Assessment of Pine Tree Crown Delineation Algorithms on UAV Data: From K-Means Clustering to CNN Segmentation
Abstract
1. Introduction
2. Materials and Methods
2.1. Study Area
2.2. Field Data Collection
2.3. Image Acquisition
2.4. Preprocessing and Point Cloud Extraction
2.5. Methodology Overview
2.6. Canopy Height Model from UAV Point Clouds
2.7. Crown Top Detection Algorithms
2.7.1. Local Maxima
2.7.2. Template Matching
2.8. Crown Segmentation Algorithms
2.8.1. K-Means
2.8.2. Mean-Shift
2.8.3. Seeded Region Growing (SRG)
2.8.4. Marker-Controlled Watershed (MCW)
2.8.5. Convolutional Neural Network (CNN)
2.9. Accuracy Assessment
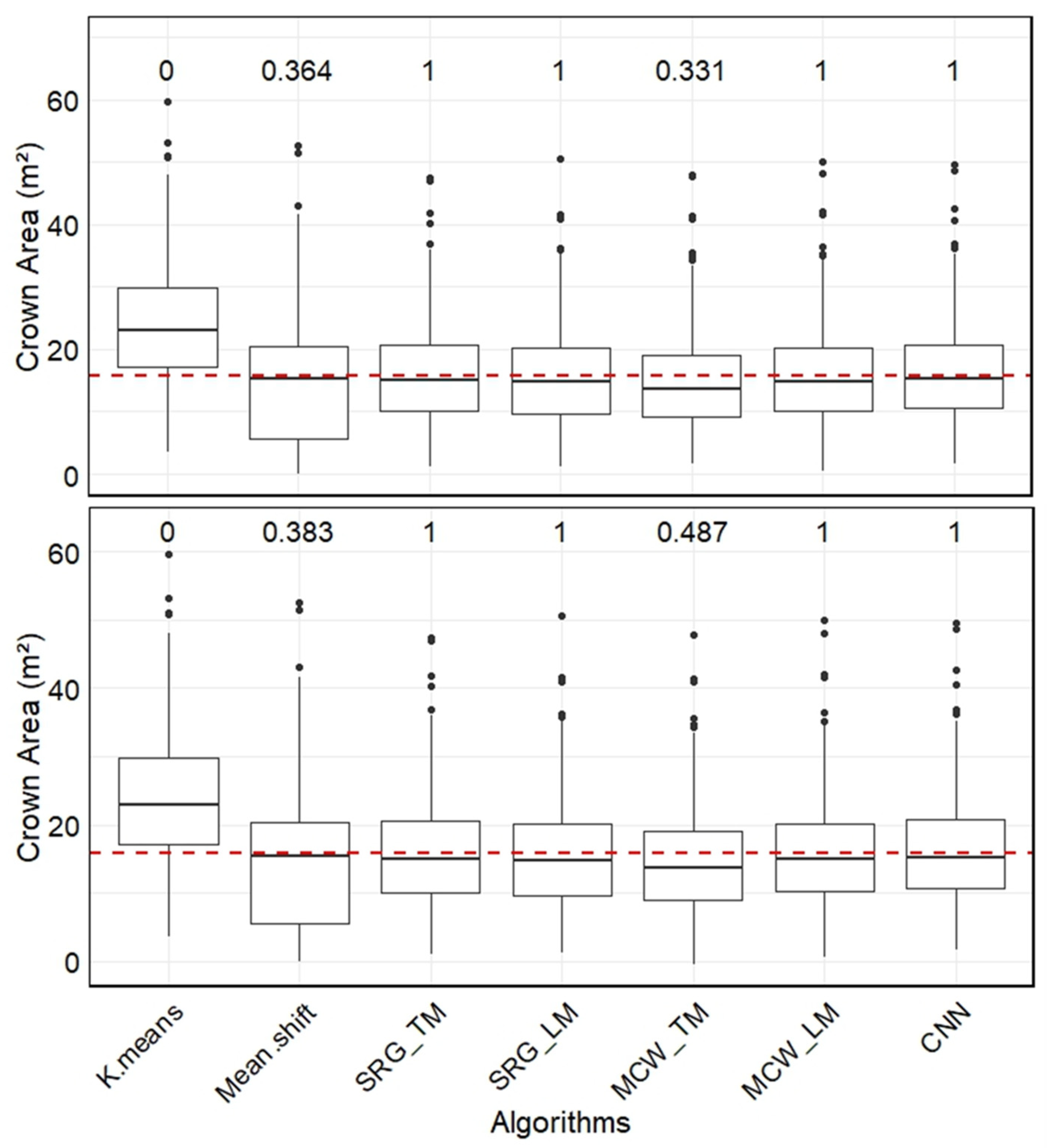
3. Results
4. Discussion
5. Conclusions
Author Contributions
Funding
Data Availability Statement
Acknowledgments
Conflicts of Interest
References
- Abad-Segura, E.; González-Zamar, M.D.; Vázquez-Cano, E.; López-Meneses, E. Remote sensing applied in forest management to optimize ecosystem services: Advances in research. Forests 2020, 11, 969. [Google Scholar] [CrossRef]
- Payn, T.; Carnus, J.M.; Freer-Smith, P.; Kimberley, M.; Kollert, W.; Liu, S.; Orazio, C.; Rodriguez, L.; Silva, L.N.; Wingfield, M.J. Changes in planted forests and future global implications. For. Ecol. Manag. 2015, 352, 57–67. [Google Scholar] [CrossRef]
- Sabir, M.; Ali, Y.; Khan, I.; Salman, A. Plant species selection for afforestation: A case study of the Billion Tree Tsunami Project of Pakistan. J. Sustain. For. 2022, 41, 537–549. [Google Scholar] [CrossRef]
- Stamatopoulos, I.; Le, T.C.; Daver, F. UAV-assisted seeding and monitoring of reforestation sites: A review. Aust. For. 2024, 87, 90–98. [Google Scholar] [CrossRef]
- Imanuddin, R.; Hidayat, A.; Rachmat, H.H.; Turjaman, M.; Pratiwi, N.; Nurfatriani, F.; Indrajaya, Y.; Susilowati, A. Reforestation and sustainable management of Pinus merkusii forest plantation in Indonesia: A review. Forests 2020, 11, 1235. [Google Scholar] [CrossRef]
- Vacek, Z.; Cukor, J.; Vacek, S.; Linda, R.; Prokůpková, A.; Podrázský, V.; Gallo, J.; Vacek, O.; Šimůnek, V.; Drábek, O.; et al. Production potential, biodiversity and soil properties of forest reclamations: Opportunities or risk of introduced coniferous tree species under climate change? Eur. J. For. Res. 2021, 140, 1243–1266. [Google Scholar] [CrossRef]
- Mohan, M.; Richardson, G.; Gopan, G.; Aghai, M.M.; Bajaj, S.; Galgamuwa, G.P.; Vastaranta, M.; Arachchige, P.S.P.; Amorós, L.; Corte, A.P.D.; et al. UAV-supported forest regeneration: Current trends, challenges and implications. Remote Sens. 2021, 13, 2596. [Google Scholar] [CrossRef]
- Leuschner, C.; Förster, A.; Diers, M.; Culmsee, H. Are northern German Scots pine plantations climate smart? The impact of large-scale conifer planting on climate, soil and the water cycle. For. Ecol. Manag. 2022, 507, 120013. [Google Scholar] [CrossRef]
- Di Sacco, A.; Hardwick, K.A.; Blakesley, D.; Brancalion, P.H.; Breman, E.; Cecilio Rebola, L.; Chomba, S.; Dixon, K.; Elliott, S.; Ruyonga, G.; et al. Ten golden rules for reforestation to optimize carbon sequestration, biodiversity recovery and livelihood benefits. Glob. Change Biol. 2021, 27, 1328–1348. [Google Scholar] [CrossRef]
