Contrasting Effects of Broadleaf Thinning Treatments on Spruce Growth in Central British Columbia, Canada
Abstract
1. Introduction
- How do the height and diameter growth of spruce trees vary across a gradient of broadleaf competition 19 years after treatment?
- How does the incidence of weevil attack on spruce vary across levels of broadleaf retention, and how does weevil attack affect spruce growth?
2. Materials and Methods
2.1. Site Location
2.2. Experimental Design
- Species;
- Height (m);
- Diameter at 1.3 m (DBH, measured in cm);
- Crown class (i.e., dominant, co-dominant, intermediate, or suppressed);
- Presence of weevil attack.
2.3. Data Analyses
2.3.1. Tree-Level Spruce Growth Models
2.3.2. Stand-Level Spruce Yield and Weevil Attack Models
2.3.3. Broadleaf Tree Mortality Model
2.3.4. Stand Volume Projections Using MGM21
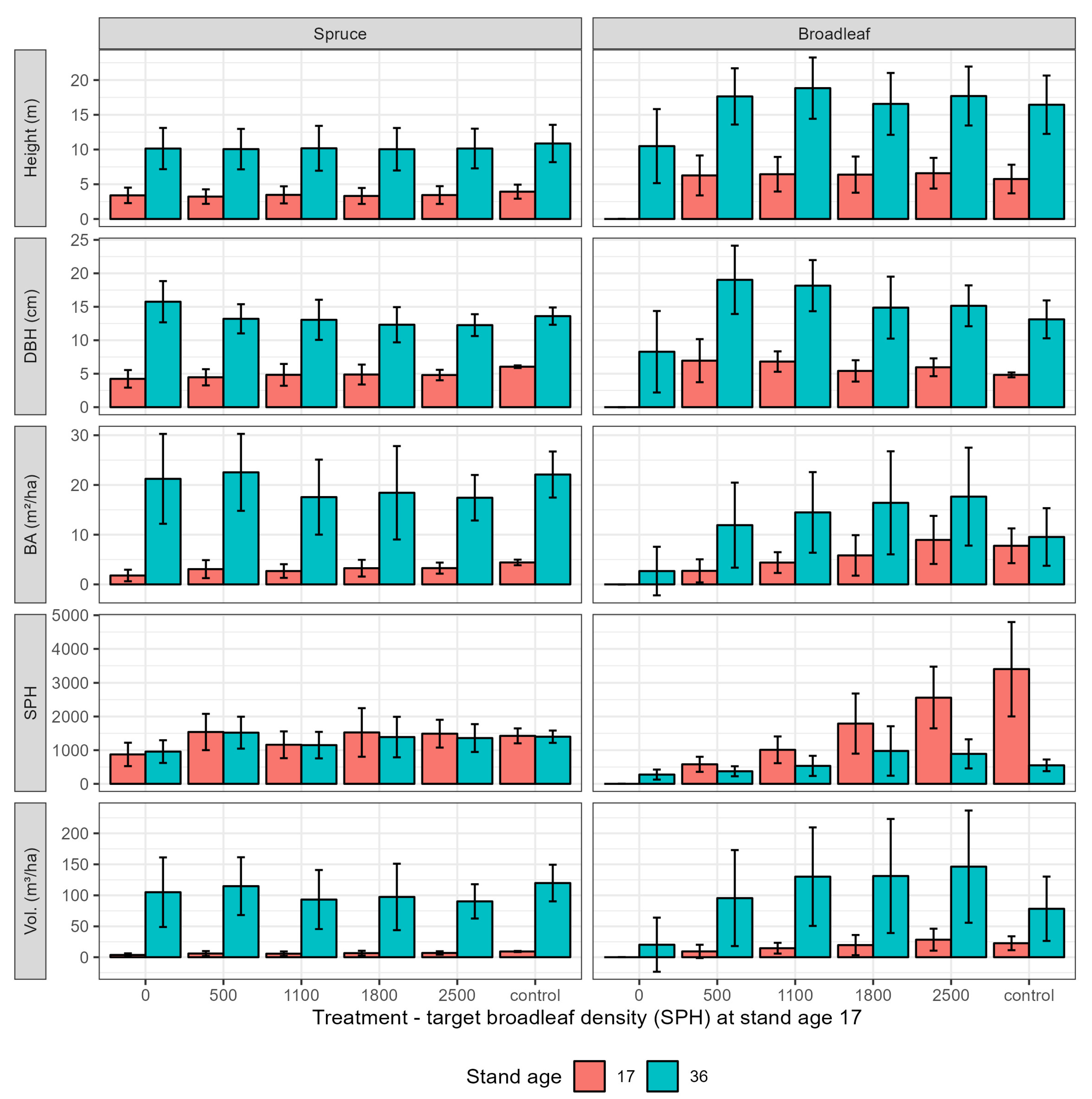
3. Results
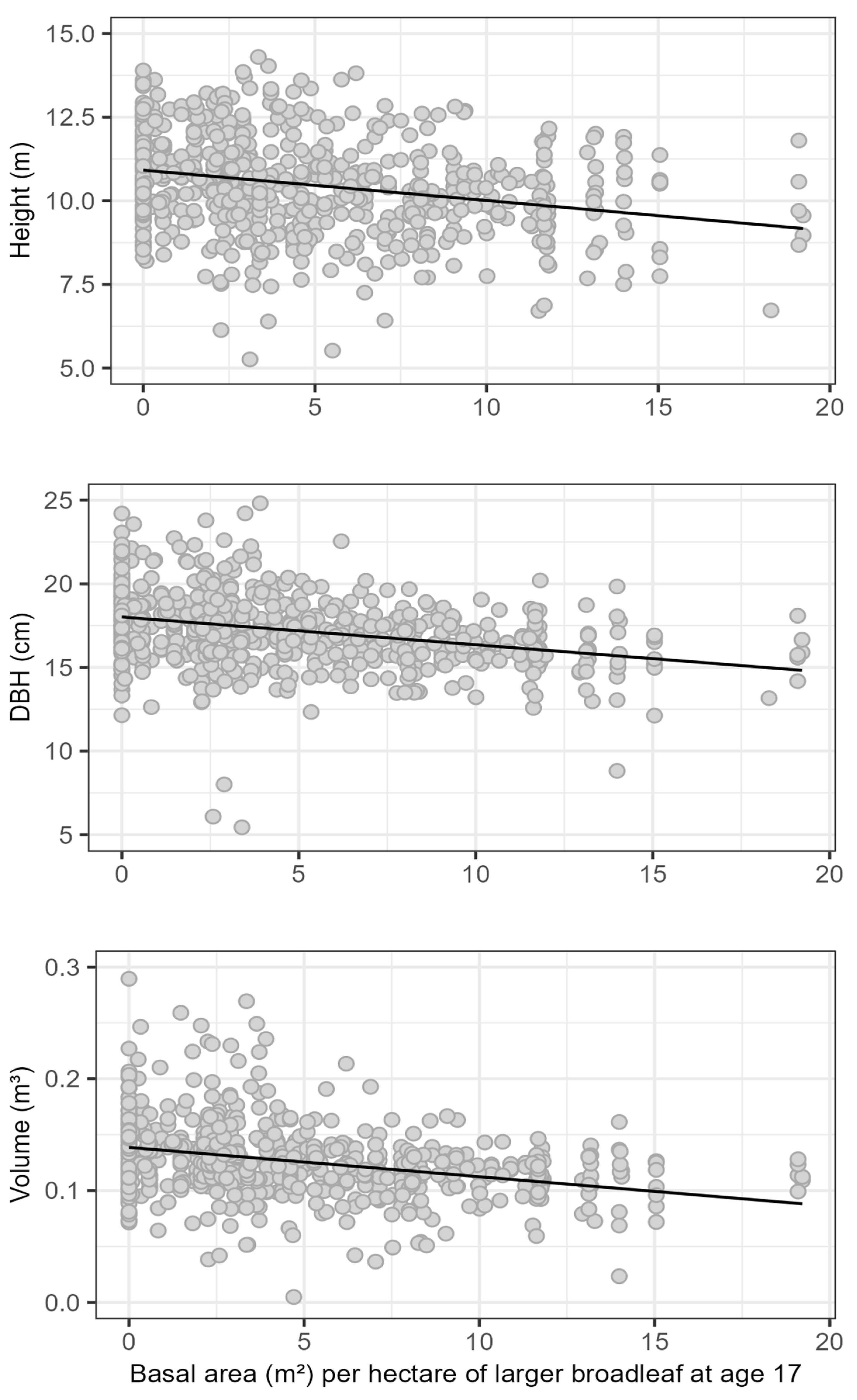
3.1. Tree-Level Spruce Growth Models
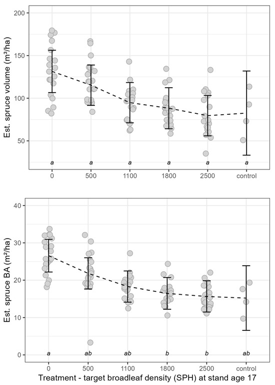
3.2. Stand-Level Spruce Yield and Weevil Attack Models
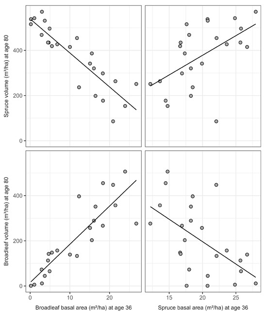
3.3. Stand Volume Projections
4. Discussion
4.1. Broadleaf Competition on Spruce Growth
4.2. Weevil Attack on Spruce
4.3. Broadleaf Mortality After Thinning Treatment
5. Conclusions
Supplementary Materials
Author Contributions
Funding
Data Availability Statement
Acknowledgments
Conflicts of Interest
References
- Forrester, D.I. Linking Forest Growth with Stand Structure: Tree Size Inequality, Tree Growth or Resource Partitioning and the Asymmetry of Competition. For. Ecol. Manag. 2019, 447, 139–157. [Google Scholar] [CrossRef]
- Oliver, C.D.; Larson, B.C. Forest Stand Dynamics; Wiley: New York, NY, USA, 1996. [Google Scholar]
- Bjelanovic, I.; Comeau, P.; Meredith, S.; Roth, B. Precommercial Thinning Increases Spruce Yields in Boreal Mixedwoods in Alberta, Canada. Forests 2021, 12, 412. [Google Scholar] [CrossRef]
- Champagne, E.; Dumais, D.; Raymond, P. Precommercial Thinning Increased Diameter Growth While Maintaining Mixedwood Stands Composition, 15 Years after Treatment. Can. J. For. Res. 2022, 53, 255–270. [Google Scholar] [CrossRef]
- Chen, S.; Shahi, C.; Chen, H.Y.; McLaren, B. Economic Analysis of Forest Management Alternatives: Compositional Objectives, Rotation Ages, and Harvest Methods in Boreal Forests. For. Policy Econ. 2017, 85, 124–134. [Google Scholar] [CrossRef]
