Impact of Feed Force and Initial Chain Tension on Chipper Chain Wear in Gasoline-Powered Chainsaws
Abstract
1. Introduction
2. Methodology
- η—cutting efficiency [cm2 s−1].
- A—kerf area [cm2].
- t—cutting time [s].
- ρ0—mean cutter tip radius after sharpening [μm];
- ρk—mean cutter tip radius at the end of the measurement series [μm];
- A—kerf area [m2].
- Δρ—increase in the mean tip radius between consecutive measurements [μm];
- ΔA—kerf area added between consecutive tip radius measurements [m2].
- The increase in mean cutter tip radius was calculated from Formula (4):
- ρi—mean cutter tip radius for i-th measurement [μm];
- ρi+1—mean cutter tip radius for measurement i + 1 [μm].
- Ai—cumulative kerf area up to i-th tip radius measurement [m2];
- Ai+1—cumulative kerf area up to i + 1 tip radius measurement [m2].
3. Results
- η—cutting efficiency [cm2·s−1];
- A—kerf area [m2].
- ρij—tip radius for cutting at a feed force i and chain tension j [μm];
- A—kerf area [m2];
- r—correlation coefficient.

- ρ70N—cutter tip radius during cutting with a tight chain at a feed force of 70 N [μm];
- A—kerf area [m2].
4. Discussion
5. Conclusions
- 1.
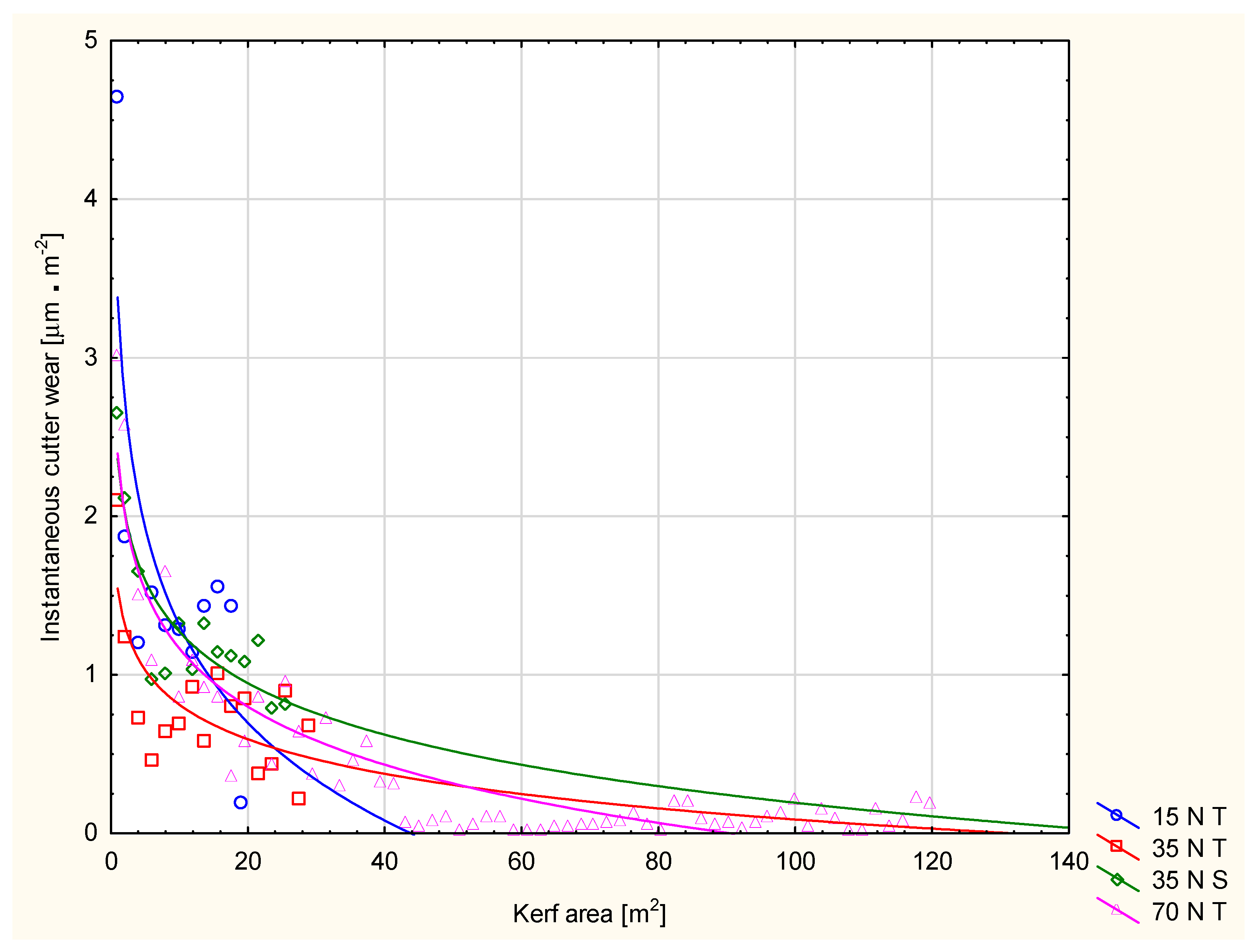
- The cutter wear rate is inversely proportional to the applied initial chain tension and feed force. In the reported study, the highest mean cutter wear rate (1.48 µm·m−2) was found for the tight chain operating at a feed force of 15 N. An increase in feed force to 70 N reduced this value to 0.32 µm·m−2. Different chain tensions were tested at a feed force of 35 N. In that case, a reduction in initial chain tension increased the mean wear rate from 1.04 µm·m−2 to 1.15 µm·m−2.
