Abstract
Leaf functional traits are an important part of plant adaptive strategies and respond differently to different environments, but our understanding of how plants adapt to highly complex urban environments through coordinated changes in leaf functional traits is limited. In order to deeply explore the effects of different urban environments on the leaf functional traits of landscape plants, this study focused on ten common landscape plants in Nanjing, specifically, Euonymus japonicus, Pittosporum tobira, Loropetalum chinense, Photinia × fraseri, Acer palmatum, Euonymus japonicus ‘Aurea-marginatus’, Platanus acerifolia, Camphora officinarum, Ginkgo biloba, and Lagerstroemia indica. The study employed one-way analysis of variance (ANOVA), two-way ANOVA, principal component analysis (PCA), and membership function comprehensive evaluation to explore the responses of green space plants to the environments of urban park green spaces (PAR), urban community green spaces (NL), and urban road green spaces (CR) and to analyze the impact of the trade-off strategies of plants in different green space environments based on leaf functional traits. The results showed that plant leaf functional traits and their adaptive strategies varied in different urban environments in Nanjing. The contents of LDMC, MDA, POD, and CAT in the ten plant species followed the order CR > NL > PAR, and SLA, SOD, SS, and total chlorophyll showed trends of PAR > NL > CR. The microstructures of the leaves of the ten plant species, such as SA, TUE, and TS, were evident in the expression of adaptive adjustments to the different green space environments. The principal component analysis and the comprehensive evaluation of the affiliation function of the indicators of the ten plant species revealed that the adaptability of the ten green space plants to the complex urban environment was as follows: Euonymus japonicus ‘Aurea-marginatus’ > Lagerstroemia indica > Acer palmatum > Photinia × fraseri > Platanus acerifolia> Camphora officinarum > Loropetalum chinense > Ginkgo biloba > Euonymus japonicus > Pittosporum tobira. The results of the study will help to further understand the layout, application, and maintenance of landscape plants in the context of urbanization and provide support for related theories.
1. Introduction
The city is a complex ecosystem that centers around human activities, integrating social, economic, and natural elements. With rapid economic development, the expansion of modern cities, dramatic increases in populations, and increases in the density of buildings and roads, the urban ecological problems elicited by urbanization have become increasingly serious, especially the problem of air pollutants [1,2]. Urban green space is a key component of environmental protection in the process of urbanization and is vital to maintaining urban ecological balance [3]. In the urban environment, people carry out artificial planning of urban land according to the needs of urban development, changing the original land use pattern, forming various types of functional zoning [4], and building green spaces serving the region according to the needs of each functional zone, thus generating different types of green spaces. Due to human interference and management modes in each green space, as well as plant species, differences in green coverage, vegetation structure and other elements lead to differences in the environment within the green space [5], thus affecting the growth strategies of plants in the green space. In road green spaces, due to the high concentration of pollutants caused by the high flow of people and traffic, the growth of garden plants is more affected by pollutants, the leaf area is reduced, the leaf thickness is larger, and stomatal density is lower [6]; in urban park green spaces with a higher level of man-made care, plant diversity is also higher, the microclimate environment and the quality of the soil within the green space are better, and plants have a high leaf area and a low content of dry matter in the leaves [7]. Temperature, humidity, soil quality, and pollutant concentrations in green spaces affect the growth of garden plants in green spaces, while pollutant concentrations in green spaces have a more significant effect on humans [8]. Therefore, for plants growing in cities, the ability to adapt to complex urban environments and provide better ecological benefits is one of the considerations for selecting urban landscape plants. Therefore, it is of great significance to study how urban garden plants adapt to green space environments to guide the selection of plants for urban landscaping.
Plant growth is always affected by the external environment and adapts to environmental changes through morphological, physiological, and biochemical adjustments [9]. As a bridge fostering the relationship between plants and the environment, plant traits are the result of the interactions between plants and the environment [10], reflecting the adaptive responses and ecological strategies of plants toward the environment. Among plant structures, leaves, as the main organ of plant light capture, are the most vulnerable to environmental changes; thus, leaf functional traits can objectively and directly reflect a plant’s adaptive strategy to the environment [10,11]. In recent years, leaf functional traits have been extensively studied in cities to explore plant responses and adaptations to urban climate, soil, and anthropogenic disturbances [12,13]. For example, Gan et al. [14] found a strong correlation between leaf functional traits and plant diversity in urban semi-natural plant communities, where functional richness showed negative correlations with all species diversity indices. Muhammad Ilyas et al. [15] investigated the variability of leaf thickness, leaf area, leaf area-based fluctuating asymmetry, and leaf breadth-based fluctuating asymmetry in plant leaves in an urban environment. It was found that the plasticity of the leaf blade and stomatal traits were significantly affected by the urban environment, whereas fluctuating asymmetry of the leaf area and the plasticity of leaf thickness were not significantly affected, and the plasticity of leaf thickness was not affected by the urban environment and its interaction with plants. The study indicated that leaf functional traits can be affected by environmental factors, and therefore, leaf functional traits can reflect air quality levels. Zhu et al. [16] found that in urban environments, there were significant positive correlations between the chlorophyll content of plants and the specific leaf area, the dry matter content of leaves, and the density of leaf tissues. Esperon-Rodriguez et al. [17] found that in the environment of green spaces on urban roads, the plasticity of leaf functional traits related to drought resistance was evident in urban road green space environments.
Although there have been a number of studies focusing on differences in plant leaf functional traits, most of them have focused on atmospheric particulate matter and have been conducted in experimental nurseries or artificially controlled simulated environments, thus lacking the realism to accurately reflect the characteristics of urban environments. Some researchers have focused on changes in plant functional trait responses to the environment under urban-rural gradients [18,19], but the mechanisms of plant responses to different environments within cities under urbanization are not clear. The study of plant leaf functional traits under different environmental gradients can better reflect the response and adaptation mechanisms of individual plants and ecosystems to environmental changes and can provide relevant references for monitoring changes in urban environments and predicting the impacts of global climate change on ecosystems [20,21].
In this study, ten common garden plants in three types of green space environments (comprehensive park green space, public facility green space, and urban traffic busy spots) in Nanjing were selected. Changes in the physiological and structural traits of the ten plants in the three green space types were determined. The objectives of this study were to (1) investigate the effects of different green space environments on leaf functional traits, (2) explore the trade-off strategies of the leaf functional traits of the ten landscape plant species in different green space environments, and (3) compare the adaptability of the different landscape plants to complex urban environments.
2. Materials and Methods
2.1. Study Area
The study area is located in Nanjing, a city in eastern China situated in the lower reaches of the Yangtze River and serving as the capital of Jiangsu Province. It lies at latitude 29°57′ N–34°06′ N and longitude 117°09′ E–119°59′ E [22]. The topography is predominantly flat, with an average elevation of 20–30 m, and features a diverse landscape that includes hills, varied land use, and vegetation cover [23]. Nanjing has a humid subtropical climate with distinct seasons characterized by cold and dry winters, hot and rainy summers, relatively long winter and summer seasons, and short spring and autumn periods. The annual temperature range is significant. In 2023, the average temperature in Nanjing was 17.1 °C, the annual maximum temperature was 37 °C, and the minimum temperature was −11 °C. The soil types in Nanjing mainly include zonal soils and cultivated soils. In the northern and central regions of Nanjing, the predominant soil type is yellow–brown soil.
According to the Nanjing Statistical Yearbook 2022, the built-up urban area of Nanjing covers an area of 885.73 square kilometers, with a permanent urban population of 9.4911 million, and the green coverage rate of the built-up area is 44.96%. Based on the characteristics of urban green space distributions, the following were considered: (1) green space is the main type of green space in Nanjing; (2) green space is closely related to people’s lives; and (3) each type of green space has a distribution of ten species of plants and can satisfy the need to include three replications. Considering the above conditions, three types of typical urban green spaces were selected for the study: urban park green spaces (Gulin Park, PAR), urban community green spaces (Nanjing Forestry University Campus, NL), and urban road green spaces (Xuanwu Avenue, CR) (Figure 1 and Table 1). The natural vegetation in Nanjing is classified as evergreen–deciduous broadleaf mixed forest, and the city is rich in plant resources [24]. In urban landscaping, trees and shrubs are the primary vegetation used for greening.