- Muller, J.J.; Nagel, L.M.; Palik, B.J. Forest adaptation strategies aimed at climate change: Assessing the performance of future climate-adapted tree species in a northern Minnesota pine ecosystem. For. Ecol. Manag. 2019, 451, 117539. [Google Scholar] [CrossRef]
- Kumar, R.; Saikia, P. Forest resources of Jharkhand, Eastern India: Socio-economic and bio-ecological perspectives. In Socio-Economic and Eco-Biological Dimensions in Resource Use and Conservation; Springer: Berlin/Heidelberg, Germany, 2020; pp. 61–101. [Google Scholar]
- Bi, H.-Q.; Simpson, J.; Li, R.-W.; Hong, Y.; Wu, Z.-X.; Cai, S.-M.; Robert, E. Introduction of Pinus radiata for afforestation: A review with reference to Aba, China. J. For. Res. 2003, 14, 311–322. [Google Scholar]
- Hepp, T.E.; Vimmerstedt, J.P.; Smalley, G.W.; McNab, W.H. Estimating yields of unthinned eastern white pine plantations from current stocking in the Southern Appalachians. For. Sci. 2015, 61, 114–122. [Google Scholar] [CrossRef]
- Zhang, J.; Finley, K. Early treatment effects on plantation growth and biodiversity in mature ponderosa pine forest. Can. J. For. Res. 2024, 54, 632–645. [Google Scholar] [CrossRef]
- Gil-Docampo, M.D.L.L.; Ortiz-Sanz, J.; Martínez-Rodriguez, S.; Marcos-Robles, J.L.; Arza-García, M.; Sánchez-Sastre, L.F. Plant survival monitoring with UAVs and multispectral data in difficult access afforested areas. Geocarto Int. 2020, 35, 128–140. [Google Scholar] [CrossRef]
- Loewe-Muñoz, V.; Bonomelli, C.; del Río, R.; Delard, C.; Balzarini, M. Effects of climate and soil properties on growth of Pinus pinea young plantations. Plant Soil 2024, 505, 351–362. [Google Scholar] [CrossRef]
- López, G.M.; Flores, A. Economic importance of pine (Pinus spp.) as a natural resource in Mexico. Rev. Mex. Cienc. For. 2020, 11, 161–185. [Google Scholar]
- Nordman, C.; White, R.; Wilson, R.; Ware, C.; Rideout, C.; Pyne, M.; Hunter, C. Rapid assessment metrics to enhance wildlife habitat and biodiversity within southern open pine ecosystems. In Proceedings of the UFish and Wildlife Service and NatureServe, for the Gulf Coastal Plains and. Ozarks Landscape Conservation Cooperative, Tallahassee, FL, USA, 31 March 2016. [Google Scholar]
- Samiappan, S.; Turnage, G.; McCraine, C.; Skidmore, J.; Hathcock, L.; Moorhead, R. Post-logging estimation of loblolly pine (Pinus taeda) stump size, area and population using imagery from a small unmanned aerial system. Drones 2017, 1, 4. [Google Scholar] [CrossRef]
- Safonova, A.; Hamad, Y.; Dmitriev, E.; Georgiev, G.; Trenkin, V.; Georgieva, M.; Dimitrov, S.; Iliev, M. Individual tree crown delineation for the species classification and assessment of vital status of forest stands from UAV images. Drones 2021, 5, 77. [Google Scholar] [CrossRef]
- Wang, Y.; Liu, Z.; Li, J.; Cao, X.; Lv, Y. Assessing the relationship between tree growth, crown size, and neighboring tree species diversity in mixed coniferous and broad forests using crown size competition indices. Forests 2024, 15, 633. [Google Scholar] [CrossRef]
