Next Article in Journal
What Is the Relationship Between Forest Footprint and Export of Forest Products? Evidence from Method of Moments Quantile Regression
Previous Article in Journal
Real-Time Detection of Smoke and Fire in the Wild Using Unmanned Aerial Vehicle Remote Sensing Imagery
 
 
Font Type:
Arial Georgia Verdana
Font Size:
Aa Aa Aa
Line Spacing:
Column Width:
Background:
Article

Spatiotemporal Dynamics of Fine Root Biomass in Chinese Fir (Cunninghamia lanceolata) Stumps and Their Impacts on Soil Chemical Properties

1
Research Institute of Tropical Forestry, Chinese Academy of Forestry, Guangzhou 510520, China
2
Beijiangyuan National Forest Ecosystem Research Station, Nanling Mts. China, Guangzhou 510520, China
3
College of Forestry, Nanjing Forestry University, Nanjing 210037, China
4
College of Forestry, Hainan University, Haikou 570100, China
5
Xishan State Forest Farm, Linwu County, Chenzhou 423000, China
*
Author to whom correspondence should be addressed.
Forests 2025, 16(2), 203; https://doi.org/10.3390/f16020203
Submission received: 11 December 2024 / Revised: 8 January 2025 / Accepted: 18 January 2025 / Published: 22 January 2025
(This article belongs to the Section Forest Soil)

Abstract

Stumps are residuals from artificial forest harvesting, persist in forest ecosystems, and have garnered attention for their ecological roles in soil and water conservation, carbon sequestration, and forest regeneration. However, the spatiotemporal dynamics of stump fine root biomass and their impact on soil nutrient cycling remain unclear. This study focuses on the fine roots of Chinese Fir (Cunninghamia lanceolata) stumps generated during the construction of national reserve forests at Xishan State Forest Farm, Linwu County, Hunan Province, from 2014 to 2022. Employing a space-for-time substitution approach, we investigated the spatiotemporal dynamics of fine root biomass (FRB) and its effects on soil chemical properties. The results indicated that the Chinese Fir stump FRB significantly differed with increasing residual time across various soil layers and distances, with an average annual loss rate of 8.40%–9.96%. The living fine root biomass (LFRB) was predominantly concentrated in the 0–20 cm soil layer and decreased with increasing soil depth. Initially, the LFRB was closer to the stumps; however, this proximity effect diminished over time. There were no significant differences in the fine root loss coefficients between layers, within the vertical soil profile with 95% root loss over a time span of 15.1–15.9 years. However, there were horizontal differences, with a 95% root loss over a time span of 13.7–17.0 years. The changes in soil organic matter (SOM) and total nitrogen (STN) content over the study period exhibited a trade-off relationship with the loss of LFRB, with SOM and STN peaking 1 year after the peak of dead fine root biomass (DFRB), suggesting a combined effect of living root exudates and dead root decomposition on SOM and STN enhancement. The trend of LFRB loss was generally inverse to the changes in the soil’s total phosphorus (STP) content, which gradually increased with extended stump retention, indicating that stumps provide a long-term source of phosphorus for the soil. The study also revealed that living fine roots of Chinese Fir stumps can persist in forest soils for a relatively long time and that their biomass dynamics positively affect soil nutrients and carbon storage. These findings provide theoretical support for forest management and suggest that retaining stumps in post-harvest forest management can maintain soil fertility and ecological functions.

1. Introduction

Cunninghamia lanceolata, a primary species in artificial forest cultivation in the subtropical regions of China, has led to a series of issues in its ecosystem, including reduced biodiversity, decreased forest productivity, and deteriorated soil quality due to long-term monoculture practices, resulting in extensive low-efficiency forests [1]. During the transformation of Chinese Fir plantations, a large number of stumps were generated. Due to the high cost of removal and low profit, these stumps are often left in the forest, and their potential ecological value is often overlooked [2].
Stumps refer to the basal part of trees, including the lower trunk near the ground and the root system, and are one of the important components of coarse woody debris in plantations. The residual biomass of stumps and their root systems after harvesting can account for up to 20% of the original tree biomass. Accurate estimation of stump biomass is crucial for assessing long-term carbon and nutrient pools and is a key component of the carbon balance in forest ecosystems [3]. After losing their aboveground parts, stumps no longer possess the transpiration pull and the input of photosynthetic carbon to the roots, leading to a loss of the roots’ ability to exchange materials with the external environment. Consequently, the physiological activity of the roots and their exudates significantly decreases. Considering that root exudates are a primary energy source for soil microbes and other organisms, these changes indirectly affect soil physicochemical properties and carbon release [4]. There are differences in the decomposition rates of stumps from different tree species; for example, the annual decomposition rates of stumps from Pinus tabuliformis, Picea asperata, and Betula platyphylla are 3.3%, 3.4%, and 4.5%, respectively [5]. The carbon stock in stumps of Pinus massoniana ranges from 5 to 58 t·hm-2 between one and fifteen years after harvesting, and their decomposition rate is relatively slow; the carbon stock still gradually decreases throughout the decomposition process [6]. The biomass loss of stumps is relatively slow compared with that of soil roots, branches, leaves, and coarse roots, potentially serving as a long-term carbon reservoir and a source of soil nutrients [7]. These changes play crucial roles in the stability of artificial forests, nutrient cycling, carbon cycling, and biodiversity [8].
The decomposition of stumps occurs at a slow rate. Meanwhile, fine roots (≤2 mm), which make up the most active portion of the plant’s root system, are predominantly found within the upper 0–50 cm of the soil profile [9]. They account for less than 30% of the root biomass but contribute 30%–80% of the annual net productivity of forests [10]. Their lifespan varies greatly, ranging from a few days to several years. The decomposition of fine roots is a complex process involving physical, chemical, and biological factors of the soil, representing the continuous material exchange of dead fine roots with their surrounding environment, and plays a key role in the water, nutrient, and carbon cycles in terrestrial ecosystems [11]. In particular, the annual turnover rate of Chinese Fir fine roots reaches up to 1.69 per year [12], and the annual mass loss rate varies from 38.2% to 54.8% [13]. This plays a vital role in the energy conversion and material cycling processes within forest ecosystems [14].
Stumps notably influence soil compaction and quality by altering aeration and water content, which subsequently impacts the decay rate of fine roots [15]. The presence of stumps also significantly impacts soil total organic carbon, particulate organic carbon, and microbial biomass carbon contents, with the greatest horizontal extent of influence reaching 55 cm [16]. There are differing perspectives on the removal and retention of stumps in forests: one view suggests that stump removal may provide new habitats for soil microbes, increasing the risk of invasive vegetation reproduction and pathogen infection [17], but stump removal may also promote tree regeneration and reduce the incidence of root diseases [18]. Another view argues that improper removal methods can have adverse effects on soil carbon storage, greenhouse gas emissions, soil erosion, compaction, and nutrient cycling [19]. Although some studies have reported no significant changes in the soil C and N contents within 30 years after stump removal [20], more research has shown that retaining stumps can significantly affect soil physical and chemical properties, such as the soil bulk density, carbon concentration, net nitrogen mineralization, and nitrification [21].
In summary, previous studies on stumps have primarily focused on the larger coarse roots and aboveground stump portions of normally growing Chinese Fir trees [22,23,24]. Research on fine roots has mainly utilized decomposition bag methods for decomposition experiments, which are primarily aimed at dead fine roots, while studies on the living fine roots of stumps are relatively scarce. This study takes the fine roots of Chinese Fir stumps as the research subject and employs a space-for-time substitution approach to address the following questions: 1. What are the spatiotemporal dynamics of fine root biomass during the retention of stumps in forests? 2. How does the retention of stumps affect soil nutrient cycling? 3. What role does the retention of stumps play in forests? We aim to reveal the ecological significance of stumps and their important role in forest management and operation through this study, providing theoretical support and scientific basis for research on energy transfer, material, and nutrient cycling in forest ecosystems, as well as for the development planning and management of national reserve forests.

