Next Article in Journal
Effects of Forest Swamp Succession and Soil Depth on Distribution Pattern of Soil Nematode Communities
Previous Article in Journal
Genome-Wide Identification of the Uridine Diphosphate Glucotransferase Gene Family and Expression Profiling Analysis in the Stem Development of Prunus mume
Previous Article in Special Issue
Analysis of Basidiomycete Fungal Communities in Soil and Wood from Contrasting Zones of the AWPA Biodeterioration Hazard Map across the United States
 
 
Font Type:
Arial Georgia Verdana
Font Size:
Aa Aa Aa
Line Spacing:
Column Width:
Background:
Article

Weathering Resistance of Wood Following Thermal Modification in Closed Process Under Pressure in Nitrogen

1
Latvian State Institute of Wood Chemistry, LV-1006 Riga, Latvia
2
Faculty of Materials Science and Applied Chemistry, Institute of Polymer Materials, Riga Technical University, LV-1048 Riga, Latvia
*
Author to whom correspondence should be addressed.
Forests 2025, 16(1), 132; https://doi.org/10.3390/f16010132
Submission received: 25 November 2024 / Revised: 9 January 2025 / Accepted: 10 January 2025 / Published: 12 January 2025
(This article belongs to the Special Issue Improving the Service Life of Wood: Durability and Preservation)

Abstract

The wood of Scots pine (Pinus sylvestris), silver birch (Betula pendula), and European aspen (Populus tremula) was thermally modified in nitrogen under pressure. Three commercial linseed oil-based coatings without or with brown and grey pigments were applied to the specimens. Specimens were placed outside, and weathering stability was assessed for 3 months. The test measured total surface colour change (ΔE) and colonization by wood dicolouring fungi. Following the test, all uncoated specimens demonstrated poor colour fastness and resistance to fungal growth. All tested coatings were unsuitable for protecting untreated wood from dicolouring fungi. The transparent coating was inefficient since it did not significantly prevent untreated or TM wood from fading, and fungal resistance was increased only for a few TM regimes. The colour fastness of specimens with pigmented coatings was enhanced. Specimens with a grey coating exhibited the lowest ΔE and remained consistent throughout the test period. TM specimens with coloured surfaces exhibited greater fungal resistance. However, not all TM aspen and birch regimes had a sufficient growth mark (rating 0 or 1). TM aspen was less resistant to fungi, whereas TM pine displayed very strong fungal resistance across all TM regimes.