- Chen, S.; Shahi, C.; Chen, H.Y.; Kumar, P.; Ma, Z.; McLaren, B. Trade-Offs and Synergies between Economic Gains and Plant Diversity across a Range of Management Alternatives in Boreal Forests. Ecol. Econ. 2018, 151, 162–172. [Google Scholar] [CrossRef]
- Kabzems, R.; Harper, G.; Fielder, P. Growing Space Management in Boreal Mixedwood Forests: 11-Year Results. West. J. Appl. For. 2011, 26, 82–90. [Google Scholar] [CrossRef]
- Kelty, M.J. The Role of Species Mixtures in Plantation Forestry. For. Ecol. Manag. 2006, 233, 195–204. [Google Scholar] [CrossRef]
- Calder, W.J.; St. Clair, S.B. Facilitation Drives Mortality Patterns along Succession Gradients of Aspen-conifer Forests. Ecosphere 2012, 3, 1–11. [Google Scholar] [CrossRef]
- Simard, S.; Vyse, A. Trade-Offs between Competition and Facilitation: A Case Study of Vegetation Management in the Interior Cedar–Hemlock Forests of Southern British Columbia. Can. J. For. Res. 2006, 36, 2486–2496. [Google Scholar] [CrossRef]
- Filipescu, C.N.; Comeau, P.G. Aspen Competition Affects Light and White Spruce Growth across Several Boreal Sites in Western Canada. Can. J. For. Res. 2007, 37, 1701–1713. [Google Scholar] [CrossRef]
- Huang, J.-G.; Stadt, K.J.; Dawson, A.; Comeau, P.G. Modelling Growth-Competition Relationships in Trembling Aspen and White Spruce Mixed Boreal Forests of Western Canada. PLoS ONE 2013, 8, e77607. [Google Scholar] [CrossRef]
- Bergeron, Y.; Chen, H.Y.; Kenkel, N.C.; Leduc, A.L.; Macdonald, S.E. Boreal Mixedwood Stand Dynamics: Ecological Processes Underlying Multiple Pathways. For. Chron. 2014, 90, 202–213. [Google Scholar] [CrossRef]
- Brassard, B.W.; Chen, H.Y. Stand Structural Dynamics of North American Boreal Forests. Crit. Rev. Plant Sci. 2006, 25, 115–137. [Google Scholar] [CrossRef]
- Klinka, K.; Worrall, J.; Skoda, L.; Varga, P.; Chourmouzis, C. The Distribution and Synopsis of Ecological and Silvical Characteristics of Tree Species of British Columbia’s Forests; Forest Sciences Department, University of British Columbia: Vancouver, BC, Canada, 1999. [Google Scholar]
- Comeau, P.G.; Wang, J.R.; Letchford, T. Influences of Paper Birch Competition on Growth of Understory White Spruce and Subalpine Fir Following Spacing. Can. J. For. Res. 2003, 33, 1962–1973. [Google Scholar] [CrossRef]