2. Materials and Methods

2.1. Study Site

The study site is situated within Xishan State Forest Farm in Linwu County, Chenzhou City, Hunan Province (112°20′26″–112°47′19″ E, 25°07′34″–25°35′14″ N), with an elevation ranging from 320 to 1711.8 m. It is part of the headwaters of the Wujiang tributary in the Beijiang River Basin, within the Nanling Mountain range, and features a humid, subtropical monsoon climate (Figure 1). The mean annual temperature stands at 16.0 °C, accompanied by an average frost-free period of 230 to 260 days and abundant sunlight. The average annual relative humidity is 80%, with precipitation ranging from 1500 to 1900 mm annually and approximately 80 to 120 days of rainfall per year. The annual snow period lasts for 5–7 days, with the initial snowfall typically occurring from mid-November to late November and the final snowfall ending in early February of the following year, with snow accumulation ranging from 5 to 13 cm. The predominant soil types include lateritic red soil, yellow-red soil, yellow soil, yellow-brown soil, meadow soil, and a minor presence of non-zonal acidic purple soil. The most extensive forest vegetation within the forest farm is the Chinese Fir plantation.
Since 2013, China has implemented the National Reserve Forest Program, which aims to cultivate high-quality, high-efficiency, and multifunctional forest resources by intensifying the cultivation of artificial forests, improving forest structure, improving maintenance, and carrying out afforestation measures, gradually transforming the original pure forests into mixed stands [25]. In 2014, this forest farm initiated the National Reserve Forest Program, which has transformed existing pure Chinese Fir stands into mixed coniferous and broad-leaved forests. Each year, approximately 65 hm2 of approximately 20-year-old Chinese Fir plantations are divided into multiple compartments with varying numbers and sizes each year and undergo an 80% thinning process. On the basis of site conditions and the “National Reserve Forest Tree Species Directory”, understory plantings of Phoebe bournei, Zelkova serrata, Quercus gilva, Taxus wallichiana var. mairei, Liquidambar formosana, and Schima superba were carried out. To prevent the regeneration of Chinese Fir stumps into new stems, all the sprouts on the stumps are removed during annual forest growth.

2.2. Experimental Design

In April 2023, a space-for-time substitution approach was employed to survey nine compartments (Figure 1) following the National Reserve Forest transformation from 2014 to 2022. The spatial heterogeneity of the soil was taken into account, and the selected sampling points were made as uniform as possible in terms of environmental factors (microtopography, slope, and aspect), with the exception of altitude, even though the forest types, soil parent materials, and management practices were consistent (Table 1). Living Chinese Fir stands from 2023, which had not undergone a transformation, were used as controls. In this study, due to the incomplete removal of stump sprouts in the plots in 2016, we decided to exclude the data from 2016 to ensure the consistency and comparability of the research results, as well as the overall trend of the experiment.

2.2.1. Fine Root Sample Collection

Within each compartment, an “S” route was employed to select five Chinese Fir stumps with similar stump diameters (17 ± 1 cm), totaling 45 stumps, as the study subjects. In March 2023, soil sampling was performed using the concentric circle method to encompass the primary distribution area of Chinese Fir fine roots, taking into account the differential distribution and functionality of fine roots within the soil [26]. Samples were collected at radii of 30 cm, 60 cm, and 90 cm from each stump (Figure 2B), which served as the central point, in four different directions. A soil auger with an inner diameter of 3.8 cm was employed for this purpose. During the sampling process, surface litter was removed, and the auger was driven as vertically as possible into the ground. As shown in Figure 2, three samples were taken from each layer (0–20 cm, 20–40 cm, and 40–60 cm) [26], for a total of 1620 soil core samples collected (45 stumps × 3 soil layers × 12 sampling points). During the sampling process, to prevent contamination of fine root samples, the soil corer was cleaned and disinfected before sampling. Gloves were worn during sampling and were changed frequently to prevent cross-contamination. Samples were placed in sealed bags and transported and stored properly to avoid contact with contaminants. In the laboratory, specialized cleaning equipment and deionized water were used, and the equipment was regularly cleaned and disinfected to ensure the cleanliness of the sample processing procedure, thereby ensuring the accuracy and reliability of the research results.
Once the appropriate distances and soil layer depths were noted, the samples were placed into sealed bags and transported back to the lab. Upon arrival at the lab, the samples were soaked to soften them before being rinsed over a 10-mesh sieve with water to eliminate impurities [27]. The fine Chinese Fir roots with a diameter ≤2 mm were subsequently selected on the basis of the standard; moreover, their roots have a distinct fresh scent that is different from those of other tree species, making them easily distinguishable. By examining the physical characteristics of fine roots, such as epidermis color, flexibility, degree of curvature, and separation of the epidermis from internal tissues, and using the floatation method for auxiliary identification, living and dead roots were distinguished, marked separately, and bagged. The samples were then placed in paper envelope bags and dried in an oven to a constant weight (65 °C, 72 h) for the calculation of fine root biomass [27].

2.2.2. Soil Sample Collection

Within each compartment, three Chinese Fir stumps with similar stump diameters were selected. On the sunny side of each stump, a soil profile measuring 1 m in length, 0.6 m in width, and 0.6 m in depth was excavated at a distance of 20 cm from the center of the stump. About 100 g of soil samples from the 0–20 cm, 20–40 cm, and 40–60 cm layers were combined, placed in sealed bags, and then taken back to the laboratory for chemical property analysis. Similarly, during the sampling process, tools were cleaned and disinfected, and disposable gloves were worn to ensure the cleanliness of the sample handling process, thereby ensuring the accuracy and reliability of the research results.

2.2.3. Fine Root Biomass

The formula for calculating the fine root biomass of stumps is as follows:
FRB(g·m−2) = G × 104/[π (Φ/2)2]
where FRB represents the fine root biomass of the stump, G denotes the dry mass of the fine stump roots in the soil core (g), and Φ represents the inner diameter of the soil core (cm) [28].

2.2.4. Calculation of the Fine Root Loss Coefficient

In this study, the fine root biomass of Chinese Fir in 2023 was taken as the initial value. We further compared the fine root biomass of stumps from different harvest years to calculate the residual rate of stump fine root biomass. We performed a regression analysis on the residual rate of dry fine root mass (Dt/D0) to determine the loss coefficient (k) in accordance with Olson’s negative exponential decay model [29]. The specific formula is as follows:
Dt/D0 = e−kt
The time required for a 50% loss (T0.5):
T0.5 = −ln0.5/k = 0.693/k
The time required for a 95% loss (T0.95):
T0.95 = −ln0.05/k = 2.996/k
In this context, Dt and D0 represent the residual dry mass (g) of stump fine roots at time t (years) and the initial dry weight (g) of stump fine roots, respectively; and k is the fine root loss coefficient.

2.2.5. Determination of the Soil Chemical Properties of Chinese Fir Stumps

Soil Organic Matter Content Determination: The potassium dichromate oxidation-external heating method (LY/T 1237-1999) was employed [30]. Air-dried soil samples were weighed and treated with potassium dichromate solution and concentrated sulfuric acid, followed by oil bath heating for digestion. After cooling, ferrous sulfate solution was used for titration to calculate the organic carbon content, which was then multiplied by a conversion factor to obtain the organic matter content. Standard soil samples with known organic matter content were used for comparison to ensure the accuracy of the method.
Total Nitrogen Content in Soil: The alkaline diffusion method (LY/T 1228-1999) was utilized [31]. Soil samples were weighed and digested with concentrated sulfuric acid and a catalyst. Subsequently, the samples were distilled to release ammonia gas, which was absorbed by the boric acid solution. The total nitrogen content was calculated using titration with standard acid solution. The reliability of the results was ensured through spike recovery tests.
Total Phosphorus Content in Soil: The NaOH fusion-molybdenum-antimony anti-spectrophotometric method (LY/T 1232-2015) was applied [32]. Soil samples were weighed and treated with NaOH fusion, followed by dissolution. Molybdate and ascorbic acid solutions were added to induce a color reaction. The total phosphorus content was determined by measuring the absorbance with a spectrophotometer. Standard soil samples with known total phosphorus content were used for comparison to ensure the accuracy of the method.

2.3. Data Analysis

All the data were organized in Excel 2020 and subjected to statistical analysis via SPSS 26.0 software. One-way ANOVA was used to compare the differences in living and dead fine root biomass, as well as soil chemical properties, among Chinese Fir stumps harvested at different years. Additionally, the impacts of various distances and soil layer depths on the living and dead fine root biomass of Chinese Fir stumps were analyzed. Before proceeding with the Analysis of Variance (ANOVA), we first assessed the homogeneity of variances. When the p-value exceeds 0.05, it is assumed that the variances across different harvesting years, distances, and soil layers are homogeneous, permitting the application of one-way ANOVA. If the p-value is less than 0.05, indicating variances are not homogeneous, the data are subjected to appropriate transformations, and the homogeneity of variances is reassessed. If the one-way ANOVA yields a p-value less than 0.05, it suggests significant differences, and we then employ Duncan’s Multiple Range Test for subsequent analysis. If the p-value is greater than 0.05, the differences are considered insignificant. Graphs were plotted via Origin 2021 Pro software, and exponential model fitting functions were utilized to perform curve fitting on the data, from which the loss coefficients were calculated. The soil chemical properties and loss of living fine root biomass were fitted with cubic polynomial functions. In this study, all data are presented as means ± standard deviations, with the sample size (N) for fine root biomass being 5 and for soil chemical properties being 3.