1. Introduction

Wood has many desirable features, including a pleasing look, high strength, low density, and excellent insulating capabilities. Wood readily takes in moisture from the surrounding air, which promotes swelling. Later, when the moisture is released, the wood shrinks. Wood reacts to these wetting–drying stresses by creeping and surface cracking and tends to form longer, deeper cracks. The wood surface is most affected by these periodic variations in moisture content and size because it is in direct contact with rain, humidity and sunlight. The existence of cracks is a significant disadvantage that could shorten its mechanical strength, market value, and service life. Cracks promote the absorption of water, creating the ideal moisture environment for the growth of fungi [1].
In wet environments, the surface of wood may also be colonized by fungi. Mould fungi do not affect the strength of wood, but discolour wood and may present a health hazard in the indoor environment. Blue stain, a harmless microscopic organism that can discolour a tree’s sapwood in a range of colours, is a common cause of timber staining. While blue stain sinks deeply into the timber fibres and is irreversible, mould can be wiped off or smeared, as it forms on the surface. One of the major disadvantages of wood is the deterioration of its surface when exposed outdoors, known as weathering. Although weathering is primarily a surface phenomenon, it is an important issue for wood products, as it affects their appearance, service life, and wood-coating performance. Colour change is the first sign of complex chemical reactions on the surface of wood exposed to weather, initiated by solar radiation, especially the ultraviolet (UV) part of the spectrum. UV radiation can cause the breakdown of bonds in the polymeric molecules of wood and photochemical reactions that lead to the depolymerization of lignin and cellulosic polymers in the wood cell wall [2,3,4]. Therefore, wood is a suitable raw material for chemical and thermal modification and other combined modifications.
The simplest and most chemical-free treatments are thermal modification (TM) techniques. These procedures use a range of altering conditions, such as steam, nitrogen, vacuum, and vegetable oils, to treat wood. The most fundamental TM methods are one-step procedures that involve heating the wood to the required temperature, maintaining it there, and then cooling it. Our earlier investigations addressed the particular settings, explanations of these processes, and available output levels [5,6].
Additionally, TM wood has certain drawbacks, including decreased tensile and bending strengths, a loss of toughness, colour instability when exposed outdoors, and surface cracking. Additional surface treatment is necessary for TM wood’s weak weather resistance, for both aesthetic and protective reasons. Therefore, a straightforward combined method of wood modification is needed to guarantee the improvement of the wood’s substrate and surface properties. TM wood has different properties as a coating substrate, including reduced hygroscopicity and liquid water absorption, as well as altered wettability, acidity, surface free energy, and anatomical microstructure [2].
Applying a variety of coatings, including paints, varnishes, stains, and water repellents, is the standard method of preventing deterioration on wood. The major purpose of a coating is to help preserve the wood’s look while shielding it from UV rays and moisture [2,3]. Wood surfaces are typically protected with opaque pigmented coatings. However, coatings that produce a film on the surface of the wood are not suggested for use on decking since the coating film tends to peel as moisture levels fluctuate. Although coatings slow the decay of the wood substrate, the inherent appearance and texture of the wood are lost behind the pigments. The dark colour of TM wood is regarded as an advantage, and if the coating is opaque, it cannot be identified as a TM product. To address this issue, transparent coatings are also utilized.
When clear coatings are exposed to sunlight, the wood underneath them deteriorates, which causes the coating to break at the wood–finish interface. By adding different UV absorbers and radical scavengers, such as hindered amine light stabilisers or phenolic light stabilisers, to formulations to reduce coating and underlying wood substrate degradation, or by altering coating formulations to adapt the properties of the coating systems and thereby meet the requirements of the wood substrate, the performance of clear coatings on wood can be improved [7]. However, the wood behind the coating continues to deteriorate at a slower rate, which leads to coating failure [8].
Tung oil, pine tar mixed in boiled linseed oil, and a commercial linseed-based wood preservative were used to cover European aspen (Populus tremula) and downy birch (Betula pubescens) TM wood at 170 °C for 2.5 h. The water resistance and dimensional stability of TM wood have been demonstrated to be enhanced by post-treatment with oils, specifically tung oil and pine tar. Pine tar and tung oil treatments did not appear to improve mould resistance. Conversely, commercial preservatives significantly decreased the growth of mould but did not significantly improve the wood’s structural stability or water resistance [9]. The aspen samples had a more consistent preservative dispersion, and both wood species’ preservative treatability exhibited the following order: commercial product > tar > tung oil [10].
Pentaerythritol triacrylate (PETA) and acrylated epoxidised soybean oil (AESO) have been added to a UV-curable waterborne polyurethane acrylate (PUA) resin, which enables the coating to cure quickly when exposed to a UV light source. A transparent coating that darkens the colour of wood was produced by applying the obtained PUA resin to the surface of a Manchurian ash (Fraxinus mandshurica) floor. The quantity of hydroxyl groups and double bonds in the polyols in the system, as well as the C=C content in the finished wood coatings, increased as the AESO level rose. As crosslinking density rose in the film, adhesion increased, and water absorption decreased [11].
Curable coatings at room temperature were created using the Michael addition reaction between acrylates and acetoacetylated castor oil. Hexametylene diacrylate (P1), trimethylolpropanone triacrylate (P2), and pentaerythritol tetraacrylate (P3) cross-linkers were used to create slightly yellow transparent films. When 1 wt% 4-dimethylaminopyridine (DMAP) was used as the catalyst, the curing time was 15 h; however, when 1 wt% 1,8-diazabicyclo(5,4,0)undec-7-ene (DBU) was used, the curing time was shortened to 12 h, with 90% insoluble material content. A lower cure time of 8 h was attained using 2 weight percent of DBU, and the insoluble material concentration increased to 95%. In tetrahydrofuran and toluene, solvent swelling revealed that P1 had the highest dissolving rate and P3 had the lowest, suggesting that the dissolution rate falls as the cross-linking density rises (more branching structure). The films’ performance and ability to adhere to various substrates were not tested in this investigation [12].
Wood can be shielded from other degrading fungi by using a biofinish made from living Aurobasidium pullulmans cells. Linseed oil was used to impregnate European larch (Larix decidua), and biofinish was applied as coating. Fungal species were permitted to colonise surfaces after specimens were placed outdoors. Regardless of specimen orientation and height, the biofinish coating showed the capacity to withstand notable environmental variations and to operate antagonistically against a variety of fungi [13].
Deciduous trees of beech (Fagus sylvatica L.), birch (Betula pendula), and maple (Acer pseudoplatanus) were treated with saturated water steam at higher pressure than the atmospheric pressure at Tmax 107.5–137.5 °C. The steaming of wood changed the colour of the native wood from a light white-grey colour with a yellowish tinge to the brown shades achieved after treatments at 107.5 and 127.5 °C, as well as to the dark brownish-grey colour achieved after treatment at 137.5 °C. The wood steaming process reduced the roughness of the wood surface depending on the steaming temperature, and the quality of the surface of the material increased [14]. The thermowood method was used to modify African padauk (Pterocarpus soyauxii), merbau (Intsia bijuga), mahogany (Entandrophragma utile), and iroko (Milicia excelsa) at Tmax 160, 190, and 210 °C. Darkening and browning of the wood surface were indicated by a drop in lightness L* and a concurrent decrease in chromatic values a* and b* as the Tmax increased. For every studied wood species, there was a strong link between the hemicellulose content and the lightness difference value ΔL*. Wood’s colour shifts are caused by chromophoric structures that are formed when C=O and C=C bonds in hemicelluloses and lignin break down [15]. The same Tmax was used for 3 hours to treat black locust (Robinia pseudoacacia L.). The evaporation of extractives and the formation of new chromophores (quinones) were the primary causes of the darkening of black locust wood. Colour changes were also caused by partial cellulose breakdown and hemicellulose degradation. Certain chromophores were formed as a result of condensation processes that took place in lignin at greater Tmax [16].
European beech (Fagus sylvatica L.), linden (Tilia cordata), and silver fir (Abies alba) were thermally modified at Tmax 170, 180, 195, 210, and 220 °C, with time at Tmax ranging from 78 to 276 min, and exposed to outdoor conditions for 12 months. Outdoor weathering had a negative impact on the bending and tensile capabilities of untreated linden and beech wood, as well as those of specimens modified under milder conditions. Weathering enhanced the roughness of both modified and untreated wood. All modified and untreated specimens responded similarly after weathering; roughness increased, and they were grey and covered with blue stain fungus [17].
This study compared the colour changes and surface growth of discolouring fungi on TM wood coated with commercial linseed oil-based coatings after weathering under real outdoor conditions. Transparent, brown, and grey pigmented coatings were used that did not form a film on TM wood, and the natural texture of wood was visible. Our goal was to determine whether commercial linseed oil-based coatings, which are typically used on untreated wood, are adequate for coating and maintaining the surface of TM wood.