- Hawkins, C.D.B.; Dhar, A.; Rogers, B.J. How Much Birch (Betula papyrifera) Is Too Much for Maximizing Spruce (Picea glauca) Growth: A Case Study in Boreal Spruce Plantation Forests. J. For. Sci. 2012, 58, 314–327. [Google Scholar] [CrossRef]
- Comeau, P.; Heineman, J.; Newsome, T. Evaluation of Relationships between Understory Light and Aspen Basal Area in the British Columbia Central Interior. For. Ecol. Manag. 2006, 226, 80–87. [Google Scholar] [CrossRef]
- Lieffers, V.; Messier, C.; Stadt, K.; Gendron, F.; Comeau, P.G. Predicting and Managing Light in the Understory of Boreal Forests. Can. J. For. Res. 1999, 29, 796–811. [Google Scholar] [CrossRef]
- Comeau, P.; Filipescu, C.N.; Kabzems, R.; DeLong, C. Growth of White Spruce Underplanted beneath Spaced and Unspaced Aspen Stands in Northeastern B.C.—10 Year Results. For. Ecol. Manag. 2009, 257, 1087–1094. [Google Scholar] [CrossRef]
- DeLong, C. Relative Impact of Aspen Competition and Soil Factors on the Performance of Lodgepole Pine and Hybrid White Spruce in North-Central British Columbia; Technical Report 039; BC Ministry of Forests: Victoria, BC, Canada, 2007. [Google Scholar]
- Kabzems, R.; Bokalo, M.; Comeau, P.; MacIsaac, D. Managed Mixtures of Aspen and White Spruce 21 to 25 Years after Establishment. Forests 2015, 7, 5. [Google Scholar] [CrossRef]
- Hughes, N. Glyphosate Use in BC—An Update; BC Forest Professional Magazine; Association of BC Forest Professionals: Vancouver, BC, Canada, 2020; pp. 10–11. [Google Scholar]
- Wagner, R.G.; Little, K.M.; Richardson, B.; Mcnabb, K. The Role of Vegetation Management for Enhancing Productivity of the World’s Forests. Forestry 2006, 79, 57–79. [Google Scholar] [CrossRef]
- David, A.J.; Zasada, J.C.; Gilmore, D.W.; Landhäusser, S.M. Current Trends in the Management of Aspen and Mixed Aspen Forests for Sustainable Production. For. Chron. 2001, 77, 525–532. [Google Scholar] [CrossRef]
- Vyse, A.; Simard, S.W. Broadleaves in the Interior of British Columbia: Their Extent, Use, Management and Prospects for Investment in Genetic Conservation and Improvement. For. Chron. 2009, 85, 528–537. [Google Scholar] [CrossRef][Green Version]
- Hamilton, E. Non-Timber Forest Products in British Columbia: Policies, Practices, Opportunities, and Recommendations. J. Ecosyst. Manag. 2012, 13, 1–24. [Google Scholar] [CrossRef]