- 2.
- For the purpose of the present study, we also defined a dimensionless cutter dulling coefficient. Its value was the highest (1.4016) in the case of the chainsaw operating at the lowest investigated feed force and decreased with the applied feed force. At 35 N, it ranged from 1.0255 to 1.1253, depending on the initial chain tension (with the higher value corresponding to a slack chain). At a feed force of 70 N, the cutter dulling coefficient ranged from 1.8239 to 0.0906, as it decreased with the area of the completed kerf.
- 3.
- Cutting efficiency per unit of kerf area depended significantly on the applied initial chain tension and feed force. After sharpening, the highest cutting efficiency, 119.88 cm2·s−1, was obtained for a tight chain operating at a feed force of 70 N. A decrease in the feed force to 15 N reduced cutting efficiency to 72.8 cm2·s−1. In the case of a feed force of 35 N, the application of a lower initial tension led to a reduction in cutting efficiency from 116.4 cm2·s−1 to 113.47 cm2·s−1.
- 4.
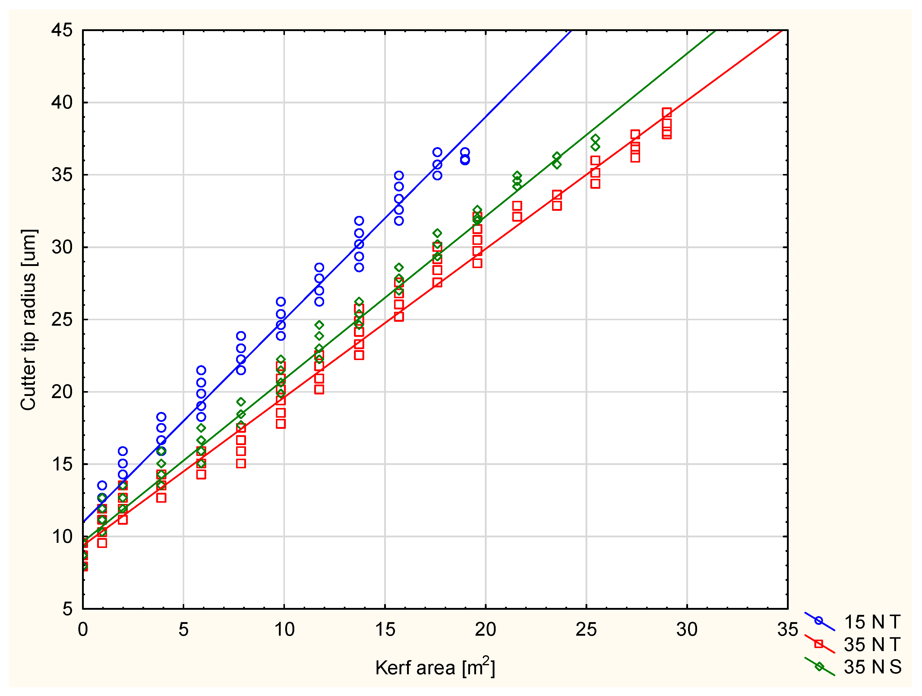
- The higher the applied feed force, the greater the area of the kerf that can be made with a given chainsaw. For a feed force of 15 N, the chainsaw ceased cutting after completing a kerf area of 18.95 m2, with the cutter tip radius reaching 36.26 μm. At a feed force of 70 N, the chainsaw was able to complete a kerf area of 119.56 m2 with the cutter tip radius reaching 46.19 μm. However, it should be noted that a higher feed force entails greater effort on the part of the chainsaw operator.
