Abstract
This study presents a novel approach to analyzing forest regeneration dynamics by integrating a Markov chain model with Multivariate Time Series (MTY) decomposition. The probabilistic tracking of age-class transitions was combined with the decomposition of regeneration rates into trend, seasonal, and irregular components, unlike traditional deterministic models, capturing the variability and uncertainties inherent in forest ecosystems, offering a more nuanced understanding of how Scots pine (Pinus sylvestris L.) and other tree species evolve under different management and climate scenarios. Using 20 years of empirical data from the Lithuanian National Forest Inventory, the study evaluates key growth and mortality parameters for Scots pine, Spruce (Picea abies), Birch (Betula pendula), and Aspen (Populus tremula). The model for Scots pine showed a 79.6% probability of advancing from the 1–10 age class to the 11–20 age class, with subsequent transitions of 82.9% and 84.1% for older age classes. The model for Birch shown a strong early growth rate, with an 84% chance of transitioning to the next age class, while the model for Aspen indicated strong slowdown after 31 years. The model indicated moderate early growth for Spruce with a high transition in later stages, highlighting its resilience in mature forest ecosystems. Sensitivity analysis revealed that while higher growth rates can prolong forest stand longevity, mortality rates above 0.33 severely compromise stand viability. The Hotelling control chart identified critical deviations in forest dynamics, particularly in years 13 and 19, suggesting periods of environmental stress. The model offers actionable insights for sustainable forest management, emphasizing the importance of species-specific strategies, adaptive interventions, and the integration of climate change resilience into long-term forest planning.
1. Introduction
Forests are integral to the health of our planet, and provide a wide array of ecological, economic, and social benefits. They act as carbon sinks, mitigating climate change by absorbing and storing significant amounts of carbon dioxide [1]. At the same time, forests contribute to maintaining the hydrological cycle, preventing soil erosion, and regulating local and global temperatures [2]. Biodiversity thrives in forest ecosystems, with countless species relying on forests for shelter, food, and breeding grounds [3]. Economically, forests are invaluable, providing timber, fuel, and non-timber forest products such as medicinal plants and edible fruits, which are essential for both global industries and local livelihoods [4]. Understanding the dynamics of forest regeneration is needed to ensure the sustainability of these benefits [5,6]. Regeneration involves establishment of new seedlings, which are the basis for the continuity of forests [7]. Growth, which includes the increase in biomass, tree height, and diameter, determines the productivity and structural complexity of forests [8]. Mortality, loss of trees due to aging, disease, competition, or external factors such as climate extremes, play a vital role in the formation of forest composition and the influence of nutrient cycling [9]. These processes drive forest dynamics, dictating how forests recover from disturbances, adapt to changing conditions, and evolve over time [10,11].
Scots pine (Pinus sylvestris L.) is a dominant species in Lithuanian forests, and provides an exemplary case study to understand these dynamics [12,13]. Scots pine covers a vast geographic range across Lithuania, making it one of the dominant species in the country’s forest ecosystems [14]. Its adaptability to various types of soils and climatic conditions allows it to thrive in both temperate and boreal zones. Scots pine is found in a variety of age classes, from young regenerating stands to older mature forests, and is distributed throughout the lowlands and uplands of Lithuania, supporting the timber industry as a cornerstone of Lithuania’s economic forest management strategies [15]. In Lithuania, Spruce (Picea abies), Birch (Betula pendula), and Aspen (Populus tremula) play complementary roles to Scots pine in forest ecosystems [16]. Spruce is more prevalent in younger age classes, but tends to decline in older stages, with higher mortality and vulnerability to environmental stress. Birch and Aspen, as pioneer species, dominate early successional stages, contributing to forest diversity, but their roles are more transient, compared to more resilient and dominant Scots pine. Economically, Scots pine is most valued for its timber, which is used in construction, furniture manufacturing, and paper production [17]. The species also contributes to carbon sequestration, making it a key player in climate change mitigation strategies [12].
Pine forests in Lithuania face several challenges, with the impacts of climate change, such as the increased frequency of droughts and warmer winters, playing a significant role [18]. These changes weaken trees, making them more susceptible to diseases [19] and pests [20], particularly bark beetles, which have caused widespread damage in recent years. The decline in regeneration rates is also an issue, as natural regeneration is hampered by changes in soil moisture and temperature [21]. In addition, high mortality rates [22] are observed in young pine stands due to environmental stress and pest infestations. Human activities, including intensive forest management (Lithuania is one of the largest exporters of pine materials in the northern Europe) and changes in land use, further exacerbate these issues, leading to a decrease in the resilience of pine forests.
Addressing these challenges requires a systematic and data-driven approach to quantify regeneration, growth, and mortality processes. Accurate data collection through forest inventories, remote sensing, and field studies is essential to establish baseline conditions and identify trends [12]. Mathematical models provide powerful tools to analyze these dynamics, enabling simulation of forest evolution in different scenarios [23]. These models incorporate empirical data to predict how forests might respond to management practices, environmental changes, and disturbances. By understanding the drivers of forest stand dynamics, policymakers and forest managers can develop strategies to improve forest resilience, promote biodiversity, and optimize the delivery of ecosystem services [24]. The approach is especially relevant for poorly managed forests in Lithuania [25,26]. This approach ensures that forests continue to play a vital role in the survival of life [12,13].
Previous studies such as the study by Eberhard and Hasenauer [27] utilized growth simulators such as MOSES, focusing on light competition and the regeneration dynamics of Douglas fir in Central Europe. Although these studies emphasized individual factors like light availability, they lacked the probabilistic modeling of multi-factor influences over time. Similarly, Vergarechea et al. [28] modeled climate-mediated regeneration in Mediterranean pine forests using survival analysis, which highlighted climate impacts, but did not incorporate age-specific mortality dynamics as extensively.
The key research objective in this study is the development of a mathematical model to represent the regeneration dynamics of Scots pine in Lithuania, estimating the regeneration, growth, and mortality rates for each age class. The innovative approach is based on the Markov chain and Multivariate Time Series (MTY) decomposition, incorporating 20 years of empirical data from the Lithuanian National Forest Inventory, and is evaluated through the impact of parameter variability under various scenarios.
The significance of this research lies in providing a quantitative tool to predict the outcomes of different management interventions, helping to make informed decisions that balance economic objectives with ecological sustainability, regarding the impacts of climate change on forest ecosystems.
2. Related Works
The dynamics of forest regeneration help us to understand how forests evolve over time, recover from disturbances and respond to environmental changes [29], and help us to understand the processes that drive the natural renewal of forest ecosystems [30,31]. As such, forest dynamics modeling has evolved significantly over the years, with various approaches developed to simulate complex interactions within forest ecosystems [32,33]. Early models often focused on specific aspects of forest dynamics, such as the growth or succession of stands, and utilized deterministic approaches [30]. With advances in computational power and ecological understanding, more comprehensive models have emerged that incorporate aspects such as species interactions, disturbance regimes, and climate effects [34,35]. Notable among these is the gap model, which simulates the birth, growth, and death of trees within small patches, allowing for the examination of succession and competition dynamics. The Lee–Carter model, originally developed to forecast human mortality trends, has been adapted to analyze tree mortality, providing information on how environmental factors influence long-term survival patterns [29]. A similar approach to tree mortality is illustrated by the approach of Babst et al. [36], where it was used to project future mortality rates in European forests under climate change scenarios, as the model allowed the authors to analyze how mortality is influenced by both climate variables and forest stand characteristics. Rocha et al. [37] investigated models to predict tree mortality, finding that the individual tree-level model integrating dendrometric and meteorological variables was the most efficient. Manso et al. [38] applied a model similar to the Lee–Carter model to assess how the mortality risk of tree species is influenced by stochasticity from extreme climatic events and multi-species competition, revealing effects of complementarity processes in tree mortality.
We offer an overview of related approaches in Table 1, showcasing a progression from traditional methods to more sophisticated multivariate approaches that address species-specific needs and environmental stressors. One key observation is the increasing reliance on geospatial and remote sensing technologies, as seen in the work by Ryzhkova et al. [39], which illustrates the utility of GIS in monitoring large and inaccessible forest areas. Richit et al.’s [40] study goes further by applying artificial neural networks, signaling a shift towards models that can handle nonlinear interactions and provide long-term, adaptive management solutions, particularly in ecosystems with complex hydrological dynamics such as riparian buffer strips. The use of Markov chains, Bayesian inference, and process-based models in other works highlights a growing emphasis on probabilistic approaches, reflecting the need to account for uncertainties in climate impacts and species interactions. For example, Mantero et al.’s [41] Bayesian regression model not only identifies high-priority areas for restoration, but also minimizes economic costs, showing how machine learning can enhance practical forest management. The work of Eberhard and Hasenauer [42] on light competition between Douglas firs in central Europe exemplifies how fine-scale ecological interactions are critical to regeneration success, suggesting that generalized models may overlook key factors such as canopy light availability. Additionally, Vergarechea et al.’s [28] climate-mediated modeling brings to light the intricate species-climate dynamics that affect regeneration probabilities in Mediterranean forests, reinforcing the role of predictive, climate-sensitive modeling for future forest management. The above works indicate that modern forest regeneration models must integrate multiple ecological, climatic, and spatial factors to provide actionable insights, particularly as forests face more frequent and severe disturbances from climate change and human intervention, as the trend towards integrating dynamic high-resolution models represents a shift in ensuring long-term forest resilience and sustainability in various biomes.