- Cavard, X.; Macdonald, S.E.; Bergeron, Y.; Chen, H.Y. Importance of Mixedwoods for Biodiversity Conservation: Evidence for Understory Plants, Songbirds, Soil Fauna, and Ectomycorrhizae in Northern Forests. Environ. Rev. 2011, 19, 142–161. [Google Scholar] [CrossRef]
- Oliveira, A.S.; Silva, J.S.; Guiomar, N.; Fernandes, P.; Nereu, M.; Gaspar, J.; Lopes, R.F.; Rodrigues, J.P.C. The Effect of Broadleaf Forests in Wildfire Mitigation in the WUI–A Simulation Study. Int. J. Disaster Risk Reduct. 2023, 93, 103788. [Google Scholar] [CrossRef]
- Clair, S.B.S.; Cavard, X.; Bergeron, Y. The Role of Facilitation and Competition in the Development and Resilience of Aspen Forests. For. Ecol. Manag. 2013, 299, 91–99. [Google Scholar] [CrossRef]
- Groot, A.; Carlson, D.W. Influence of Shelter on Night Temperatures, Frost Damage, and Bud Break of White Spruce Seedlings. Can. J. For. Res. 1996, 26, 1531–1538. [Google Scholar] [CrossRef]
- Brown, S.; Petrone, R.; Chasmer, L.; Mendoza, C.; Lazerjan, M.; Landhäusser, S.; Silins, U.; Leach, J.; Devito, K. Atmospheric and Soil Moisture Controls on Evapotranspiration from above and within a Western Boreal Plain Aspen Forest. Hydrol. Process. 2014, 28, 4449–4462. [Google Scholar] [CrossRef]
- Maundrell, C.; Hawkins, C. Use of an Aspen Overstory to Control Understory Herbaceous Species, Bluejoint Grass (Calamagrostis canadensis), and Fireweed (Epilobium angustifolium). North. J. Appl. For. 2004, 21, 74–79. [Google Scholar] [CrossRef]
- Taylor, S.; Delong, C.; Alfaro, R.; Rankin, L. The Effects of Overstory Shading on White Pine Weevil Damage to White Spruce and Its Effects on Spruce Growth Rates. Can. J. For. Res. 1996, 26, 306–312. [Google Scholar] [CrossRef]
- Belyea, R.; Sullivan, C. The White Pine Weevil: A Review of Current Knowledge. For. Chron. 1956, 32, 58–67. [Google Scholar] [CrossRef]
- Alfaro, R.I.; Borden, J.; Fraser, R.; Yanchuk, A. The White Pine Weevil in British Columbia: Basis for an Integrated Pest Management System. For. Chron. 1995, 71, 66–73. [Google Scholar] [CrossRef]
- Lysak, T.; Ross, D.W.; Maguire, D.A.; Overhulser, D.L. Predicting Spruce Weevil Damage in Sitka Spruce in the Northern Oregon Coast Range. West. J. Appl. For. 2006, 21, 159–164. [Google Scholar] [CrossRef]