Author Contributions
Funding
Data Availability Statement
Conflicts of Interest
References
- Moskalik, T.; Borz, S.; Dvořák, J.; Ferenčík, M.; Glushkov, S.; Muiste, P.; Lazdiņš, A.; Styranivsky, O. Timber Harvesting Methods in Eastern European Countries: A Review. Croat. J. For. Eng. 2017, 38, 231–241. [Google Scholar]
- Spinelli, R.; Magagnotti, N.; Nati, C. Options for the Mechanized Processing of Hardwood Trees in Mediterranean Forests. Int. J. For. Eng. 2009, 20, 39–44. [Google Scholar] [CrossRef]
- Montorselli, N.B.; Lombardini, C.; Magagnotti, N.; Marchi, E.; Neri, F.; Picchi, G.; Spinelli, R. Relating Safety, Productivity and Company Type for Motor-Manual Logging Operations in the Italian Alps. Accid. Anal. Prev. 2010, 42, 2013–2017. [Google Scholar] [CrossRef] [PubMed]
- Vusić, D.; Šušnjar, M.; Marchi, E.; Spina, R.; Zečić, Ž.; Picchio, R. Skidding Operations in Thinning and Shelterwood Cut of Mixed Stands—Work Productivity, Energy Inputs and Emissions. Ecol. Eng. 2013, 61, 216–223. [Google Scholar] [CrossRef]
- Karjalainen, T.; Zimmer, B.; Berg, S.; Welling, J.; Schwaiger, H.; Finér, L.; Cortijo, P.; Metsäntutkimuslaitos. Energy, Carbon and Other Material Flows in the Life Cycle Assessment of Forestry and Forest Products; Achievements of the Working Group 1 of the COST Action E9; European Forest Institute: Joensuu, Finland, 2001. [Google Scholar]
- Lindroos, O.; Burström, L. Accident Rates and Types among Self-Employed Private Forest Owners. Accid. Anal. Prev. 2010, 42, 1729–1735. [Google Scholar] [CrossRef] [PubMed]
- Poje, A.; Potočnik, I.; Košir, B.; Krč, J. Cutting Patterns as a Predictor of the Odds of Accident among Professional Fellers. Saf. Sci. 2016, 89, 158–166. [Google Scholar] [CrossRef]
- Melemez, K.; Tunay, M. Determining Physical Workload of Chainsaw Operators Working in Forest Harvesting. Technology 2010, 13, 237–243. [Google Scholar]
- Ashby, R.J.P.; Tim, A.; Bentley, L.J. Human Factors Testing in the Forest Industry. In Handbook of Human Factors Testing and Evaluation; CRC Press: Boca Raton, FL, USA, 2001; ISBN 978-1-00-300081-5. [Google Scholar]
- Eroglu, H.; Yilmaz, R.; Kayacan, Y. A Study on Determining the Physical Workload of the Forest Harvesting and Nursery-Afforestation Workers. Anthropologist 2015, 21, 168–181. [Google Scholar] [CrossRef]
- Minetti, L.J.; de Souza, A.; Machado, C.C.; Fiedler, N.C.; Baêta, F.d.C. Evaluation of Noise and Vibration Effects of Forest Cutting on Chainsaw Operators. Rev. Árvore 1998, 22, 325–330. [Google Scholar]
- Fonseca, A.; Aghazadeh, F.; de Hoop, C.; Ikuma, L.; Al-Qaisi, S. Effect of Noise Emitted by Forestry Equipment on Workers’ Hearing Capacity. Int. J. Ind. Ergon. 2015, 46, 105–112. [Google Scholar] [CrossRef]
