect outbreaks, diseases, drought, air pollution, and wildfires are among the most significant disturbance agents [8]. Sanitary felling is commonly conducted after floods [9], forest fires [10,11,12], insect infestations [13,14,15], and windthrow events [16,17,18] and is widely applied in temperate forests [19].
Such interventions can reduce or eliminate biological legacies, alter rare post-disturbance habitats, affect population dynamics, change community composition, disrupt the recovery of native vegetation, facilitate the spread of invasive species, alter soil properties and nutrient cycles, increase erosion, shift hydrological regimes and aquatic ecosystems, and reduce landscape heterogeneity [20].
By removing trees with visible disease symptoms or those already infected, sanitary logging helps preserve forest hygiene and prevents the spread of pathogens and diseases to healthy trees within the stand. Sanitary timber harvesting is also often economically motivated, serving to recover some financial value from trees damaged or killed by natural or anthropogenic disturbances. Increasing crown defoliation leads to a decline in the quality of timber assortments and wood products [21,22], representing a significant economic loss for forest management.
In forestry practice, crown defoliation is one of the key criteria for marking trees for both regular and sanitary felling. According to forestry regulations in the Republic of Croatia [23], the selection of damaged trees includes all dead trees and/or those that exhibit one or more of the following: crown defoliation exceeding 60%, dieback affecting the tree apex (in conifers), or visible symptoms of disease or pest infestation on or beneath the bark. Trees are not selected for felling if defoliation is caused by defoliating insects, partial insect outbreaks, late frost, storm winds, or similar factors [23].
Defoliating insects typically induce short-term stress in trees, with leaves or needles regenerating through secondary growth. Results from Hilmers et al. [24] confirm that spongy moth defoliation significantly impacts the secondary growth of oak trees in the year of the outbreak.
Following harvesting operations, dry, dying, or visibly damaged standing trees must not remain in the stand—unless explicitly designated for retention under forest management plans for purposes such as biodiversity conservation, ecosystem protection, or forest certification requirements as outlined by specific regulations [23]. Earlier regulations, such as the 2006 directive, applied a more lenient threshold for crown defoliation, with trees only being selected if defoliation exceeded 80% [25].
Tree mortality is rarely caused by a single factor. It is usually the outcome of the combined negative effects of multiple agents [26]. The death and decline of tree species are typically driven by complex interactions among abiotic, biotic, and anthropogenic influences [27,28]. The process of tree decline often spans decades [29,30] and is initiated and sustained by various stressors [27,31,32,33].
As such, tree defoliation can be used as an integrative indicator of multiple interacting stress factors [34]. The degree of crown abnormality may indicate the likelihood of a tree surviving a stress event [7]. The intensity of stress effects on tree condition depends on several other factors, including tree species, stand structure, forest management history, site conditions, and climatic variability [35,36]. When stress intensity decreases, trees can reduce their level of defoliation. It is well documented that trees have the capacity to restore crown vitality and reduce crown defoliation [37]. Deciduous species, for example, may shed leaves as an adaptive strategy to avoid summer drought stress and subsequently regenerate their photosynthetic apparatus later in the season [38].
A species’ tolerance to ecological stress depends on its ecological traits and habitat requirements. Depending on the severity of ecological stress, tree species can be classified as having broad ecological amplitude—such as European beech (Fagus sylvatica) [39]—or narrow ecological amplitude, such as silver fir (Abies alba) [40]. Each of the analyzed forest tree species possesses specific ecological features or adaptive advantages that enable them to cope with environmental stress, which can help reduce crown defoliation and improve vitality.
For example, silver fir forms biogroups, wherein multiple trees are interconnected through root grafting. This allows a tree suffering from water or nutrient deficits to receive resources from a neighboring, better-supplied individual [40,41]. Additionally, silver fir exhibits frequent seed production; even trees with severe crown defoliation can produce seeds of high germinative capacity [42], and it also demonstrates good shade tolerance [40].
European beech is a species with broad ecological amplitude, particularly in relation to climate and soil, the two most critical habitat factors [39]. The conditions for European beech are generally stable or even improving based on typical indicators of tree health. However, this stability has been challenged in recent years by droughts, which have contributed to increased defoliation [43].
Pedunculate oak (Quercus robur) also has a broad ecological amplitude, especially regarding soil type and air temperature. It is considered a hygrophyte, but can also withstand moderate drought conditions [44,45], enduring up to four dry months [46].
These ecological traits collectively enable these species to better resist stress, restore crown vitality, and reduce defoliation. However, if adverse ecological pressures persist, tree stress will intensify, resulting in decreased vitality and worsening crown condition, which may ultimately lead to tree mortality. In recent years, the impacts of climate change have become increasingly evident, contributing to additional damage to the health and vitality of forest stands through various natural disturbances such as windthrow, ice storms, and other extreme events [47]. Consequently, the volume of sanitary felling is expected to rise [48]. Sustainable management of vulnerable forest stands now requires increasing financial investment and the development of diverse adaptation strategies to inform future planning and silvicultural interventions in damaged stands [49,50].
The objectives of this study are threefold: (i) to quantify tree mortality resulting from 100% crown defoliation by species, (ii) to calculate the proportion of trees that regenerated or recovered their crowns—i.e., reduced crown defoliation—and determine the duration of this recovery process, and finally (iii) to compare the structure of timber assortments produced from sanitary fellings based on different crown defoliation thresholds used as criteria for tree selection.