Table 1.
Summary of related works.
3. Methodology
3.1. Context Information
Lithuania, located in Northern Europe (Figure 1), has a diverse forest landscape shaped by its transitional climate and varied soil types. Lithuania experiences a transitional climate that combines maritime and continental influences, resulting in mild, moderately wet winters and relatively cool summers. The country’s climate is characterized by average temperatures ranging from −5 °C in January to about 17 °C in July and significant humidity and precipitation throughout the year, with annual averages between 600 and 800 mm. Lithuanian climate supports reasonably diverse forest growth, but also predisposes forests to certain diseases and pests due to high moisture levels. Forests cover approximately 33.5% of Lithuania, with forest types shaped by both natural processes and human activities. Coniferous forests are dominated by Scots pine and Norway spruce, these forests are primarily found in sandy or podzolic soils, which are acidic and low in nutrients, formed in humid conditions. Deciduous forests are made up of Birch, Aspen, oak, and ash, located mainly on fertile soils in southern and central Lithuania. Mixed forests contain a mixture of coniferous and deciduous species and offer rich biodiversity.
Figure 1.
Locations of study within Europe.
3.2. Data Collection Methodology
The methodology for data collection in national forest inventories involves a systematic approach based on field surveys with random starting points, the integration of repeated measurements in permanent maps with assessments in temporary maps and the combination of ground measurements in designated inventory plots with evaluations from satellite images and aerial photographs.
The National Forest Inventory (NFI) conducts ground measurements on forest land, but, in exceptional cases, measurements are also carried out in forest trenches as they are directly related to forest formation. Fieldwork is performed by teams assigned to both permanent and temporary inventory plots. Each team responsible for permanent plots works in a designated inventory district for five years before switching to a different district for the next five years. To evenly distribute permanent inventory plots across the country and regularly monitor transformations in other land uses and the growth of forests there, a systematic layout method with a random start is chosen. Inventory plots for ground measurement are grouped in fours, and group plots are positioned at the vertices of an equilateral triangle. Aligning with the kilometer grid of Lithuania’s coordinates, permanent inventory plot groups were arranged every fourth row and every fourth kilometer column in a staggered manner every 4 km. One group of permanent inventory plots covers a territory of 16 km2 or 400 ha per permanent inventory plot. All permanent inventory plots are measured over a 5-year period, arranged so that the tracts each year ensure the most uniform distribution throughout the country.
Data collection covers a total of 16,349 permanent observation plots across the national territory, with one-fifth of all permanent observation plots remeasured annually. Annual results are calculated using the last five years’ data, ensuring continuous and overlapping data provision. Each permanent inventory plot (Figure 2) represents 400 ha of the territory:
Figure 2.
Schematic layout of a forest inventory plot used for systematic data collection. A, B, C, D are inventory areas.
- 500 m2 (Area A)—for the inventory of trees and stumps with a diameter at breast height greater than 14.0 cm.
- 100 m2 (Area B)—for the inventory of trees and stumps with a diameter at breast height greater than 6.0 cm.
- 25 m2 (¼ of a small circle, Area C)—for the inventory of trees with a diameter at breast height greater than 2.0 cm.
- 30 m2 (Area D)—for the inventory of undergrowth and ground vegetation.
Inventory trees in permanent plots are used to assess tree heights, while in temporary plots, they are used to evaluate tree heights, stand age, and volume growth.
3.3. Forest Inventory Dataset
For the purposes of this study on the dynamics of forest regeneration of Scots pine stands in Lithuania, we used a dataset compiled from the Lithuanian National Forest Inventory (NFI), which encompasses a wide range of variables collected through field surveys, spanning multiple years to capture temporal changes in forest structure and composition, including regeneration rates (), growth rates (), and mortality rates (). It provides the empirical basis for model validation and sensitivity analysis. Details for downloading the data set are provided in the Data Availability Statement.
The data set (see Table 2) includes the following key characteristics and variables, used to develop and validate the forest regeneration model.
Table 2.
Summary of forest inventory data for Scots pine Stands in Lithuania.
Table 3 presents the distribution of forest stands in different age classes for Pine, Spruce, Birch, and Aspen in Lithuania, based on data as of 1 January 2021. The area is expressed in hectares.
Table 3.
Distribution of forest stands across different age classes for Pine, Spruce, Birch, and Aspen in Lithuania, as of 1 January 2021.
Figure 3 visualizes the distribution of forest area (in thousands of hectares) for four species of trees (Pine, Spruce, Birch, and Aspen) in various age classes. The age classes are categorized in 10-year intervals, starting from 1 to 10 years to greater than 100 years.
Figure 3.
Forest stands distribution across tree species and age classes.
Figure 4 illustrates the distribution of forest stands in various age classes, measured in decades, from 0 to 10 years to 90–100 years.
Figure 4.
Total number of forest stands in age classes.
Figure 5 highlights the spatial distribution of Scots pine and other dominant tree species.
Figure 5.
Forest stands distribution across different regions in Lithuania as of January 2021.
The main trends and observations from this dataset are summarized in Table 4.
Table 4.
Summary of forest stand distribution trends across age classes.
3.4. Outline of Methodology
In this study, several mathematical methods are employed to analyze and model the dynamics of forest ecosystems, providing the quantitative backbone for understanding ecological interactions and predicting future trends based on current forest data.
To model the stochastic nature of forest growth and species succession, Markov chains [46] are employed. These provide a framework for predicting the probability of transitioning from one state to another in a discrete-time framework, namely for modeling random events in forest dynamics, such as fire outbreaks, disease spread, and the random establishment of new plant species.
Sensitivity analysis [47] is used to determine how the output of a model is affected by changes in one or more input parameters, useful for ecological modeling to assess the robustness of model predictions under uncertainty and to identify the most influential parameters driving model outcomes.
The Hotelling Control Chart [48] is used for monitoring the stability of interrelated variables that often characterize complex forest ecosystems. It helps in detecting outliers or abnormal shifts in the forest data set.
The MTY decomposition [49] is a method used to dissect the components of multivariate time series data, isolating trends, seasonal effects, and other cyclic variations, such as annual forest growth rates, seasonal pest infestations, or cyclic climatic effects on forest health. By decomposing these series, we can understand the underlying patterns and causal relationships, which may not be apparent from raw data, to obtain insights into the temporal dynamics of multiple factors influencing forest ecosystems.
3.5. Model Assumptions
Markov chain models provide a robust framework for predicting changes in forests. The assumptions for accurately interpreting the model outcomes in the forestry domain as follows:
- The forest ecosystem is segmented into discrete states or classes, typically defined by the age, size, or developmental stages of the tree, which represent groups with similar ecological characteristics. Each state encompasses a specific forest condition or age class. Time is treated in discrete intervals, with transitions assessed at these intervals, simplifying the continuous nature of forest dynamics.
- A fundamental premise of the Markov chain model is its memorylessness. The future state of the system depends solely on the current state, not on the sequence of events that preceded it. This assumption implies that the process history does not influence future state transitions.
- Transitions between states occur with constant probabilities that are assumed to remain consistent over time. Each probability quantifies the likelihood of transitioning from state i to state j in one time period, adhering to .
- The model assumes that transitions are independent. Changes in the state of one forest plot do not affect transitions in another, simplifying modeling by excluding spatial interactions or dependencies.
- The stationarity assumption posits that transition probabilities do not change over time, which is crucial for long-term modeling but may not always hold in real scenarios.
- It is typically assumed that all plots within a state are homogeneous. This assumption ignores within-state variability due to factors such as soil type or microclimates.
3.6. Mathematical Modeling of Forest Regeneration
In this section, we present a formal mathematical model that describes the regeneration dynamics of a forest, focusing on the regeneration rate, the growth rate, and the mortality rate of the forest stands over time. The model tracks the number of stands across different age classes in a forest, incorporating regeneration, growth, and mortality processes.
Further, we use the following notations:
- —number of stands of age class a at time t.
- —annual regeneration rate, representing the number of new stands established each year.
- —growth rate for stands in age class a.
- —mortality rate for stands in age class a.
The model is defined by the following processes:
- Regeneration:
- Growth: for each age class ,
- Mortality: for each age class ,
- For the oldest age class A, the boundary condition is given by
The model requires initial conditions for each age class a to simulate the forest regeneration dynamics over time.
The estimation of the model parameters was made to accurately simulate the forest regeneration dynamics determining the values of the regeneration rate (), growth rates (), and mortality rates () for each age class a. The estimation process is based on empirical data from forest inventories or observational studies.
The regeneration rate, , is estimated from the number of new stands established per year. It can be directly observed or calculated from the increase in stands in the youngest age class over time,
where is the change in the number of stands in the first age class over the time interval .
The growth rate for each age class, , represents the proportion of stands that transition to the next age class in a given year. It is estimated by comparing the number of stands in successive age classes,
assuming that growth is the only transition between these age classes.
The mortality rate for each age class, , indicates the proportion of stands that die in a given year. It can be inferred from the reduction in the number of stands not transitioning to the next age class,
where is the growth rate from age class a to .
3.7. Analytical Solution of the Model
For certain simplified versions of the forest regeneration model, analytical solutions were derived to describe the state of the forest over time, given the initial conditions and the values of the parameters.
Consider a simplified version of the model where the growth rate () and the mortality rate () are constant across all age classes, and there is no maximum age limit. The model is represented by a linear difference equation for the number of stands in each age class,
where and are constants, and the regeneration rate () introduces new stands into the first age class each time period,
Under these conditions, the number of stands in each age class over time can be expressed as
assuming and the system has been running for a sufficient number of time steps to reach a steady state.