- He, F.; Alfaro, R.I. White Pine Weevil Attack on White Spruce: A Survival Time Analysis. Ecol. Appl. 2000, 10, 225–232. [Google Scholar] [CrossRef]
- Schwab, O.; Maness, T.; Bull, G.; Welham, C.; Seely, B.; Blanco, J. Modeling the Timber Supply Impact of Introducing Weevil-Resistant Spruce in British Columbia with Cellular Automata. For. Policy Econ. 2011, 13, 61–68. [Google Scholar] [CrossRef]
- McMullen, L.; Thomson, A.; Quenet, R. Sitka Spruce Weevil (Pissodes strobi) Population Dynamics and Control: A Simulation Model Based on Field Relationships; Information Report BC-X-288, 1–20; Canadian Forestry Service, Pacific Forestry Centre: Victoria, BC, Canada, 1987. [Google Scholar]
- Taylor, S.; Alfaro, R.; Lewis, K. Factors Affecting the Incidence of White Pine Weevil Damage to White Spruce in the Prince George Region of British Columbia. J. Entomol. Soc. Br. Columbia 1991, 88, 3–7. [Google Scholar]
- Barbeito, I.; Eskelson, B.N.; Carsky, G. Trade-Offs across Densities and Mixture Proportions in Lodgepole Pine-Hybrid Spruce Plantations. For. Ecol. Manag. 2021, 490, 119095. [Google Scholar] [CrossRef]
- Taylor, S.; Cozens, R. Limiting White Pine Weevil Attacks by Side and Overstory Shade in the Prince George Forest Region. J. Entomol. Soc. Br. Columbia 1994, 91, 37–42. [Google Scholar]
- Sullivan, C. The Effect of Light and Temperature on the Behaviour of Adults of the White Pine Weevil, Pissodes Strobi Peck. 1. Can. Entomol. 1959, 91, 213–232. [Google Scholar] [CrossRef]
- Sullivan, C. The Effect of Physical Factors on the Activity and Development of Adults and Larvae of the White Pine Weevil, Pissodes Strobi (Peck) 1. Can. Entomol. 1960, 92, 732–745. [Google Scholar] [CrossRef]
- VanderSar, T.; Borden, J. Visual Orientation of Pissodes Strobi Peck (Coleoptera: Curculionidae) in Relation to Host Selection Behaviour. Can. J. Zool. 1977, 55, 2042–2049. [Google Scholar] [CrossRef]
- Meidinger, D.; Pojar, J. (Eds.) Ecosystems of British Columbia; Special Report Series; B.C. Ministry of Forests: Victoria, BC, Canada, 1991; Volume 6. [Google Scholar]
- Stevenson, S.K.; Armleder, H.M.; Arsenault, A.; Coxson, D.; DeLong, S.C.; Jull, M. British Columbia’s Inland Rainforest: Ecology, Conservation, and Management; UBC Press: Vancouver, BC, Canada, 2011. [Google Scholar]
- BC Ministry of Forests Biodiversity Guidebook; Forest Practices Code of British Columbia: Victoria, BC, Canada, 1995.