2. Materials and Methods

Defoliation of pedunculate oak (Quercus robur), silver fir (Abies alba), and European beech (Fagus sylvatica) was assessed annually between mid-July and mid-August from 1998 to 2023, in 5% classes from 0 to 100%, according to the ICP Forests Manual, where defoliation is defined as the loss of needles or leaves in the crown compared to a reference tree. In the field, a team of two observers assesses crown defoliation by comparing the subject crown with a theoretical reference tree in the manual [1]. Defoliation was assessed on ICP Forests Level I monitoring plots in Croatia which were established on intersections of a 16 × 16 km grid that contain forest cover. These plots do not have a fixed area; rather, 24 trees are chosen for defoliation assessments using a cross-cluster system with six trees in each cluster (Figure 1). In total 7975 trees were analyzed: 1182 silver firs, 4221 European beeches, and 2572 pedunculate oaks.
The analysis focused on the duration of crown defoliation at levels >60% (classified as stage 3a) and >80% (stage 3b), as well as the duration of crown regeneration, i.e., reduction in defoliation. Only living trees were included in the analysis.
The Kaplan–Meier estimator was used to analyze the duration of regeneration for both stages 3a and 3b. The defined event was a tree in defoliation stage 3a or 3b enters regeneration. “Time” was defined as the cumulative duration of regeneration, where continuity refers to the summation of regeneration years, even if the tree temporarily returned to a more severe defoliation stage.
Comparisons of defoliation duration and regeneration among different tree species were performed using the Log-Rank test, followed by Tukey–Kramer post hoc testing if statistically significant differences were detected [51]. To compare the percentages of living trees in regeneration in classes 3a and 3b for each species, we used the test of proportions. All statistical analyses were conducted using SAS 9.4 [52] at a significance level of 0.05.
Data on the structure of harvested timber assortments were obtained from the database of Croatian Forests Ltd. (Hrvatske šume d.o.o.), Zagreb, Croatia, for the period 2017–2023. Timber assortments mean the different categories or classes of wood products obtained from harvested trees, usually sorted according to their dimensions, quality, and intended use. According to the 2023 business report [53], the company produced 5.2 million m3 of timber assortments in 2023. This included 2.31 million m3 of sawlogs, and 2.89 million m3 of wood for processing and firewood. To estimate the value of recoverable volume, we used the percentage of trees for individual species that were in regeneration, the average realized market price (Eur/m3) and the total net to annual cut volume (m3) for each assortment in the observed period.
Based on the percentage of trees that regenerate and the total volume for each species, we estimated the volume that could be regenerated (m3). Because the recovery of tree crowns does not equate to a complete recovery of timber value and according to some papers [54,55,56], we reduced the average market price of timber by 10% for defoliation class 3a and 30% for defoliation class 3b. By multiplying these two estimates, we obtained an estimate of the possible amount in euros that could have been saved.
The most harvested species were: European beech: 2.02 million m3; pedunculate and sessile oak: 1.22 million m3; silver fir and Norway spruce: 573,000 m3; narrow-leaved ash: 394,000 m3; common hornbeam: 348,000 m3; other broadleaved species: 536,000 m3; other coniferous species: 116,000 m3.

3. Results

Table 1 presents the results of the crown defoliation analysis for silver fir, European beech, and pedunculate oak. Since 1998, the highest mortality was observed in pedunculate oak (9.6%), while the lowest occurred in European beech (2.16%).
A statistically significant difference exists between the number of live and dead trees across species (Chi2 = 185.7, df = 2, p < 0.001).
Figure 2 shows the probability of transitioning from defoliation class 3a (crown defoliation > 60%) to lower defoliation classes (<60%). Over time, the probability of crown regeneration decreased for all three species.
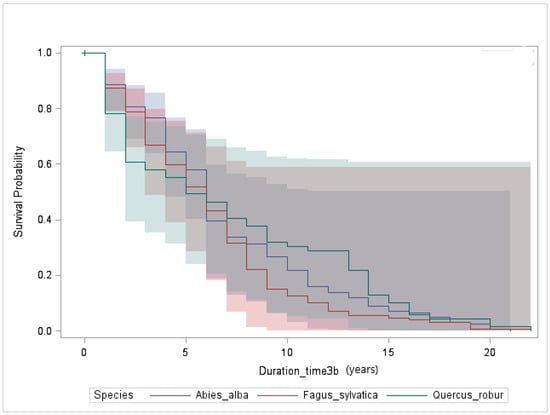
Figure 3 illustrates the probability of transitioning from defoliation class 3B (>80% defoliation) to lower defoliation levels. As the observation period increased, the regeneration probability declined across all tree species.
Table 2 summarizes the Kaplan–Meier (KM) survival estimates comparing regeneration durations for defoliation classes 3a and 3b. For class 3a crown regeneration, a statistically significant difference was found between silver fir and oak (p = 0.002), and a marginally significant difference between beech and oak (p = 0.076).
No statistically significant differences were observed among species for regeneration duration from class 3b (p = 0.186).
On average, the regeneration duration for class 3a (7.81 ± 0.21 years) was longer than for class 3b (6.68 ± 0.27 years). The median regeneration duration for class 3a was 7 years for fir and beech, and 5 years for oak. For class 3b, the median regeneration time was 6 years for fir and beech, and 5 years for oak.
To estimate the loss of timber value due to premature felling of trees that had potential for later regeneration, we used crown regeneration rates (percentage of live trees in classes 3a and 3b) from the database. Mortality data were derived from the number of damaged trees per species, whereas data from Croatian Forests Ltd. are expressed in cubic meters of deadwood (felled trees). Therefore, we used the proportion of recovered trees as a relative measure and estimated how much volume could have regenerated if not harvested. The recovered timber volume was multiplied by the average price per year to estimate the total economic value of potentially regenerated assortments in euros.
According to the applicable felling guidelines, in 2017 and 2018 the criterion for sanitary marking was >80% defoliation (class 3b) as defined by the Forest Management Regulation [25]. From 2019 onward, this threshold was lowered to >60% (class 3a).
An analysis of the assortment structure of silver fir logs shows that the highest volume was designated in 2018 under the >80% criterion. Volumes declined when the >60% criterion was applied. As shown in Table 3, silver fir had the highest percentage of trees and volume with regeneration potential, followed by oak, and the lowest by beech.
Despite the lowest average timber prices for fir, this species demonstrated the highest rates of recovery in defoliation categories 3a (17%) and 3b (11.3%), resulting in the highest total estimated value of regenerated assortments.
The estimated recoverable volume for silver fir was 1.97 million m3, with a total value of approximately €64.9 million under both criteria. In contrast, due to oak’s highest average timber prices, the total value loss for premature harvesting of class 3a and 3b trees is estimated at €48.3 million, with a total timber volume of approximately 411,000 m3.
These findings have significant implications for sustainable forest management and long-term planning, particularly for species like silver fir, which exhibit high regenerative potential despite lower market prices.