3. Results

3.1. Spatial Distribution Characteristics of Fine Root Biomass in Chinese Fir Stumps

3.1.1. Vertical Distribution

As shown in Figure 3A–C, significant differences (p < 0.05) in live fine root biomass (LFRB) were observed among different positions (30 cm, 60 cm, 90 cm) around Chinese Fir stumps and across different harvest years. The LFRB significantly decreased in all the soil layers with increasing retention time of the stumps. At 30 cm, within 9 years post-harvest, the reduction in the LFRB across different soil layers reached 86.00%, 88.52%, and 81.55%, respectively, with an average annual loss rate of 9.06%–9.84%. At 60 cm, within 9 years post-harvest, the reduction in the LFRB across different soil layers reached 85.36%, 77.15%, and 83.83%, respectively, with an average annual loss rate of 8.57%–9.48%. At 90 cm, within 9 years post-harvest, the reduction in LFRB across different soil layers reached 75.63%, 89.62%, and 83.16%, respectively, with an average annual loss rate of 8.40%–9.96%. As shown in Figure 3D–F, at 30 cm, 60 cm, and 90 cm, the LFRB proportion in the 0–20 cm soil layer was the highest, at 58.44%, 53.33%, and 56.67%, respectively, noting that all 50% and the LFRB proportion in each soil layer followed the pattern of 0–20 cm > 20–40 cm > 40–60 cm.
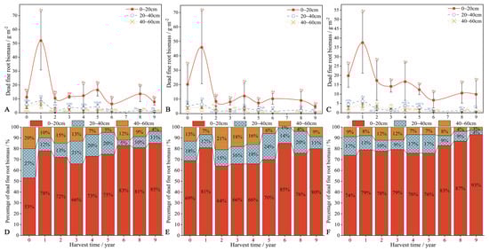
As depicted in Figure 4D–F, the dead fine root biomass (DFRB) at distances of 30 cm, 60 cm, and 90 cm from the stumps exhibited a peak in the first year post-harvest, followed by a rapid decline and subsequent stabilization. At the 30 cm depth, the 0–20 cm soil layer exhibited the highest percentage of DFRB (78%), a value that increased with the duration of stump retention, while the percentages in other soil layers generally decreased. Similarly, at depths of 60 cm and 90 cm, the 0–20 cm soil layer presented the highest DFRB proportion, at 81% and 80.56%, respectively, and these proportions increased with the retention time of the stumps. Conversely, the proportions in the 20–40 cm and 40–60 cm soil layers showed a fluctuating decline (Figure 4D–F).

3.1.2. Horizontal Distribution

Figure 5 illustrates that stump retention duration significantly impacts the horizontal distribution of LFRBs in Chinese Fir stumps (p < 0.05), with a decreasing trend as the retention time increases, and no significant differences were found between the distances of 30 cm, 60 cm, and 90 cm (p > 0.05). In the 0–20 cm soil layer, within 9 years post-harvest, the LFRB at different distances declined by 86%, 85.36%, and 75.63%, respectively, compared with that in the control year (Figure 5A), whereas the proportion of LFRB gradually decreased at 30 cm and 60 cm and increased at 90 cm (Figure 5D). In the 20–40 cm soil layer, within 9 years post-harvest, the LFRB at different distances decreased by 88.52%, 77.15%, and 89.62%, respectively, compared with that in the control year (Figure 5B). The average proportion of LFRB at different distances was 33.33%, 37.22%, and 29.45%, respectively, and, over time, the proportion of LFRB showed a decreasing trend at 30 cm and 90 cm, as well as an increasing trend at 60 cm (Figure 5E). In the 40–60 cm soil layer, relative to the control year, the decrease in LFRB at various distances was 81.55%, 83.83%, and 83.16% (Figure 5C). The average percentages of LFRB at different distances were 36.78%, 32.33%, and 30.89%, respectively (Figure 5F).
Figure 6 shows that the existing DFRB of Chinese Fir stumps decreased with increasing stump retention time, with no significant differences among different distances (30 cm, 60 cm, 90 cm) (p > 0.05). In the three soil layers (as shown in Figure 6A–C), the DFRB at different distances was significantly greater in the first year of retention than in the other years, followed by an annual fluctuating downward trend. In the 0–20 cm soil layer (Figure 6D), the average proportions of DFRB at different distances were 33.44%, 29.33%, and 37.22%, respectively, accounting for approximately 30% each. In the 20–40 cm soil layer (Figure 6E), the average proportion of DFRB at different distances was 36.00%, 35.89%, and 28.11%, respectively; over time, the proportion of DFRB shows a fluctuating trend at 30 cm and 60 cm, with no clear pattern, whereas at 90 cm, it showed a fluctuating downwards trend. In the 40–60 cm soil layer (Figure 6F), the average proportion of DFRB at different distances was 38.89%, 31.33%, and 29.78%, respectively, and, over time, the proportion of DFRB showed a fluctuating pattern at different horizontal distances, with no clear pattern.

3.2. Fine Root Biomass Loss Coefficient and Loss Period of Chinese Fir Stumps

By summing all LFRBs in both the horizontal and vertical directions for each year to obtain the total LFRB and applying the Olson negative exponential decay model (Equation (2)), we calculated the overall fine root loss coefficient for the entire stump. The results indicate that the LFRB shows an overall decreasing trend with increasing stump retention time, with a loss coefficient of 0.197 (Figure 7). Using Equations (3) and (4), we calculated that it takes approximately 3.5 years for the total LFRB to lose 50% of its biomass, and approximately 15.2 years to lose 95% of its biomass (Table 2).
For each year, the LFRBs at three different distances within the same soil layer and the LFRBs at three different soil layers at the same distance were summed to obtain the total living fine root biomass for each horizontal distance and each vertical soil layer and the LFRB loss coefficient was calculated (Figure 8A,B). In the vertical direction, the loss coefficients for the LFRB in the three soil layers were 0.198, 0.199, and 0.193, respectively; the time required for the LFRB to decrease by 50% of its biomass in the 0–20 cm and 20–40 cm soil layers was approximately 3.5 years, and the time to decrease by 95% was approximately 15.1 years. For the 40–60 cm soil layer, the time for the LFRB to decrease by 50% was approximately 3.6 years, and the time to decrease by 95% was approximately 15.5 years. In the horizontal direction, the loss coefficients for the LFRB at the three sites were 0.218, 0.194, and 0.176, respectively; at a distance of 30 cm, the time for the LFRB to decrease by 50% of its biomass was approximately 3.2 years, and the time to decrease by 95% was approximately 13.7 years. At a distance of 60 cm, the time for the LFRB to decrease by 50% was approximately 3.6 years, and the time to decrease by 95% was approximately 15.4 years. At a distance of 90 cm, the time for the LFRB to decrease by 50% was approximately 3.9 years, and the time to decrease by 95% was approximately 17.0 years. Overall, the LFRB in the different soil layers gradually decreased with increasing stump retention time, with the fastest decay occurring in the 0–20 cm and 20–40 cm soil layers, and the slowest decay occurring in the 40–60 cm soil layer. The decay rates at different distances were in the order of 30 cm > 60 cm > 90 cm, with the biomass loss slowing down as the distance from the stump increased (Figure 8, Table 2).

3.3. Trends in Soil Chemical Properties Around Chinese Fir Stumps

By fitting the LFRB loss, the dashed curves in Figure 9 were obtained. The LFRB loss exhibited an “S”-shaped trend of decreasing–increasing–decreasing, increasing the retention time of the stump. The trends of the soil organic matter (SOM) content (Figure 9A) and soil total nitrogen (STN) content (Figure 9B) are largely consistent. In the second year post-harvest, the SOM content (50.94 g·kg−1) and STN content (2.56 g·kg−1) around the Chinese Fir stumps peaked, increasing by 154.96% and 139.25% compared with those in the control year (19.98 g·kg−1 and 1.07 g·kg−1), respectively. They decreased by 56.89% and 54.30%, respectively, in the ninth year (21.96 g·kg−1 and 1.17 g·kg−1) compared to the second year; however, they still increased by 9.91% and 9.35%, respectively, compared to the control. The fitted curves revealed that with increasing stump retention time, both the SOM and STN contents initially increased but then decreased, eventually stabilizing. As shown in Figure 9C, there were no significant differences in the soil total phosphorus (STP) content among the different years (p > 0.05), and a slowly increasing trend was observed with increasing stump retention time, with the STP content around the stump increasing by 7.14% after 9 years compared with that of the control. The trends of SOM, STN, and STP in the soil around the stump are generally opposite to the changes in LFRB loss, suggesting that lower loss of LFRB is associated with higher values of SOM, STN, and STP, implying that the presence of stump fine roots is beneficial for the enhancement of soil organic matter, soil nitrogen, and phosphorus.