- BC Ministry of Forests and Range Forest Inventory and Monitoring Program: Growth and Yield Standards and Procedures; Natural Resource Operations and Rural Development: Victoria, BC, Canada, 2007.
- R Core Team. R: A Language and Environment for Statistical Computing; R Foundation for Statistical Computing: Vienna, Austria, 2022. [Google Scholar]
- Bates, D.; Maechler, M.; Bolker, B.; Walker, S. lme4: Linear Mixed-Effects Models Using Eigen and S4; R Package. 2022. Available online: https://cran.r-project.org/web/packages/lme4/lme4.pdf (accessed on 1 April 2022).
- Lenth, R.V. Emmeans: Estimated Marginal Means, Aka Least-Squares Means; R Package. 2022. Available online: https://cran.r-project.org/web/packages/emmeans/emmeans.pdf (accessed on 1 April 2022).
- Lüdecke, D. Ggeffects: Tidy Data Frames of Marginal Effects from Regression Models. J. Open Source Softw. 2018, 3, 772. [Google Scholar] [CrossRef]
- Nakagawa, S.; Schielzeth, H. A General and Simple Method for Obtaining R2 from Generalized Linear Mixed-Effects Models. Methods Ecol. Evol. 2013, 4, 133–142. [Google Scholar] [CrossRef]
- Bartoń, K. MuMIn: Multi-Model Inference; R Package. 2023. Available online: https://cran.r-project.org/web/packages/MuMIn/MuMIn.pdf (accessed on 1 April 2022).
- Nigh, G.D. Total and Merchantable Volume Equations for Common Tree Species in British Columbia by Region and Biogeoclimactic Zone. 2016. Available online: https://www.for.gov.bc.ca/hfd/pubs/docs/TR/TR106.htm (accessed on 4 January 2024).
- Stearns-Smith, S. Making Sense of Site Index Estimates in British Columbia: A Quick Look at the Big Picture. J. Ecosyst. Manag. 2002, 1, 1–4. [Google Scholar] [CrossRef]
- Ammer, C.; Balandier, P.; Bentsen, N.S.; Coll, L.; Löf, M. Forest Vegetation Management under Debate: An Introduction. Eur. J. For. Res. 2011, 130, 1–5. [Google Scholar] [CrossRef]
- Balandier, P.; Collet, C.; Miller, J.H.; Reynolds, P.E.; Zedaker, S.M. Designing Forest Vegetation Management Strategies Based on the Mechanisms and Dynamics of Crop Tree Competition by Neighbouring Vegetation. For. Int. J. For. Res. 2006, 79, 3–27. [Google Scholar] [CrossRef]
- Harper, G.; Brown, K. Effects of Manual Brushing on 10-Year Survival and Growth of Douglas-Fir in the Mixed Broadleaf—Shrub Complex of Southern Interior British Columbia. For. Chron. 2020, 96, 152–164. [Google Scholar] [CrossRef]
- Kabzems, R.; Nemec, A.L.; Farnden, C. Growing Trembling Aspen and White Spruce Intimate Mixtures: Early Results (13–17 Years) and Future Projections. J. Ecosyst. Manag. 2007, 8, 1–14. [Google Scholar] [CrossRef]
- Wagner, R.G. Competition and Critical-Period Thresholds for Vegetation Management Decisions in Young Conifer Stands. For. Chron. 2000, 76, 961–968. [Google Scholar] [CrossRef]
- Dhar, A.; Wang, J.R.; Hawkins, C.D.B. Interaction of Trembling Aspen and Lodgepole Pine in a Young Sub-Boreal Mixedwood Stand in Central British Columbia. OJF 2015, 5, 129–138. [Google Scholar] [CrossRef][Green Version]
- Newsome, T.A.; Nemec, A.F.L.; Heineman, J. Competitive Effects of Trembling Aspen on Lodgepole Pine Performance in the SBS and IDF Zones of the Cariboo-Chilcotin Region of South-Central British Columbia; Technical Report; British Columbia, Forest Science Program: Victoria, BC, Canada, 2003. [Google Scholar]
- Newsome, T.A.; Heineman, J.L.; Nemec, A.F.L. Competitive Interactions between Juvenile Trembling Aspen and Lodgepole Pine: A Comparison of Two Interior British Columbia Ecosystems. For. Ecol. Manag. 2008, 255, 2950–2962. [Google Scholar] [CrossRef]