Figure 1.
Overview of the study areas.
Table 1.
Descriptions and basic conditions of each type of urban green space.
2.2. Research Methods
2.2.1. Experimental Protocol
Nanjing is rich in plant resources. Through the field study of the three green spaces, ten species of trees and shrubs of similar age that were well grown and are common in the typical greening mix of Nanjing were selected for the three green spaces (Table 2). The following factors were considered for plant selection: (1) distribution: the ten plants were present in all three green space types and were widely distributed in each sampled green space, which could meet the sampling requirements; (2) representativeness: the selected plants were common trees and shrubs in the urban green space portfolio of Nanjing, with good growth conditions; (3) life type: the selected plants included trees and shrubs; and (4) growing conditions: the same plants had similar tree heights, diameters at breast height, and crown widths in the different green spaces. The ages of the trees were similar to ensure that the trees were fully influenced by the green space environment. In addition, the soil of the sampled green spaces is yellow–brown loam, and most of the green space soil is backfilled guest soil with a high degree of compactness and good soil uniformity to ensure the relative consistency of the growth conditions and management of the tree species.
Table 2.
The ten experimental plant species in Nanjing.
2.2.2. Sample Collection
This experiment was conducted in mid-July 2023 to reduce errors due to daily variation in specific leaf areas between morning and afternoon; the sampling time was 8:00–11:00 a.m. To ensure the representativeness of the samples, leaves were randomly selected from the east, south, west, and north directions of each tree species, specifically, mature leaves from the outermost layer of the lower crown of tall trees at approximately 3 m above ground level, which were fully exposed to sunlight and free from pests and diseases. For each tree species, three trees were selected, and 40 leaves were collected from each tree. For small trees and shrubs, mature, apparently disease-free leaves were collected from the sun-exposed side at a height of 0.5 to 1.5 m above ground level. Again, three trees were selected for each species, and 40 leaves were collected from each tree. To prevent leaf dehydration, the leaves were immediately placed in pre-labeled zip-lock bags after collection and stored at −80 °C for later use.
2.2.3. Measurement of Plant Leaf Traits
Nine leaf functional traits, namely, the specific leaf area (SLA), leaf dry matter content (LDMC), total chlorophyll, chlorophyll a/b ratio, malondialdehyde content (MDA), soluble sugar content (SS), and superoxide dismutase (SOD), peroxidase (POD), and catalase activities (CAT), were selected as indicators, which are crucial for plant growth and development and are among plants’ most prominent characteristics. These traits are very sensitive to environmental changes, especially in urban environments. Representative leaves were selected for analysis. Leaf area (LA) was measured using the Wanshen LA-S plant image analyzer (Hangzhou Wanshen Inspection Technology Co., Ltd., Hangzhou, China). Fresh weight was determined using an electronic balance with a precision of 0.0001 g. The leaves were fully submerged in water, and after 24 h, the leaves were removed, quickly dried with absorbent paper, and weighed again to obtain the leaf fresh weight at full saturation (LFW). The leaves were subsequently dried in an oven at 80 °C for 24 h to obtain the leaf dry weight (LDW). Specific leaf area and leaf dry matter content were calculated using the following equations:
SLA = LA/LDW
LDMC = LDW/LFW
Chlorophyll a, chlorophyll b, and total chlorophyll contents were measured using the ethanol extraction colorimetric method [25]. The soluble sugar content was determined using the anthrone-sulfuric acid colorimetric method. Superoxide dismutase enzyme activity was measured using the nitroblue tetrazolium method, peroxidase enzyme activity using the guaiacol method, and catalase enzyme activity using the hydrogen peroxide method [26]. The malondialdehyde content was measured using the thiobarbituric acid method [27]. Three replications were performed for the physiological indices of each tree species. In this study, the chlorophyll content, malondialdehyde content, SOD activity, POD activity, and CAT activity were calculated using leaf fresh weight (FW), and the soluble sugar content was calculated using leaf dry weight (DW).
The Quanta 200 (FEI corporation) environmental scanning electron microscope was used to observe leaf characteristics, including surface, cross-section, and stomatal microstructures, and images were obtained.
2.3. Data Analysis
Basic data processing was performed using Excel 2019. Correlation analysis and one-way and two-way ANOVAs were conducted using SPSS 27 to explore differences in the leaf traits of the ten plant species in different urban green space environments. The data used were the mean values of three replicates with standard deviations. In addition, the error is standard deviation.
3. Results and Analysis
3.1. Changes in Leaf Morphology and Physiological Traits in Different Urban Green Space Types
For SLA, trends in the SLAs of different tree species varied across green space types (Figure 2). Among the shrubs, Euonymus japonicus and Photinia × fraseri exhibited significant decreases in SLAs at CR, reaching only 43.12% and 44.08% at PAR, respectively, while Pittosporum tobira showed the lowest SLA at NL, which was significantly lower than those in the other two regions. In comparison with those in PAR, the SLAs of Platanus acerifolia and Camphora officinarum among the trees showed significant changes at CR but in opposite directions, as follows: the SLA of Platanus acerifolia significantly decreased by 71.86% at CR, whereas the SLA of Camphora officinarum increased significantly by 45.02%. The remaining tree species did not show significant changes in SLA across green space types.
Figure 2.
Changes in the SLAs of the ten green space plant species in different green space environments. Notes: PAR: urban park green spaces (Gulin Park); NL: urban community green spaces (Nanjing Forestry University); CR: urban road green spaces (Xuanwu Avenue). Different lowercase letters indicate significant differences at the 0.05 probability level within the same tree species across different pollution areas.
For LDMC, the overall trend for all tree species was an increase compared to that in PAR (Figure 3). Euonymus japonicus showed a significant increase in LDMC at CR, with a rise of 21.92%; Platanus acerifolia had the highest LDMC increase among the ten species at CR, with an increase of 109.64%; Camphora officinarum exhibited a trend similar to Euonymus japonicus, with the LDMC at CR significantly increasing by 67.04% compared to that at PAR; Ginkgo biloba showed a slight, non-significant decrease of 1.11% at NL but a significant increase of 38.33% at CR compared to that at PAR. The remaining tree species did not show significant changes in SLA across green space types. However, the LDMC in NL did not show significant differences from that in PAR for the ten species.
Figure 3.
Changes in the LDMCs of the ten green space plants species in different green space environments. Notes: urban park green spaces (Gulin Park); NL: urban community green spaces (Nanjing Forestry University); CR: urban road green spaces (Xuanwu Avenue). Different lowercase letters indicate significant differences at the 0.05 probability level within the same tree species across different pollution areas.
Two-way ANOVA indicated that the differences in SLA and LDMC among plants in green spaces with varying green space types were significant, and the differences in SLA and LDMC among different tree species were also highly significant. Additionally, the interaction effects between pollution levels and tree species were also highly significant.
3.2. Changes in Leaf Physiological Traits in Different Urban Green Space Types
3.2.1. Changes in the Chlorophyll Contents of Various Landscape Plants in Different Study Areas
The trends in chlorophyll (a + b) contents varied among the ten species (Figure 4). Euonymus japonicus and Acer palmatum showed that the chlorophyll contents in PAR were higher than those in NL and CR, with significant decreases at CR compared to PAR by 37.53% and 44.57%, respectively. Photinia × fraseri had significantly lower chlorophyll contents at NL and CR than at PAR, with the lowest value at NL. In contrast, Euonymus japonicus ‘Aurea-marginatus’ exhibited an opposite trend to Photinia × fraseri, with significantly higher chlorophyll contents at NL and CR than at PAR, increasing by 62.16% and 58.56%, respectively. The chlorophyll a/b ratio generally showed an upward trend across the ten species (Figure 5). Pittosporum tobira, Loropetalum chinense, Camphora officinarum, Lagerstroemia indica and Photinia × fraseri all displayed significant increases in chlorophyll a/b ratios at CR compared to PAR by 85.14%, 81.59%, 26.59%, 74.88% and 58.05% respectively.