4. Discussion

4.1. The Variation in Living Fine Root Biomass of Chinese Fir Stumps over Time

This study employed a negative exponential model to accurately calculate the loss constant of LFRB in Chinese Fir stumps, revealing the post-harvest loss dynamics of fir fine roots across different soil layers and distances. The results indicated that the LFRB in different soil layers and distances significantly differed across various harvest years (p < 0.05), with an increase in retention time leading to natural death and decomposition of fine stump roots, resulting in a reduction in the LFRB. The decline in the LFRB across different distances and soil layers ranged from 75.63% to 89.62% (Figure 3 and Figure 5), with average annual loss rates ranging from 8.40% to 9.96% (Figure 3 and Figure 5), which is consistent with global findings (5% to 20%) [33]. The study also revealed that DFRB peaked in the first year after harvest and then fluctuated; as the retention time progressed, the LFRB loss rates in the 0–20 cm and 20–40 cm soil layers were relatively fast, whereas it was slower in the 40–60 cm soil layer (Figure 8). This aligns with the finding of Pries et al. (2018) that deeper soil fine roots decompose more slowly [34]. The 20–40 cm soil layer, where fine roots are more abundant, typically has higher organic matter content, providing more decomposer microbes and nutrient resources, which accelerates the loss process of fine roots [35], whereas deeper soils exhibit a slower rate of fine root loss due to lower microbial activity and a lower oxygen supply [36]. Fine root loss is a slow process that may take several decades [37], and the living fine roots of Chinese Fir stumps still maintain considerable vitality and high non-structural carbon content after 9 years of stump retention [38]. However, the time required to lose 95% of the LFRB at different distances is sequentially 30 cm (13.7 years) < 60 cm (15.4 years) < 90 cm (17.0 years) (Table 2). The farther from the stump, the slower the loss of living fine root biomass, which may be because it is more difficult for rainwater falling on the stump to flow into areas far from the stump and is more likely to flow into areas close to the stump, leading to better decomposition conditions for roots near the stump. Additionally, in areas farther from the stump, there may be a greater number of medium-sized root systems, which have a stronger ability to sprout new fine roots than do large and small roots. This regenerative capacity of the root system helps maintain fine root biomass and slows the loss rate. After a 9-year loss process, the fine roots of Chinese Fir stumps have not been completely lost, and approximately 15.2 years are needed for a total loss of 95% of the fine roots (Table 2). The change in the LFRB of stumps is a complex process that is also influenced by various biotic factors (such as the sprouting ability of the stump, soil microbial activity, and soil organic matter) and abiotic factors (such as soil physicochemical properties, soil temperature, and moisture and soil nutrients) [39].

4.2. Spatial Variability in Living Fine Root Biomass in Chinese Fir Stumps

In the global carbon cycle, forest ecosystems play a crucial role, and their impact on climate regulation and ecological balance through the biomass distribution and dynamics of fine roots is profound [40]. The distribution of FRB is influenced by various factors, including soil depth, stand characteristics, environmental conditions, tree location, tree diameter at breast height, planting density, and soil properties of the stand [35], which together shape the vertical and horizontal distribution patterns of fine roots in the soil. This study revealed that the LFRB of Chinese Fir stumps significantly decreased in both the vertical and horizontal directions with increasing retention time. This trend is consistent with the general patterns of FRB dynamics in global forest ecosystems, especially in forests after harvesting and disturbance [41]. Within 9 years after harvesting, the LFRB in the 0–20 cm soil layer was significantly greater than that in the other soil layers, with no significant difference between the 20–40 cm and 40–60 cm soil layers, which is in line with the findings of Li et al. (2015) [42], possibly because fine roots are predominantly concentrated in the topsoil, particularly in the 0–30 cm soil layer. Additionally, topsoil typically has a relatively high nutrient content, microbial activity, and moisture conditions suitable for plant growth, providing a favorable environment for fine root growth. This may have resulted in a greater proportion of LFRB in the 0–20 cm soil layer, averaging approximately 58.3%, 53.3%, and 56.8% at different distances, respectively (Figure 3D–F). However, as soil depth increases, the gradual decline in nutrients, moisture, aeration, and soil temperature [43] affects root growth and expansion, leading to a decrease in the LFRB. Different soil types also influence the distribution of FRB; for example, root biomass increases with soil depth on the Loess Plateau [44], whereas roots adapt to water stress in arid regions by having higher biomass in deeper soil layers [45], and faster nutrient cycling and greater soil activity in the topsoil in tropical rainforests results in greater biomass [46]. The richer nutrient and moisture conditions in the topsoil favor the growth and activity of fine roots, leading to higher FRB in the topsoil [47].
In this study, the LFRB across different soil layers did not significantly differ at various distances from the Chinese Fir trunk, which is inconsistent with the findings in temperate coniferous forests, where the LFRB increases with horizontal distance from the trunk, peaking at 100 cm from the trunk [48]. This discrepancy may be attributed to species-specific characteristics: Chinese Fir has a narrow crown, branches of similar size in all directions with relatively uniform distribution, and a root system that grows predominantly downwards with fewer horizontal roots. Soil texture and compaction significantly influence the spatial distribution of fine root biomass. Sandy soils, characterized by good aeration and drainage but relatively poor water and nutrient retention, typically result in a higher distribution of fine roots in the topsoil to access more water and nutrients. In contrast, clay soils have strong water and nutrient retention capabilities, leading to a greater distribution of fine roots in deeper soil layers. Soil compaction reduces pore space and aeration, hindering root growth and resulting in decreased fine root biomass in compacted areas. Additionally, changes in microhabitat conditions, such as local differences in soil temperature, moisture, and light, also affect the growth and distribution of fine roots. In microhabitats with ample light, enhanced plant photosynthesis produces more organic matter, providing increased energy and nutrient sources for fine root growth. Variations in soil temperature and moisture can influence the activity of soil microorganisms and the decomposition of organic matter, thereby affecting the dynamics of fine root biomass.
However, as the retention time of the stumps increased, the proportion of LFRB in the 0–20 cm soil layer at the 30 cm and 60 cm distances gradually decreased, whereas at 90 cm, it gradually increased. This suggests that in the topsoil after the harvest of Chinese Fir, in the topsoil, the living fine roots on the stump and adjacent large roots are more prone to die off and have higher loss rates, whereas the living fine roots on medium-sized roots farther from the stump have relatively lower loss rates. This may be related to the ability of stumps, large roots, and medium-sized roots to sprout new fine roots, which varies among tree species and is associated with the storage of non-structural carbohydrates in the stump [49]. Additionally, this may also be related to the soil moisture level [50]. In the 20–40 cm soil layer, the proportion of LFRB tended to decrease at distances of 30 cm and 90 cm from the stump, whereas it tended to increase at 60 cm (Figure 5E), suggesting that the living fine roots at 60 cm from the stump have a greater regenerative capacity than those closer (30 cm) and farther (90 cm) from the stump. This may be due to the severe stress experienced by the root system on the stump after Chinese Fir harvesting, and plants tend to produce more root biomass under stress [22]; in particular, Chinese Fir may escape various stresses and competition by increasing fine root biomass in deeper soil layers [24], and intensifying competition and stress leads to a greater proportion of fine and small roots in the total root system [23]. In the middle soil layer, living fine roots at 30 cm from the stump are mostly on large roots, those at 60 cm from the stump are on medium-sized roots, and those at 90 cm from the stump are on small roots. The small roots are more likely to die after a tree is harvested and large roots have a weak ability to sprout new fine roots, whereas only medium-sized roots have a strong capacity for regenerating fine roots, leading to an increase in the proportion of living fine roots 60 cm from the stump over time. In the 40–60 cm soil layer, the proportions of LFRB at 30 cm, 60 cm, and 90 cm from the stump were roughly similar and did not change much over time (Figure 5F). This may be related to the soil environmental conditions and root vitality in this layer [38], where fine root turnover and decomposition may have reached a dynamic equilibrium, maintaining the relatively stable proportion of LFRB. Additionally, Vengavasi et al. (2021) reported that, under nutrient-stress conditions, plant root systems could adapt to nutrient adversity by adjusting their morphological structures, such as increasing root biomass in nutrient-rich areas, reducing root diameter, and increasing specific root length [51]. The distribution of and variation in the LFRB across different soil layers and distances in this study may be an expression of the plasticity of Chinese Fir root systems.