- Newsome, T.A.; Heineman, J.L.; Nemec, A.F.L. A Comparison of Lodgepole Pine Responses to Varying Levels of Trembling Aspen Removal in Two Dry South-Central British Columbia Ecosystems. For. Ecol. Manag. 2010, 259, 1170–1180. [Google Scholar] [CrossRef]
- Reyes-Hernández, V.; Comeau, P.G. Survival Probability of White Spruce and Trembling Aspen in Boreal Pure and Mixed Stands Experiencing Self-Thinning. For. Ecol. Manag. 2014, 323, 105–113. [Google Scholar] [CrossRef]
- Comeau, P.; Bokalo, M. Aspen and Spruce Densities Affect Tree Size, Future Stand Volume, and Aboveground Carbon Following Precommercial Thinning. Forests 2024, 15, 223. [Google Scholar] [CrossRef]
- Jull, M.; Griesbauer, H. Stand- and Tree-Level Responses to a Range of Initial Basal Area Densities Following Partial Harvest of Complex Spruce–Fir Stands in Central British Columbia: 25-Year Results of a Long-Term Field Experiment. Can. J. For. Res. 2023, 53, 796–813. [Google Scholar] [CrossRef]
- Larocque, G.R.; Marshall, P.L. Evaluating the Impact of Competition Using Relative Growth Rate in Red Pine (Pinus resinosa Ait.) Stands. For. Ecol. Manag. 1993, 58, 65–83. [Google Scholar] [CrossRef]
- Jiang, X.; Huang, J.-G.; Cheng, J.; Dawson, A.; Stadt, K.J.; Comeau, P.G.; Chen, H.Y. Interspecific Variation in Growth Responses to Tree Size, Competition and Climate of Western Canadian Boreal Mixed Forests. Sci. Total Environ. 2018, 631, 1070–1078. [Google Scholar] [CrossRef] [PubMed]
- Alfaro, R.I.; Omule, S. The Effect of Spacing on Sitka Spruce Weevil Damage to Sitka Spruce. Can. J. For. Res. 1990, 20, 179–184. [Google Scholar] [CrossRef]
- Koopmans, J.M.; De La Giroday, H.C.; Lindgren, B.S.; Aukema, B.H. Take Me to Your Leader: Does Early Successional Nonhost Vegetation Spatially Inhibit Pissodes Strobi (Coleoptera: Curculionidae)? Env. Entomol 2009, 38, 1189–1196. [Google Scholar] [CrossRef]
- Foord, V. Climate Patterns, Trends, and Projections for the Omineca, Skeena, and Northeast Natural Resource Regions, British Columbia; Technical Report; BC Ministry of Forests: Victoria, BC, Canada, 2016. [Google Scholar]
- Wallace, D.; Sullivan, C. The White Pine Weevil, Pissodes Strobi (Coleoptera: Curculionidae): A Review Emphasizing Behavior and Development in Relation to Physical Factors. Proc. Entomol. Soc. Ont. 1985, 116, 39–62. [Google Scholar]
- Thompson, D.G.; Pitt, D.G. A Review of Canadian Forest Vegetation Management Research and Practice. Ann. For. Sci. 2003, 60, 559–572. [Google Scholar] [CrossRef]
- Simard, S.; Sachs, D.L.; Vyse, A.; Blevins, L.L. Paper Birch Competitive Effects Vary with Conifer Tree Species and Stand Age in Interior British Columbia Forests: Implications for Reforestation Policy and Practice. For. Ecol. Manag. 2004, 198, 55–74. [Google Scholar] [CrossRef]
- Wagner, R.G.; Mohammed, G.H.; Noland, T.L. Critical Period of Interspecific Competition for Northern Conifers Associated with Herbaceous Vegetation. Can. J. For. Res. 1999, 29, 890–897. [Google Scholar] [CrossRef]









| Term | Coefficient |
|---|---|
| (Intercept) | 3.509 *** (0.442) |
| Fixed effects | |
| DBH17 | −0.521 *** (0.043) |
| Treatment-broadleaf density at stand age 17 | |
| 1100 SPH | −0.083 (0.424) |
| 1800 SPH | −0.303 (0.386) |
| 2500 SPH | 0.532 (0.374) |
| Control | 1.104 * (0.429) |
| Term | Height | DBH | Volume |
|---|---|---|---|
| (Intercept) | 3.592 *** (0.383) | 8.644 *** (0.731) | 0.077 *** (0.009) |
| Fixed effects | |||
| BA_LD17 | −0.091 ** (0.027) | −0.166 *** (0.046) | −0.003 *** (0.001) |
| Size17 | 2.102 *** (0.062) | 1.902 *** (0.047) | 12.998 *** (0.359) |