The solution to the difference equation provides a direct relationship between age class, regeneration rate, and growth and mortality rates. It shows how the number of stands decreases geometrically with age class, reflecting the cumulative effects of growth and mortality.
The analytical solution described is based on several simplifications.
- Constant rates of growth and mortality, which do not fully reflect real-world conditions where these rates vary with age, environmental factors, and density of the stand.
- Ignoring maximum age limits and other factors such as competition, disturbances, and management interventions that can affect stand dynamics.
- The assumption of a steady state may not be applicable to forests that experience significant changes or disturbances.
3.8. Model Analysis
Sensitivity analysis was conducted for model validation, aiming to measure its reliability and robustness of the model predictions by quantifying how changes in model parameters affect the model’s outputs and identifying which parameters are most influential on the model’s behavior, thereby guiding data collection efforts and prioritizing areas for research. Sensitivity of the model output Y with respect to a parameter can be defined as
where represents the sensitivity coefficient of Y to changes in parameter . Higher values of indicate that the model output is more sensitive to the parameter .
The sensitivity coefficient tells us how a small change in (for example, a slight increase in temperature) would affect Y (for example, forest growth rate, tree mortality rate, or overall forest health). The derivative encapsulates this responsiveness numerically. The magnitude of indicates how sensitive Y is to . A large absolute value suggests that Y is highly sensitive to changes in ; small changes in could lead to significant changes in Y. The sign of indicates the direction of the effect: a positive value means Y increases with an increase in , while a negative value means Y decreases as increases.
3.8.1. Sensitivity Analysis with Respect to Regeneration Rates
The sensitivity of the forest regeneration model to changes in the regeneration rate () was carried out to understand the behavior of the model, given the direct impact of on the initial conditions and the subsequent dynamics of the forest stands, evaluating the influence of variations in on the predictions of the model.
Consider the forest regeneration model described by the discrete-time equation for the number of stands in the youngest age class,
The sensitivity of the model’s output, specifically the total number of stands after t years, , with respect to can be expressed as
Given the direct relationship between and , and subsequently , we can further derive that
where T represents the total simulation time.
For the simplified model in which growth and mortality rates are assumed constant between age classes, the sensitivity essentially captures the cumulative impact of changing over time. If the model assumes that all stands regenerate directly contribute to the total stand count without loss, then
indicating that the model’s output is linearly sensitive to changes in the regeneration rate. In more complex models, would need to account for the diminished contributions of older age classes due to mortality, as well as nonlinear effects due to density-dependent growth or mortality factors.
3.8.2. Sensitivity Analysis of the Forest Growth Model with Respect to Mortality Rates
Understanding how changes in mortality rates () affect the dynamics of forest growth was based on the sensitivity analysis of a forest growth model regarding mortality rates, highlighting the interconnection of mortality and forest stand dynamics over time.
The sensitivity of the forest growth model’s output, such as the total biomass or the number of mature stands at time t, to changes in mortality rates for a specific age class a, is expressed as
where represents the model output of interest at time t, and is the mortality rate for age class a. This sensitivity indicates how a small change in the mortality rate of a specific age class affects the model’s output, reflecting the direct and indirect impacts of mortality on forest growth.
For a given age class a, the direct impact of an increase in reduces the number of stands that survive to the next age class. The indirect effects accumulate over time as fewer stands progress through the subsequent age classes. Assuming a simplified model where growth and transition between age classes are otherwise constant, the sensitivity can be approximated by aggregating the impacts across all affected age classes,
where is the number of stands in age class j at time t, and A is the maximum age class considered in the model.
Assuming linear relationships and no compensatory growth for loss in stands due to increased mortality, the sensitivity highlights the cumulative impact of mortality rates on the forest’s ability to grow and sustain its biomass over time. A higher absolute value of indicates that forest growth and biomass are more susceptible to changes in mortality rates, underscoring the importance of understanding and managing factors contributing to tree mortality.
3.8.3. Sensitivity Analysis with Respect to Mortality Rates
The impact of mortality rates () on the forest regeneration model was analyzed to interpret the resilience and long-term sustainability of forest ecosystems. Mortality rates influence the attrition of stands in different age classes, directly affecting forest composition and stand density over time. Higher sensitivity values indicate that small changes in mortality rates could lead to significant alterations in forest composition.
Given the forest regeneration model’s structure, the sensitivity of the total number of stands, , with respect to changes in mortality rates for a specific age class a, , can be formulated as
Considering the model’s dynamics, where the number of stands in age class a at time t is , and applying the chain rule for differentiation, we obtain
where T is the total simulation time, and A is the maximum age class.
For a simplified model where is constant and independent of , the sensitivity can be approximated by considering the immediate impact of mortality rates on each age class and their downstream effects on older classes,
assuming a linear response of stand numbers to changes in mortality rates. This approximation neglects potential compensatory mechanisms or density-dependent effects that could modulate the impact of increased mortality.
4. Markov Chain Model of Forest Regeneration Dynamics
The dynamics of forest regeneration were modeled using a Markov chain, where the state of a forest at any given time is determined by its state at the previous time step, with transitions between states governed by a set of probabilities. The Markov chain model for forest regeneration dynamics operates under several key assumptions:
- The future state of the forest depends only on its current state, not on the sequence of events that preceded it (Markov property).
- The transition probabilities are constant over time, implying stationary environmental conditions and management practices.
- The forest is closed to external influences other than those included in the transition probabilities, such as significant disturbances or changes in the management strategy.
Let the set of states represent the forest age classes, where corresponds to the age class. The state represents the youngest age class, typically seedlings and saplings, while represents the oldest age class within the forest.
The transition probabilities between states are represented by a matrix P, where each element denotes the probability of transitioning from state to state in one time step. For a forest regeneration model, the matrix P is structured to reflect growth (progression to the next age class), mortality (failure to progress), and regeneration processes,
where (for ) represents the probability of remaining in the same age class (owing to slow growth or no growth), represents the probability of progressing to the next age class, and represents the probability of remaining in the oldest age class.
The initial state distribution represents the age class distribution of the forest at the beginning of the model period, where is the proportion of the forest in state at time 0.
To effectively apply the Markov chain model for forest regeneration dynamics, we need to accurately estimate the transition probabilities between age classes. For parameter estimation, the dataset defined in Section 3.3 was used to extract information relevant to age class transitions for the primary tree species of interest, focusing on Pine, Spruce, Birch, and Aspen.
The transition probabilities of the Markov chain model are estimated based on the observed transitions between age classes in the dataset over a specified time interval. The formal definition for estimating these probabilities is given by
where is the probability of transition from age class i to age class j. is the number of stands observed to transition from the age class i to the age class j during the time interval. is the total number of stands in the age class i at the beginning of the time interval.
For age classes that directly progress to the next (for example, from age class i to ), captures the growth probability. The probability of remaining in the same age class () reflects slower growth or stagnation, and the transition to the absorbent state for the oldest age class () indicates mortality or the culmination of growth.
Given potential uncertainties and variabilities in forest inventory data, a Bayesian approach was used to estimate transition probabilities, incorporating prior knowledge and observed data to generate probability distributions for each , rather than point estimates, as this approach improves the robustness of the model to data gaps and variations.
where is the posterior distribution of the transition probability, is the likelihood of the observed data given the transition probability, and is the prior distribution of the transition probability.
Multivariate Time Series (MTY) Decomposition
Multivariate Time Series (MTY) decomposition is a method that we used to break down a multivariate time series into its constituent parts to better understand the underlying structure and dynamics of the data. In the context of forest stand dynamics, it involves decomposing the time series of tree ages into components such as trend, seasonal, and irregular components. MTY decomposition allows for a detailed analysis of how these components contribute to signals detected by the Hotelling control chart, which is a statistical tool used to monitor the stability of a process based on multiple variables simultaneously. For forest stand dynamics, it was used to monitor changes in the distribution of tree ages over time. When an out-of-control signal is detected, indicating a significant deviation from the expected multivariate process behavior, MTY decomposition was applied to investigate the source of this deviation.
The steps for applying MTY Decomposition are as follows:
- Use the Hotelling control chart to identify periods in which the multivariate process; in this case, the distribution of tree ages, deviates significantly from the control limits.
- Apply MTY Decomposition to the time series data related to the identified out-of-control signals, which involves separating the data into trend, seasonal, and irregular components for each variable, or, in this case, tree age class.
- Analyze the decomposed components to identify patterns or anomalies. For example, a sudden change in the trend component could indicate a shift in forest regeneration rates, while unusual patterns in the seasonal component could reflect cyclical changes in mortality rates.
5. Results
5.1. Forest Regeneration Model Rates
The Forest Regeneration Model rates were derived from Table 3 and are presented in Table 5, indicating the proportion of stands that survive and transition to the next age class, with a growth rate exceeding 100% from age class 31–40 to 41–50 due to an apparent increase in the area, which can be attributed to measurement adjustments, changes in forest management practices, or natural dynamics not captured by simple linear transitions. The RR rate represents the total area rather than an annual regeneration rate, due to the lack of explicit annual data. To derive an annual rate, additional information would be needed on the period over which this regeneration occurred. The model’s mortality rates become negative from the 31–40 to the 41–50 transition onward, which is counterintuitive, as mortality rates should range between 0 and 1. These negative values likely suggest underlying issues with the data, rather than true biological phenomena. Errors in measuring or recording the forest data, such as the area covered by each age class, can lead to incorrect calculation of negative rates. For example, an overestimation of the area in a younger age class followed by an underestimation in the next age class could artificially inflate growth rates, making mortality rates appear negative when calculated as residuals. This anomaly is the limitation of our model, as we have treated that such areas can directly translate into survival and growth rates without accounting for other factors such as afforestation, reforestation, and changes in land use or measurement methodologies over time.