4. Discussion

The primary purpose of sanitary logging is to salvage timber from declining and dead trees as quickly as possible, before it loses its economic value due to insect and fungal activity [57,58]. An additional, hygienic function of sanitary logging is to prevent the spread of diseases among trees [59,60]. Dead trees must be removed from forest stands, as large volumes of fallen deadwood on the forest floor are considered a fire hazard [61,62].
The volume of sanitary logging can often exceed planned logging volumes by several times [63], primarily to enable the rehabilitation of areas affected by tree mortality. The ratio of annual sanitary logging to total annual harvesting can serve as an indicator of the deterioration of forest ecological stability [64].
A fundamental assumption of sustainable forest management is that timber harvesting does not exceed the rate of forest regeneration. According to this model, resource consumption must not surpass the ecosystem’s capacity to replenish what is extracted [64].
The selection of damaged trees for removal is a key factor in ensuring wood quality in forest ecosystems with compromised ecological stability [21,22]. Therefore, intensified management of forest ecosystems will be necessary to reduce both economic and ecological damage.
The findings of Tikvić et al. [21] and Ursić et al. [22] demonstrate that increased crown defoliation significantly reduces the proportion of high-quality, economically valuable wood products, while simultaneously increasing the proportion of lower-quality wood. Moreover, increased defoliation leads to a higher proportion of unusable or poorly utilized timber volume.
Nearly every form of prolonged environmental stress reduces crown size, photosynthetic activity, and stored reserves in the entire tree [7]. However, crown defoliation can be reversed if the adverse ecological stressor is mitigated [65]. Reducing ecological stress consequently lowers physiological stress in trees.
Each tree species exhibits species-specific strategies for coping with stress [66]. For instance, deciduous trees may shed their leaves as a drought avoidance strategy, later regenerating their photosynthetic apparatus [38]. However, leaf loss during drought may also result from active acclimation, early senescence, or xylem failure due to embolism [47]. As a result, defoliation levels are dynamic and can change over time [67].
If the intensity of adverse ecological factors is reduced, crown defoliation may improve, eliminating the need for sanitary logging. The crowns of silver fir (Abies alba) can restructure and regenerate, restoring both the photosynthetic apparatus and tree growth [68,69]. A tree with a recovered crown can once again fulfill all its ecological functions within the forest ecosystem.
Sanitary felling becomes unavoidable and necessary to rehabilitate the forest ecosystem—especially if the dieback affects large groups of trees or an entire stand—unless management plans prescribe alternative measures, such as increasing the quantity of deadwood for biodiversity conservation.
Crown defoliation can also serve as an indicator of reduced wood quality and value, due to the increased presence of wood defects [70,71]. A major advantage of selecting trees for sanitary felling based on ≥60% crown defoliation is the higher recovery rate of usable timber, resulting in less waste and greater economic value.
Crown development, including its size and branch architecture, significantly influences wood quality at the individual tree level [72]. Findings by Ursić et al. [22] demonstrate that trees with defoliation class 3a (61–80% crown defoliation) had significantly higher average economic value (EUR/m3) compared to those in class 3B (81–99% defoliation) and dead trees (100% defoliation).
The primary drawback of using the >60% crown defoliation criterion for sanitary felling lies in the potential reduction in stand volume, biodiversity, and population size of specific tree species.
Conversely, applying a stricter criterion—such as selecting trees with >80% crown defoliation—can offer ecological benefits, including enhanced biodiversity, greater stand volume, and habitat provision by dying trees for various organisms [73,74,75]. Additionally, damaged and dying trees still fulfill vital non-timber ecosystem functions, such as carbon sequestration, oxygen production, air purification, and soil protection against erosion.
The disadvantages of the >80% defoliation criterion include reduced timber usability, increased wood waste, and lower economic value. By contrast, the >60% defoliation threshold results in a higher proportion of sawlogs—the most valuable timber assortments—but at the cost of certain ecological benefits. Research results presented in Table 3 for pedunculate oak) and European beech align with those of Ursić et al. [22] for narrow-leaved ash. In short, the benefits of using the >80% defoliation criterion are primarily ecological, while its drawbacks are economic. It is essential to emphasize that the value of forests’ non-timber functions (i.e., ecosystem services) far exceeds their economic or market value [76,77].
In stands where a significant number of trees exhibit crown defoliation above 60%, their removal through felling may increase evaporation rates [78], alter habitat conditions [79], or encourage weed proliferation [80].
According to Bussotti et al. [47], extreme defoliation tends to occur in years with severe summer droughts, while tree mortality typically increases in the years that follow [43]. These findings suggest that it may be advisable to conduct sanitary felling of heavily defoliated trees (defoliation class 3a) during drought years, especially since drought poses severe stress to mesophytic species like fir and beech, as well as hygrophilous species such as pedunculate oak. Deciduous species like beech shed leaves in dry years to limit water loss through transpiration but can regenerate their crowns in subsequent years. Therefore, sanitary marking of trees with severe crown defoliation should be avoided in drought years, as crown condition may recover.
Bussotti et al. [47] also note that a single extreme drought event may not be sufficient to cause high mortality; however, the increasing frequency of heatwaves and droughts can elevate stress levels in trees, and future increases in mortality are likely. This presents a growing challenge for selecting trees for sanitary felling. In Croatian regions where fir, beech, and oak are present, two consecutive drought years of varying intensity may occur, representing significant stress for these species.
Application of different sanitary felling criteria did not result in significant deviations in the number of designated dieback trees. During the period up to 2019, when the >80% defoliation criterion was applied, more fir trees were felled—primarily due to natural disasters affecting these stands. During this period, higher volumes of sawmill assortments were produced, predominantly class III—lower-value timber. It is evident that lower crown defoliation is associated with higher economic timber value.
Given the percentage of trees that reduced their crown defoliation below 60%, a more suitable criterion for sanitary designation would be >80% crown defoliation. Exceptions may apply for beech and oak, though further economic analysis is required. Timber prices are significantly influenced by the sales model used [81], and by the business model of the forest management company [82].
Although Ursić and Vusić 2025 [56] analyzed the relation between DBH classes of oak stand with crown defoliation and tree value, they did not show a consistent correlation between tree crown defoliation degree and average tree value on the research sites. However, in our case the recovery of tree crowns of silver fir is significantly higher but it is not possible to conclude without additional measurement on selected sites the correlation of that with percentage of timber value recovery. In our sample, the significant influence on results includes the calculated average price of oak assortments, which had much higher market prices in the analyzed year. According to that, the timber quality analysis and tree species characteristics should be considered in future research to consider the economic value of recovered stands. Among many biotic and abiotic factors which cause stand degradation, the calculation of growing stock value depends on assortments quality and quantity, wood market prices (related to supply and demand), average annual increment for species, rotation period, stand quality and many other factors which could affect timber value.
Trees with severe crown damage had their volume unit value drop by 30–45%, while moderately damaged trees (class “3b”) lose 10–30% relative to undamaged trees [54]. For entire stands affected by dieback and defoliation, timber value can drop by at least 50% compared to unaffected stands, mainly through reduced volume and lower-quality timber [55]. However, it should be emphasized that in emergency situations such as pest outbreaks, a threshold of >60% may be more favorable for controlling pathogen spread. Also, the ecological and biological characteristics of individual tree species should be considered when setting criteria for sanitary felling of trees.