4.3. The Impact of Stump Fine Root Loss on Soil Chemical Properties

Fine roots play a crucial role in forest ecosystems [36]. As a vital link between plants and soil, dynamic changes in fine root biomass significantly impact soil carbon cycling, nutrient cycling, and the stability of microbial communities. They are not only a primary “sink” for forest net primary productivity but also a key “source” for the release of carbon and nutrients in the soil. This study revealed that the loss of LFRB exhibited a decreasing-increasing-decreasing “S” shaped trend, whereas the contents of SOM and STN both initially increased but then decreased, eventually stabilizing (Figure 9). The variation in LFRB loss was inversely related to the trends in the SOM and STN contents, indicating a trade-off relationship. Lower loss of living fine root biomass in the stump is associated with greater values of SOM and STN, and vice versa, suggesting that the presence of living fine roots in the stump is beneficial for the enhancement of soil organic matter and soil nitrogen, which may be related to changes in fine root exudates and soil microbial activity [52]. Root exudates are an important source of SOM and nutrient cycling. The organic matter in root exudates provides energy and nutrients for soil microbes, promoting the formation of SOM and the mineralization of STN, thereby directly affecting soil physical and chemical properties. Yang et al. (2023) reported that the increase in SOM content during the root growth period is related to root biomass, indicating that root growth significantly contributes to the formation of soil organic carbon (SOC) and is beneficial to soil nutrient cycling [53].
In this study, the contents of SOM and STN reached their peak in the second year after harvesting, increasing by 154.96% and 139.25%, respectively (Figure 9A,B), compared with those in the control year, which is largely consistent with the findings of Jia et al. (2019), who reported an increase in the soil nutrient content in the short term after Chinese Fir harvesting [54]. During the death and loss processes, fine roots release substantial amounts of organic carbon and nitrogen, which are rapidly utilized by soil microorganisms, promoting the formation of soil organic matter and nitrogen mineralization [55]. Root exudates also provide a rich source of carbon and energy for soil microorganisms during root growth and loss, further facilitating the increase of SOM and STN. Additionally, this study revealed that the existing DFRB reached its maximum in the first year after harvesting, with the peak of DFRB occurring one year after the peaks of SOM and STN, corroborating previous research conclusions that SOM and STN contents increase due to fine-root decomposition after forest harvesting [20]. As the age of the stump increases, the contents of SOM and STN gradually decrease and stabilize, which is related to the gradual death of roots, the decreasing number of existing LFRBs, and the reduction in root exudates. The trend of the STP content differed from that of the SOM and STN contents.
This study revealed no significant differences in the STP content among different years and a slow-increasing trend with increasing stump retention time. The trend of the STP content essentially contrasts with the curve of LFRB loss, which may be related to the release of phosphorus (P) during the decomposition process of the stumps. Research indicates that soil pH and organic matter content can both influence STP [56]. In this study, although there were no significant differences in STP content across different years, the form of phosphorus in the soil may change as roots decompose, thereby affecting its long-term availability. Phosphorus is one of the essential nutrients for plant growth; however, its availability in soil is influenced by various factors [36]. Research by Khashi et al. (2021) indicated that the soil phosphorus content is affected by plant root exudates and soil microbial activity [57]. Root exudates contain a rich array of organic compounds, which not only provide energy and nutrients for soil microorganisms but also influence the structure and function of microbial communities. Research indicates that root exudates can promote the growth of microbial communities. These microorganisms, through their metabolic activities, further decompose organic matter, accelerating the formation of soil organic matter (SOM) and nutrient cycling [58]. Bacteria and fungi can utilize specific compounds in root exudates, thereby forming dominant populations in the rhizosphere soil. These microbial activities contribute to increased accumulation of SOM and enhanced mineralization rates of soil total nitrogen (STN). The slow decomposition of stumps may provide a long-term source of P for the soil, contributing to the maintenance of soil fertility.
Our research findings indicate that retaining stumps after forest harvest can significantly influence the dynamics of SOM and STN. Stumps provide a continuous source of organic matter and nutrients to the soil, promoting the cycling and accumulation of soil nutrients. The organic carbon and nitrogen released from fine roots during their loss are utilized by soil microorganisms, facilitating the formation of SOM and nitrogen mineralization. Additionally, stump retention can further regulate the efficiency of soil nutrient cycling by affecting the structure and function of soil microbial communities. However, the removal of fine roots and soil can alter soil chemical properties, weakening the transformation and cycling of soil nutrients [59], leading to a decline in soil fertility and productivity [60], and subsequently impacting the health and functioning of ecosystems. In the long term, this may result in soil structure degradation and a decline in ecosystem functions [61]. Additionally, this study did not fully consider the impact of climatic differences between different sampling sites, particularly the effects of elevation on temperature and precipitation. Variations in elevation can lead to vertical distribution differences in temperature and precipitation, which, in turn, affect soil temperature, moisture, microbial activity, and soil organic carbon. Future research should comprehensively consider climatic factors and further explore microbial processes and biochemical pathways to better understand the long-term effects of fine root biomass loss, particularly from Chinese Fir stumps, on soil chemical properties. In forest management, choosing appropriate stump retention strategies is crucial for maintaining soil nutrient cycling and enhancing forest productivity and should be adjusted according to specific forest types and soil conditions. However, a 9-year time frame may not fully capture the long-term spatiotemporal dynamics of fine root biomass and soil properties; thus, future research should extend the observation period to better understand these long-term dynamics.

5. Conclusions

This study reveals the spatiotemporal dynamics of fine root biomass and soil chemical properties in Chinese Fir stumps. The results indicate that stump retention significantly affects the loss and distribution of fine root biomass, with LFRB gradually decreasing over time, particularly in the upper soil layers. The loss of fine roots is closely related to changes in soil chemical properties, such as an initial increase followed by stabilization in soil organic matter content and total nitrogen content as stump retention time extends. This suggests that stump retention can enhance soil nutrient cycling and organic matter accumulation, thereby supporting forest productivity and ecosystem stability. However, the study also emphasizes the need for further research on the long-term effects of stump retention on soil properties and nutrient cycling, especially considering its potential impacts on soil structure and microbial communities. In forest management, adopting appropriate stump retention strategies is crucial for optimizing soil nutrient cycling and maintaining ecosystem functions. Future research should extend the observation period and explore the interactions between stump fine roots, soil microbes, and nutrient dynamics to gain a more comprehensive understanding of the ecological significance of stump management practices.

Author Contributions

Conceptualization, X.W. and G.Z.; methodology, Y.B.; software, Y.B.; validation, X.W. and G.Z.; formal analysis, Y.B.; investigation, H.G. and Y.C.; resources, X.W. and Y.C.; data curation, Y.B.; writing—original draft preparation, Y.B.; writing—review and editing, X.W. and G.Z.; visualization, Y.B.; supervision, X.W. and G.Z.; project administration, X.W.; funding acquisition, X.W. All authors have read and agreed to the published version of the manuscript.

Funding

This research was funded by the National Key R&D Program of China (grant number 2024YFF1306602).

Data Availability Statement

The original contributions presented in the study are included in the article, and further inquiries can be directed to the corresponding author.

Acknowledgments

We would like to express our gratitude to Associate Researcher Houben Zhao and Assistant Researcher Zhaojia Li for their valuable suggestions on the design of this research plan. We also appreciate the assistance provided by Dangren Li, Guangguo Pan, and Jianxiong Huang from Xishan Forest Farm during the sampling process.

Conflicts of Interest

The authors declare no conflicts of interest.