- Dmyterko, E.; Kluziński, L.; Bruchwald, A. Stan zdrowotny drzewostanów sosnowych (Pinus sylvestris L.) Nadleśnictwa Olkusz. Sylwan 2005, 149, 3–13. [Google Scholar]
- Harris, R.C.; Kennedy, L.M.; Pingel, T.J.; Thomas, V.A. Assessment of canopy health with drone-based orthoimagery in a Southern Appalachian red spruce forest. Remote Sens. 2022, 14, 1341. [Google Scholar] [CrossRef]
- Duarte, A.; Borralho, N.; Cabral, P.; Caetano, M. Recent advances in forest insect pests and diseases monitoring using UAV-based data: A systematic review. Forests 2022, 13, 911. [Google Scholar] [CrossRef]
- Zarnoch, S.J.; Bechtold, W.A.; Stolte, K.W. Using crown condition variables as indicators of forest health. Can. J. For. Res. 2004, 34, 1057–1070. [Google Scholar] [CrossRef]
- Song, C.; Dickinson, M.B.; Su, L.; Zhang, S.; Yaussey, D. Estimating average tree crown size using spatial information from Ikonos and QuickBird images: Across-sensor and across-site comparisons. Remote Sens. Environ. 2010, 114, 1099–1107. [Google Scholar] [CrossRef]
- Freire, A.; Rodrigues, G.C.; Tomé, M. Climate change impacts on Pinus pinea L. silvicultural system for cone production and ways to contour those impacts: A review complemented with data from permanent plots. Forests 2019, 10, 169. [Google Scholar] [CrossRef]
- Hosingholizade, A.; Erfanifard, Y.; Alavipanah, S.K.; Latifi, H.; Jouybari-Moghaddam, Y. An assessment of support vector machines for crown delineation of pine single trees on unmanned aerial vehicle imagery. Intercont. Geoinf. Days 2022, 4, 17–20. [Google Scholar]
- Anttila, P. Assessment of manual and automated methods for updating stand-level forest inventories based on aerial photography. Diss. For. 2005, 9, 1–42. [Google Scholar] [CrossRef]
- Kwong, I.H.; Fung, T. Tree height mapping and crown delineation using LiDAR, large format aerial photographs, and unmanned aerial vehicle photogrammetry in subtropical urban forest. Int. J. Remote Sens. 2020, 41, 5228–5256. [Google Scholar] [CrossRef]
- Mozgeris, G.; Augustaitis, A. Estimating crown defoliation of Scots pine (Pinus sylvestris L.) trees using small format digital aerial images. iForest 2013, 6, 15. [Google Scholar] [CrossRef]
- Komárek, J.; Klápště, P.; Hrach, K.; Klouček, T. The potential of widespread UAV cameras in the identification of conifers and the delineation of their crowns. Forests 2022, 13, 710. [Google Scholar] [CrossRef]
- Hao, Z.; Post, C.J.; Mikhailova, E.A.; Lin, L.; Liu, J.; Yu, K. How does sample labeling and distribution affect the accuracy and efficiency of a deep learning model for individual tree-crown detection and delineation. Remote Sens. 2022, 14, 1561. [Google Scholar] [CrossRef]
- Qiu, L.; Jing, L.; Hu, B.; Li, H.; Tang, Y. A new individual tree crown delineation method for high-resolution multispectral imagery. Remote Sens. 2020, 12, 585. [Google Scholar] [CrossRef]
- Belcore, E.; Wawrzaszek, A.; Wozniak, E.; Grasso, N.; Piras, M. Individual tree detection from UAV imagery using Hölder exponent. Remote Sens. 2020, 12, 2407. [Google Scholar] [CrossRef]