5. Conclusions

Crown defoliation is a non-specific indicator of individual tree and stand vitality, but it remains one of the primary criteria for selecting trees for sanitary felling. Consequently, it can be used to guide planning for sanitary harvest volumes. Due to complete crown defoliation, tree mortality was recorded at 7.2% for silver fir, 2.16% for beech, and 9.6% for pedunculate oak.
If the intensity of the stressor is reduced, trees may improve crown condition. The percentage of trees that reduced defoliation below 60%, i.e., transitioned from class 3A to lower defoliation classes, was 17% for fir, 4.3% for beech, and 12.5% for oak. For trees transitioning from class 3B to lower classes, the rates were 11.3% for fir, 3.1% for beech, and 3% for oak.
Cumulative crown regeneration (i.e., trees that reduced crown defoliation below 60%) lasted approximately 9 years for fir, nearly 8 years for beech, and about 7 years for oak. The duration of crown regeneration for trees transitioning from class 3B to lower classes was 7 years for both fir and oak, and 6 years for beech.
Based on these findings, reconsideration of the >80% defoliation criterion is warranted for selecting silver fir trees for sanitary felling. Fir showed the highest percentage and volume of recoverable trees, followed by oak, with beech showing the lowest. However, due to the highest average market price of oak assortments, this species had the highest estimated total value loss in euros. The results confirm that silver fir demonstrates the greatest capacity for crown recovery, and consequently, the highest potential value of regenerated assortments.

Author Contributions

Conceptualization, D.U. and A.J.; methodology, D.U., A.J., N.P. and I.S.; database, R.B.; formal analysis, A.J.; investigation, D.U. and N.P.; resources, S.P. and I.S.; data curation, A.J.; writing—original draft preparation, D.U. and A.J.; writing—review and editing, D.U., A.J., N.P., I.S., M.O., and S.P.; visualization, A.J. All authors have read and agreed to the published version of the manuscript.

Funding

This research received no external funding.

Data Availability Statement

The data presented in this study is available on request from the corresponding author. The data is not publicly available due to legal reasons.

Conflicts of Interest

The authors declare no conflicts of interest.