Figure 4.
Changes in the chlorophyll (a + b) contents of the ten green space plants species in different green space environments. Notes: PAR: urban park green spaces (Gulin Park); NL: urban community green spaces (Nanjing Forestry University); CR: urban road green spaces (Xuanwu Avenue). Different lowercase letters indicate significant differences at the 0.05 probability level within the same tree species across different pollution areas.
Figure 5.
Changes in the chlorophyll a/b contents of the ten green space plants species in different green space environments. Notes: PAR: urban park green spaces (Gulin Park); NL: urban community green spaces (Nanjing Forestry University); CR: urban road green spaces (Xuanwu Avenue). Different lowercase letters indicate significant differences at the 0.05 probability level within the same tree species across different pollution areas.
Two-way ANOVA revealed that the differences in chlorophyll (a + b) contents and chlorophyll a/b ratios among the plants in green spaces with different green space types were highly significant, as were the differences among the different tree species. However, the interaction effects between pollution levels and tree species were not significant.
3.2.2. MDA and SS Contents of Various Landscape Plants in Different Study Areas
The MDA contents in the ten plant species exhibited varying trends in different green space types (Figure 6). In the three regions, there were significant differences in Euonymus japonicus, Euonymus japonicus ‘Aurea-marginatus’, and Ginkgo biloba. Euonymus japonicus exhibited a significant increase in MDA at NL, with an increase of 155.69% compared to that at PAR, while at CR, it decreased by 34.43% compared to that at NL. In contrast, Euonymus japonicus ‘Aurea-marginatus’ had significantly lower MDA at NL than at the other two regions, with decreases of 53.87% and 65.68% compared to those at PAR and CR, respectively. Ginkgo biloba showed MDA contents in the order CR > NL > PAR in MDA, with CR showing increases of 291.32% and 49.94% compared to PAR and NL, respectively. Pittosporum tobira and Photinia × fraseri showed significant increases in MDA at NL and CR compared to PAR, but there was no significant difference between NL and CR. Loropetalum chinense showed a significant increase in MDA at CR compared to NL and PAR, but there was no significant difference between NL and PAR. Platanus acerifolia showed a significant increase in MDA at CR compared to NL.
Figure 6.
Changes in the MDA contents of the ten green space plants species in different green space environments. Notes: PAR: urban park green spaces (Gulin Park); NL: urban community green spaces (Nanjing Forestry University); CR: urban road green spaces (Xuanwu Avenue). Different lowercase letters indicate significant differences at the 0.05 probability level within the same tree species across different pollution areas.
For SS contents, the ten plant species displayed different trends in different green space types (Figure 7). Notably, only Euonymus japonicus exhibited a significant decrease in SS content, with reductions of 25% and 32.57% at NL and CR, respectively, compared to PAR, but the difference between NL and CR was not significant. Other tree species did not vary significantly across the three green space types.
Figure 7.
Changes in the SS contents of the ten green space plants species in different green space environments. Notes: PAR: urban park green spaces (Gulin Park); NL: urban community green spaces (Nanjing Forestry University); CR: urban road green spaces (Xuanwu Avenue). Different lowercase letters indicate significant differences at the 0.05 probability level within the same tree species across different pollution areas.
Two-way ANOVA showed that the differences in MDA and SS contents between green spaces in different green space types were highly significant, with highly significant differences in MDA contents among different species, and significant differences in SS contents among different species. However, the interaction effects were not significant.
3.2.3. Antioxidant Enzyme Activity of Various Landscape Plants in Different Study Areas
Overall, the POD activities in the ten plant species varied in different green space types (Figure 8). Among them, Euonymus japonicus, Pittosporum tobira, Acer palmatum, and Ginkgo biloba exhibited significant increases in POD activity with increasing pollution levels, with increases of 51.27%, 56.51%, 66.90%, and 70.92% at NL compared to PAR and increases of 99.4%, 118.38%, 110.94%, and 114.31% at CR compared to PAR. Although Platanus acerifolia also showed an increase in POD activity of different green space types it was only significantly different at CR compared to the other two regions, with increases of 37.08% and 123.47% compared to those in PAR and NL, respectively. The POD activity for other tree species showed no significant differences across the three types of green spaces.
Figure 8.
Changes in the POD activities of the ten green space plants species in different green space environments. Notes: PAR: urban park green spaces (Gulin Park); NL: urban community green spaces (Nanjing Forestry University); CR: urban road green spaces (Xuanwu Avenue). Different lowercase letters indicate significant differences at the 0.05 probability level within the same tree species across different pollution areas.
In general, SOD activity in PAR was significantly higher than those in the other two regions, showing a trend of PAR > NL > CR (Figure 9). Euonymus japonicus, Acer palmatum, Euonymus japonicus ‘Aurea-marginatus’, Platanus acerifolia, and Ginkgo biloba showed significant decreases at NL and CR compared to PAR. The SOD activity of Euonymus japonicus decreased significantly in NL and CR compared with PAR by 17.90% and 20.29%, respectively. The SOD activity values of Pittosporum tobira and Camphora officinarum reached their lowest points at NL, which were significantly lower than those at PAR, with reductions of 10.11% and 40.37%, respectively. However, Lagerstroemia indica showed a completely opposite trend compared to the other nine species, with SOD activity increasing in different green space types, reaching its maximum value at CR, which was significantly higher than that at PAR, with an increase of 53.67%. Loropetalum chinense reached its maximum value at PAR, which was significantly higher than that at CR. Changes in Photinia × fraseri were not significant. For CAT activity, PAR showed higher values than the other two regions across all ten species (Figure 10). Loropetalum chinense, Photinia × fraseri, Euonymus japonicus ‘Aurea-marginatus’, Platanus acerifolia, Camphora officinarum, and Ginkgo biloba displayed a trend of PAR > CR > NL. There were significant differences between NL, CR and PAR, but no significant differences between NL and CR. Notably, Ginkgo biloba showed the largest decrease in CAT activity at CR compared to PAR, with a reduction of 63.86%. Acer palmatum showed a gradual decrease in CAT activity, with significant reductions of 51.19% and 62.93% at NL and CR, respectively, compared to that at PAR, although the difference between NL and CR was not significant. Changes in other species were not significant.
Figure 9.
Changes in the SOD activities of the ten green space plants species in different green space environments. Notes: PAR: urban park green spaces (Gulin Park); NL: urban community green spaces (Nanjing Forestry University); CR: urban road green spaces (Xuanwu Avenue). Different lowercase letters indicate significant differences at the 0.05 probability level within the same tree species across different pollution areas.
Figure 10.
Changes in the CAT activities of the ten green space plants species in different green space environments. Notes: PAR: urban park green spaces (Gulin Park); NL: urban community green spaces (Nanjing Forestry University); CR: urban road green spaces (Xuanwu Avenue). Different lowercase letters indicate significant differences at the 0.05 probability level within the same tree species across different pollution areas.
Two-way ANOVA indicated that the differences in POD, SOD, and CAT activities between green spaces in different green space types were highly significant. Significant differences in POD, SOD, and CAT activities were also observed among different species. However, the interaction effects were not significant.