References

  1. Liu, S.; Yang, Y.; Wang, H. Development strategy and management countermeasures of planted forests in China: Transforming from timber-centered single objective management towards multi-purpose management for enhancing quality and benefits of ecosystem services. Acta Ecol. Sin. 2018, 3, 1–10. [Google Scholar]
  2. Gominho, J.; Costa, R.; Lourenço, A.; Neiva, D.M.; Pereira, H. The effect of different pre-treatments to improve delignification of eucalypt stumps in a biorefinery context. Bioresour. Technol. Rep. 2019, 6, 89–95. [Google Scholar] [CrossRef]
  3. Schumacher, M.V.; Witschoreck, R.; Calil, F.N.; Lopes, V.G. Manejo da biomassa e sustentabilidade nutricional em povoamentos de Eucalyptus spp. em pequenas propriedades rurais. Ciênc. Florest. 2019, 29, 144–156. [Google Scholar] [CrossRef]
  4. Yuan, J.; Hou, L.; Wei, X.; Shang, Z.; Cheng, F.; Zhang, S. Decay and nutrient dynamics of coarse woody debris in the Qinling Mountains, China. PLoS ONE 2017, 12, e0175203. [Google Scholar] [CrossRef]
  5. Krankina, O.N.; Harmon, M.E. Dynamics of the dead wood carbon pool in northwestern Russian boreal forests. Water Air Soil Pollut. 1995, 82, 227–238. [Google Scholar] [CrossRef]
  6. Wang, Q.; Yang, W.Q.; Wu, F.Z.; Zhang, J.; Tan, B.; Zhang, X.T. Characteristics of stump stock and decomposition in Pinus massoniana plantation. Chin. J. Plant Ecol. 2016, 40, 458–468. [Google Scholar]
  7. Deng, X.; Liang, X.; Shen, L.; Liu, H.; Yang, M.; Zeng, M.; Liang, M.; Cheng, F. Decomposition and nutrient dynamics of stumps and coarse roots of Eucalyptus plantations in southern China. Ann. For. Sci. 2023, 80, 30. [Google Scholar] [CrossRef]
  8. Magnússon, R.Í.; Tietema, A.; Cornelissen, J.H.; Hefting, M.M.; Kalbitz, K. Tamm Review: Sequestration of carbon from coarse woody debris in forest soils. For. Ecol. Manag. 2016, 377, 1–15. [Google Scholar] [CrossRef]
  9. McCormack, M.L.; Dickie, I.A.; Eissenstat, D.M.; Fahey, T.J.; Fernandez, C.W.; Guo, D.; Helmisaari, H.S.; Hobbie, E.A.; Iversen, C.M.; Jackson, R.B.; et al. Redefining fine roots improves understanding of below-ground contributions to terrestrial biosphere processes. New Phytol. 2015, 207, 505–518. [Google Scholar] [CrossRef]
  10. Song, X.; Li, Q.; Gu, H. Effect of nitrogen deposition and management practices on fine root decomposition in Moso bamboo plantations. Plant Soil 2017, 410, 207–215. [Google Scholar] [CrossRef]
  11. Luo, Y.; Zhou, J.; Yue, X.; Ding, J. Effect of precipitation frequency on litter decomposition of three annual species (Setaria viridis, Artemisia sacrorum, and Chenopodium acuminatum) in a semi-arid sandy grassland of northeastern China. Arid Land Res. Manag. 2021, 35, 397–413. [Google Scholar] [CrossRef]
  12. Lin, C.F.; Yang, Y.S.; Chen, G.S.; Guo, J.F.; Han, Z.G. Decomposition of fine roots, nutrient release, and chemical composition changes in Chinese fir plantations. J. Subtrop. Resour. Environ. 2008, 3, 15–23. [Google Scholar]
  13. Chen, G.S.; He, Z.M.; Xie, J.S.; Yang, Y.S.; Jiang, Z.K. Comparison of fine root productivity, distribution, and turnover between Fujian cypress and Chinese fir plantations. Sci. Silvae Sin. 2004, 4, 15–21. [Google Scholar]
  14. Ma, J.; Kang, F.; Cheng, X.; Han, H. Moderate thinning increases soil organic carbon in Larix principis-rupprechtii (Pinaceae) plantations. Geoderma 2018, 329, 118–128. [Google Scholar] [CrossRef]
  15. Lucas, M.; Schlüter, S.; Vogel, H.J.; Vetterlein, D. Roots compact the surrounding soil depending on the structures they encounter. Sci. Rep. 2019, 9, 16236. [Google Scholar] [CrossRef] [PubMed]
  16. Yue, Y.; Men, X.; Sun, Z.; Chen, X. Exploring the role of stumps in soil ecology: A study of microsite organic carbon and enzyme activities in a Larix olgensis Henry plantation. Forests 2023, 14, 1027. [Google Scholar] [CrossRef]
  17. Walmsley, J.D.; Godbold, D.L. Stump harvesting for bioenergy–a review of the environmental impacts. Forestry 2010, 83, 17–38. [Google Scholar] [CrossRef]
  18. Modi, D.; Simard, S.; Bérubé, J.; Lavkulich, L.; Hamelin, R.; Grayston, S.J. Long-term effects of stump removal and tree species composition on the diversity and structure of soil fungal communities. FEMS Microbiol. Ecol. 2020, 96, fiaa061. [Google Scholar] [CrossRef]
  19. Cleary, M.R.; Arhipova, N.; Morrison, D.J.; Thomsen, I.M.; Sturrock, R.N.; Vasaitis, R.; Gaitnieks, T.; Stenlid, J. Stump removal to control root disease in Canada and Scandinavia: A synthesis of results from long-term trials. For. Ecol. Manag. 2013, 290, 5–14. [Google Scholar] [CrossRef]
  20. Karlsson, K.; Tamminen, P. Long-term effects of stump harvesting on soil properties and tree growth in Scots pine and Norway spruce stands. Scand. J. For. Res. 2013, 28, 550–558. [Google Scholar] [CrossRef]
  21. Kaarakka, L.; Hyvönen, R.; Strömgren, M.; Palviainen, M.; Persson, T.; Olsson, B.A.; Launonen, E.; Vegerfors, B.; Helmisaari, H.S. Carbon and nitrogen pools and mineralization rates in boreal forest soil after stump harvesting. For. Ecol. Manag. 2016, 377, 61–70. [Google Scholar] [CrossRef]
  22. Hess, L.; De Kroon, H. Effects of rooting volume and nutrient availability as an alternative explanation for root self/non-self discrimination. J. Ecol. 2007, 95, 241–251. [Google Scholar] [CrossRef]
  23. Huang, C.H.; Zhou, G.Y.; Zhao, H.B.; Zhou, Z.P.; Qiu, Z.J. Determination of root system biomass of matured Cunninghamia lanceolata plantation in Tianjingshan Forest Farm, Guangdong province. J. Cent. South Univ. For. Technol. 2013, 33, 80–86. [Google Scholar]
  24. Zheng, G.; Su, X.; Chen, X.; Hu, M.; Ju, W.; Zou, B.; Wang, S.; Wang, Z.; Hui, D.; Guo, J.; et al. Variations in fine root biomass, morphology, and vertical distribution in both trees and understory vegetation among Chinese fir plantations. For. Ecol. Manag. 2024, 557, 121748. [Google Scholar] [CrossRef]
  25. Zhang, F.; Li, M.; Zhang, S.; Liu, J.; Ren, Y.; Cao, Y.; Li, F. China’s National Reserve Forest Project contribution to carbon neutrality and path to profitability. For. Policy Econ. 2024, 160, 103146. [Google Scholar] [CrossRef]
  26. Yang, Y.S.; Chen, G.S.; Lin, P.; Xie, J.S.; Guo, J.F. Fine root distribution, seasonal pattern and production in four plantations compared with a natural forest in subtropical China. Ann. For. Sci. 2004, 61, 617–627. [Google Scholar] [CrossRef]
  27. McClaugherty, C.; Aber, J.D.; Melillo, J.M. The role of fine roots in the organicmatter and nitrogen budgets of two forested ecosystems. Ecology 1982, 63, 1481–1490. [Google Scholar] [CrossRef]
  28. Liao, Y.; Fan, H.; Wei, X.; Wu, J.; Duan, H.; Fu, X.; Liu, W.; Wang, H.; Zhan, X.; Tang, P.; et al. Competition increased fine root biomass in Chinese fir (Cunninghamia lanceolata) plantations in Subtropical China. For. Ecol. Manag. 2019, 435, 151–157. [Google Scholar] [CrossRef]
  29. Olson, J.S. Energy storage and the balance of producers and decomposers in ecological systems. Ecology 1963, 44, 322–331. [Google Scholar] [CrossRef]
  30. LY/T 1237-1999; Method for Determination of Soil Organic Matter. China Academy of Forestry Research Institute of Forestry Forest Soil: Beijing, China, 1999.
  31. LY/T 1228-1999; Method for the Determination of Soil Total Nitrogen (Semi-Micro Kjeldahl Method). China Academy of Forestry Research Institute of Forestry Forest Soil: Beijing, China, 1999.
  32. LY/T 1232-2015; Soil-Determination of Total Phosphorus by Alkali Fusion-Mo-Sb Anti Spectrophotometric Method. National Forestry Anministration: Beijing, China, 2015.
  33. Vogt, K.A.; Grier, C.C.; Vogt, D.J. Production, turnover, and nutrient dynamics of aboveground and belowground detritus of world forests. Adv. Ecol. Res. 1986, 15, 303–377. [Google Scholar]
  34. Pries, C.E.H.; Sulman, B.N.; West, C.; O’Neill, C.; Poppleton, E.; Porras, R.C.; Castanha, C.; Zhu, B.; Wiedemeier, D.B.; Torn, M.S. Root litter decomposition slows with soil depth. Soil Biol. Biochem. 2018, 125, 103–114. [Google Scholar] [CrossRef]
  35. Finér, L.; Ohashi, M.; Noguchi, K.; Hirano, Y. Factors causing variation in fine root biomass in forest ecosystems. For. Ecol. Manag. 2011, 261, 265–277. [Google Scholar] [CrossRef]
  36. Eissenstat, D.M.; Kucharski, J.M.; Zadworny, M.; Adams, T.S.; Koide, R.T. Linking root traits to nutrient foraging in arbuscular mycorrhizal trees in a temperate forest. New Phytol. 2015, 208, 114–124. [Google Scholar] [CrossRef] [PubMed]
  37. Saha, S.; Huang, L.; Khoso, M.A.; Wu, H.; Han, D.; Ma, X.; Poudel, T.R.; Li, B.; Zhu, M.; Lan, Q.; et al. Fine root decomposition in forest ecosystems: An ecological perspective. Front. Plant Sci. 2023, 14, 1277510. [Google Scholar] [CrossRef] [PubMed]
  38. Bao, Y.M.D.; Zheng, D.Y.; Wang, X.; Zhao, H.B.; Li, Z.J.; Li, D.R.; Chen, Y.H.; Zhou, G.Y.; Pi, Z.H.; Guo, H. Changes of activity, non-structural carbon content, and carbon, nitrogen, and phosphorus stoichiometry in live fine roots of Chinese fir stumps. Chin. J. Appl. Environ. Biol. 2024, 30, 904–910. [Google Scholar]
  39. Ruffel, S.; Krouk, G.; Ristova, D.; Shasha, D.; Birnbaum, K.D.; Coruzzi, G.M. Nitrogen economics of root foraging: Transitive closure of the nitrate–cytokinin relay and distinct systemic signaling for N supply vs. demand. Proc. Natl. Acad. Sci. USA 2011, 108, 18524–18529. [Google Scholar] [CrossRef]
  40. Qin, J.; Lu, J.; Peng, Y.; Guo, X.; Yang, L.; Martin, A.R. Thinning-induced decrease in fine root biomass, but not other fine root traits in global forests. J. Environ. Manag. 2024, 370, 122938. [Google Scholar] [CrossRef]
  41. Pan, Y.; Birdsey, R.A.; Fang, J.; Houghton, R.; Kauppi, P.E.; Kurz, W.A.; Phillips, O.L.; Shvidenko, A.; Lewis, S.L.; Canadell, J.G.; et al. A large and persistent carbon sink in the world’s forests. Science 2011, 333, 988–993. [Google Scholar] [CrossRef]
  42. Li, A.; Fahey, T.J.; Pawlowska, T.E.; Fisk, M.C.; Burtis, J. Fine root decomposition, nutrient mobilization and fungal communities in a pine forest ecosystem. Soil Biol. Biochem. 2015, 83, 76–83. [Google Scholar] [CrossRef]
  43. Bai, W.; Wan, S.; Niu, S.; Liu, W.; Chen, Q.; Wang, Q.; Zhang, W.; Han, X.; Li, L. Increased temperature and precipitation interact to affect root production, mortality, and turnover in a temperate steppe: Implications for ecosystem C cycling. Glob. Change Biol. 2010, 16, 1306–1316. [Google Scholar] [CrossRef]
  44. Carvalho, J.I.; Carayugan, M.B.; Tran, L.T.N.; Hernandez, J.O.; Youn, W.B.; An, J.Y.; Park, B.B. Variation in Root Biomass and Distribution Based on the Topography, Soil Properties, and Tree Influence Index: The Case of Mt. Duryun in Republic of Korea. Plants 2024, 13, 1340. [Google Scholar] [CrossRef] [PubMed]
  45. Poorter, H.; Niklas, K.J.; Reich, P.B.; Oleksyn, J.; Poot, P.; Mommer, L. Biomass allocation to leaves, stems and roots: Meta-analyses of interspecific variation and environmental control. New Phytol. 2012, 193, 30–50. [Google Scholar] [CrossRef] [PubMed]
  46. Messier, J.; Becker-Scarpitta, A.; Li, Y.; Violle, C.; Vellend, M. Root and biomass allocation traits predict changes in plant species and communities over four decades of global change. Ecology 2024, 105, e4389. [Google Scholar] [CrossRef] [PubMed]
  47. Jiang, H.; Bai, Y.; Du, H.; Hu, Y.; Rao, Y.; Chen, C.; Cai, Y. The spatial and seasonal variation characteristics of fine roots in different plant configuration modes in new reclamation saline soil of humid climate in China. Ecol. Eng. 2016, 86, 231–238. [Google Scholar] [CrossRef]