References

  1. Eichhorn, J.; Roskams, P.; Potočić, N.; Timmermann, V.; Ferretti, M.; Mues, V.; Szepesi, A.; Durrant, D.; Seletković, I.; Schroeck, H.-W.; et al. Part IV: Visual Assessment of Crown Condition and Damaging Agents. Version 2020-3. In Manual on Methods and Criteria for Harmonized Sampling, Assessment, Monitoring and Analysis of the Effects of Air Pollution on Forests; UNECE ICP Forests Programme Coordinating Centre, Ed.; Thünen Institute of Forest Ecosystems: Eberswalde, Germany, 2020; p. 49. ISBN 978-3-86576-162-0. [Google Scholar]
  2. Ognjenović, M.; Seletković, I.; Potočić, N.; Marušić, M.; Tadić, M.P.; Jonard, M.; Rautio, P.; Timmermann, V.; Lovreškov, L.; Ugarković, D. Defoliation Change of European Beech (Fagus sylvatica L.) Depends on Previous Year Drought. Plants 2022, 11, 730. [Google Scholar] [CrossRef]
  3. Dobbertin, M.; Brang, P. Crown Defoliation Improves Tree Mortality Models. For. Ecol. Manag. 2001, 141, 271–284. [Google Scholar] [CrossRef]
  4. Ognjenović, M.; Levanič, T.; Potočić, N.; Ugarković, D.; Indir, K.; Seletković, I. Interrelations of Various Tree Vitality Indicators and Their Reaction to Climatic Conditions on a European Beech (Fagus sylvatica L.) Plot. Šumar. List 2020, 144, 351–365. [Google Scholar] [CrossRef]
  5. Ferretti, M.; Waldner, P.; Verstraeten, A.; Schmitz, A.; Michel, A.; Žlindra, D.; Marchetto, A.; Hansen, K.; Pitar, D.; Gottardini, E.; et al. Criterion 2: Maintenance of Forest Ecosystem Health and Vitality. In FOREST EUROPE, 2020: State of Europe’s Forests 2020; Ministerial Conference on the Protection of Forests in Europe—Liaison Unit Bratislava: Zvolen, Slovak Republic, 2020. [Google Scholar]
  6. Ugarković, D.; Tikvić, I.; Seletković, Z. Odnos stanišnih i strukturnih čimbenika prema odumiranju i ishrani stabala obične jele (Abies alba Mill.) u Gorskom kotaru. Croat. J. For. Eng. J. Theory Appl. For. Eng. 2011, 32, 57–69. [Google Scholar]
  7. Waring, R.H. Characteristics of Trees Predisposed to Die. Bioscience 1987, 37, 569–574. [Google Scholar] [CrossRef]
  8. Wolf-Crowther, M.; Mozes, C.; Laczko, R. Forestry in the EU and the World: A Statistical Portrait; Office for Official Publications of the European Communities: Luxembourg, 2011; ISBN 92-79-19988-9. [Google Scholar]
  9. Gregory, S.V. Riparian Management in the 21st Century. In Creating a Forestry for the 21st Century; Island Press: Washington, DC, USA, 1997; pp. 69–85. [Google Scholar]
  10. McIver, J.D.; Starr, L. Environmental Effects of Postfire Logging: Literature Review and Annotated Bibliography; U.S. Department of Agriculture, Forest Service, Pacific Northwest Research Station: Portland, OR, USA, 2000.
  11. Nappi, A.; Drapeau, P.; Savard, J.-P.L. Salvage Logging after Wildfire in the Boreal Forest: Is It Becoming a Hot Issue for Wildlife? For. Chron. 2004, 80, 67–74. [Google Scholar] [CrossRef]
  12. Stuart, J.D.; Grifantini, M.C.; Fox III, L. Early Successional Pathways Following Wildfire and Subsequent Silvicultural Treatment in Douglas-Fir/Hardwood Forests, NW California. For. Sci. 1993, 39, 561–572. [Google Scholar] [CrossRef]
  13. Brooks, R.T. Effects of the Removal of Overstory Hemlock from Hemlock-Dominated Forests on Eastern Redback Salamanders. For. Ecol. Manag. 2001, 149, 197–204. [Google Scholar] [CrossRef]
  14. Shore, T.L.; Brooks, J.E.; Stone, J.E. Mountain Pine Beetle Symposium: Challenges and Solutions; Information report [BC-X-series]; Natural Resources: Victoria, BC, Canada, 2004; p. 287. [Google Scholar]
  15. Radeloff, V.C.; Mladenoff, D.J.; Boyce, M.S. Effects of Interacting Disturbances on Landscape Patterns: Budworm Defoliation and Salvage Logging. Ecol. Appl. 2000, 10, 233–247. [Google Scholar] [CrossRef]
  16. Elliott, K.J.; Hitchcock, S.L.; Krueger, L. Vegetation Response to Large Scale Disturbance in a Southern Appalachian Forest: Hurricane Opal and Salvage Logging. J. Torrey Bot. Soc. 2002, 129, 48. [Google Scholar] [CrossRef]
  17. Foster, D.R.; Aber, J.D.; Melillo, J.M.; Bowden, R.D.; Bazzaz, F.A. Forest Response to Disturbance and Anthropogenic Stress. BioScience 1997, 47, 437–445. [Google Scholar] [CrossRef]
  18. Greenberg, C.H. Response of White-Footed Mice (Peromyscus Leucopus) to Coarse Woody Debris and Microsite Use in Southern Appalachian Treefall Gaps. For. Ecol. Manag. 2002, 164, 57–66. [Google Scholar] [CrossRef]
  19. Morissette, J.L.; Cobb, T.P.; Brigham, R.M.; James, P.C. The Response of Boreal Forest Songbird Communities to Fire and Post-Fire Harvesting. Can. J. For. Res. 2002, 32, 2169–2183. [Google Scholar] [CrossRef]
  20. Lindenmayer, D.; Noss, R. Salvage Logging, Ecosystem Processes, and Biodiversity Conservation. Conserv. Biol. 2006, 20, 949–958. [Google Scholar] [CrossRef]
  21. Tikvić, I.; Zečić, Ž.; Ugarković, D.; Posarić, D. Oštećenost Stabala i Kakvoća Drvnih Sortimenata Hrasta Lužnjaka Na Spačvanskom Području. Šumarski List 2009, 133, 237–248. [Google Scholar]
  22. Ursić, B.; Zečić, Ž.; Vusić, D. Quantity and Quality of Narrow-Leaved Ash (Fraxinus angustifolia Vahl) Wood Forest Products in Relation to Tree Crown Defoliation. Forests 2025, 16, 147. [Google Scholar] [CrossRef]
  23. Pravilnik o Doznaci Stabala, Obilježbi Šumskih Proizvoda, Teretnom Listu I Šumskom Redu (NN 71/2019). 2019. Available online: https://narodne-novine.nn.hr/clanci/sluzbeni/2019_07_71_1506.html (accessed on 20 June 2025).
  24. Hilmers, T.; Leroy, B.M.L.; Bae, S.; Hahn, W.A.; Hochrein, S.; Jacobs, M.; Lemme, H.; Müller, J.; Schmied, G.; Weisser, W.W.; et al. Growth Response of Oaks to Insect Defoliation: Immediate and Intermediate Perspectives. For. Ecol. Manag. 2023, 549, 121465. [Google Scholar] [CrossRef]
  25. Anon Pravilnik o Doznaci Stabala, Obilježavanju Drvnih Sortimenata, Popratnici i Šumskom Redu. Narodne Novine 116/06. 2006. Available online: https://narodne-novine.nn.hr/clanci/sluzbeni/2006_10_116_2588.html (accessed on 20 June 2025).
  26. Thomas, F.M.; Blank, R.; Hartmann, G. Abiotic and Biotic Factors and Their Interactions as Causes of Oak Decline in Central Europe. For. Pathol. 2002, 32, 277–307. [Google Scholar] [CrossRef]
  27. Manion, P.; Lachance, D. Forest Decline Concepts: An Overview. Forest Decline Concepts; American Phytopathological Society: St. Paul, MN, USA, 1992; pp. 181–190. [Google Scholar]
  28. Cailleret, M.; Nourtier, M.; Amm, A.; Durand-Gillmann, M.; Davi, H. Drought-Induced Decline and Mortality of Silver Fir Differ among Three Sites in Southern France. Ann. For. Sci. 2014, 71, 643–657. [Google Scholar] [CrossRef]
  29. Villalba, R.; Veblen, T.T. Influences of Large-Scale Climatic Variability on Episodic Tree Mortality in Northern Patagonia. Ecology 1998, 79, 2624–2640. [Google Scholar] [CrossRef]
  30. Linares, J.C.; Tíscar, P.A. Climate Change Impacts and Vulnerability of the Southern Populations of Pinus Nigra Subsp. Salzmannii. Tree Physiol. 2010, 30, 795–806. [Google Scholar] [CrossRef] [PubMed]
  31. Franklin, J.F.; Shugart, H.H.; Harmon, M.E. Tree Death as an Ecological Process. BioScience 1987, 37, 550–556. [Google Scholar] [CrossRef]