Table 5.
Growth and mortality rates for tree species.
5.2. Markov Chain Modeling
Given the growth rates (GR) and mortality rates (MR) for Scots pine in Lithuania, the state transition matrix P for the first three age classes can be constructed, assuming that the transitions between age classes are solely dictated by the growth rates and that mortality is implicitly considered in these transitions (i.e., not surviving to the next age class is the complement of the growth rate).
where the first row represents transitions from the 1–10 age class, with 20.4% chance of staying in the same class (mortality and non-growth) and 79.6% chance of advancing to the 11–20 age class. The second and third rows follow the same logic for transitions from the 11–20 to 21–30 age classes and from the 21–30 to 31–40 age classes, respectively. The fourth row is a simplification that represents the transition of the forest beyond the age classes considered in this model, with the possibility 100% to remain in the state, reflecting the end point of our simplified model.
Similar state transition matrices can also be calculated for other tree species. Our Markov chain model (Figure 6) showed accurate transitions between different age classes based on the growth and mortality rates estimated from the Lithuanian forest inventory dataset for Scots pine, Spruce, Birch, and Aspen.
Figure 6.
Markov chain models for tree species illustrating transitions between forest age classes. The probabilities indicate regeneration, growth, and mortality transitions.
The Markov chain models for Scots pine, Spruce, Birch, and Aspen reveal distinct growth dynamics and survival probabilities in different forest age classes, providing information on the ecological strategies and responses of each species to environmental pressures. Scots pine exhibits a higher tendency to remain in the younger age class (1–10 years), with a 20.4% probability, indicating a slower initial growth or greater challenges in early-stage survival, which suggests that Scots pine may require longer to establish or faces more significant early-life mortality risks than other species analyzed. In contrast, Spruce shows a unique pattern in which it transitions with certainty (100%) from the 21–30 to the 31+ age class, reflecting effective forest management strategies that ensure its growth beyond the mid-life stages without interruption. Birch stands out with its high transition rate (84.0%) from the 1–10 to the 11–20 age class, the highest among the species, suggesting vigorous early growth. However, it also shows a notable probability (25.2%) of remaining in the 21–30 age class, indicating possible biological or environmental limitations that affect its older populations. Aspen, on the other hand, demonstrates exceptionally dynamic early growth, with a very high probability of moving from the 1–10 to the 11–20 age class, characteristic of pioneer species known for rapid growth in youth. However, its growth slows significantly as it matures, with a transition probability of 62.4% from the 21–30 to the 31+ class, highlighting a deceleration in growth or increased mortality risks at this stage. The resulting patterns indicate that while Aspen and Birch are quick to establish and grow in their early years, they face different challenges as they mature. Scots pine and Spruce, with their higher probabilities of staying in certain age classes, adapting more effectively to longer-term environmental stresses or benefiting from conservation efforts that protect them as they age.
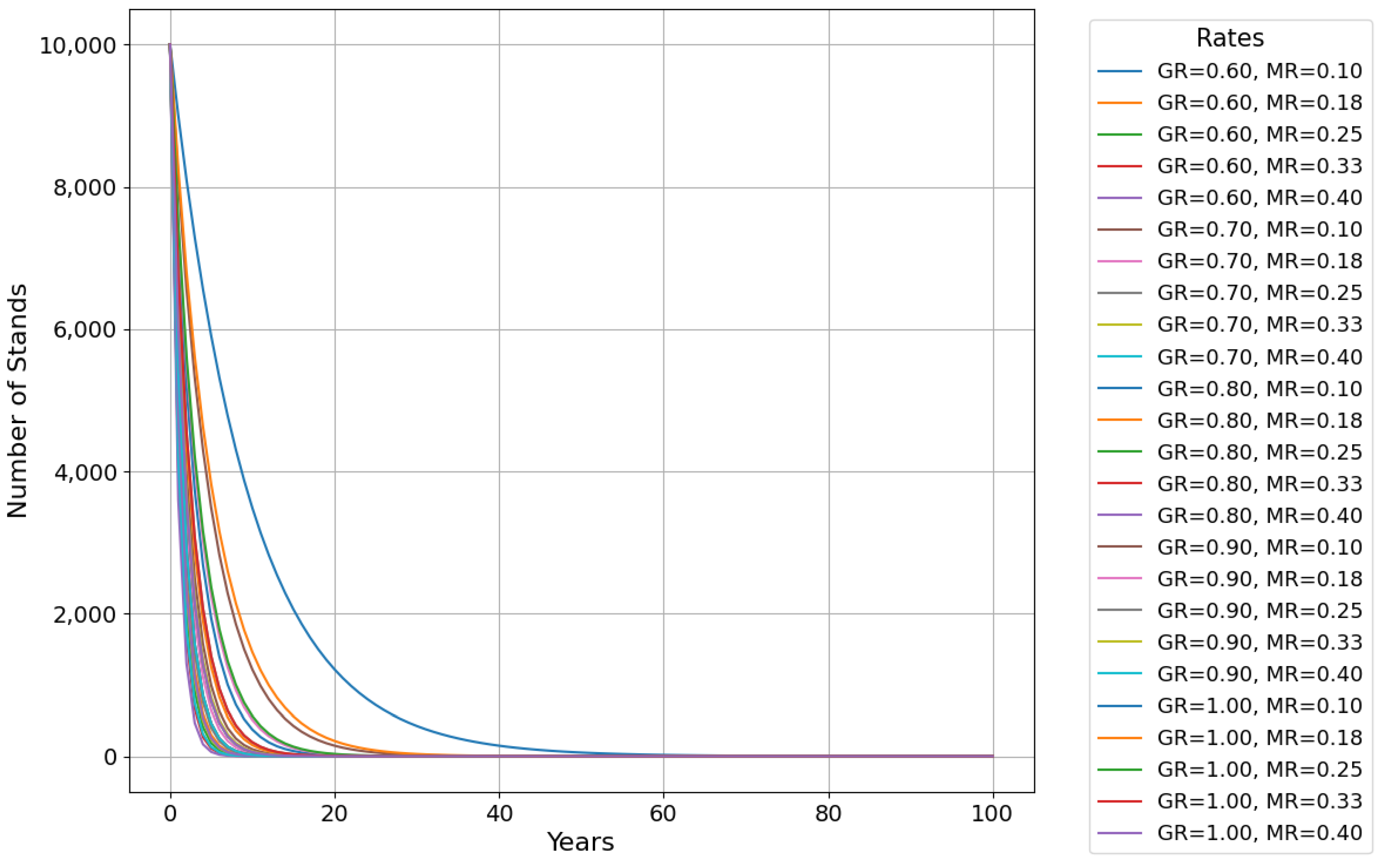
5.3. Sensitivity Analysis
Figure 7 presents sensitivity analysis of the forest regeneration model. It shows the impact of variations in growth and mortality rates on the size of the forest stand over time.
Figure 7.
Sensitivity analysis of the regeneration model. Variations in growth and mortality rates significantly impact long-term forest dynamics.
The results from the sensitivity analysis provide data on how the analyzed rates influence the longevity and viability of forest stands over a century. The results show a clear trend: higher growth rates generally sustain forest stands longer, whereas higher mortality rates accelerate the decline, evident where combinations with higher GR values persist with higher stand counts far longer than those with lower GRs. Curves with higher MRs, even with a high GR, decline more rapidly than those with lower MRs, illustrating the detrimental impact of high mortality regardless of growth. Forest stands with high growth rates (GR = 0.90 and GR = 1.00) and low mortality rates (MR = 0.10) show the greatest longevity, maintaining a higher number of stands for an extended period compared to other combinations. In contrast, any scenario with MR = 0.40, regardless of the growth rate, results in a rapid decline of forest stands, where the population approaches zero in about 40 years. There is a noticeable threshold effect around a GR of 0.70. Combinations below this growth rate, even with moderate mortality rates (for example, MR = 0.18), show a steep decline in stand numbers within the first few decades. Similarly, mortality rates greater than 0.33 significantly decrease stand longevity in all growth rates, highlighting a critical limit beyond which forest recovery is not sustainable. In general, the results show the importance of improving forest growth rates through management practices such as optimal spacing, selective logging, and species selection that favor faster growing trees. Strategies to reduce mortality rates, such as pest and disease management, protection from wildfires, and mitigation of environmental stressors, remain important and are especially vital in settings where the mortality rate approaches or exceeds the identified critical threshold (MR = 0.33).
5.4. Hotelling Control Chart
Figure 8 presents the Hotelling control chart monitoring multivariate forest dynamics over a series of observation years, identifying significant deviations in parameters such as regeneration, growth, and mortality rates. The Hotelling chart plots the statistic for each time point, with an upper control limit (UCL) set based on a chosen confidence level. Points exceeding the UCL, highlighted as out-of-control events, indicate potential anomalies or shifts in forest ecosystem behavior, such as unexpected mortality spikes or changes in age-class distributions. As we can see from the results, the deviations indicate that more investigation is needed to assess their causes, which could potentially include environmental stressors, management practices, or climate-related impacts, offering actionable insights for sustainable forest management.