- Rottensteiner, C.; Tsioras, P.; Stampfer, K. Wood Density Impact on Hand-Arm Vibration. Croat. J. For. Eng. J. Theory Appl. For. Eng. 2012, 33, 303–312. [Google Scholar]
- Marenče, J.; Mihelič, M.; Poje, A. Influence of Chain Filing, Tree Species and Chain Type on Cross Cutting Efficiency and Health Risk. Forests 2017, 8, 464. [Google Scholar] [CrossRef]
- Dado, M.; Kučera, M.; Salva, J.; Hnilica, R.; Hýrošová, T. Influence of Saw Chain Type and Wood Species on the Mass Concentration of Airborne Wood Dust during Cross-Cutting. Forests 2022, 13, 2009. [Google Scholar] [CrossRef]
- Nordfjell, T.; Björheden, R.; Thor, M.; Wästerlund, I. Changes in Technical Performance, Mechanical Availability and Prices of Machines Used in Forest Operations in Sweden from 1985 to 2010. Scand. J. For. Res. 2010, 25, 382–389. [Google Scholar] [CrossRef]
- Thibaut, B.; Denaud, L.; Collet, R.; Marchal, R.; Beauchêne, J.; Mothe, F.; Méausoone, P.-J.; Martin, P.; Larricq, P.; Eyma, F. Wood Machining with a Focus on French Research in the Last 50 Years. Ann. For. Sci. 2016, 73, 163–184. [Google Scholar] [CrossRef]
- Maciak, A.; Kubuśka, M.; Moskalik, T. Instantaneous Cutting Force Variability in Chainsaws. Forests 2018, 9, 660. [Google Scholar] [CrossRef]
- Maciak, A. Treatises and Monographs. In The Impact of Structural and Operational Factors on the Process and Performance of Wood Cutting Wit Use of Petrol Chain Saw; Publications of Warsaw University of Life Sciences-SGGW: Warsaw, Poland, 2013; Volume 410, ISBN 978-83-7583-421-5. [Google Scholar]
- Górski, J. Wood Cutting by Means of Electric Chain Saw; Treatises and Monographs; Wydawnictwo SGGW: Warsaw, Poland, 2001; Volume 241, ISBN 83-7244-205-3. [Google Scholar]
- Andrew, O.; John, P. Velocity, Depth-of-Cut, and Physical Property Effects on Saw Chain Cutting|Request PDF. BioResources 2015, 10, 7273–7291. [Google Scholar] [CrossRef]
- Maciak, A.; Kubuska-Orlowska, M. The Effect of Selected Operation Factors on Cutter Deflection Angles, Instantaneous Speeds, and Accelerations While Cutting Wood with a Petrol Chainsaw. Forests 2025, 16, 859. [Google Scholar] [CrossRef]
- Nevrkla, P.; Staněk, L.; Neruda, J. Analysis of Selected Functional Parameters of Saw Chains. J. For. Sci. 2025, 71, 72–85. [Google Scholar] [CrossRef]
- Duchnowski, K. Machine Processing, Tools and Basic Carpentry Machines; WSiP Wydawnictwa Szkolne i Pedagogiczne: Warsaw, Poland, 1997; ISBN 83-02-06603-6. [Google Scholar]
- Szczerek, M.; Wiśniewski, M. Tribologia i Tribotechnika; Polskie Towarzystwo Tribologiczne; Instytut Technologii Eksploatacji: Radom, Poland, 2000; ISBN 978-83-7204-199-9. [Google Scholar]
- Jemielniak, K. Machining. Basics, Dynamics, Diagnostics; Wydawnictwo Politechniki Warszawskiej: Warsaw, Poland, 2018; ISBN 978-83-7814-860-9. [Google Scholar]