- Pouliot, D.A.; King, D.J.; Bell, F.W.; Pitt, D.G. Automated tree crown detection and delineation in high-resolution digital camera imagery of coniferous forest regeneration. Remote Sens. Environ. 2002, 82, 322–334. [Google Scholar] [CrossRef]
- Hosingholizade, A.; Erfanifard, Y.; Alavipanah, S.K.; Latifi, H.; Jouybari-Moghaddam, Y. Tree crown delineation on UAV imagery using a combination of machine learning algorithms with majority voting. ISPRS Ann. Photogramm. Remote Sens. Spat. Inf. Sci. 2023, 10, 287–293. [Google Scholar] [CrossRef]
- Yun, T.; Jiang, K.; Li, G.; Eichhorn, M.P.; Fan, J.; Liu, F.; Chen, B.; An, F.; Cao, L. Individual tree crown segmentation from airborne LiDAR data using a novel Gaussian filter and energy function minimization-based approach. Remote Sens. Environ. 2021, 256, 112307. [Google Scholar] [CrossRef]
- Hosingholizade, A.; Erfanifard, Y.; Alavipanah, S.K.; Latifi, H.; Jouybari Moghaddam, Y. Comparison of unmanned aerial vehicle (UAV) RGB imagery and point clouds in crown area estimation of individual trees within pine (Pinus eldarica) man-made forests. J. RS GIS Nat. Resour. 2023, 14, 1–10. (In Persian) [Google Scholar]
- Pérez-Carrasco, M.; Karelovic, B.; Molina, R.; Saavedra, R.; Cerulo, P.; Cabrera-Vives, G. Precision silviculture: Use of UAVs and comparison of deep learning models for the identification and segmentation of tree crowns in pine crops. Int. J. Digit. Earth 2022, 15, 2223–2238. [Google Scholar] [CrossRef]
- Gan, Y.; Wang, Q.; Iio, A. Tree crown detection and delineation in a temperate deciduous forest from UAV RGB imagery using deep learning approaches: Effects of spatial resolution and species characteristics. Remote Sens. 2023, 15, 778. [Google Scholar] [CrossRef]
- Liu, Y.; You, H.; Tang, X.; You, Q.; Huang, Y.; Chen, J. Study on individual tree segmentation of different tree species using different segmentation algorithms based on 3D UAV data. Forests 2023, 14, 1327. [Google Scholar] [CrossRef]
- Yan, W.; Guan, H.; Cao, L.; Yu, Y.; Li, C.; Lu, J. A self-adaptive mean shift tree-segmentation method using UAV LiDAR data. Remote Sens. 2020, 12, 515. [Google Scholar] [CrossRef]
- Hu, X.; Chen, W.; Xu, W. Adaptive mean shift-based identification of individual trees using airborne LiDAR data. Remote Sens. 2017, 9, 148. [Google Scholar] [CrossRef]
- Naveed, F.; Hu, B.; Wang, J.; Hall, G.B. Individual tree crown delineation using multispectral LiDAR data. Sensors 2019, 19, 5421. [Google Scholar] [CrossRef] [PubMed]
- Zhen, Z.; Quackenbush, L.J.; Zhang, L. Impact of tree-oriented growth order in marker-controlled region growing for individual tree crown delineation using airborne laser scanner (ALS) data. Remote Sens. 2014, 6, 555–579. [Google Scholar] [CrossRef]
- Gu, J.; Grybas, H.; Congalton, R.G. Individual tree crown delineation from UAS imagery based on region growing and growth space considerations. Remote Sens. 2020, 12, 2363. [Google Scholar] [CrossRef]
- Zhao, H.; Morgenroth, J.; Pearse, G.; Schindler, J. A systematic review of individual tree crown detection and delineation with convolutional neural networks (CNN). Curr. For. Rep. 2023, 9, 149–170. [Google Scholar] [CrossRef]