3.3. Changes in Leaf Functional Traits in Different Urban Green Space Environments
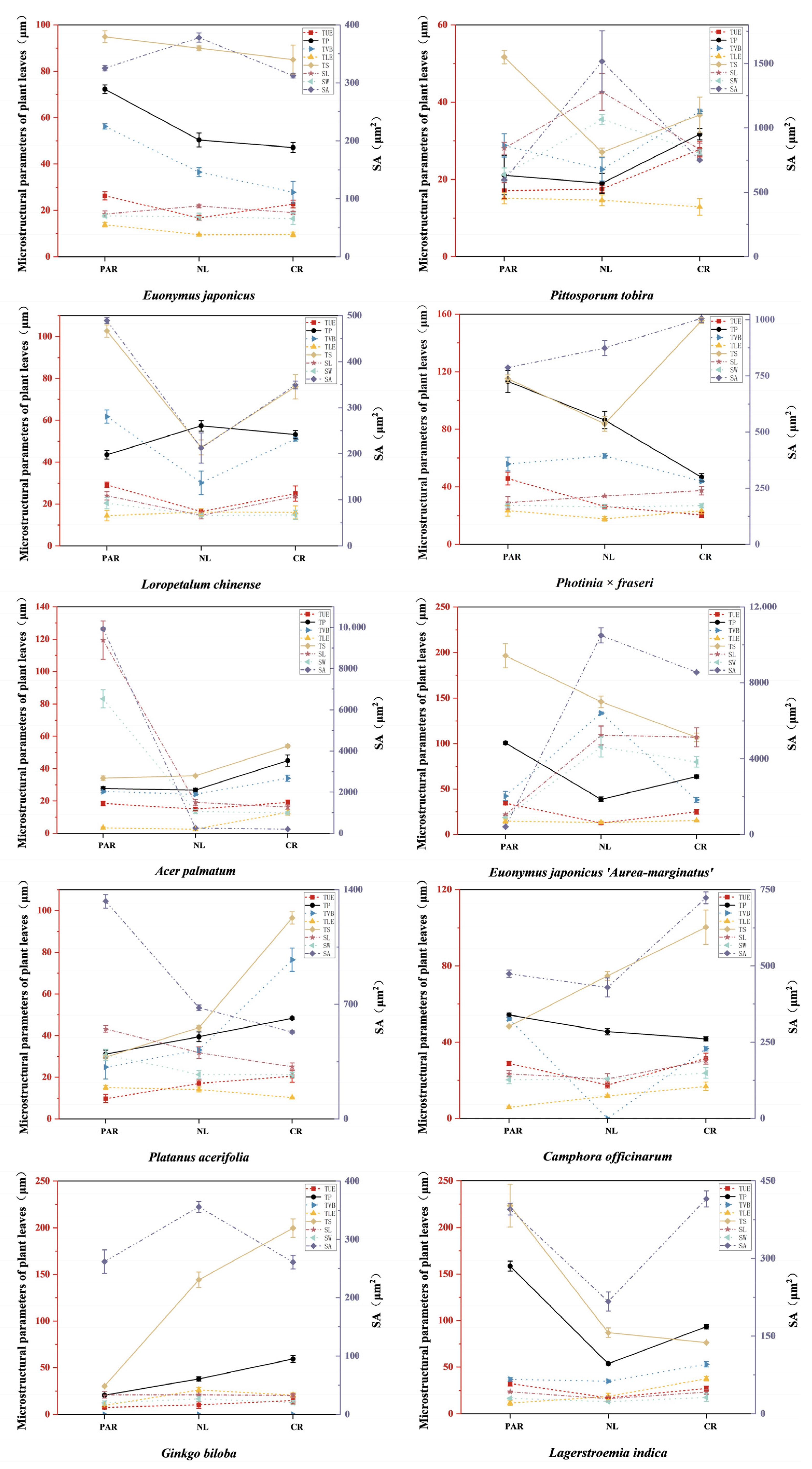
The leaf cross-sections, leaf surfaces, and stomata of the ten plant species from the three regions were examined using SEM. The SEM results (Figure 11, Figure 12, Figure 13, Figure 14, Figure 15 and Figure 16) showed that in different green space environments, the thickness of the upper epidermis (TUE), palisade tissue thickness (TP), and thickness of spongy tissues (TS) of the leaves in the ten plant species all changed. Euonymus japonicus exhibited in addition to TUE, TP, vascular bundle thickness (TVB) and TS, there were significant differences in structural parameters in different green space environments, but no significant differences in other structural parameters. TP, TVB and TS decreased significantly in the three regions, and decreased 34.81%, 50.48% and 10.39% in CR compared with PAR, respectively. Except TS and stomatal width (SW), there were significant differences in the structure parameters of Pittosporum tobira in different green areas. TUE was higher than NL and PAR in CR and increased 62.72% over PAR in CR. Loropetalum chinense showed the contents of TUE, TVB, TS and stomatal length (SA)were significant in different green space environments TP, TLE and stomatal length (SL) and SW had no significant difference. TP, TS and SA of Photinia × fraseri were significantly different in different green space environments. Among them, SA showed a trend of CR > NL > PAR, with an increase of 27.89% compared with PAR in CR. TUE, TVB, TLE, SL and SW had no significant difference among the three types of green space. There was no significant difference in the structural parameters of Acer palmatum in the three greenbelt environments. There were significant differences in TLE, TS, SL, SW and SA in PAR and NL, but no significant differences in NL and CR. TS increased by 58.54% in CR compared with PAR, while SA decreased significantly in CR compared with PAR. Except for TUE and TLE, all other structural parameters in Euonymus japonicus ‘Aurea-marginatus’ changed significantly. The results of TUE, TP and TS of Platanus acerifolia increased gradually with CR > NL > PAR, while SA decreased gradually to NL and CR and decreased 60.09% compared with PAR. Camphora officinarum exhibited except SL and SW, other structural parameters of camphor were significantly different in different green space environments. TUE initially decreased and then increased, while TLE and TS gradually increased, and TP gradually decreased, with the number of open stomata gradually reducing. The structural parameters of Ginkgo biloba except TP, TS and TLE did not change significantly in different green environments. TP and TS showed the trend of CR > NL > PAR. Except TUE, TP and TLE, there was no significant difference in other structural parameters of Lagerstroemia indica in different green space environments. TUE and TP were significantly higher in PAR than NL. The difference is that TLE is significantly higher in CR than PAR.
Figure 11.
Comparison of the microstructural parameters of the ten plant species across three regions. Notes: PAR: urban park green spaces (Gulin Park); NL: urban community green spaces (Nanjing Forestry University); CR: urban road green spaces (Xuanwu Avenue); TUE: the thickness of the upper epidermis; TP: the thickness of palisade tissue; TVB: vascular bundle thickness; TLE: the thickness of the lower epidermis; TS: the thickness of spongy tissue; SL: stomatal length; SW: stomatal width; SA: stomatal area.
Figure 12.
Scanning electron micrographs of the leaf surface microstructures of Euonymus japonicus and Pittosporum tobira. Notes: (A) Transverse section of leaf. UEP: upper epidermis; PT: palisade tissue; SPT: spongy tissue; VB: vascular bundle; LEP: lower epidermis. (B) Upper leaf surface. UEC: upper epidermal cells; TR: trichomes. (C) Lower leaf surface. TR: trichomes; ST: stomata; LEC: lower epidermal cells. a: Euonymus japonicus; b: Pittosporum tobira; 1: Gulin Park (PAR); 2: Nanjing Forestry University (NL); 3: Xuanwu Avenue (CR).
Figure 13.
Scanning electron micrographs of the leaf surface microstructures of Loropetalum chinense and Photinia × fraseri. Notes: (A) Transverse section of leaf. UEP: upper epidermis; PT: palisade tissue; SPT: spongy tissue; VB: vascular bundle; LEP: lower epidermis. (B) Upper leaf surface. UEC: upper epidermal cells; TR: trichomes. (C) Lower leaf surface. TR: trichomes; ST: stomata; LEC: lower epidermal cells. c: Loropetalum chinense; d: Photinia × fraseri; 1: Gulin Park (PAR); 2: Nanjing Forestry University (NL); 3: Xuanwu Avenue (CR).