Figure 8.
Hotelling control chart monitoring forest dynamics across observation years. Out-of-control points indicate significant deviations in multivariate forest characteristics.
The Hotelling control chart (Figure 8) was used for tracking various ecological indicators such as growth rates, mortality rates, and biodiversity indices, providing an overview of forest health over time. Out-of-control points, such as those observed in years 13 and 19, indicated significant deviations from expected patterns, suggesting sudden changes in forest composition potentially due to disease, pest invasions or environmental stressors (droughts in our case). Significant metric changes reflect changes in biodiversity, with implications for ecosystem functionality and health.
Table 6 presents a summary of the MTY decomposition analysis for regeneration rates between age classes. We have performed the decomposition of the regeneration rate time series data in different forest age classes to separate the observed data into trend, seasonal, and residual components. This analysis offers valuable insights into the underlying dynamics of forest regeneration within each age class: 1–10 years, 11–20 years, 21–30 years, and 31+ years. The decomposition method allowed for the identification of long-term patterns, periodic fluctuations, and unexplained anomalies in regeneration processes.
Table 6.
Summary of MTY decomposition analysis for regeneration rates across age classes.
For the youngest age class, 1–10 years, the results reveal a significant degree of seasonal variability in regeneration rates, suggesting that periodic factors, such as climatic conditions or scheduled management interventions, played a role in influencing regeneration outcomes. In addition to these cyclical variations, the trend component demonstrates a steady increase, indicating a general improvement in regeneration conditions over time. The residual component shows occasional spikes, reflecting disturbances or external events that affect the youngest forest stands.
In the 11–20-year age class, the trend appears relatively stable, which indicates consistent regeneration dynamics. However, the residual component highlights notable irregularities during specific years, which point to external disturbances such as pest outbreaks, extreme weather events, or changes in forest management strategies. Unlike the youngest age class, the seasonal component is less pronounced, indicating a diminished role of cyclical influences as forests transition to mid-age stages.
The analysis of the 21–30 year age class shows a gradual increasing trend, reflecting ongoing growth and recovery within these stands. Seasonal effects are relatively minor, suggesting that the regeneration dynamics in this age class is less affected by recurring environmental or management patterns. The residual component remains low, indicating stable regeneration with fewer anomalies compared to younger age classes.
For the 31+ year age class, the trend component shows pronounced growth, indicative of forest stand maturation and the impact of sustained management practices. Seasonal variations are minimal, which is consistent with the reduced sensitivity of older forests to cyclical factors, which highlights occasional deviations, likely caused by natural disturbances or external influences that disproportionately affect mature stands.
6. Discussion
The results of this study reveal trends in the regeneration dynamics, growth rates, and mortality patterns of Scots pine and other dominant tree species in Lithuanian forests. Scots pine demonstrates a robust regeneration rate and consistent dominance across middle to older age classes, with its highest concentration observed in the 61–70 age class, which highlights the adaptability and long-term resilience of Scots pine, which is further supported by its ability to thrive under varying environmental and management conditions. In contrast, spruce showed a strong presence in younger age classes, but experiences a notable decline in older age categories. We believe that the decline in the model can reflect a higher susceptibility to environmental stressors, pests, or diseases in the later stages of its lifecycle. Birch and Aspen exhibited the behavior of pioneer species, with high representation in younger age classes followed by steep declines as forest succession progresses. Even though, results highlight the relative youth of Pinus sylvestris (Scots pine) in Lithuanian forests versus mature Picea abies (Norway spruce) in older stands, which can be largely attributed to ecological dynamics and historical forest management practices. One key factor is the long-standing preference for Scots pine in forest management, particularly in Lithuania, where it has been favored for its resilience to poor soils, faster initial growth, and economic value in timber production. Scots pine is well suited to the dry, sandy soils prevalent in significant parts of Lithuania, where it thrives and has been actively promoted through management interventions such as selective thinning and reforestation. In contrast, Picea abies, although abundant in regeneration stages due to its tolerance to shade and its ability to survive under a closed canopy, struggles to maintain dominance in older stands, especially in environments where competition with faster-growing species like pine or birch occurs. In unmanaged or naturally regenerating forests, Picea abies can persist for decades in the understory due to their tolerance to shade, but their slower early growth relative to pine places them at a competitive disadvantage. In addition, traditional forest management has often prioritized Scots pine, leading to frequent thinning operations that selectively remove spruce to reduce competition and promote pine growth, further reducing the likelihood of spruce dominance in mature forests. In addition, the sensitivity of Picea abies to environmental stressors such as windthrow, fungal diseases, and drought, particularly as it matures, contributes to its scarcity in older stands; however, climate change exacerbates these vulnerabilities, with increasingly dry summers in Lithuania negatively affecting spruce, which prefers cooler, wetter conditions.
The observed dominance and resilience of Scots pine suggest that it should remain a cornerstone of forestry practices in Lithuania. The maintenance requires the implementation of adaptive management techniques that respond to both environmental changes and forest dynamics. One key approach is selective thinning, in which competing tree species such as birch and aspen are removed to reduce competition for resources such as light, water, and nutrients, ensuring that Scots pine can thrive, especially in mixed stands. In addition, assisted regeneration can be used in areas where natural regeneration rates are low, using techniques such as planting genetically resilient Scots pine varieties that are better suited to withstand drought or pest pressure. Soil management practices such as mulching or soil moisture conservation techniques can also be used in regions prone to drought, helping to maintain optimal growth conditions. Pest control strategies, such as the monitoring and targeted control of bark beetle populations, are crucial, especially in younger stands where Scots pine is more vulnerable to infestations. Finally, adaptive reforestation programs that use predictive models, such as those developed in this study, can guide planting efforts in areas where Scots pine has the highest potential for long-term survival and growth under future climate conditions.
In Lithuania, the practical application of sensitivity analysis is correlated with recent more directly informed, more nuanced, and more effective forest management decisions, particularly regarding the regeneration and mortality of Scots pine. For example, the findings are correlated with the critical impact of soil moisture on the growth of Scots pine, leading to the expansion of climate-resistant species in mixed forests. In regions like Dzūkija, which are prone to drought and characterized by sandy soils, forest managers now focus on selecting more drought-tolerant species in conjunction with Scots pine to improve forest resilience. Although Scots pine is retained for its ecological and economic importance, sensitivity analysis has shown that it performs better in mixed stands, leading to an adjustment in afforestation strategies. We believe that such an approach improves forest adaptation by addressing soil moisture sensitivity and reducing the risk of stand collapse during prolonged drought periods.
In relation to pest management, a detailed sensitivity analysis has highlighted that mortality in younger Scots pine stands is highly sensitive to pest outbreaks, particularly bark beetles. In line with this finding are the actions in regions like Aukštaitija, where forest managers have intensified both preventive and reactive pest management strategies. They have increased the frequency of aerial surveys using drones to monitor pest populations and detect early-stage infestations, allowing for more targeted interventions before pests spread widely. Furthermore, forest managers in Lithuania have expanded the use of pheromone traps specifically during peak bark beetle seasons, rather than treating large areas indiscriminately. This more focused, data-driven approach, rooted in the results of sensitivity analysis, has successfully reduced bark beetle damage, particularly in the more vulnerable young stands where mortality sensitivity is highest.
Sensitivity analysis also correlates with the importance of fine-tuning regeneration efforts. In southern Lithuania, for example, regeneration of Scots pine has been shown to be especially sensitive to competition from faster-growing species, such as Birch. Forest managers have started to adapt their thinning practices to ensure that young Scots pine stands are selectively managed to reduce competition during critical early growth phases. Such practice has been integrated into forest management plans for state-owned forests, ensuring that thinning schedules are more precisely timed and implemented in areas where Scots pine regeneration is more sensitive to competition, as such targeted management not only improves Scots pine regeneration rates, but also ensures that it remains a dominant species in Lithuania’s forestry landscape.
Our findings align with existing models of forest dynamics [50,51,52], in the emphasis on species-specific roles in forest ecosystems. For example, previous studies have highlighted the role of Scots pine as a long-lived dominant species in temperate forests, which is consistent with its observed trends in this study. The decline in older age classes of trees is similarly corroborated by research pointing to its vulnerability to biotic and abiotic stresses as forests mature. The behavior of Birch and Aspen was documented in the literature as pioneer species that establish quickly in disturbed areas, but are gradually replaced by more shade-tolerant species such as Pine and Spruce. However, our study extends previous work by incorporating detailed sensitivity analyses of growth and mortality rates, offering a more nuanced model to understand how variations in these parameters influence long-term forest dynamics. The inclusion of Markov chain modeling provided a more structured framework for projecting these dynamics over extended time horizons, further bridging the gap between theoretical models and practical forest management applications. For Birch and Aspen, this role as pioneer species can be exploited in post-disturbance regeneration efforts, but their rapid decline in older age classes necessitates planned transitions to longer-lived species to ensure forest sustainability. The sensitivity analysis also emphasized the importance of optimizing growth and mortality rates through management interventions to improve forest health and productivity. Our results also highlight the impacts of climate change, which still alters the dynamics of growth and mortality rates.