- Górski, J. Analysis of the Influence of Basic Factors on the Efficiency and Energy Consumption of the Chainsaw Wood Cutting Process. Doctoral Thesis, Warsaw University of Life Sciences, Warsaw, Poland, 1996. [Google Scholar]
- Maciak, A.; Kubuśka, M. The influence of initial tension on blunting of chain saw blades and cutting efficiency. For. Res. Pap. 2018, 79, 261–268. [Google Scholar] [CrossRef]
- Maciak, A.; Kubuśka, M.; Młodzińska, E. Impact of Saw Chain Cutters Type on Cutting Efficiency and Fuel Consumption in Timber Cutting. Ann. Wars. Univ. Life Sci.-SGGW Agric. (Agric. For. Eng.) 2017, 69, 71–77. [Google Scholar] [CrossRef]
- Stempski, W.; Grodecki, J. The influence of the sharpening angle of cutting links on cutting efficiency and durability of chain saws. Poznańskie Tow. Przyj.\L Nauk. Pr. Kom. Nauk. Rol. I Leśnych 1998, 86, 73–82. [Google Scholar]
- Bieńkowski, J. The influence of blunting of cutting blades on the resistance and cutting efficiency of a chain saw. Prz. Tech. Rol. I Leśn. 1995, 17–20. [Google Scholar]
- Maciak, A. Influence of Construction Parameters of Chain Saw Cutters on Wood Cutting Efficiency; Warsaw University of Life Sciences—SGGW: Warsaw, Poland, 2001. [Google Scholar]
- Gendek, A. The Influence of Clutch Parameters on Wood Cutting Efficiency with a Petrol Chainsaw. Ph.D. Thesis, Warsaw University of Life Sciences—SGGW, Warsaw, Poland, 2005. [Google Scholar]
- Kubiak, M.; Laurow, Z. Wodden Raw Material; Fundacja “Rozwój SGGW”: Warsaw, Poland, 1994; ISBN 83-86241-33-0. [Google Scholar]
- Wątroba, J. Supporting Statistical Analysis of Empirical Research Results in the Statistica Program Teaching Materials StatSoft Polska; StatSoft Poland: Kraków, Poland, 2009. [Google Scholar]
- Sobczyk, M. Statystyka, 5th ed.; Wydawnictwa Naukowe PWN: Warszawa, Poland, 2007; ISBN 978-01-15199-7. [Google Scholar]
- Bruchwald, A. Mathematical Statistics for Foresters; Wydawnictwo SGGW: Warsaw, Poland, 1997; ISBN 83-00-03071-9. [Google Scholar]
- Łukomski, Ł. Research on the Mechanics of Sawing with Chain Saws. Doctoral Thesis, Warsaw University of Life Sciences, Warsaw, Poland, 1977. [Google Scholar]
- Górski, J. Designing Technological Processes for Machining Wood and Wood-Based Materials: General Issues; SGGW: Warsaw, Poland, 2005; ISBN 83-7244-657-1. [Google Scholar]
- Lewandowski, T. The Influence of the Initial Chain Tension and the Wood Species on the Rate of Blunting of the Cutting Links During Cutting. Master’s Thesis, Warsaw University of Life Sciences—SGGW, Warsaw, Poland, 2011. [Google Scholar]








| Case | a | b | r |
|---|---|---|---|
| 15T | −2.3612 | 71.8255 | −0.9389 |
| 35T | −1.8908 | 117.4578 | −0.9635 |
| 35S | −2.8425 | 115.1432 | −0.9928 |