Figure 14.
Scanning electron micrographs of the leaf surface microstructures of Acer palmatum and Euonymus japonicus’ Aurea-marginatus’. Notes: (A) Transverse section of leaf. UEP: upper epidermis; PT: palisade tissue; SPT: spongy tissue; VB: vascular bundle; LEP: lower epidermis. (B) Upper leaf surface. UEC: upper epidermal cells; TR: trichomes. (C) Lower leaf surface. TR: trichomes; ST: stomata; LEC: lower epidermal cells. e: Acer palmatum; f: Euonymus japonicus ‘Aurea-marginatus’; 1: Gulin Park (PAR); 2: Nanjing Forestry University (NL); 3: Xuanwu Avenue (CR).
Figure 15.
Scanning electron micrographs of the leaf surface microstructures of Platanus acerifolia and Camphora officinarum. Notes: (A) Transverse section of leaf. UEP: upper epidermis; PT: palisade tissue; SPT: spongy tissue; VB: vascular bundle; LEP: lower epidermis. (B) Upper leaf surface. UEC: upper epidermal cells; TR: trichomes. (C) Lower leaf surface. TR: trichomes; ST: stomata; LEC: lower epidermal cells. g: Platanus acerifolia; h: Camphora officinarum; 1: Gulin Park (PAR); 2: Nanjing Forestry University (NL); 3: Xuanwu Avenue (CR).
Figure 16.
Scanning electron micrographs of the leaf surface microstructures of Ginkgo biloba and Lagerstroemia indica. Notes: (A) Transverse section of leaf. UEP: upper epidermis; PT: palisade tissue; SPT: spongy tissue; VB: vascular bundle; LEP: lower epidermis. (B) Upper leaf surface. UEC: upper epidermal cells; TR: trichomes. (C) Lower leaf surface. TR: trichomes; ST: stomata; LEC: lower epidermal cells. i: Ginkgo biloba; j: Lagerstroemia indica; 1: Gulin Park (PAR); 2: Nanjing Forestry University (NL); 3: Xuanwu Avenue (CR).
3.4. Comprehensive Evaluation of the Adaptability of Ten Plant Species to Different Urban Green Space Types
In order to clarify the relationships between different urban green space environments and the physiological and structural characteristics of plants, principal component analysis (PCA) was performed on the correlation indices of each species in different urban green space environments. The eigenvalues are the eigenvalues corresponding to the eigenvectors of the covariance matrix or correlation matrix, and the magnitude of the eigenvalues can determine which principal components to retain. The comprehensive evaluation of each trait was carried out by principal component analysis, and the principal components were determined by the principle that the eigenvalues were greater than 1. Principal component analysis of 17 indicators for the ten plant species (Table 3 and Table 4) revealed that the eigenvalues of the first 6 principal components were greater than 1, with a cumulative contribution rate of 72.60%. These six principal components can replace the original variables and reflect most of the information related to adaptability in the different green space types. The first principal component had an eigenvalue of 3.49 and a contribution rate of 20.53%, with stomatal width as the largest eigenvector. The second principal component had an eigenvalue of 2.85 and a contribution rate of 16.75%, with TP as the largest eigenvector. The third principal component had an eigenvalue of 2.18 and a contribution rate of 12.84%, with SOD as the largest eigenvector. The fourth principal component had an eigenvalue of 1.46 and a contribution rate of 8.57%, with CAT as the largest eigenvector. The fifth principal component had an eigenvalue of 1.26 and a contribution rate of 7.43%, with SS content as the largest eigenvector. The sixth principal component had an eigenvalue of 1.11 and a contribution rate of 6.50%, with LDMC as the largest eigenvector. Among the 17 indicators, SW, TP, and SOD basically ranked in the top 3 in terms of the percentage of their influence on plant leaf functional traits, with influence contribution rates above 50%, indicating that they had a greater influence on plant leaf functional traits.
Table 3.
Eigenvalues of the correlation matrix.
Table 4.
Principal components loading matrix.
The affiliation function method has outstanding advantages in the comprehensive evaluation of multiple indicators; thus, through the affiliation function method and the weights of each principal component used to calculate the comprehensive evaluation values of different tree species, the sizes of values can intuitively reflect the performance of different tree species. In this study, the D-values of the 10 plants in the experiment were obtained by calculating the value of the affiliation function and the weights, where the D-values were the comprehensive adaptability scores of the 10 plants in different green space environments using the principal component analysis, and based on the D-values, the 10 plants were ranked in terms of their adaptability to different green space environments. In different green space types, Euonymus japonicus ‘Aurea-marginatus’ had the highest D-value (D = 0.59), indicating optimal adaptability, followed by Lagerstroemia indica and Acer palmatum. Conversely, Pittosporum tobira, Euonymus japonicus, and Ginkgo biloba had the lowest D-values, indicating the lowest adaptability (Table 5). In summary, the adaptability of the ten plant species to different green space types was ranked as follows: Euonymus japonicus ‘Aurea-marginatus’ > Lagerstroemia indica > Acer palmatum > Photinia × fraseri > Platanus acerifolia > Camphora officinarum > Loropetalum chinense > Ginkgo biloba > Euonymus japonicus > Pittosporum tobira.
Table 5.
Ranking of the adaptability scores of the ten plant species to different green space environments.
4. Discussion
4.1. Effects of Different Green Space Types on Leaf Morphology Traits
Different growth environments affect plant morphological development and influence plant function directly and indirectly through leaf traits [28]. Leaf functional traits are the result of the adaptive evolution of plant growth to spatial heterogeneity or environmental changes [29]. It has been found that leaf structure will be strongly shaped in different environments. Atmospheric pollutants can affect leaf traits, resulting in a decrease in SLA [30]. This study showed an overall trend of PAR > NL > CR in the SLA values of Euonymus japonicus, Acer palmatum, Euonymus japonicus ‘Aurea-marginatus’, and Platanus acerifolia. Under adverse conditions, plants may allocate more resources or energy to building protective tissues, thereby enhancing their resistance [31]. LDMC is an important feature in comparative plant ecology because of its role in many key aspects of plant growth, plant survival, and resource use [32]. In harsh environments where plants tend to invest more in LDMC, plant productivity may be reduced, while cold or drought tolerance may increase with increased LDMC [33]. This study showed that ten greenfield plants had a trend of CR > NL > PAR in terms of LDMC, indicating that plants enhanced their nutrient retention capacity to withstand the uncertain risks of adverse environments under the stress of highly polluted environments. The density and depression of plants were higher in CR than in both PAR and NL, and the plants shaded more from each other, received less light, and had better soil environments than those of CR. Considering the combination of photosynthesis and the soil environment, plants in the PAR and NL environments strove for more light resources to maximize photosynthetic benefits by increasing specific leaf area and decreasing leaf dry matter content to ensure photosynthesis and nutrient utilization. Similar to the findings of Perrin et al. [34], there were observed increases in leaf length, width, and area as the level of shade increased.