| Treatment-target broadleaf density at stand age 17 | |||
| 500 SPH | 0.385 (0.437) | −2.870 * (0.982) | −0.029 * (0.012) |
| 1100 SPH | −0.194 (0.448) | −3.827 ** (0.996) | −0.042 ** (0.013) |
| 1800 SPH | −0.156 (0.464) | −4.502 *** (1.019) | −0.046 ** (0.013) |
| 2500 SPH | −0.025 (0.489) | −4.216 *** (1.053) | −0.044 ** (0.013) |
| Control | −0.258 (0.676) | −5.036 ** (1.557) | −0.050 * (0.019) |
| Weevil attack number of tree sectors | |||
| 1 sector | −0.055 (0.172) | −0.280 (0.245) | −0.008 * (0.004) |
| 2 sectors | −0.107 (0.182) | −0.541 * (0.266) | −0.010 * (0.004) |
| 3 sectors | −0.448 * (0.205) | −1.025 *** (0.307) | −0.019 *** (0.005) |
| Random effects | |||
| TU/Plot | 0.478 | 1.001 | 0.011 |
| TU | 0.465 | 1.216 | 0.015 |
| Residual | 1.603 | 2.209 | 0.036 |
| Model R2 | 0.650 | 0.729 | 0.675 |
| Term | Volume | Basal Area |
|---|---|---|
| (Intercept) | 71.968 *** (15.662) | 15.065 *** (2.657) |
| Fixed effects | ||
| Yield17 | 10.802 *** (1.008) | 4.439 *** (0.389) |
| Treatment-target broadleaf density at stand age 17 | ||
| 500 SPH | −16.177 (17.310) | −4.749 (3.066) |
| 1100 SPH | −36.660 * (17.272) | −8.268 * (3.042) |
| 1800 SPH | −43.173 * (17.749) | −10.095 ** (3.133) |
| 2500 SPH | −51.863 ** (17.416) | −10.914 ** (3.073) |
| Control | −48.873 (28.108) | −11.346 * (4.942) |
| Weevil attack (%) | ||
| Total | −1.657 (15.009) | −1.350 (2.437) |
| Severe | −21.905 (18.542) | −2.866 (2.969) |
| Random effects | ||
| TU | 19.975 | 3.658 |
| Residual | 28.736 | 4.578 |
| Model R2 | 0.521 | 0.550 |
| Term | Attack (%) | Sev. Attack (%) |
|---|---|---|
| (Intercept) | 0.714 *** (0.056) | 0.174 ** (0.055) |
| Fixed effects | ||
| Attack17 (%) | 0.377 *** (0.100) | 0.301 *** (0.080) |
| Treatment-target broadleaf density at stand age 17 | ||
| 500 SPH | −0.291 *** (0.080) | −0.108 (0.079) |
| 1100 SPH | −0.243 ** (0.075) | −0.128 (0.076) |
| 1800 SPH | −0.357 *** (0.077) | −0.169 * (0.077) |
| 2500 SPH | −0.239 ** (0.077) | −0.137 (0.077) |
| Control | −0.254 (0.131) | −0.195 (0.127) |
| Random effects | ||
| TU | 0.000 | 0.070 |
| Residual | 0.231 | 0.177 |
| Model R2 | 0.229 | 0.157 |
Disclaimer/Publisher’s Note: The statements, opinions and data contained in all publications are solely those of the individual author(s) and contributor(s) and not of MDPI and/or the editor(s). MDPI and/or the editor(s) disclaim responsibility for any injury to people or property resulting from any ideas, methods, instructions or products referred to in the content. |
© 2024 by the authors. Licensee MDPI, Basel, Switzerland. This article is an open access article distributed under the terms and conditions of the Creative Commons Attribution (CC BY) license (https://creativecommons.org/licenses/by/4.0/).
Share and Cite
Griesbauer, H.; Hawkins, C. Contrasting Effects of Broadleaf Thinning Treatments on Spruce Growth in Central British Columbia, Canada. Forests 2025, 16, 51. https://doi.org/10.3390/f16010051
Griesbauer H, Hawkins C. Contrasting Effects of Broadleaf Thinning Treatments on Spruce Growth in Central British Columbia, Canada. Forests. 2025; 16(1):51. https://doi.org/10.3390/f16010051
Chicago/Turabian StyleGriesbauer, Hardy, and Chris Hawkins. 2025. "Contrasting Effects of Broadleaf Thinning Treatments on Spruce Growth in Central British Columbia, Canada" Forests 16, no. 1: 51. https://doi.org/10.3390/f16010051
APA StyleGriesbauer, H., & Hawkins, C. (2025). Contrasting Effects of Broadleaf Thinning Treatments on Spruce Growth in Central British Columbia, Canada. Forests, 16(1), 51. https://doi.org/10.3390/f16010051