Naturally, this leads to the limitations of the study. First, the reliance on aggregated forest inventory data obscures finer-scale regeneration and growth patterns. Estimates for growth and mortality rates are subject to uncertainties arising from assumptions about age-class transitions and the effects of external factors like climate variability. The Markov chain model, while effective for projecting age-class transitions, simplifies complex ecological interactions and may not fully capture nonlinear or density-dependent effects. The focus on the Lithuanian scenario limits the generalizability of the findings to other regions or forest types with different ecological dynamics. Future research should aim to address these limitations by incorporating more granular data, exploring nonlinear modeling approaches, and extending the analysis to include additional forest ecosystems.
However, the findings still have implications for forest policy and sustainable management practices. Policy recommendations for promoting mixed species forests in Lithuania, particularly focused on the regeneration of Scots pine, should draw on scientific evidence that highlights the benefits of species diversity for forest resilience and ecosystem services. Studies from Scandinavian countries, such as Finland and Sweden, demonstrate that mixed species stands, which combine Scots pine with species such as Norway spruce and birch, show increased resistance to biotic stressors such as bark beetle infestations and fungal diseases, which disproportionately affect monocultures. For example, a study in Fennoscandia forests [53] showed that Scots pine mixed with birch improves overall forest productivity due to the use of complementary resources, as Birch has a shallower rooting system, reducing competition for water and nutrients with deeper-rooted Scots pine. Similarly, in Central Europe, mixed species forests have been shown to better withstand extreme weather events, such as droughts, by increasing structural and functional diversity, which buffers against environmental variability [54]. Other analyses of European forests [55] have shown that adaptive thinning in mixed forests can prioritize the growth of Scots pine by selectively removing faster-growing competitors, such as birch, in critical growth phases, thus optimizing light and resource availability for Scots pine. We believe that these findings show that policies that promote mixed species forests would not only enhance biodiversity and ecosystem functions but also make Scots pine stands more resilient to climatic and biological threats, ensuring their role as a cornerstone species in Lithuanian forests.
Limitations and Future Works
First, reliance on aggregated data from the Lithuanian National Forest Inventory (NFI), while valuable for long-term trend analysis, masks important fine-scale spatial and temporal heterogeneity in Scots pine regeneration, growth, and mortality. Given Lithuania’s diverse forest ecosystems, including the dry and sandy soils of Dzūkija and the wetter and more fertile soils of Aukštaitija, aggregation obscures localized regeneration patterns, particularly in regions where Scots pine performance is strongly influenced by site-specific factors such as soil moisture, nutrient availability, and microclimatic variability. The sensitivity analysis in this study indicated that Scots pine is particularly sensitive to soil moisture conditions, especially in regions prone to drought. However, the data do not adequately capture this variability, limiting the model’s capacity to provide precise guidance for region-specific management interventions.
The use of Lithuanian National Forest Inventory (NFI) data in modeling forest dynamics offers a comprehensive snapshot of forest conditions, using extensive datasets that cover various forest attributes such as species composition, age distribution, and health status. However, this approach is restricted to the variables collected in the inventory, which may limit the model’s ability to capture all ecological dynamics fully. For instance, the NFI data might focus predominantly on commercially important tree species and standard forest metrics such as timber volume and tree density, potentially overlooking underrepresented species or non-timber forest values like biodiversity and ecological services. This selective data collection can introduce biases, as the model’s outputs may not fully reflect the complexities of forest ecosystems, particularly those related to ecological interactions and responses to environmental stressors. Additionally, the periodic nature of the inventory may not adequately capture rapid changes or short-term ecological responses, impacting the model’s sensitivity and adaptability to real-time forest dynamics. These limitations require a cautious interpretation of model predictions and underscore the importance of integrating additional data sources or conducting additional field studies to improve the robustness and ecological validity of the findings.
Second, while the Markov chain model proved efficient in modeling age-class transitions and projecting forest composition under various management scenarios, it must be clear that it inherently simplifies complex ecological processes. Nonlinear interactions such as density-dependent mortality, competition between tree species, and environmental feedback mechanisms are reduced to age-based transitions, which may not accurately reflect the dynamic nature of forest ecosystems. Scots pine’s interaction with faster-growing pioneer species like birch and aspen is a critical dynamic, particularly in mixed stands where competition for light and resources plays a pivotal role in early growth phases. The sensitivity analysis highlighted the strong influence of competition on Scots pine regeneration, particularly in younger age classes, but the aggregated approach does not fully account for this spatially variable competition, especially in regions like southern Lithuania, where birch competes aggressively in early successional stages. In addition, non-linear feedback, such as the threshold effects of pest outbreaks, particularly bark beetles, is simplified. In reality, these pest dynamics are highly stochastic and often exhibit non-linear thresholds, where small increases in pest populations can lead to widespread forest mortality, a critical factor that will need to be solved in future work.
Third, the study’s focus on Scots pine, although ecologically and economically important, given that it accounts for a large part of Lithuania’s total forest cover, limits the broader applicability, as the forest dynamics of mixed species stands, particularly those involving spruce and birch, is not fully addressed. For example, the rapid decline of spruce in older age classes identified in the model could be related to a variety of biotic and abiotic stressors such as fungal diseases or increased susceptibility to windfall, factors that are increasingly important under climate change, but are underrepresented in the structure of this model. In some regions within Lithuania, these dynamics play a role in long-term forest stability and will be further investigated. Furthermore, the competitive behavior of birch and aspen presents a challenge to the regeneration of Scots pine, especially in unmanaged or naturally regenerating stands. The sensitivity analysis suggested that Scots pine regeneration is highly sensitive to birch competition, but the aggregated approach of the model itself does not allow a more detailed vision of how management strategies such as selective thinning or mixed species planting can mitigate these competitive pressures.
Fourth, the model’s assumptions regarding climate variability also introduce limitations. Although our study touches on the potential effects of climate change, particularly drought, its approach to projecting future forest dynamics does not fully integrate the increasing unpredictability of climatic extremes, which are expected to intensify in Lithuania, particularly in southern regions prone to drought, as we do not yet have enough data on extremities to include in the model. Scots pine, while resilient, has its growth and regeneration closely tied to soil moisture availability, and future scenarios with extended dry periods could exacerbate mortality rates in ways not fully captured by the model’s current sensitivity analysis.
Lastly, the focus on Lithuania’s forest ecosystems limits the generalizability of the findings to other regions with different ecological and management contexts. Although Scots pine is a dominant species in northern Europe, the dynamics in mixed-species forests in Scandinavia or central Europe, where different environmental and ecological pressures exist, may differ significantly. For example, studies from Finland and Sweden show that Scots pine, when grown in mixed stands with species such as Norway spruce or birch, demonstrates greater resilience. We are planning with the Linnaeus University team, Sweden, to augment the model with additional data under the Forest 4.0 initiative.
Future research will aim to address these limitations by incorporating finer-scale, high-resolution data, particularly with respect to spatial variability in site conditions, species interactions, and climatic factors. More advanced non-linear modeling approaches, including agent-based or process-based models, could capture complex ecological interactions and stochastic events such as extreme factors due to climate change, thus improving the robustness of the projections. Furthermore, expanding the study to include mixed species forests and incorporating case studies from other regions would improve the generalizability and applicability of the findings, providing more nuanced insights for sustainable forest management in diverse ecological contexts.
7. Conclusions
The key novelty in this study lies in the use of the Markov chain model combined with Multivariate Time Series (MTY) decomposition to analyze the regeneration dynamics of Scots pine. Unlike traditional deterministic models, the Markov chain approach allowed for the probabilistic tracking of age-class transitions, enabling a more accurate representation of how Scots pine populations evolve under various management and climate scenarios. The MTY decomposition added further depth by isolating trend, seasonal, and irregular components in regeneration rates, which previous models had not integrated into their sensitivity analyzes. For example, while Ryzhkova et al. [5] focused on geoinformation modeling for large-scale forest cover classification, while our approach went further by applying statistical methods to examine the sensitivity of regeneration dynamics to parameter variability, providing actionable insights for adaptive forest management.
The results of the forest regeneration model demonstrate key findings on the growth and mortality dynamics of various tree species. Scots pine shows a 79.6% probability of advancing from the 1–10 age class to the 11–20 age class, with subsequent transition probabilities of 82.9% and 84.1% between older age classes Scots pine displays slower initial growth and a higher likelihood (20.4%) of remaining in the 1–10 age class, suggesting that it may face competition or environmental challenges early on, implying on the need for targeted management practices to support Scots pine seedlings and ensure their survival in the face of competitive pressures from faster-growing species like Birch and Aspen. In contrast, the pioneer species Birch and Aspen exhibit strong early growth, with Birch having a 84% chance of advancing from the 1–10 to the 11–20 age class and Aspen achieving a high transition rate, reflecting the competitive advantages of Birch and Aspen in disturbed or newly opened habitats, where they can rapidly colonize and dominate. However, both species show a notable slowdown in growth as they age, with Birch’s transition rates declining in later age classes and Aspen’s falling dramatically after 31 years, likely due to physiological limitations or increased susceptibility to environmental stressors. Spruce, on the other hand, presents a different growth trajectory, with modest early growth but a very high transition from the 21–30 to the 31+ age class, indicating its resilience and capacity for sustained growth in mature forest stages. Naturally, such a growth pattern suggests that while Spruce may not be as competitive in early succession stages, it can become dominant in later stages, particularly in mature forests.