4.2. Effects of Different Green Space Types on Leaf Physiological Traits
Chlorophyll content is a vital physiological indicator that reflects the photosynthetic capacity of plants and the extent to which they are subjected to stressful environments [35]. When subjected to pollution stress, the chloroplast structure is destroyed, and the chlorophyll content decreases, which in turn affects the normal photosynthesis of plant leaves [36]. The chlorophyll contents of trees under air pollution stress are significantly reduced, and the degree of the reduction is positively correlated with the concentration of the gaseous pollutants and the duration of pollution; particularly after injury symptoms are visible on the leaves, the chlorophyll content will be greatly reduced, and the magnitude of the decline is closely related to a plant’s own pollution tolerance ability [37]. This study showed that the chlorophyll (a + b) contents in Euonymus japonicus, Photinia × fraseri, and Acer palmatum significantly decreased across the three regions with different contamination concentrations. Under stress conditions, the chlorophyll content typically decreases, and plants that can maintain chlorophyll levels under polluted conditions are considered tolerant [38]. In this study, the chlorophyll a/b ratios of the ten plant species showed a trend of CR > NL > PAR, which differed from the results of previous studies. This is mainly attributed to the fact that chlorophyll b is more sensitive to pollution and decomposes more readily than chlorophyll a under pollutant damage. In addition, it has been shown that chlorophyll b, which has a secondary protective role in photosynthesis, is more readily broken down than chlorophyll a, which has a primary role, in order to reduce the content of the light-trapping pigment–protein complex and lower the capture of light energy by photosystem II, resulting in an increase in chlorophyll a/b values [39].
Plants’ defense mechanisms include the production of antioxidant enzymes, which help mitigate stress by reducing reactive oxygen species (ROS) to harmless levels [40]. SOD catalyzes the dismutation of superoxide radicals into oxygen and hydrogen peroxide. POD activity is relatively high, and CAT catalyzes the decomposition of hydrogen peroxide into oxygen and water. In this study, the SOD activities of eight plants, including Euonymus japonicus and Loropetalum chinense, were significantly lower in CR than in PAR, which is consistent with the findings of Darrall et al. [41]. POD activity was higher in NL and CR than in PAR, indicating that the plants had adapted to the polluted environment, which aligns with Xiao et al.’s [42] findings. Previous evidence has shown that lower levels of pollution promote CAT activity, while higher pollution levels inhibit it [43]. In this study, CAT activity generally followed the trend CR < NL < PAR, which is consistent with our findings. MDA content reflects the extent of damage to plant cell membranes [44]; a higher MDA content indicates more severe plant injury and a harsher environment. Compared to those in PAR, nine of the ten plants, excluding Euonymus japonicus, had higher MDA levels in CR, suggesting that environmental stress caused cell membrane damage, leading to increased MDA contents. Euonymus japonicus reached its maximum MDA level in NL, possibly because it approached its threshold, after which it declined. High concentrations of air pollution can inhibit photosynthesis and damage plant organelles, leading to a decrease in SS content [41]. In this study, the overall SS contents of the ten plants showed a trend of PAR > NL > CR, which is consistent with previous studies, although the changes in most plants were not significant.
4.3. Effects of Different Green Space Types on Leaf Functional Traits
In various ecological environments, plants acclimatize to external environmental changes by adjusting the physiological and morphological structural characteristics of mesophyll tissue and epidermal tissue. This is an evolutionary adaptation to specific habitats [45]. Plants adjust their internal structure to cope with adverse conditions, and this adjustment process can reflect a plant’s ability to acclimatize to environmental changes [31]. In this study, the anatomical structures of the leaves of the ten plant species showed differences, and the leaf anatomy of the same species varied across different regions. The TUE, TP, and TS of Platanus acerifolia showed a trend of CR > NL > PAR, spongy tissues were loosely arranged, and SA was reduced in NL and PAR compared with PAR. The Pittosporum tobira TUE was higher in CR than in NL and PAR, TP and TS decreased first and then increased, and SA was significantly different and close to completely open. This indicates that plants undergo a series of changes in their leaves to acclimatize to environments [46].
Plant stomata regulate the ionic export mechanisms of leaf gases, thus providing an excellent target for studying plant-atmosphere relationships in air-polluted regions [47]. Stomata are highly sensitive to environmental conditions. The guard cells of stomata are highly differentiated cells with complex signal transduction mechanisms, enabling them to respond sensitively to various biotic and abiotic stimuli. These stimuli are converted into intracellular signals that control the stomatal aperture, thereby regulating a plant’s physiological state [48]. For some species, environmental factors may influence the morphology and structure of plant leaves more than genetic factors. When growing under poor conditions, the length and width of stomata are reduced to minimize leaf damage from adverse environmental factors and improve adaptation to the environment [49]. Reductions in stomatal width and length, such as in polluted environments, can reduce or prevent the entry of harmful air pollutants into plants [50]. Researchers have found that the stomatal density of plant leaves increases as the concentration of pollution increases or as the growing environment deteriorates [51]. The increase in stomatal density can reduce the adverse effects of reduced stomatal length and width on the physiological activities of plant leaves, thus improving the ability to adapt to the external environment [49]. In this study, the SAs of Acer palmatum, Platanus acerifolia, and Ginkgo biloba were lower in NL and PAR than in CR, suggesting that plants reduce stomatal size to minimize water loss and limit pollutant intrusion in polluted environments [52]. Previous studies have found that plants growing in polluted areas have thicker palisade tissue and thinner spongy tissue, which contribute to resistance against air pollutants [53]. In this study, Platanus acerifolia and Ginkgo biloba exhibited gradual thickening of palisade tissue and thinning of spongy tissue with increasing pollution levels, which is consistent with the results of previous studies, indicating that these two species acclimatize to adverse environments by altering the thickness of their mesophyll cells. In contrast, the TP and TS of Euonymus japonicus showed the opposite trend, possibly due to the influence of stomatal density or other factors, which requires further investigation. It can be seen that plants can adapt to their environment by decreasing the density of their stomata to reduce the uptake of pollutants or by increasing stomatal density and decreasing stomatal pore size [53]. For the same plant or for plants of a similar life type, stomatal density decreases with increasing leaf area and specific leaf area and increases with increasing thickness and leaf dry matter content in different environments [54]. These changes are defense strategies of plants against the effects of adverse growing conditions on their physiological activities.
5. Conclusions
The leaf functional traits of ten plant species in different green space environment pollution zones in Nanjing were comparatively analyzed to investigate the responses of plants to complex urban environments. This study showed that the leaf functional traits of different garden plants varied in different green space environments. In the CR area with high air pollution, plant leaves displayed lower SLAs, chlorophyll contents, SOD activities, SS contents and higher LDMCs, POD activities, MDA contents and CAT activities, representing some of the key strategies for plants to adapt to urban environmental stress. Different plants responded differently to the environments and adopted different growth strategies. The microstructures of the SA, TUEs and TS of the leaves of the ten plants showed adaptive adjustments in different environments. In the CR environment, the TUE of the leaves of Platanus acerifolia and Ginkgo biloba increased, and the TS decreased; the SA followed the order CR > NL > PAR. The latter species’ microstructures also displayed different adaptive adjustments. A comprehensive evaluation of the indicators of the ten plant species by principal component analysis and affiliation function revealed that among the ten species, Euonymus japonicus ‘Aurea-marginatus’ showed optimal adaptability, followed by Lagerstroemia indica and Acer palmatum, while Pittosporum tobira, Euonymus japonicus, and Ginkgo biloba showed the poorest adaptability. The results of this study provide a scientific basis for plant configuration and management in urban environments and promote the science of plant landscape allocation.
Author Contributions
Methodology, Y.Z.; Software, C.M.; Validation, R.L.; Formal analysis, Y.Z., C.M. and D.Z.; Investigation, D.Z.; Resources, R.L. and D.Z.; Data curation, Y.Z. and R.L.; Writing—original draft, Y.Z. and C.M.; Writing—review & editing, Y.Z. and C.M.; Visualization, Q.S. and Z.Z.; Supervision, Q.S. and Z.Z.; Project administration, Q.S. and Z.Z.; Funding acquisition, Q.S. and Z.Z. All authors have read and agreed to the published version of the manuscript.