2. Materials and Methods

2.1. Materials

European aspen (Populus tremula), silver birch (Betula pendula), and Scots pine (Pinus sylvestris) wood boards were purchased from local wood manufacturing companies Apsītes AG (Vecpiebalga, Latvia), Selko Ltd (Jēkabpils, Latvia), and Mars Ltd (Kuldīga, Latvia). Each TM process used 18–20 aspen, birch, and pine wood boards measuring 1000 × 100 × 25–27 mm (longitudinal × tangential × radial). The boards used for TM were of the highest quality, with no visual defects (knots, grain slop, bark pocked, wanes, blue stains, decays, bug holes, rattles, distortions). Prior to TM, all boards were conditioned in a normal climate (20 ± 2 °C, 65 ± 5% relative humidity). For TM, randomly chosen boards of aspen, birch, and pine wood with corresponding average densities of 498 ± 30 kg × m−3, 652 ± 18 kg × m−3, and 581 ± 22 kg × m−3 were used. ISO 13061-1:2014 [18] was used to analyse the moisture content of the wood, and ISO 13061-2:2014 [19] was utilised to calculate its density.

2.2. Thermal Modification Process

TM was conducted in a pilot-scale chamber constructed by Wood Treatment Technology (Grinsted, Denmark) made of 340 L stainless steel. The jacket was kept at a constant temperature by circulating hot mineral oil. Before being heated, the samples were autoclaved for 30 min at 0.2 bar of vacuum to remove oxygen. After the vacuum step, a nitrogen gas cylinder was used to pump nitrogen into the autoclave, creating the required starting pressure (4–6 bar). In order to catalyse the hydrolysis of hemicelluloses, a small amount of steam was first produced by adding a small amount of water (1–1.5 L) to the autoclave. Until the pressure release stage (no mixing occurred), the TM system stayed sealed and static. The TM parameters for Scots pine, silver birch, and European aspen wood are shown in Table 1. The process parameters were established based on past TM experiments in nitrogen with aspen, birch, and pine wood [5,20]. To ensure comparability, the same TM parameters were chosen for aspen and birch. Because of its chemical structure, softwood (pine) is more thermally stable than hardwood, hence a higher Tmax is required to achieve the desired modification level.