  32. Dobbertin, M. Tree Growth as Indicator of Tree Vitality and of Tree Reaction to Environmental Stress: A Review. Eur. J. For. Res. 2005, 124, 319–333. [Google Scholar] [CrossRef]
  33. van Mantgem, P.J.; Stephenson, N.L.; Byrne, J.C.; Daniels, L.D.; Franklin, J.F.; Fulé, P.Z.; Harmon, M.E.; Larson, A.J.; Smith, J.M.; Taylor, A.H.; et al. Widespread Increase of Tree Mortality Rates in the Western United States. Science 2009, 323, 521–524. [Google Scholar] [CrossRef] [PubMed]
  34. De Vries, W.; Klap, J.M.; Erisman, J.W. Effects of Environmental Stress on Forest Crown Condition in Europe. Part I: Hypotheses and Approach to the Study. Water Air Soil Pollut. 2000, 119, 317–333. [Google Scholar] [CrossRef]
  35. Dubravac, T.; Dekanić, S.; Roth, V. Dinamika štećenosti i Struktura Krošanja Stabala Hrasta Lužnjaka u Šumskim Zajednicama Na Gredi i u Nizi–Rezultati Motrenja Na Trajnim Pokusnim Plohama. Šumarski List 2011, 135, 74–89. [Google Scholar]
  36. Štraus, H.; Bončina, A. The Vulnerability of Four Main Tree Species in European Forests to Seven Natural Disturbance Agents: Lessons from Slovenia. Eur. J. Forest Res. 2025, 144, 267–282. [Google Scholar] [CrossRef]
  37. Reiter, E.J.; Weigel, R.; Leuschner, C. Losing Half the Crown Hardly Affects the Stem Growth of a Xeric Southern Beech Population. Sci. Rep. 2025, 15, 5721. [Google Scholar] [CrossRef]
  38. Rohner, B.; Kumar, S.; Liechti, K.; Gessler, A.; Ferretti, M. Tree Vitality Indicators Revealed a Rapid Response of Beech Forests to the 2018 Drought. Ecol. Indic. 2021, 120, 106903. [Google Scholar] [CrossRef]
  39. Seletković, Z.; Tikvić, I.; Prpić, B. Ecological Constitution of Common Beech. In Common Beech (Fagus sylvatica L.) in Croatia; Matić, S., Ed.; Academy of Forestry Sciences: Zagreb, Croatia, 2003. [Google Scholar]
  40. Prpić, B.; Seletković, Z. Jele. In Obična jela u Hrvatskoj; Prpić, B., Ed.; Akademija Šumarskih Znanosti: Zagreb, Croatia, 2001; pp. 255–276. ISBN 953-98571-0-4. [Google Scholar]
  41. Quer, E.; Baldy, V.; DesRochers, A. Ecological Drivers of Root Grafting in Balsam Fir Natural Stands. For. Ecol. Manag. 2020, 475, 118388. [Google Scholar] [CrossRef]
  42. Gradečki-Poštenjak, M.; Ćelepirović, N. The Influence of Crown Defoliation on the Variability of Some Physiological and Morphological Properties of Silver Fir (Abies alba) Seeds in the Seed Zone of Dinaric Beech-Fir Forests in Croatia. Period. Biol. 2015, 117, 479–492. [Google Scholar] [CrossRef]
  43. Bussotti, F.; Papitto, G.; Di Martino, D.; Cocciufa, C.; Cindolo, C.; Cenni, E.; Bettini, D.; Iacopetti, G.; Pollastrini, M. Defoliation, Recovery and Increasing Mortality in Italian Forests: Levels, Patterns and Possible Consequences for Forest Multifunctionality. Forests 2021, 12, 1476. [Google Scholar] [CrossRef]
  44. Ducousso, A.; Bordacs, S. EUFORGEN Technical Guidelines for Genetic Conservation and Use for Pedunculate and Sessile Oaks (Quercus Robur) and (Quercus Petraea); Bioversity International: Rome, Italy, 2003; ISBN 92-9043-660-3. [Google Scholar]
  45. Eaton, E.; Caudullo, G.; Oliveira, S.; De Rigo, D. Quercus Robur and Quercus Petraea in Europe: Distribution, Habitat, Usage and Threats. Eur. Atlas For. Tree Species 2016, 14, 160–163. [Google Scholar]
  46. CABI Compendium Forestry. Available online: https://www.cabidigitallibrary.org/product/qf (accessed on 8 July 2025).
  47. Bussotti, F.; Potočić, N.; Timmermann, V.; Lehmann, M.M.; Pollastrini, M. Tree Crown Defoliation in Forest Monitoring: Concepts, Findings, and New Perspectives for a Physiological Approach in the Face of Climate Change. For. Int. J. For. Res. 2024, 97, 194–212. [Google Scholar] [CrossRef]
  48. Đuka, A.; Franjević, M.; Tomljanović, K.; Popović, M.; Ugarković, D.; Teslak, K.; Barčić, D.; Žagar, K.; Palatinuš, K.; Papa, I. A Decade of Sanitary Fellings Followed by Climate Extremes in Croatian Managed Forests. Land 2025, 14, 766. [Google Scholar] [CrossRef]
  49. Sperlich, D.; Hanewinkel, M.; Yousefpour, R. Aiming at a Moving Target: Economic Evaluation of Adaptation Strategies under the Uncertainty of Climate Change and CO2 Fertilization of European Beech (Fagus sylvatica L.) and Silver Fir (Abies alba Mill.). Ann. For. Sci. 2024, 81, 4. [Google Scholar] [CrossRef]
  50. Beljan, K.; Posavec, S.; Čavlović, J.; Teslak, K.; Knoke, T. Economic Consequences of Different Management Approaches to Even-Aged Silver Fir Forests. Croat. J. For. Eng. J. Theory Appl. For. Eng. 2018, 39, 299–312. [Google Scholar]
  51. Klein, J.; Moeschberger, M. Survival Analysis: Techniques for Censored and Truncated Data. In Statistics for Biology and Health, 2nd ed.; Springer: New York, NY, USA, 2003; ISBN 978-0-387-95399-1. [Google Scholar]
  52. SAS Institute Inc. SAS/STAT® 15.3 User’s Guide 2023; SAS Institute Inc.: Cary, NC, USA, 2023. [Google Scholar]
  53. Business Report 2023; Hrvatske Šume, d.o.o.: Zagreb, Croatia, 2024.
  54. Redfern, D.B.; Boswell, R.C. Assessment of Crown Condition in Forest Trees: Comparison of Methods, Sources of Variation and Observer Bias. For. Ecol. Manag. 2004, 188, 149–160. [Google Scholar] [CrossRef]
  55. Petráš, R. Reduction of Timber Value from Damaged Spruce Stands after Their Dieback. J. For. Sci. 2002, 48, 80–87. [Google Scholar] [CrossRef]
  56. Ursić, B.; Vusić, D. Pedunculate Oak (Quercus robur L.) Crown Defoliation as an Indicator of Timber Value. Forests 2025, 16, 1111. [Google Scholar] [CrossRef]
  57. Lowell, E.C. Deterioration of Fire-Killed and Fire-Damaged Timber in the Western United States; US Department of Agriculture, Forest Service, Pacific Northwest Research Station: Portland, OR, USA, 1992; Volume 292.
  58. Prestemon, J.P.; Wear, D.N.; Stewart, F.J.; Holmes, T.P. Wildfire, Timber Salvage, and the Economics of Expediency. For. Policy Econ. 2006, 8, 312–322. [Google Scholar] [CrossRef]
  59. Home | Forest Stewardship Council. Available online: https://fsc.org/en (accessed on 7 July 2025).
  60. Forest Information System of Europe. Available online: https://forest.eea.europa.eu (accessed on 7 July 2025).
  61. Sessions, J.; Bettinger, P.; Buckman, R.; Newton, M.; Hamann, J. Hastening the Return of Complex Forests Following Fire: The Consequences of Delay. J. For. 2004, 102, 38–45. [Google Scholar] [CrossRef]
  62. Brown, J.K. Coarse Woody Debris: Managing Benefits and Fire Hazard in the Recovering Forest; US Department of Agriculture, Forest Service, Rocky Mountain Research Station: Fort Collins, CO, USA, 2003.
  63. Pousette, J.; Hawkins, C. An Assessment of Critical Assumptions Supporting the Timber Supply Modelling for Mountain-Pine-Beetle-Induced Allowable Annual Cut Uplift in thePrince George Timber Supply Area. J. Ecosyst. Manag. 2006, 7, 93–104. [Google Scholar] [CrossRef]
  64. Oszlányi, J. Forest Health and Environmental Pollution in Slovakia. Environ. Pollut. 1997, 98, 389–392. [Google Scholar] [CrossRef]
  65. Schmid, S.; Palacio, S.; Hoch, G. Growth Reduction after Defoliation Is Independent of CO2 Supply in Deciduous and Evergreen Young Oaks. New Phytol. 2017, 214, 1479–1490. [Google Scholar] [CrossRef] [PubMed]