- Braga, G.J.R.; Peripato, V.; Dalagnol, R.; Ferreira, M.P.; Tarabalka, Y.; Aragão, L.O.C.; Wagner, F.H. Tree crown delineation algorithm based on a convolutional neural network. Remote Sens. 2020, 12, 1288. [Google Scholar] [CrossRef]
- Fricker, G.A.; Ventura, J.D.; Wolf, J.A.; North, M.P.; Davis, F.W.; Franklin, J. A convolutional neural network classifier identifies tree species in mixed-conifer forest from hyperspectral imagery. Remote Sens. 2019, 11, 2326. [Google Scholar] [CrossRef]
- Li, H.; Hu, B.; Li, Q.; Jing, L. CNN-based individual tree species classification using high-resolution satellite imagery and airborne LiDAR data. Forests 2021, 12, 1697. [Google Scholar] [CrossRef]
- Hao, Z.; Lin, L.; Post, C.J.; Mikhailova, E.A.; Li, M.; Chen, Y.; Yu, K.; Liu, J. Automated tree-crown and height detection in a young forest plantation using mask region-based convolutional neural network (Mask R-CNN). ISPRS J. Photogramm. Remote Sens. 2021, 178, 112–123. [Google Scholar] [CrossRef]
- Seifert, E.; Seifert, S.; Vogt, H.; Drew, D.; Van Aardt, J.; Kunneke, A.; Seifert, T. Influence of drone altitude, image overlap, and optical sensor resolution on multi-view reconstruction of forest images. Remote Sens. 2019, 11, 1252. [Google Scholar] [CrossRef]
- Dandois, J.P.; Olano, M.; Ellis, E.C. Optimal altitude, overlap, and weather conditions for computer vision UAV estimates of forest structure. Remote Sens. 2015, 7, 13895–13920. [Google Scholar] [CrossRef]
- Tu, Y.H.; Phinn, S.; Johansen, K.; Robson, A.; Wu, D. Optimising drone flight planning for measuring horticultural tree crop structure. ISPRS J. Photogramm. Remote Sens. 2020, 160, 83–96. [Google Scholar] [CrossRef]
- Sangjan, W.; McGee, R.J.; Sankaran, S. Optimization of UAV-based imaging and image processing orthomosaic and point cloud approaches for estimating biomass in a forage crop. Remote Sens. 2022, 14, 2396. [Google Scholar] [CrossRef]
- Deluzet, M.; Erudel, T.; Briottet, X.; Sheeren, D.; Fabre, S. Individual tree crown delineation method based on multi-criteria graph using geometric and spectral information: Application to several temperate forest sites. Remote Sens. 2022, 14, 1083. [Google Scholar] [CrossRef]
- Steier, J.; Goebel, M.; Iwaszczuk, D. Is your training data really ground truth? A quality assessment of manual annotation for individual tree crown delineation. Remote Sens. 2024, 16, 2786. [Google Scholar] [CrossRef]
- Bulut, S.; Günlü, A.; Aksoy, H.; Bolat, F.; Sönmez, M.Y. Integration of field measurements with unmanned aerial vehicle to predict forest inventory metrics at tree and stand scales in natural pure Crimean pine forests. Int. J. Remote Sens. 2024, 45, 3872–3896. [Google Scholar] [CrossRef]
- Mielcarek, M.; Kamińska, A.; Stereńczak, K. Digital aerial photogrammetry (DAP) and airborne laser scanning (ALS) as sources of information about tree height: Comparisons of the accuracy of remote Sensing methods for tree height estimation. Remote Sens. 2020, 12, 1808. [Google Scholar] [CrossRef]