2.3. Preparation of Coatings

From each TM regime, one board was selected whose mass loss was closest to the average mass loss for the entire modification regime (18 boards for each treatment for aspen and birch, 20 boards for pine). A raw board for each species was selected according to the same principle. Each selected board was sawn into 4 equal parts with dimensions of 240 × 100 × 22 mm (longitudinal × tangential × radial). Prior to coating, specimens were conditioned in a normal climate (20 ± 2 °C, 65 ± 5% relative humidity). For all specimens, the side edges were coated with urethane alkyd lacquer (brushed on application, three coats). One sample remained without coating, while the others were coated with a transparent, brown, or grey wood surface protection agent according to the principle in Figure 1. Three commercial products of Protim Wood oil (Koppers, Helsingborg, Sweden) based on linseed oil were used: 1. without pigment; 2. with brown pigment; 3. with grey pigment. All products contained phthalic anhydride, maleic anhydride, 3-Iodo-2-propynylbuthyl carbamate, and 2-octyl-2H-isothiazol-3one. Oil products were applied to the samples’ surfaces with a brush and air-dried until the surface was no longer shiny. Similarly, the samples’ surfaces were coated twice more. All linseed oil-based wood protection solutions were stirred properly before use.

2.4. Outdoor Weathering

The samples were positioned in an aluminium rack at a 45° angle, 1 m above the ground, facing south in the most severe weather conditions, in accordance with EN 152:2011 [21]. There was no vegetation, shade, or harsh weather at the test site, which was located in the courtyard of the Latvian State Institute of Wood Chemistry in Riga, Latvia. Table 2 displays the weather data for the 3-month test, which ran from 4 June 2024 to 4 September 2024.

2.5. Fungal Evaluation

Mould and blue stain growth were evaluated once per month using a Leica S9i digital stereo microscope with a 10 MP integrated camera (Leica Microsystems, Wetzlar, Germany). The specimens were observed at magnifications from 20× to 50×. Digital images (2 MB) were analysed with Leica LAS V 4.12.0 software according to the rating scale 0–4: 0—clean, 0% attack; 1—trace, ≤10% growth (one patch of discolouration or 10 small spots < 0.5 mm); 2—slight, 10%–25% growth; 3—medium, 26%–50% growth; 4—severe, >50% growth. The growth rate of discolouring fungi was assessed over a 240 × 100 mm2 specimen area (longitudinal × tangential).

2.6. Surface Colour Measurements

A CM-2500d spectrophotometer (Konica Minolta, Ramsey, NJ, USA) was used to measure the specimens’ colour, which was then converted using the CIELab three-dimensional colour system. Six spots were selected and labelled on each specimen. The colour of the designated areas was measured before and after the weathering tests, as well as after 1, 2, and 3 months, using an aluminium template with the appropriate hole diameters. Equation (1) below was used to compute the overall colour change, or ΔE. a*, which represents red–green coordinates, b*, which represents yellow–blue coordinates, and L*, which represents lightness, as well as the chromaticity parameters:
E = L x * L o * 2 + a x * a o * 2 + b x * b o * 2
where:
  • L o * , a o * , b o * is the value for the particular parameter on the coordinate axis prior to the test;
  • L x * , a x * , b x * is the value for the particular parameter on the coordinate axis after weathering.
The statistical analysis was carried out using Microsoft Excel 2016. Differences with a p-value < 0.05 were considered significant. One-way ANOVA was used to determine the significance of differences between treatment regimes, followed by Fisher LSD test for pairwise comparisons.