Sensitivity analysis provide information on the interaction between growth and mortality rates, revealing that while higher growth rates can extend the lifespan of the forest stand, high mortality rates (above 0.33) drastically reduce the viability of the stand, which emphasizes the critical importance of reducing mortality, through disease management, pest control, or improved silvicultural practices. Without addressing mortality, even high growth rates cannot offset the negative impacts of stand decline, as successful forest management, must prioritize both enhancing growth and minimizing mortality, particularly in vulnerable species or age classes. The Hotelling control chart further illustrated forest dynamics, identifying significant deviations in years 13 and 19, indicating periods of environmental stress, which have impacted the growth or survival rates of certain species, showing that unforeseen stressors can disrupt even well-managed stands.
Author Contributions
Conceptualization, R.D. and R.M.; methodology, R.D.; software, R.D.; validation, R.D. and R.M.; formal analysis, R.D.; investigation, R.D.; resources, R.D.; data curation, R.D.; writing—original draft preparation, R.D.; writing—review and editing, R.D. and R.M.; visualization, R.D. and R.M.; project administration, R.M.; funding acquisition, R.D. and R.M. All authors have read and agreed to the published version of the manuscript.
Funding
This research paper has received funding from Horizon Europe Framework Programme (HORIZON), call Teaming for Excellence (HORIZON-WIDERA-2022-ACCESS-01-two-stage)—Creation of the centre of excellence in smart forestry “Forest 4.0” No. 101059985.
Data Availability Statement
The dataset used in this study is available at: https://amvmt.lrv.lt/lt/atviri-duomenys-1/misku-statistikos-leidiniai/misku-ukio-statistika/2021-m-1/ (accessed on 12 September 2024).
Conflicts of Interest
The authors declare no conflicts of interest.
References
- Phillips, O.; Lewis, S.; Baker, T.; Chao, K.; Higuchi, N. The changing Amazon forest. Philos. Trans. R. Soc. B Biol. Sci. 2008, 363, 1819–1827. [Google Scholar] [CrossRef] [PubMed]
- Keith, H.; Gorsel, E.; Jacobsen, K.; Cleugh, H. Dynamics of carbon exchange in a Eucalyptus forest in response to interacting disturbance factors. Agric. For. Meteorol. 2012, 153, 67–81. [Google Scholar] [CrossRef]
- Poorter, L.; Sande, M.T.v.; Arets, E.J.M.M.; Ascarrunz, N.; Enquist, B.J.; Finegan, B.; Licona, J.C.; Martínez-Ramos, M.; Mazzei, L.; Meave, J.A.; et al. Biodiversity and climate determine the functioning of neotropical forests. Glob. Ecol. Biogeogr. 2017, 26, 1423–1434. [Google Scholar] [CrossRef]
- Mund, M.; Schulze, E. Silviculture and Its Interactions with Biodiversity and the Carbon Balance of Forest Soils. In Forest Diversity and Function; Springer Series in Applied Sciences; Springer: Berlin/Heidelberg, Germany, 2005; pp. 185–208. [Google Scholar] [CrossRef]
- Ryzhkova, V.; Danilova, I.; Mikhailova, I.; Korets, M. Multilayer forest cover map as a basis of forest regeneration dynamics estimation. In Proceedings of the 18th International Multidisciplinary Scientific GeoConference SGEM 2018, Albena, Bulgaria, 2–8 July 2018. [Google Scholar] [CrossRef]
- Frutos Sergio, D.; Mathieu, F.; Sonia, R.G.; Ricardo, R.P.; Río Miren, D.; José Alfredo, B.F. Group selection cutting for regenerating Mediterranean Pinus pinaster plantations: Gap effects on seedling survival. For. Ecol. Manag. 2023, 544, 121219. [Google Scholar] [CrossRef]
- Martin, M.; Girona, M.; Morin, H. Driving factors of conifer regeneration dynamics in eastern Canadian boreal old-growth forests. PLoS ONE 2020, 15, e0230221. [Google Scholar] [CrossRef]
- Maréchaux, I.; Chave, J. An individual-based forest model to jointly simulate carbon and tree diversity in Amazonia: Description and applications. Ecol. Monogr. 2017, 87, 632–664. [Google Scholar] [CrossRef]
- Lai, H.; Hall, J.; Turner, B.; Van Breugel, M. Liana effects on biomass dynamics strengthen during secondary forest succession. Ecology 2017, 98, 1062–1070. [Google Scholar] [CrossRef]
- McDowell, N.; Allen, C.; Anderson-Teixeira, K.; Aukema, B.; Bond-Lamberty, B.; Chini, L.; Clark, J.S.; Dietze, M.; Grossiord, C.; Hanbury-Brown, A.; et al. Pervasive shifts in forest dynamics in a changing world. Science 2020, 368, eaaz9463. [Google Scholar] [CrossRef]
- Miu, N.; Liu, S.; Shi, Z.; Ma, J.; Wang, H. A review of ecological effects of remnant trees in degraded forest ecosystems after severe disturbances. Acta Ecol. Sin. 2013, 33, 3889–3897. [Google Scholar] [CrossRef]
- Brichta, J.; Šimůnek, V.; Bílek, L.; Vacek, Z.; Gallo, J.; Drozdowski, S.; Bravo-Fernández, J.A.; Mason, B.; Gomez, S.R.; Hájek, V.; et al. Effects of Climate Change on Scots Pine (Pinus sylvestris L.) Growth across Europe: Decrease of Tree-Ring Fluctuation and Amplification of Climate Stress. Forests 2024, 15, 91. [Google Scholar] [CrossRef]
- Krakau, U.K.; Liesebach, M.; Aronen, T.; Lelu-Walter, M.; Schneck, V. Scots Pine (Pinus sylvestris L.). In Forest Tree Breeding in Europe; Springer: Dordrecht, The Netherlands, 2013; Volume 25, pp. 267–323. [Google Scholar] [CrossRef]
- Linkevičius, E.; Šidlauskas, G.; Kliučius, A.; Armoška, E.; Mikalajunas, M.; Sidabriene, D.; Andriuškevičiute, P.; Augustaitis, A. The growth dynamics of East European Scots pine (Pinus sylvestris L.) populations—A Lithuanian field trial. iForest-Biogeosci. For. 2024, 17, 59–68. [Google Scholar] [CrossRef]
- Šatinskas, R. Economic and Production Consequences of Current Forest Management in Mature Scots pine (Pinus sylvestris) forests in Lithuania. Master’s Thesis, SLU Southern Swedish Forest Research Centre, Alnarp, Sweden, 2019. [Google Scholar]
- Kabašinskas, A.; Varnagirytė-Kabašinskienė, I. Changes of dominant tree species areas over the past century in Lithuania: A mathematical approach. Res. Rural. Dev. 2014, 2, 35. [Google Scholar]
- Hohtola, A. Somatic Embryogenesis in Scots Pine (Pinus sylvestris L.). In Somatic Embryogenesis in Woody Plants; Springer: Dordrecht, The Netherlands, 1995; pp. 269–285. [Google Scholar] [CrossRef]
- Linkevičius, E.; Kliučius, A.; Šidlauskas, G.; Augustaitis, A. Variability in Growth Patterns and Tree-Ring Formation of East European Scots Pine (Pinus sylvestris L.) Provenances to Changing Climatic Conditions in Lithuania. Forests 2022, 13, 743. [Google Scholar] [CrossRef]
- Markovskaja, S.; Raitelaitytė, K.; Kačergius, A.; Kolmakov, P.; Vasilevich, V. Occurrence of Dothistroma needle blight in Lithuania and Belarus: The risk posed to native Scots Pine forests. For. Pathol. 2020, 50, e12626. [Google Scholar] [CrossRef]
- Čėsna, V.; Gedminas, A.; Lynikienė, J.; Marčiulynienė, D. Insect Diversity in Pinus sylvestris Forest Stands Damaged by Lymantria monacha. Insects 2024, 15, 200. [Google Scholar] [CrossRef]
- Tamkevičiūtė, M.; Edvardsson, J.; Pukienė, R.; Taminskas, J.; Stoffel, M.; Corona, C.; Kibirkštis, G. Scots pine (Pinus sylvestris L.) based reconstruction of 130 years of water table fluctuations in a peatland and its relevance for moisture variability assessments. J. Hydrol. 2018, 558, 509–519. [Google Scholar] [CrossRef]
- Šilinskas, B.; Varnagirytė-Kabašinskienė, I.; Aleinikovas, M.; Beniušienė, L.; Aleinikovienė, J.; Škėma, M. Scots Pine and Norway Spruce Wood Properties at Sites with Different Stand Densities. Forests 2020, 11, 587. [Google Scholar] [CrossRef]
- Jönsson, K.; Nilsson, C. Scots Pine (Pinus sylvestris L.) on Shingle Fields: A Dendrochronologic Reconstruction of Early Summer Precipitation in Mideast Sweden. J. Clim. 2009, 22, 4710–4722. [Google Scholar] [CrossRef]
- Kelly, D.; Connolly, A. A Review of the Plant Communities Associated with Scots Pine (Pinus sylvestris L.) in Europe, and an Evaluation of Putative Indicator/Specialist Species. For. Syst. 2000, 9, 15–39. [Google Scholar] [CrossRef]
- Beniušienė, L.; Petrauskas, E.; Aleinikovas, M.; Varnagirytė-Kabašinskienė, I.; Beniušis, R.; Šilinskas, B. Norway spruce stem parameters in sites with different stand densities in lithuanian hemiboreal forest. Forests 2021, 12, 201. [Google Scholar] [CrossRef]