  66. Michel, A.; Kirchner, T.; Prescher, A.-K.; Schwärzel, K. (Eds.) Forest Condition in Europe; ICP Forests Technical Report; Johann Heinrich von Thünen Institut: Braunschweig, Germany, 2023; ISBN 978-3-86576-263-4. [Google Scholar]
  67. Toïgo, M.; Nicolas, M.; Jonard, M.; Croisé, L.; Nageleisen, L.-M.; Jactel, H. Temporal Trends in Tree Defoliation and Response to Multiple Biotic and Abiotic Stresses. For. Ecol. Manag. 2020, 477, 118476. [Google Scholar] [CrossRef]
  68. Filipiak, M.; Ufnalski, K. Growth Reaction of European Silver Fir [Abies alba Mill.] Associated with Air Quality Improvement in the Sudeten Mountains. Pol. J. Environ. Stud. 2004, 13, 267–273. [Google Scholar]
  69. Filipiak, M. Life of Abies alba (Pinaceae) under the Conditions of Intense Anthropopressure in the Sudety Mountains. Fragm. Florist. Et Geobot. Pol. 2006, 13, 113–138. [Google Scholar]
  70. Paixao, C.; Krause, C.; Morin, H.; Achim, A. Wood Quality of Black Spruce and Balsam Fir Trees Defoliated by Spruce Budworm: A Case Study in the Boreal Forest of Quebec, Canada. For. Ecol. Manag. 2019, 437, 201–210. [Google Scholar] [CrossRef]
  71. Lemay, A.; Barrette, J.; Krause, C. Balsam Fir (Abies balsamea (L.) Mill.) Wood Quality after Defoliation by Spruce Budworm (Choristoneura fumiferana Clem.) in the Boreal Forest of Quebec, Canada. Forests 2022, 13, 1926. [Google Scholar] [CrossRef]
  72. Van Leeuwen, M.; Hilker, T.; Coops, N.C.; Frazer, G.; Wulder, M.A.; Newnham, G.J.; Culvenor, D.S. Assessment of Standing Wood and Fiber Quality Using Ground and Airborne Laser Scanning: A Review. For. Ecol. Manag. 2011, 261, 1467–1478. [Google Scholar] [CrossRef]
  73. Lohr, S.M.; Gauthreaux, S.A.; Kilgo, J.C. Importance of Coarse Woody Debris to Avian Communities in Loblolly Pine Forests. Conserv. Biol. 2002, 16, 767–777. [Google Scholar] [CrossRef]
  74. Kappes, H.; Topp, W.; Zach, P.; Kulfan, J. Coarse Woody Debris, Soil Properties and Snails (Mollusca: Gastropoda) in European Primeval Forests of Different Environmental Conditions. Eur. J. Soil Biol. 2006, 42, 139–146. [Google Scholar] [CrossRef]
  75. Peterson, D.W.; Dodson, E.K.; Harrod, R.J. Snag Decomposition Following Stand-Replacing Wildfires Alters Wildlife Habitat Use and Surface Woody Fuels through Time. Ecosphere 2023, 14, e4635. [Google Scholar] [CrossRef]
  76. Tikvić, I.; Seletković, Z. Utjecaj Pošumljavanja Krša Na Hidrološku Funkciju Šuma. Šumarski List 2003, 127, 31–34. [Google Scholar]
  77. Tikvić, I. (Ed.) Branimir Prpić—Ekologija Šuma i Šumarstvo; Hrvatsko Šumarsko Društvo i Šumarski Fakultet Sveučilišta u Zagrebu: Zagreb, Croatia, 2018. [Google Scholar]
  78. Bodo, A.V.; Arain, M.A. Effects of Variable Retention Harvesting on Canopy Transpiration in a Red Pine Plantation Forest. Ecol. Process. 2022, 11, 28. [Google Scholar] [CrossRef] [PubMed]
  79. Beudert, B.; Bässler, C.; Thorn, S.; Noss, R.; Schröder, B.; Dieffenbach-Fries, H.; Foullois, N.; Müller, J. Bark Beetles Increase Biodiversity While Maintaining Drinking Water Quality. Conserv. Lett. 2015, 8, 272–281. [Google Scholar] [CrossRef]
  80. Putz, F.E.; Sist, P.; Fredericksen, T.; Dykstra, D. Reduced-Impact Logging: Challenges and Opportunities. For. Ecol. Manag. 2008, 256, 1427–1433. [Google Scholar] [CrossRef]
  81. Posavec, S.; Pezdevšek Malovrh, Š. Market Value and Timber Assortment Sale Models—Comparative Study. In Management Aspects in Forest Based Industries; WoodEMA: Zagreb, Croatia, 2020; ISBN 978-953-57822-7-8. [Google Scholar]
  82. Leban, V.; Teder, M.; Posavec, S.; Krč, J. Business Models in Transition Countries. In Services in Family Forestry; Springer: Berlin/Heidelberg, Germany, 2019; pp. 167–183. [Google Scholar]
Figure 1. Selected ICP Forests Level I monitoring plots in Croatia and forest cover of investigated species.
Figure 1. Selected ICP Forests Level I monitoring plots in Croatia and forest cover of investigated species.
Forests 16 01479 g001
Figure 2. Probability with 95% confidence interval of Crown Regeneration from Defoliation Class 3a (1998–2023).
Figure 2. Probability with 95% confidence interval of Crown Regeneration from Defoliation Class 3a (1998–2023).
Forests 16 01479 g002
Figure 3. Probability with 95% confidence interval of Crown Regeneration from Defoliation Class 3b (1998–2023).
Figure 3. Probability with 95% confidence interval of Crown Regeneration from Defoliation Class 3b (1998–2023).
Forests 16 01479 g003
Table 1. Tree mortality, percentage of crown regeneration and test of proportions for each species.
Table 1. Tree mortality, percentage of crown regeneration and test of proportions for each species.
TreesNumber of Alive Trees
in Regeneration
Test of Proportions
Tree SpeciesTotal Number of TreesDead TreesAlive Trees3a (%)3b (%)p
Abies alba118283 (7.2%)1099187 (17%)124 (11.3%)<0.001
Fagus sylvatica422191 (2.16%)4130179 (4.3%)127 (3.1%)0.004
Quercus robur2572247 (9.6%)2325291(12.5%)69 (3%)<0.001
TOTAL7975421 (5.28%)7554657 (8.7%)320 (4.2%)<0.001
Table 2. Kaplan–Meier Estimates of Regeneration Duration for Classes 3a and 3b (live trees).
Table 2. Kaplan–Meier Estimates of Regeneration Duration for Classes 3a and 3b (live trees).
Duration of Regeneration 3a (Years)Duration of Regeneration 3b (Years)
Mean ± SDQ1MedianQ3Mean ± SDQ1MedianQ3
Abies alba8.85 ± 0.3967136.97 ± 0.434610
Fagus sylvatica7.93 ± 0.4037116.15 ± 0.38368
Quercus robur6.94 ± 0.3235107.13 ± 0.272513
Log-Rank test
Tukey–Kramer *
Chi2 = 11.65; df = 2; p = 0.003
A-F p = 0.326; A-Q p = 0.002; F-Q p = 0.076
Chi2 = 3.36; df = 2; p = 0.186
Total7.81 ± 0.2136126.68 ± 0.27369
* Note: SD—standard deviation; df = degree of freedom; A—Abies alba, F—Fagus sylvatica, Q—Quercus robur.
Table 3. Estimated Recoverable Volume, Average Price, and Total Value for Analyzed Tree Species for the analyzed period.
Table 3. Estimated Recoverable Volume, Average Price, and Total Value for Analyzed Tree Species for the analyzed period.
Abies albaFagus sylvaticaQuercus roburTotal
Defoliation class3b3a3b3a3b3a
Trees in regeneration11.30%17%3.10%4.30%3%12.50%
Average price (EUR/m3)3541505193141
Total net to annual cut volume (m3)5,638,6877,859,3151,445,4492,050,6542,056,0442,791,85121,841,999
Estimation of the volume that could be regenerated (m3)637,1721,336,08444,80988,17861,681348,9812,516,905
Estimation of reduced percentage and price for regenerated tree (EUR/m3)−30%
24.5
−10%
36.9
−30%
35
−10%
45.9
−30%
65.1
−10%
126.9
Regenerated volume × reduced price (EUR)15,610,70549,301,4831,568,3124,047,3754,015,45444,285,736
Total (EUR)64,912,1885,615,68748,301,190118,829,065
Disclaimer/Publisher’s Note: The statements, opinions and data contained in all publications are solely those of the individual author(s) and contributor(s) and not of MDPI and/or the editor(s). MDPI and/or the editor(s) disclaim responsibility for any injury to people or property resulting from any ideas, methods, instructions or products referred to in the content.