- Schaller, C.; Ginzler, C.; van Loon, E.; Moos, C.; Dorren, L. Improving local maxima-based individual tree detection using statistically modelled forest structure information (No. EGU22-11723). In Proceedings of the Copernicus Meetings, Lisbon, Portugal, 19 October 2022. [Google Scholar]
- Gebreslasie, M.T.; Ahmed, F.B.; Van Aardt, J.A.; Blakeway, F. Individual tree detection based on variable and fixed window size local maxima filtering applied to IKONOS imagery for even-aged Eucalyptus plantation forests. Int. J. Remote Sens. 2011, 32, 4141–4154. [Google Scholar] [CrossRef]
- Nagaraj, P.; Muneeswaran, V.; Muthamil Sudar, K.; Hammed, S.; Lokesh, D.L.; Samara Simha Reddy, V. An exemplary template matching technique for counterfeit currency detection. In Proceedings of the Second International Conference on Image Processing and Capsule Networks, Bangkok, Thailand, 27–28 May 2021; Springer: Berlin/Heidelberg, Germany, 2021; pp. 370–378. [Google Scholar]
- Bagheri, R.; Shataee, S.; Erfanifard, Y. Efficiency of template matching algorithm on GeoEye-1 image for detecting wild pistachio trees and determining their spatial pattern (Case study: The Tag-Ahmad-Shahi protected area, southern Khorasan Province, Iran). J. RS GIS Nat. Resour. 2018, 3, 291–304. (In Persian) [Google Scholar]
- Huo, L.; Lindberg, E. Individual tree detection using template matching of multiple rasters derived from multispectral airborne laser scanning data. Int. J. Remote Sens. 2020, 41, 9525–9544. [Google Scholar] [CrossRef]
- Ahmed, S.; Nicholson, C.E.; Muto, P.; Perry, J.J.; Dean, J.R. The use of an unmanned aerial vehicle for tree phenotyping studies. Separations 2021, 8, 160. [Google Scholar] [CrossRef]
- Hui, Z.; Li, N.; Xia, Y.; Cheng, P.; He, Y. Individual tree extraction from UAV LiDAR point clouds based on self-adaptive mean shift segmentation. ISPRS Ann. Photogramm. Remote Sens. Spatial Inf. Sci. 2021, 1, 25–30. [Google Scholar] [CrossRef]
- Ramli, M.F.; Tahar, K.N. Homogeneous tree height derivation from tree crown delineation using seeded region growing (SRG) segmentation. Geospat. Inf. Sci. 2020, 23, 195–208. [Google Scholar] [CrossRef]
- Huang, H.; Li, X.; Chen, C. Individual tree crown detection and delineation from very-high-resolution UAV images based on bias field and marker-controlled watershed segmentation algorithms. IEEE J. Sel. Top. Appl. Earth Obs. Remote Sens. 2018, 11, 2253–2262. [Google Scholar] [CrossRef]
- Majeed, Y.; Zhang, J.; Zhang, X.; Fu, L.; Karkee, M.; Zhang, Q.; Whiting, M.D. Apple tree trunk and branch segmentation for automatic trellis training using convolutional neural network-based semantic segmentation. IFAC-PapersOnLine 2018, 51, 75–80. [Google Scholar] [CrossRef]
- Costa, L.; Nunes, L.; Ampatzidis, Y. A new visible band index (vNDVI) for estimating NDVI values on RGB images utilizing genetic algorithms. Comput. Electron. Agric. 2020, 172, 105334. [Google Scholar] [CrossRef]
- Eng, L.S.; Ismail, R.; Hashim, W.; Baharum, A. The use of VARI, GLI, and VIgreen formulas in detecting vegetation in aerial images. Int. J. Technol. 2019, 10, 1385–1394. [Google Scholar] [CrossRef]