| 70T | −0.8058 | 117.9323 | −0.9793 |
| Variants | Mean Radius for Variant I on Test Conclusion [µm] | Mean Radius for Variant II on Test Conclusion [µm] | p-Value | |
|---|---|---|---|---|
| I | II | |||
| 15T | 35T | 36.27 | 38.46 | 0.00 |
| 15T | 35S | 36.27 | 37.45 | 0.00 |
| 15T | 70T | 36.27 | 46.20 | 0.00 |
| 35T | 35S | 38.46 | 37.45 | 0.00 |
| 35T | 70T | 38.46 | 46.20 | 0.00 |
| 35S | 70T | 37.45 | 46.20 | 0.00 |
| Kerf Area [m2] | 15 N vs. 35 N | 15 N vs. 35 L | 15 N vs. 70 N | 35 N vs. 35 L | 35N vs. 70 N | 35 L vs. 70 N |
|---|---|---|---|---|---|---|
| 0.98 | 0 | 0 | 0 | 0.015 | 0.001 | 0.123 |
| 1.96 | 0 | 0 | 0 | 0.027 | 0.004 | 0 |
| 3.92 | 0 | 0 | 0 | 0.096 | 0 | 0 |
| 5.88 | 0 | 0 | 0 | 0 | 0.568 | 0 |
| 7.84 | 0 | 0 | 0 | 0 | 0 | 0.518 |
| 9.8 | 0 | 0 | 0 | 0 | 0.414 | 0 |
| 11.76 | 0 | 0 | 0 | 0 | 0 | 0.002 |
| 13.72 | 0 | 0 | 0 | 0 | 0.159 | 0 |
| 15.68 | 0 | 0 | 0 | 0 | 0 | 0 |
| 17.64 | 0 | 0 | 0 | 0 | 0 | 0 |
| 19.6 | - | - | - | 0 | 0 | 0 |
| 21.56 | - | - | - | 0 | 0 | 0 |
| 23.52 | - | - | - | 0 | 0 | 0 |
| 25.48 | - | - | - | 0 | 0 | 0 |
| 27.44 | - | - | - | - | 0 | - |
| Feed Force and Initial Tension | a | b |
|---|---|---|
| 15 N tight | −2.048 | 3.3629 |
| 35 N tight | −0.7251 | 1.5377 |
| 35 N slack | −1.0796 | 2.3526 |
| 70 N tight | −1.2191 | 2.3863 |
Disclaimer/Publisher’s Note: The statements, opinions and data contained in all publications are solely those of the individual author(s) and contributor(s) and not of MDPI and/or the editor(s). MDPI and/or the editor(s) disclaim responsibility for any injury to people or property resulting from any ideas, methods, instructions or products referred to in the content. |
© 2025 by the authors. Licensee MDPI, Basel, Switzerland. This article is an open access article distributed under the terms and conditions of the Creative Commons Attribution (CC BY) license (https://creativecommons.org/licenses/by/4.0/).
Share and Cite
Maciak, A.; Kubuśka-Orłowska, M. Impact of Feed Force and Initial Chain Tension on Chipper Chain Wear in Gasoline-Powered Chainsaws. Forests 2025, 16, 1763. https://doi.org/10.3390/f16121763
Maciak A, Kubuśka-Orłowska M. Impact of Feed Force and Initial Chain Tension on Chipper Chain Wear in Gasoline-Powered Chainsaws. Forests. 2025; 16(12):1763. https://doi.org/10.3390/f16121763
Chicago/Turabian StyleMaciak, Adam, and Magda Kubuśka-Orłowska. 2025. "Impact of Feed Force and Initial Chain Tension on Chipper Chain Wear in Gasoline-Powered Chainsaws" Forests 16, no. 12: 1763. https://doi.org/10.3390/f16121763
APA StyleMaciak, A., & Kubuśka-Orłowska, M. (2025). Impact of Feed Force and Initial Chain Tension on Chipper Chain Wear in Gasoline-Powered Chainsaws. Forests, 16(12), 1763. https://doi.org/10.3390/f16121763