Share and Cite

MDPI and ACS Style

Ugarković, D.; Jazbec, A.; Seletković, I.; Potočić, N.; Ognjenović, M.; Bogdanić, R.; Posavec, S. Evaluating Crown Defoliation Thresholds for the Identification of Trees Targeted for Sanitary Felling. Forests 2025, 16, 1479. https://doi.org/10.3390/f16091479

AMA Style

Ugarković D, Jazbec A, Seletković I, Potočić N, Ognjenović M, Bogdanić R, Posavec S. Evaluating Crown Defoliation Thresholds for the Identification of Trees Targeted for Sanitary Felling. Forests. 2025; 16(9):1479. https://doi.org/10.3390/f16091479

Chicago/Turabian Style

Ugarković, Damir, Anamarija Jazbec, Ivan Seletković, Nenad Potočić, Mladen Ognjenović, Robert Bogdanić, and Stjepan Posavec. 2025. "Evaluating Crown Defoliation Thresholds for the Identification of Trees Targeted for Sanitary Felling" Forests 16, no. 9: 1479. https://doi.org/10.3390/f16091479

APA Style

Ugarković, D., Jazbec, A., Seletković, I., Potočić, N., Ognjenović, M., Bogdanić, R., & Posavec, S. (2025). Evaluating Crown Defoliation Thresholds for the Identification of Trees Targeted for Sanitary Felling. Forests, 16(9), 1479. https://doi.org/10.3390/f16091479

Note that from the first issue of 2016, this journal uses article numbers instead of page numbers. See further details here.

Article Metrics

Back to TopTop