- Lekoveckaitė, A.; Jimenez, M.F.T.; Trakimas, G.; Ferenca, R.; Podėnienė, V. Tree Species Affect Beetle Diversity on the Common Deciduous Dead Wood in Lithuanian Unmanaged Forests. Forests 2023, 14, 1836. [Google Scholar] [CrossRef]
- Eberhard, B.R.; Eckhart, T.; Hasenauer, H. Evaluating Strategies for the Management of Douglas-Fir in Central Europe. Forests 2021, 12, 1040. [Google Scholar] [CrossRef]
- Vergarechea, M.; Calama, R.; Fortin, M.; del Río, M. Climate-mediated regeneration occurrence in Mediterranean pine forests: A modeling approach. For. Ecol. Manag. 2019, 446, 10–19. [Google Scholar] [CrossRef]
- Carón, M.; De Frenne, P.; Brunet, J.; Chabrerie, O.; Cousins, S.; Decocq, G.; Diekmann, M.; Graae, B.; Heinken, T.; Kolb, A.; et al. Divergent regeneration responses of two closely related tree species to direct abiotic and indirect biotic effects of climate change. For. Ecol. Manag. 2015, 342, 21–29. [Google Scholar] [CrossRef]
- Cagnacci, J.; Estravis-Barcala, M.; Lia, M.; Martínez-Meier, A.; Polo, M.G.; Arana, M.V. The impact of different natural environments on the regeneration dynamics of two Nothofagus species across elevation in the southern Andes. For. Ecol. Manag. 2020, 464, 118034. [Google Scholar] [CrossRef]
- Piovesan, G.; Lüttge, U. Tree growth dynamics during early ontogenetic stages in closed forests. Trees 2018, 32, 671–673. [Google Scholar] [CrossRef]
- Vodde, F.; Jõgiste, K.; Kubota, Y.; Kuuluvainen, T.; Köster, K.; Lukjanova, A.; Metslaid, M.; Yoshida, T. The influence of storm-induced microsites to tree regeneration patterns in boreal and hemiboreal forest. J. For. Res. 2011, 16, 155–167. [Google Scholar] [CrossRef]
- Walck, J.; Hidayati, S.N.; Dixon, K.; Thompson, K.; Poschlod, P. Climate change and plant regeneration from seed. Glob. Chang. Biol. 2011, 17, 2145–2161. [Google Scholar] [CrossRef]
- Simler-Williamson, A.B.; Metz, M.; Frangioso, K.; Meentemeyer, R.; Rizzo, D. Compound disease and wildfire disturbances alter opportunities for seedling regeneration in resprouter-dominated forests. Ecosphere 2019, 10, e02991. [Google Scholar] [CrossRef]
- Uriarte, M.; Muscarella, R.; Zimmerman, J. Environmental heterogeneity and biotic interactions mediate climate impacts on tropical forest regeneration. Glob. Change Biol. 2018, 24, e692–e704. [Google Scholar] [CrossRef]
- Babst, F.; Bouriaud, O.; Poulter, B.; Trouet, V.; Girardin, M.P.; Frank, D.C. Twentieth century redistribution in climatic drivers of global tree growth. Sci. Adv. 2019, 5, eaat4313. [Google Scholar] [CrossRef] [PubMed]
- Rocha, S.J.S.S.d.; Torres, C.M.M.E.; Jacovine, L.A.G.; Leite, H.G.; Gelcer, E.M.; Neves, K.M.; Schettini, B.L.S.; Villanova, P.H.; Silva, L.F.d.; Reis, L.P.; et al. Artificial neural networks: Modeling tree survival and mortality in the Atlantic Forest biome in Brazil. Sci. Total Environ. 2018, 645, 655–661. [Google Scholar] [CrossRef] [PubMed]
- Manso, R.; Morneau, F.; Ningre, F.; Fortin, M. Incorporating stochasticity from extreme climatic events and multi-species competition relationships into single-tree mortality models. For. Ecol. Manag. 2015, 354, 243–253. [Google Scholar] [CrossRef]
- Ryzhkova, V.; Danilova, I.; Korets, M. Forest cover classification and geoinformation modeling of forest regeneration dynamics (Based on the example of the southern part of near-Yenisei Siberia). Contemp. Probl. Ecol. 2016, 9, 692–701. [Google Scholar] [CrossRef]
- Richit, L.; Bonatto, C.; Carlotto, T.; da Silva, R.; Grzybowski, J. Modelling forest regeneration for performance-oriented riparian buffer strips. Ecol. Eng. 2017, 106, 308–322. [Google Scholar] [CrossRef]
- Mantero, G.; Anselmetto, N.; Morresi, D.; Meloni, F.; Bolzon, P.; Lingua, E.; Garbarino, M.; Marzano, R. Modeling post-fire regeneration patterns under different restoration scenarios to improve forest recovery in degraded ecosystems. For. Ecol. Manag. 2024, 551, 121520. [Google Scholar] [CrossRef]
- Eberhard, B.; Hasenauer, H. Modeling Regeneration of Douglas fir forests in Central Europe. Austrian J. For. Sci. 2018, 135, 33–51. [Google Scholar]
- De Frutos, S.; Bravo-Fernández, J.; Roig-Gómez, S.; Del Río, M.; Ruiz-Peinado, R. Natural regeneration and species diversification after seed-tree method cutting in a maritime pine reforestation. iForest 2022, 15, 500–508. [Google Scholar] [CrossRef]
- Calama, R.; Martínez, C.; Gordo, J.; Del Río, M.; Menéndez-Miguélez, M.; Pardos, M. The impact of climate and management on recent mortality in Pinus pinaster resin-tapped forests of inland Spain. Forestry 2024, 97, 120–132. [Google Scholar] [CrossRef]
- Holzer, D.; Bödeker, K.; Rammer, W.; Knoke, T. Evaluating dynamic tree-species-shifting and height development caused by ungulate browsing in forest regeneration using a process-based modeling approach. Ecol. Model. 2024, 493, 110741. [Google Scholar] [CrossRef]
- McClintock, B.T.; Langrock, R.; Gimenez, O.; Cam, E.; Borchers, D.L.; Glennie, R.; Patterson, T.A. Uncovering ecological state dynamics with hidden Markov models. Ecol. Lett. 2020, 23, 1878–1903. [Google Scholar] [CrossRef] [PubMed]
- Pianosi, F.; Beven, K.; Freer, J.; Hall, J.W.; Rougier, J.; Stephenson, D.B.; Wagener, T. Sensitivity analysis of environmental models: A systematic review with practical workflow. Environ. Model. Softw. 2016, 79, 214–232. [Google Scholar] [CrossRef]
- Chou, Y.M.; Mason, R.L.; Young, J.C. Power comparisons for a hotelling’s T2 statistic. Commun. Stat. Part B Simul. Comput. 1999, 28, 1031–1050. [Google Scholar] [CrossRef]
- Díaz-Rojo, G.; Debón, A.; Mosquera, J. Multivariate Control Chart and Lee–Carter Models to Study Mortality Changes. Mathematics 2020, 8, 2093. [Google Scholar] [CrossRef]
- Benson, D.L.; King, E.G.; O’Brien, J.J. Forest Dynamics Models for Conservation, Restoration, and Management of Small Forests. Forests 2022, 13, 515. [Google Scholar] [CrossRef]
- König, L.A.; Mohren, F.; Schelhaas, M.J.; Bugmann, H.; Nabuurs, G.J. Tree regeneration in models of forest dynamics—Suitability to assess climate change impacts on European forests. For. Ecol. Manag. 2022, 520, 120390. [Google Scholar] [CrossRef]
- Kašpar, J.; Tumajer, J.; Šamonil, P.; Vašíčková, I. Species-specific climate–growth interactions determine tree species dynamics in mixed Central European mountain forests. Environ. Res. Lett. 2021, 16, 034039. [Google Scholar] [CrossRef]
- Huuskonen, S.; Domisch, T.; Finér, L.; Hantula, J.; Hynynen, J.; Matala, J.; Miina, J.; Neuvonen, S.; Nevalainen, S.; Niemistö, P.; et al. What is the potential for replacing monocultures with mixed-species stands to enhance ecosystem services in boreal forests in Fennoscandia? For. Ecol. Manag. 2021, 479, 118558. [Google Scholar] [CrossRef]
- Pardos, M.; del Río, M.; Pretzsch, H.; Jactel, H.; Bielak, K.; Bravo, F.; Brazaitis, G.; Defossez, E.; Engel, M.; Godvod, K.; et al. The greater resilience of mixed forests to drought mainly depends on their composition: Analysis along a climate gradient across Europe. For. Ecol. Manag. 2021, 481, 118687. [Google Scholar] [CrossRef]
- Coll, L.; Ameztegui, A.; Collet, C.; Löf, M.; Mason, B.; Pach, M.; Verheyen, K.; Abrudan, I.; Barbati, A.; Barreiro, S.; et al. Knowledge gaps about mixed forests: What do European forest managers want to know and what answers can science provide? For. Ecol. Manag. 2018, 407, 106–115. [Google Scholar] [CrossRef]
Disclaimer/Publisher’s Note: The statements, opinions and data contained in all publications are solely those of the individual author(s) and contributor(s) and not of MDPI and/or the editor(s). MDPI and/or the editor(s) disclaim responsibility for any injury to people or property resulting from any ideas, methods, instructions or products referred to in the content. |
© 2025 by the authors. Licensee MDPI, Basel, Switzerland. This article is an open access article distributed under the terms and conditions of the Creative Commons Attribution (CC BY) license (https://creativecommons.org/licenses/by/4.0/).