3. Results

3.1. Surface Colour Changes

Real, outdoor conditions test the ability of a material to resist weathering and discolouration processes most accurately. When exposed to strong sunlight outside, untreated wood quickly deteriorates and turns grey in a matter of months. Additionally, TM wood fades quickly, turns grey, and is hard to tell apart from regular untreated wood. Theoretically, grey pigment coatings work best for wood and should cause the least amount of overall colour change over time. However, dark coatings like brown or black will not work as well and will fade more quickly when exposed to UV light.
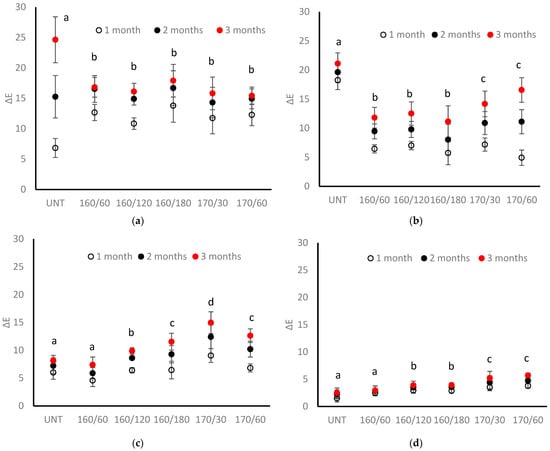
The results presented in Figure 2 show the colour difference parameter ΔE of TM and untreated aspen wood with and without coatings after 1–3 months of weathering in real, outdoor conditions. Following outdoor weathering, untreated and TM aspen without coatings showed the biggest decreases in ΔE (Figure 2a). After 1 month, untreated aspen exhibited a lower ΔE (7 units) compared to TM wood (11–14 units). After 2 months, all samples’ ΔE levelled off at 14–16 units. After 3 months, the colouring of TM wood did not change considerably. However, untreated wood ΔE reached 25 units. The differences between the TM regimens were not significant. In untreated aspen wood samples with a transparent coating, ΔE reached 18 units after 1 month and increased to 21 units after 3 months (Figure 2b). Also, for TM samples, ΔE increased month by month, reaching 11–16 units after 3 months. Transparent coating on TM aspen wood considerably increased colour fastness only for regimes at 160 °C. At 170 °C, TM samples with a transparent coating were darker from the start and faded faster during weathering. The TM wood became darker as the temperature rose.
Specimens of untreated aspen wood with a brown coating changed colour the least (Figure 2c). ΔE reached 6–8 units during the test, showing no discernible change. Only samples adjusted at regime A160/60 produced statistically similar findings. A trend for treatments at Tmax 160 °C was seen; with increasing time at Tmax, the colour fastness of samples with brown coating decreased. Both treatments at 170 °C resulted in higher ΔE. By increasing the intensity of TM, the samples became darker after treatment, and even darker after being coated with a brown layer. In sunshine, darker browns fade faster and have a greater ΔE.
With a grey coating, all aspen samples showed the least colour change, which remained stable throughout time (Figure 2d). Untreated aspen with grey coating had the lowest ΔE (1–2 units). Aspen samples A160/60 yielded comparable or somewhat higher values (3–4 units) than A160/120 and A160/180. Both treated samples at 170 °C showed the largest ΔE (5 units), which was statistically significant. Similarly to brown coating, raising Tmax and time at Tmax in grey coating samples diminished colour fastness significantly. The findings supported our expectation that a grey coating would change the least under UV exposure.
Figure 3 displays the colour difference parameter (ΔE) between TM and untreated birch wood with and without coatings after 1–3 months of weathering in outdoor conditions. Untreated and TM birch without coatings demonstrated the most significant changes in ΔE during outdoor weathering (Figure 3a). After 1 month, untreated birch had a low ΔE (5 units) compared to TM wood (9–16 units). After 2 months, the ΔE for untreated wood reached 24 units. This was due to substantial blue stain growth on the sample’s surface, which had turned grey. After 2 months, all TM samples experienced colour fading, with ΔE reaching 12–22 units. After 3 months, the colouring of TM wood did not change considerably. However, untreated birch wood ΔE reached 31 units. Colour fastness was significantly improved by regime B160/180, with ΔE reaching 12 units after 3 months. Regime B170/30 had a substantial difference (18 units) from other treatments, although there were no significant variations amongst the other regimes. ΔE ranged from 20 to 23 units.
In untreated birch wood samples with transparent coating, ΔE reached 9 units after 1 month and climbed to 11 units after 3 months (Figure 3b). After 1 month, TM samples exhibited decreased ΔE (6–8 units). In successive months of the test, ΔE of TM samples grew to 11–13 and 14–19 units. Transparent coating considerably increased the colour stability of raw birch wood, whereas TM samples showed no improvement. Regime B160/180 had the least colour change without coating and an even larger ΔE with transparent coating. There were substantial differences in both TM regimes with time at Tmax 60 min (B160/60 and B170/60) when compared to other TM birch samples coated with clear film.