  48. Yang, X.Y.; Han, Y.Z.; Zhang, Y.X. Effects of horizontal distance on fine root biomass and seasonal dynamics in larix principis-rupprechtii plantation. Chin. J. Plant Ecol. 2008, 32, 1277–1284. [Google Scholar]
  49. Zhang, T.; Yan, Q.; Wang, G.G.; Zhu, J. The effects of stump size and within-gap position on sprout non-structural carbohydrates concentrations and regeneration in forest gaps vary among species with different shade tolerances. Ecol. Process. 2021, 10, 25. [Google Scholar] [CrossRef]
  50. Ibrahim, F.; Adu-Bredu, S.; Addo-Danso, S.D.; Duah-Gyamfi, A.; Manu, E.A.; Malhi, Y. Patterns and controls on fine-root dynamics along a rainfall gradient in Ghana. Trees 2020, 34, 917–929. [Google Scholar] [CrossRef]
  51. Vengavasi, K.; Pandey, R.; Soumya, P.R.; Hawkesford, M.J.; Siddique, K.H. Below-ground physiological processes enhancing phosphorus acquisition in plants. Plant Physiol. Rep. 2021, 26, 600–613. [Google Scholar] [CrossRef]
  52. Fang, J.; Lutz, J.A.; Shugart, H.H.; Liu, F.; Yan, X. Predicting soil mineralized nitrogen dynamics with fine root growth and microbial processes in temperate forests. Biogeochemistry 2022, 158, 21–37. [Google Scholar] [CrossRef]
  53. Yang, X.; Wang, B.; Fakher, A.; An, S.; Kuzyakov, Y. Contribution of roots to soil organic carbon: From growth to decomposition experiment. Catena 2023, 231, 107317. [Google Scholar] [CrossRef]
  54. Jia, S.X.; Wu, C.J.; Liu, X.F.; Guo, J.F. Effects of harvest residue treatments on soil phosphorus fractions and availability in a young Chinese fir plantation. J. Appl. Ecol. 2019, 30, 3662–3670. [Google Scholar]
  55. Shabtai, I.A.; Hafner, B.D.; Schweizer, S.A.; Höschen, C.; Possinger, A.; Lehmann, J.; Bauerle, T. Root exudates simultaneously form and disrupt soil organo-mineral associations. Commun. Earth Environ. 2024, 5, 699. [Google Scholar] [CrossRef]
  56. Helfenstein, J.; Ringeval, B.; Tamburini, F.; Mulder, V.L.; Goll, D.S.; He, X.; Alblas, E.; Wang, Y.; Mollier, A.; Frossard, E. Understanding soil phosphorus cycling for sustainable development: A review. One Earth 2024, 7, 1727–1740. [Google Scholar] [CrossRef]
  57. Khashi u Rahman, M.; Wang, X.; Gao, D.; Zhou, X.; Wu, F. Root exudates increase phosphorus availability in the tomato/potato onion intercroping system. Plant Soil 2021, 464, 45–62. [Google Scholar] [CrossRef]
  58. Jing, H.; Wang, H.; Wang, G.; Liu, G.; Cheng, Y. The mechanism effects of root exudate on microbial community of rhizosphere soil of tree, shrub, and grass in forest ecosystem under N deposition. ISME Commun. 2023, 3, 120. [Google Scholar] [CrossRef]
  59. Shepherd, R.M.; Oliverio, A.M. Micronutrients modulate the structure and function of soil bacterial communities. Soil Biol. Biochem. 2024, 192, 109384. [Google Scholar] [CrossRef]
  60. Zabowski, D.; Chambreau, D.; Rotramel, N.; Thies, W.G. Long-term effects of stump removal to control root rot on forest soil bulk density, soil carbon and nitrogen content. For. Ecol. Manag. 2008, 255, 720–727. [Google Scholar] [CrossRef]
  61. Jiang, X.; Liu, W.; Yang, H.; Wang, H.; Li, Z. Study on Mechanical Characteristics of Living Stumps and Reinforcement Mechanisms of Slopes. Sustainability 2024, 16, 4294. [Google Scholar] [CrossRef]
Figure 1. Study site overview.
Figure 1. Study site overview.
Forests 16 00203 g001
Figure 2. Diagram of the soil core sampling method at the sample site. (A) Schematic diagram of soil layer sampling for Chinese fir stump biomass. (B) Schematic diagram of distance-based sampling for Chinese fir stump biomass.
Figure 2. Diagram of the soil core sampling method at the sample site. (A) Schematic diagram of soil layer sampling for Chinese fir stump biomass. (B) Schematic diagram of distance-based sampling for Chinese fir stump biomass.
Forests 16 00203 g002
Figure 3. Vertical distribution of live fine root biomass in Chinese Fir stumps. The data shown in the figure represent the mean ± standard error. Capital letters denote significant differences (p < 0.05) among harvest years, while lowercase letters signify significant differences (p < 0.05) between soil layers associated with Chinese Fir stumps. (AC) correspond to the LFRB at the Chinese Fir stump in three soil layers at distances of 30 cm, 60 cm, and 90 cm from the stump, respectively. (DF) correspond to the proportions of LFRB at the Chinese Fir stump in the three soil layers at distances of 30 cm, 60 cm, and 90 cm from the stump, respectively.
Figure 3. Vertical distribution of live fine root biomass in Chinese Fir stumps. The data shown in the figure represent the mean ± standard error. Capital letters denote significant differences (p < 0.05) among harvest years, while lowercase letters signify significant differences (p < 0.05) between soil layers associated with Chinese Fir stumps. (AC) correspond to the LFRB at the Chinese Fir stump in three soil layers at distances of 30 cm, 60 cm, and 90 cm from the stump, respectively. (DF) correspond to the proportions of LFRB at the Chinese Fir stump in the three soil layers at distances of 30 cm, 60 cm, and 90 cm from the stump, respectively.
Forests 16 00203 g003
Figure 4. Vertical distribution of dead fine root biomass in Chinese Fir stumps. (AC) correspond to the DFRB at the Chinese Fir stump in three soil layers at distances of 30 cm, 60 cm, and 90 cm from the stump, respectively. (DF) correspond to the proportions of DFRB at the Chinese Fir stump in the three soil layers at distances of 30 cm, 60 cm, and 90 cm from the stump, respectively. Capital letters denote significant differences (p < 0.05) among harvest years, while lowercase letters signify significant differences (p < 0.05) between soil layers associated with Chinese Fir stumps.
Figure 4. Vertical distribution of dead fine root biomass in Chinese Fir stumps. (AC) correspond to the DFRB at the Chinese Fir stump in three soil layers at distances of 30 cm, 60 cm, and 90 cm from the stump, respectively. (DF) correspond to the proportions of DFRB at the Chinese Fir stump in the three soil layers at distances of 30 cm, 60 cm, and 90 cm from the stump, respectively. Capital letters denote significant differences (p < 0.05) among harvest years, while lowercase letters signify significant differences (p < 0.05) between soil layers associated with Chinese Fir stumps.
Forests 16 00203 g004
Figure 5. Horizontal distribution of live fine root biomass in Chinese Fir stumps. (AC) represent the LFRBs of Chinese Fir stumps in the 0–20 cm, 20–40 cm, and 40–60 cm soil layers, respectively, at various distances. (DF) represent the proportions of LFRBs of Chinese Fir stumps in the 0–20 cm, 20–40 cm, and 40–60 cm soil layers, respectively, at various distances. Capital letters denote significant differences (p < 0.05) among harvest years, while lowercase letters signify significant differences (p < 0.05) between soil layers associated with Chinese Fir stumps.
Figure 5. Horizontal distribution of live fine root biomass in Chinese Fir stumps. (AC) represent the LFRBs of Chinese Fir stumps in the 0–20 cm, 20–40 cm, and 40–60 cm soil layers, respectively, at various distances. (DF) represent the proportions of LFRBs of Chinese Fir stumps in the 0–20 cm, 20–40 cm, and 40–60 cm soil layers, respectively, at various distances. Capital letters denote significant differences (p < 0.05) among harvest years, while lowercase letters signify significant differences (p < 0.05) between soil layers associated with Chinese Fir stumps.
Forests 16 00203 g005
Figure 6. Horizontal distribution of dead fine root biomass in Chinese Fir stumps. (AC) represent the DFRBs of Chinese Fir stumps in the 0–20 cm, 20–40 cm, and 40–60 cm soil layers, respectively, at various distances. (DF) represent the proportions of DFRB of Chinese Fir stumps in the 0–20 cm, 20–40 cm, and 40–60 cm soil layers, respectively, at various distances. Capital letters denote significant differences (p < 0.05) among harvest years, while lowercase letters signify significant differences (p < 0.05) between soil layers associated with Chinese Fir stumps.
Figure 6. Horizontal distribution of dead fine root biomass in Chinese Fir stumps. (AC) represent the DFRBs of Chinese Fir stumps in the 0–20 cm, 20–40 cm, and 40–60 cm soil layers, respectively, at various distances. (DF) represent the proportions of DFRB of Chinese Fir stumps in the 0–20 cm, 20–40 cm, and 40–60 cm soil layers, respectively, at various distances. Capital letters denote significant differences (p < 0.05) among harvest years, while lowercase letters signify significant differences (p < 0.05) between soil layers associated with Chinese Fir stumps.
Forests 16 00203 g006
Figure 7. Coefficient of loss of total biomass of living fine roots of Chinese Fir stumps.
Figure 7. Coefficient of loss of total biomass of living fine roots of Chinese Fir stumps.
Forests 16 00203 g007
Figure 8. Biomass loss coefficient of live fine roots at the stump of Chinese Fir. (A) Loss coefficient for different soil layers. (B) Loss coefficient for different distances.
Figure 8. Biomass loss coefficient of live fine roots at the stump of Chinese Fir. (A) Loss coefficient for different soil layers. (B) Loss coefficient for different distances.
Forests 16 00203 g008
Figure 9. Soil chemical properties of Chinese Fir stumps. Lowercase letters signify significant differences (p < 0.05) between soil layers associated with Chinese Fir stumps. (A) Trends in soil organic matter content versus trends in the loss of live fine root biomass. (B) Trends in soil total phosphorus content versus trends in the loss of live fine root biomass. (C) Trends in soil total nitrogen content versus trends in the loss of live fine root biomass.
Figure 9. Soil chemical properties of Chinese Fir stumps. Lowercase letters signify significant differences (p < 0.05) between soil layers associated with Chinese Fir stumps. (A) Trends in soil organic matter content versus trends in the loss of live fine root biomass. (B) Trends in soil total phosphorus content versus trends in the loss of live fine root biomass. (C) Trends in soil total nitrogen content versus trends in the loss of live fine root biomass.
Forests 16 00203 g009
Table 1. Basic situation of the study site.
Table 1. Basic situation of the study site.
Logging YearAltitude (m)Stump Diameter (cm)Soil Bulk Density (g·cm−3)Retention Time (Age)
2023959.8 ± 10.7119.6 ± 1.401.25 ± 0.050
20221061.7 ± 3.5719.0 ± 0.450.85 ± 0.041
20211041.2 ± 1.6620.8 ± 1.730.87 ± 0.042
2020996.0 ± 4.5016.5 ± 0.390.97 ± 0.103
2019556.7 ± 0.5417.3 ± 0.921.00 ± 0.054
2018945.7 ± 3.7815.1 ± 0.370.95 ± 0.065
2017764.5 ± 3.4716.4 ± 1.261.28 ± 0.096
2015634.0 ± 0.4018.2 ± 0.331.09 ± 0.058
2014757.6 ± 6.6218.8 ± 1.481.30 ± 0.049
Note: Values in the table are mean ± standard error.
Table 2. Loss turnover of fine roots from Chinese Fir stumps.
Table 2. Loss turnover of fine roots from Chinese Fir stumps.
Loss Coefficient kT0.5 (yr)T9.5 (yr)
Live fine roots in different soil layers0–20 cm0.1983.515.1
20–40 cm0.1993.515.1
40–60 cm0.1933.615.5
Live fine roots at different distances30 cm0.2183.213.7
60 cm0.1943.615.4
90 cm0.1763.917.0
Total live fine root0–60 cm0.1973.515.2
Disclaimer/Publisher’s Note: The statements, opinions and data contained in all publications are solely those of the individual author(s) and contributor(s) and not of MDPI and/or the editor(s). MDPI and/or the editor(s) disclaim responsibility for any injury to people or property resulting from any ideas, methods, instructions or products referred to in the content.