Funding
This research was funded by National Natural Science Foundation of China: grant number 32471942; the National Natural Science Foundation of China: grant number 32101582; the Young Elite Scientist Sponsorship Program by Cast in China Association for Science and Technology: grant number YESS20220054; the Natural Science Foundation of Jiangsu Province of China: grant number BK20210613; the Natural Science Foundation of the Jiangsu Higher Education Institutions of China: grant number 21KJB220008; Ministry of Education Humanities and Social Sciences Research “Study on the new mechanism of urban green space ecological benefit Measurement and high-quality collaborative development: A case study of Nanjing Metropolitan Area”: grant number 21YJCZH131; and the Social Science Foundation Project of Jiangsu Province: grant number 21GLC002.
Data Availability Statement
Data are contained within the article.
Conflicts of Interest
The authors declare no conflict of interest.
References
- Lu, S.; Yang, X.; Li, S.; Chen, B.; Jiang, Y.; Wang, D.; Xu, L. Effects of plant leaf surface and different pollution levels on PM2. 5 adsorption capacity. Urban For. Urban Green. 2018, 34, 64–70. [Google Scholar] [CrossRef]
- Izakovičová, Z.; Petrovič, F.; Pauditšová, E. The impacts of urbanization on landscape and environment: The case of Slovakia. Sustainability 2021, 14, 60. [Google Scholar] [CrossRef]
- Zhang, F.; Qian, H. A comprehensive review of the environmental benefits of urban green spaces. Environ. Res. 2024, 252, 118837. [Google Scholar] [CrossRef] [PubMed]
- Xu, J.; Wang, F.; Chen, L.; Zhang, W. Perceived urban green and residents’ health in Beijing. SSM-Popul. Health 2021, 14, 100790. [Google Scholar] [CrossRef]
- Zhang, L.; Xu, H.; Pan, J. Investigating the relationship between landscape design types and human thermal comfort: Case study of Beijing Olympic Forest Park. Sustainability 2023, 15, 2969. [Google Scholar] [CrossRef]
- Dmuchowski, W.; Baczewska, A.; Brągoszewska, P. Reaction of street trees to adverse environmental conditions in the centre of Warsaw. Ecol. Quest. 2011, 15, 97–105. [Google Scholar] [CrossRef][Green Version]
- Huang, R.; Tian, Q.; Zhang, Y.; Wu, Y.; Li, Z.; Tang, Z.; Zhou, A. Response of leaf functional traits of landscape plants to urban green space environment in Lanzhou, China. Forests 2022, 13, 682. [Google Scholar] [CrossRef]
- Jiang, B.; Sun, C.; Mu, S.; Zhao, Z.; Chen, Y.; Lin, Y.; Gao, T. Differences in airborne particulate matter concentration in urban green spaces with different spatial structures in Xi’an, China. Forests 2021, 13, 14. [Google Scholar] [CrossRef]
- Wang, L.; Zhao, L.; Song, X.; Wang, Q.; Kou, J.; Jiang, Y.; Shao, X. Morphological traits of Bryum argenteum and its response to environmental variation in arid and semi-arid areas of Tibet. Ecol. Eng. 2019, 136, 101–107. [Google Scholar] [CrossRef]
- Yu, J.; Li, Q.; Wu, X.; Zhu, C.; Huang, S.; Yang, F.; Hou, X. Adaptational responses of leaf functional traits of Dicranopteris dichotoma to environmental factors in different vegetational restoration stages. Glob. Ecol. Conserv. 2023, 44, e02484. [Google Scholar] [CrossRef]
- Proß, T.; Haider, S.; Auge, H.; Bruelheide, H. Leaf trait variation within individuals mediates the relationship between tree species richness and productivity. Oikos 2023, 2024, e10255. [Google Scholar] [CrossRef]
- Sabaratnam, S.; Gupta, G.; Mulchi, C. Effects of nitrogen dioxide on leaf chlorophyll and nitrogen content of soybean. Environ. Pollut. 1988, 51, 113–120. [Google Scholar] [CrossRef]
- Su, Y.; Cui, B.; Luo, Y.; Wang, J.; Wang, X.; Ouyang, Z.; Wang, X. Leaf functional traits vary in urban environments: Influences of leaf age, land-use type, and urban–rural gradient. Front. Ecol. Evol. 2021, 9, 681959. [Google Scholar] [CrossRef]
- Gan, W.Y.; Gan, Y.T.; Peng, Z.D.; Yang, J.X.; Wang, K.K.; Huang, L.J.; Ni, R.W. Leaf functional traits and plant diversity in urban semi-natural plant communities and their environmental interpretation. Acta Ecol. Sin. 2025, 45. [Google Scholar] [CrossRef]
- Ilyas, M.; Liu, Y.Y.; Shah, S.; Ali, A.; Khan, A.H.; Zaman, F.; Wang, Y.J. Adaptation of functional traits and their plasticity of three ornamental trees growing in urban environment. Sci. Hortic. 2021, 286, 110248. [Google Scholar] [CrossRef]
- Zhu, J.; Zhu, H.; Cao, Y.; Li, J.; Zhu, Q.; Yao, J.; Xu, C. Effect of simulated warming on leaf functional traits of urban greening plants. BMC Plant Biol. 2020, 20, 1–13. [Google Scholar] [CrossRef]
- Esperon-Rodriguez, M.; Rymer, P.D.; Power, S.A.; Challis, A.; Marchin, R.M.; Tjoelker, M.G. Functional adaptations and trait plasticity of urban trees along a climatic gradient. Urban For. Urban Green. 2020, 54, 126771. [Google Scholar] [CrossRef]
- Anderson, P.; Charles-Dominique, T.; Ernstson, H.; Andersson, E.; Goodness, J.; Elmqvist, T. Post-apartheid ecologies in the City of Cape Town: An examination of plant functional traits in relation to urban gradients. Landsc. Urban Plan. 2020, 193, 103662. [Google Scholar] [CrossRef]
- Moffatt, S.F.; McLachlan, S.M.; Kenkel, N.C. Impacts of land use on riparian forest along an urban–rural gradient in southern Manitoba. Plant Ecol. 2004, 174, 119–135. [Google Scholar] [CrossRef]
- Okano, K.; Totsuka, T.; Fukuzawa, T.; Tazaki, T. Growth responses of plants to various concentrations of nitrogen dioxide. Environ. Pollut. Ser. A Ecol. Biol. 1985, 38, 361–373. [Google Scholar] [CrossRef]
- Liu, L.; Jiang, Y.; Song, X.; Tang, J.; Kou, J.; Fan, Y.; Shao, X. Temperature, not precipitation, drives the morphological traits of Didymodon rigidulus in Tibet. Ecol. Indic. 2021, 133, 108401. [Google Scholar] [CrossRef]
- Chen, S.; Liu, X.; Yang, L.; Zhu, Z. Variations in ecosystem service value and its driving factors in the Nanjing metropolitan rea of China. Forests 2023, 14, 113. [Google Scholar] [CrossRef]
- Sheng, Q.; Ji, Y.; Zhou, C.; Zhang, H.; Zhu, Z. Spatiotemporal variation and pattern analysis of air pollution and its correlation with NDVI in Nanjing City, China: A Landsat-Based study. Forests 2023, 14, 2106. [Google Scholar] [CrossRef]
- Yang, M.; Lu, X.Z.; Yuan, F.M.; Peng, Y. Current situation of plant species diversity in Nanjing and its conservation strategy. J. Chin. Urban For. 2014, 12, 25–27, 34. [Google Scholar]
- Garcia-Caparros, P.; Llanderal, A.; Lao, M.T. Correlations between R, G, and B Values, pigment concentration, and Nitrogen status in three ornamental potted plants. Agronomy 2023, 13, 177. [Google Scholar] [CrossRef]