- Su, R.; Du, W.; Shan, Y.; Ying, H.; Rihan, W.; Li, R. Aboveground carbon stock estimation based on backpack LiDAR and UAV multispectral imagery at the forest sample plot scale. Remote Sens. 2024, 16, 3927. [Google Scholar] [CrossRef]
- Dembélé, M.; Zwart, S.J. Evaluation and comparison of satellite-based rainfall products in Burkina Faso, West Africa. Int. J. Remote Sens. 2016, 37, 3995–4014. [Google Scholar] [CrossRef]
- Dietenberger, S.; Mueller, M.M.; Bachmann, F.; Nestler, M.; Ziemer, J.; Metz, F.; Heidenreich, M.G.; Koebsch, F.; Hese, S.; Dubois, C.; et al. Tree stem detection and crown delineation in a structurally diverse deciduous forest combining leaf-on and leaf-off UAV-SfM Data. Remote Sens. 2023, 15, 4366. [Google Scholar] [CrossRef]
- Ardila, J.P.; Bijker, W.; Tolpekin, V.A.; Stein, A. Context-sensitive extraction of tree crown objects in urban areas using VHR satellite images. Int. J. Appl. Earth Obs. Geoinf. 2012, 15, 57–69. [Google Scholar] [CrossRef]
- Park, T.; Lee, J.-Y.; Lee, W.-K.; Kwak, D.-A.; Kwak, H.; Lee, S. Automated individual tree detection and crown delineation using high spatial resolution RGB aerial imagery. Korean J. Remote Sens. 2011, 27, 703–715. [Google Scholar] [CrossRef][Green Version]
- Yu, K.; Hao, Z.; Post, C.J.; Mikhailova, E.A.; Lin, L.; Zhao, G.; Tian, S.; Liu, J. Comparison of classical methods and Mask R-CNN for automatic tree detection and mapping using UAV imagery. Remote Sens. 2022, 14, 295. [Google Scholar] [CrossRef]
- Fromm, M.; Schubert, M.; Castilla, G.; Linke, J.; McDermid, G. Automated detection of conifer seedlings in drone imagery using convolutional neural networks. Remote Sens. 2019, 11, 2585. [Google Scholar] [CrossRef]
- Hao, Z.; Lin, L.; Post, C.J.; Mikhailova, E.A.; Yu, K.; Fang, H.; Liu, J. The co-effect of image resolution and crown size on deep learning for individual tree detection and delineation. Int. J. Digit. Earth 2023, 16, 3753–3771. [Google Scholar] [CrossRef]
- Lassalle, G.; Ferreira, M.P.; de Souza Filho, C.R. Deep learning-based individual tree crown delineation in mangrove forests using very-high-resolution satellite imagery. ISPRS J. Photogramm. Remote Sens. 2022, 186, 220–235. [Google Scholar] [CrossRef]






| Camera Manufacturer | DJI | Format | JPG |
|---|---|---|---|
| Camera model | FC6310 | Color composite | RGB |
| Focal length | 24 mm | Saturation | Normal |
| Dimension | 5472 × 3448 Pixels | Resolution | Normal |
| Volume | 20 Mpixel | Contrast | Normal |
| Shutter speed | 1/160 s | UAV speed | 4 m/s |
| Horizontal resolution | 72 dpi | Tilt sensor | Active |
| Vertical resolution | 72 dpi | GNSS | GPS/GLONASS |
| Flight height | 40 m | GSD | 2 cm |
| Tree Attributes | Minimum | Maximum | Mean | SD | CV(%) |
|---|---|---|---|---|---|
| Height (m) | 0.5 | 13.1 | 6.6 | 2.6 | 38.9 |
| DBH (cm) | 10 | 62 | 37 | 11.2 | 30.3 |
| Crown diameter 1 (m) | 1.0 | 7.8 | 4.3 | 1.1 | 25.4 |
| Crown diameter 2 (m) | 2.3 | 11.6 | 5.8 | 1.4 | 23.4 |
| Crown area (m2) | 0.8 | 49.9 | 15.9 | 7.9 | 49.7 |
| Methodology | Small Trees (m2) | Medium Trees (m2) | Large Trees (m2) | Total Area (m2) | OverID | UnderID | Total Error | Runtime (minutes) |