Share and Cite

MDPI and ACS Style

Bao, Y.; Wang, X.; Guo, H.; Zhou, G.; Chen, Y. Spatiotemporal Dynamics of Fine Root Biomass in Chinese Fir (Cunninghamia lanceolata) Stumps and Their Impacts on Soil Chemical Properties. Forests 2025, 16, 203. https://doi.org/10.3390/f16020203

AMA Style

Bao Y, Wang X, Guo H, Zhou G, Chen Y. Spatiotemporal Dynamics of Fine Root Biomass in Chinese Fir (Cunninghamia lanceolata) Stumps and Their Impacts on Soil Chemical Properties. Forests. 2025; 16(2):203. https://doi.org/10.3390/f16020203

Chicago/Turabian Style

Bao, Yinmanda, Xu Wang, Hao Guo, Guangyi Zhou, and Yuehua Chen. 2025. "Spatiotemporal Dynamics of Fine Root Biomass in Chinese Fir (Cunninghamia lanceolata) Stumps and Their Impacts on Soil Chemical Properties" Forests 16, no. 2: 203. https://doi.org/10.3390/f16020203

APA Style

Bao, Y., Wang, X., Guo, H., Zhou, G., & Chen, Y. (2025). Spatiotemporal Dynamics of Fine Root Biomass in Chinese Fir (Cunninghamia lanceolata) Stumps and Their Impacts on Soil Chemical Properties. Forests, 16(2), 203. https://doi.org/10.3390/f16020203

Note that from the first issue of 2016, this journal uses article numbers instead of page numbers. See further details here.

Article Metrics

Back to TopTop