- Li, H.; Sun, Q.; Zhao, S.; Zhang, W.H. Principles and Techniques of Plant Physiology and Biochemistry Experiments; Higher Education Press: Beijing, China, 2005. [Google Scholar]
- Gao, J. Plant Physiology Lab Instruction; Higher Education Press: Beijing, China, 2006. [Google Scholar]
- Kováts, N.; Hubai, K.; Diósi, D.; Sainnokhoi, T.A.; Hoffer, A.; Tóth, Á.; Teke, G. Sensitivity of typical European roadside plants to atmospheric particulate matter. Ecol. Indic. 2021, 124, 107428. [Google Scholar] [CrossRef]
- Van de Peer, T.; Verheyen, K.; Kint, V.; Van Cleemput, E.; Muys, B. Plasticity of tree architecture through interspecific and intraspecific competition in a young experimental plantation. For. Ecol. Manag. 2017, 385, 1–9. [Google Scholar] [CrossRef]
- Chaudhary, I.J.; Rathore, D. Dust pollution: Its removal and effect on foliage physiology of urban trees. Sustain. Cities Soc. 2019, 51, 101696. [Google Scholar] [CrossRef]
- Tan, Y.Q.; Sun, S.J.; Dong, J.Y.; Xu, W.; Wang, L.; Wang, Y. Progress in the study of ion channels in plant cytoplasmic membrane. Chin. Bull. Bot. 2019, 54, 102–118. [Google Scholar]
- Osnas, J.L.; Lichstein, J.W.; Reich, P.B.; Pacala, S.W. Global leaf trait relationships: Mass, area, and the leaf economics spectrum. Science. 2013, 340, 741–744. [Google Scholar] [CrossRef]
- Wang, F.; Gou, X.; Zhang, F.; Wang, Y.; Yu, A.; Zhang, J.; Liu, J. Variations in leaf traits of Juniperus przewalskii from an extremely arid and cold environment. Sci. Total Environ. 2019, 689, 434–443. [Google Scholar] [CrossRef] [PubMed]
- Perrin, P.M.; Mitchell, F.J. Effects of shade on growth, biomass allocation and leaf morphology in European yew (Taxus baccata L.). Eur. J. For. Res. 2013, 132, 211–218. [Google Scholar] [CrossRef]
- Feng, Z.H.; Gao, Y.; Gao, B.; Chen, P.; Wu, J.H. Effects of cadmium stress on the root ultrastructure and physiology of Potentilla sericea-Arbuscular Mycorrhizal Fungi symbiont. Acta Agrestia Sin. 2023, 31, 719–725. [Google Scholar]
- Li, X.; Zhang, W.; Niu, D.; Liu, X. Effects of abiotic stress on chlorophyll metabolism. Plant Sci. 2024, 342, 112030. [Google Scholar] [CrossRef]
- Luo, Q.; Xie, H.; Chen, Z.; Ma, Y.; Yang, H.; Yang, B.; Ma, Y. Morphology, photosynthetic physiology and biochemistry of nine herbaceous plants under water stress. Front. Plant Sci. 2023, 14, 1147208. [Google Scholar] [CrossRef]
- Sheng, Q.Q.; Zhu, Z.L. Effects of Nitrogen Dioxide on Biochemical Responses in 41 Garden Plants. Plants 2019, 8, 45. [Google Scholar] [CrossRef] [PubMed]
- Sheng, Q.Q.; Zhu, Z.L. Physiological response of European Hornbeam leaves to Nitrogen Dioxide stress and self-recovery. J. Am. Soc. Hortic. Sci. 2019, 144, 23–30. [Google Scholar] [CrossRef]
- Kumar, M.; Bijo, A.J.; Baghel, R.S.; Reddy, C.R.K.; Jha, B. Selenium and spermine alleviate cadmium induced toxicity in the red seaweed Gracilaria dura by regulating antioxidants and DNA methylation. Plant Physiol. Biochem. 2012, 51, 129–138. [Google Scholar] [CrossRef]
- Darral, N.M. The effect of air pollutants onphysiological processes in plants. Plant Cell Environ. 1989, 12, 1–30. [Google Scholar] [CrossRef]
- Xiao, F.L.; Fen, H.; Guang, K.L.; Nan, S. Effects of nitrogen dioxide and its acid mist on reactive oxygen species production and antioxidant enzyme activity in Arabidopsis plants. J. Environ. Sci. 2015, 34, 93–99. [Google Scholar]
- Song, G.M.; Liu, N.; Jian, S.G.; Liu, H.; Zhang, W.; Han, T. Physiological and biological characteristics of Terminalia catappa. J. Trop. Subtrop. Bot. 2018, 26, 40–46. [Google Scholar]
- Sun, S.P.; Qiu, J.; Wan, X.; Guan, Q.; Tang, G. Effects of sulfur dioxide on MDA contents and protective enzyme activities in leaf of three vertical greening plant species. J. For. Eng. 2010, 24, 50–52. [Google Scholar]
- Li, J.X.; Tian, Q.; Li, J.Z.; Zhu, X.Z.; He, H.S.; Yang, X.X. The leaf anatomical structure of 9 garden plants in different air environments in Lanzhou city. Ecol. Environ. Sci. 2020, 29, 2189–2198. [Google Scholar]
- Yang, Z.; Zhang, X.; Qu, Y.; Gao, F.; Li, Y. Response of common garden plant leaf traits to air pollution in urban parks of Suzhou City (China). Forests 2023, 14, 2253. [Google Scholar] [CrossRef]
- Andersen, C.P. Source–sink balance and carbon allocation below ground in plants exposed to ozone. New Phytol. 2003, 157, 213–228. [Google Scholar] [CrossRef] [PubMed]
- Wang, M.; Wang, L.; Chen, X.; Xing, Y.; Yin, H.; Zhang, D.W. Morphology structure of leaf epidermis of genus Spiraea in Heilongjiang Province. Bull. Bot. Res. 2013, 33, 266–270. [Google Scholar]
- Allahnouri, M.; Aghbash, F.G.; Pazhouhan, I. Traffic effects on leaf macro-and micro-morphological traits. Folia Oecologica 2018, 45, 92–101. [Google Scholar] [CrossRef]
- Rashidi, F.; Jalili, A.; Babaie Kafaki, S.; Sagheb-Talebi, K.; Hodgson, J. Anatomical responses of leaves of Black Locust (Robinia pseudoacacia L.) to urban pollutant gases and climatic factors. Trees 2012, 26, 363–375. [Google Scholar] [CrossRef]
- He, C.; Qiu, K.; Pott, R. Reduction of urban traffic–related particulate matter—Leaf trait matters. Environ. Sci. Pollut. Res. 2020, 27, 5825–5844. [Google Scholar] [CrossRef]
- Hu, X.P.; Ji, C.J.; An, L.H. Leaf stomatic characteristics of dicotyledonous plants in the Tibetan plateau grasslands. Acta Bot. Boreali-Occident. Sin. 2015, 35, 1356–1366. [Google Scholar]
- Qin, X.; Sun, N.; Ma, L.; Chang, Y.; Mu, L. Anatomical and physiological responses of Colorado blue spruce to vehicle exhausts. Environ. Sci. Pollut. Res. 2014, 21, 11094–11098. [Google Scholar] [CrossRef] [PubMed]
- Liu, D.N.; Shen, L.Y.; Zhang, Z.H.; Xu, L.Y. Effects of leaf traits of Spiraea x bumalda cv. Gold Flameand piraea thunbergii Bl. to seasonal. J. Mudanjiang Norm. Univ. 2023, 122, 53–58. [Google Scholar]
Disclaimer/Publisher’s Note: The statements, opinions and data contained in all publications are solely those of the individual author(s) and contributor(s) and not of MDPI and/or the editor(s). MDPI and/or the editor(s) disclaim responsibility for any injury to people or property resulting from any ideas, methods, instructions or products referred to in the content. |
© 2025 by the authors. Licensee MDPI, Basel, Switzerland. This article is an open access article distributed under the terms and conditions of the Creative Commons Attribution (CC BY) license (https://creativecommons.org/licenses/by/4.0/).