|---|---|---|---|---|---|---|---|---|
| Manual digitization | 829.7 | 1612.3 | 2799.0 | 5241.1 | Reference | - | ||
| Field measurement | 879.6 | 1547.1 | 2679.1 | 5105.7 | 0.24 | 0.21 | 0.22 | - |
| K-means | 213.8 | 964.4 | 6580.8 | 7759.1 | 0.11 | 0.38 | 0.39 | 24 |
| Mean-shift | 620.2 | 1270.1 | 2882.1 | 4772.5 | 0.19 | 0.28 | 0.23 | 255 |
| SRG_TM | 845.0 | 1603.0 | 2690.5 | 5138.5 | 0.18 | 0.23 | 0.21 | 45 |
| SRG_LM | 779.6 | 1655.3 | 2693.2 | 5128.1 | 0.13 | 0.19 | 0.16 | 45 |
| MCW_TM | 991.1 | 1373.9 | 2375.2 | 4770.2 | 0.15 | 0.20 | 0.18 | 70 |
| MCW_LM | 846.3 | 1585.0 | 2708.1 | 5139.3 | 0.11 | 0.17 | 0.14 | 70 |
| CNN | 803.7 | 1610.1 | 2852.7 | 5266.5 | 0.07 | 0.11 | 0.09 | 640 |
| Methodology | Field Measurements | Manual Digitization | ||||
|---|---|---|---|---|---|---|
| RRMSE (%) | NSE | BS | RRMSE (%) | NSE | BS | |
| K-means | 66.64 | −0.88 | 1.52 | 63.39 | −0.50 | 1.51 |
| Mean-shift | 34.03 | 0.51 | 0.93 | 32.37 | 0.61 | 0.93 |
| SRG_TM | 20.42 | 0.82 | 1.01 | 13.89 | 0.93 | 1.00 |
| SRG_LM | 18.22 | 0.86 | 1.00 | 10.87 | 0.96 | 1.00 |
| MCW_TM | 14.36 | 0.91 | 1.04 | 20.13 | 0.85 | 1.04 |
| MCW_LM | 17.68 | 0.87 | 0.93 | 11.62 | 0.95 | 0.93 |
| CNN | 16.66 | 0.88 | 1.01 | 8.85 | 0.97 | 1.00 |
Disclaimer/Publisher’s Note: The statements, opinions and data contained in all publications are solely those of the individual author(s) and contributor(s) and not of MDPI and/or the editor(s). MDPI and/or the editor(s) disclaim responsibility for any injury to people or property resulting from any ideas, methods, instructions or products referred to in the content. |
© 2025 by the authors. Licensee MDPI, Basel, Switzerland. This article is an open access article distributed under the terms and conditions of the Creative Commons Attribution (CC BY) license (https://creativecommons.org/licenses/by/4.0/).
Share and Cite
Hosingholizade, A.; Erfanifard, Y.; Alavipanah, S.K.; Millan, V.E.G.; Mielcarek, M.; Pirasteh, S.; Stereńczak, K. Assessment of Pine Tree Crown Delineation Algorithms on UAV Data: From K-Means Clustering to CNN Segmentation. Forests 2025, 16, 228. https://doi.org/10.3390/f16020228
Hosingholizade A, Erfanifard Y, Alavipanah SK, Millan VEG, Mielcarek M, Pirasteh S, Stereńczak K. Assessment of Pine Tree Crown Delineation Algorithms on UAV Data: From K-Means Clustering to CNN Segmentation. Forests. 2025; 16(2):228. https://doi.org/10.3390/f16020228
Chicago/Turabian StyleHosingholizade, Ali, Yousef Erfanifard, Seyed Kazem Alavipanah, Virginia Elena Garcia Millan, Miłosz Mielcarek, Saied Pirasteh, and Krzysztof Stereńczak. 2025. "Assessment of Pine Tree Crown Delineation Algorithms on UAV Data: From K-Means Clustering to CNN Segmentation" Forests 16, no. 2: 228. https://doi.org/10.3390/f16020228
APA StyleHosingholizade, A., Erfanifard, Y., Alavipanah, S. K., Millan, V. E. G., Mielcarek, M., Pirasteh, S., & Stereńczak, K. (2025). Assessment of Pine Tree Crown Delineation Algorithms on UAV Data: From K-Means Clustering to CNN Segmentation. Forests, 16(2), 228. https://doi.org/10.3390/f16020228