Untreated birch wood specimens with a brown coating had the lowest ΔE, which remained relatively constant throughout the test, reaching 2–3 units (Figure 3c). Over the course of the test, the ΔE of TM birch samples with brown coating increased. Regarding colour changes based on the TM modes employed, no pattern was seen. After 3 months, the B160/180 and B170/30 regimes had the lowest ΔE (11–12 units), whereas the others had slightly greater ΔE (13–15 units). The TM birch samples were darker following treatment, and they became even darker after being coated in a brown coating, just as the TM aspen wood. As a result, darker brown TM birch wood had a tendency to fade more quickly and had a larger ΔE than untreated material with the same coating.
Additionally, it was verified that all samples of birch wood with a grey coating had the least amount of colour change, with no discernible change over the course of the test (Figure 3d). The grey-coated, untreated birch wood showed very little ΔE (1 unit). Over the course of the test, the ΔE of TM birch samples with grey coating grew, and after 3 months, it reached at least three to five units. There was no evidence of a colour shift based on the TM regimes utilized. Only the ΔE of regime B160/180 was statistically different from other treatments.
Figure 4 displays the colour difference parameter ΔE of TM and untreated pine wood with and without coatings following 1 to 3 months of weathering in real outdoor conditions. In comparison to TM wood (4–9 units), untreated pine already had a very high ΔE (14 units) after 1 month. For untreated wood, ΔE grew somewhat (16 units) after 2 months and reached 18 units after 3 months (Figure 4a). Uncoated pine wood had colour changes as a result of blue stain growth that occurred gradually over several months. After 2 months, there was no discernible increase in ΔE for TM wood. Only TM samples in the regime P170/60 showed similar ΔE after 3 months compared to untreated wood. ΔE dropped with increasing time at Tmax for samples modified at 170 °C. The test revealed that the most intense treatments (P170/120, P180/30, and P180/60) had the lowest ΔE overall.
Untreated and TM pine with transparent coatings showed the most change in ΔE following outdoor weathering (Figure 4b). Transparent coating for untreated and TM pine wood did not enhance colour fastness; on the contrary, it made it worse when compared to samples that were not coated. The colour fastness of both hardwood species under investigation was marginally enhanced by the transparent coating. ΔE increased to 17 units after 1 month and to 23 units after 3 months for samples of untreated pine wood (Figure 4b). After a month, TM samples had a much lower ΔE (7–12 units). ΔE reached 11–18 units after 2 months and 13–21 units after 3 months. The P170/60 modified sample had the highest colour stability (lowest ΔE) with transparent coating. This was the only pine sample in which the transparent coating improved colour fastness compared to uncoated material. Specimens modified at regimes P170/120 and P180/60 displayed statistically similar ΔE. The P170/90 and P180/30 TM samples demonstrated the poorest colour fastness after 3 months (ΔE 18–21 units).
The untreated pine wood specimens with brown coating had the lowest ΔE (Figure 4c), which increased marginally over the course of the test from 6 units after 1 month to 11 units after 3 months. Additionally, the samples modified at regimes P170/60 and P170/120 had good colour stability, with a ΔE that increased slightly over the months but remained within 9–10 units. TM samples at 180 °C displayed the test’s weakest colour fastness. This is explained by the fact that samples after TM are somewhat darker at 180 °C and even darker when coated with a brown layer, but they fade more quickly when exposed to UV light.
The best colour fastness was seen in pine samples with a grey coating, similarly to both hardwood species evaluated (Figure 4d). Grey-coated untreated pine wood showed very little ΔE (1–2 units). Over the course of the test, ΔE for TM pine samples P170/60 and P170/90 grew modestly, reaching 2–3 units after 3 months. The colour fastness of samples with grey coating dropped somewhat (ΔE rises) when Tmax and time at Tmax increased.

3.2. Growth of Wood Discolouring Fungi on TM Wood

Wood products are impacted by biotic deterioration from mould and blue stain growth in addition to abiotic weathering from moisture and UV rays in outdoor aboveground settings. The surface appearance of wood can also be harmed by man-made factors, like air pollution. Table 3 below displays the growth rate of discolouring fungi on untreated and TM wood with or without coatings after 3 months of outdoor exposure. After 3 months, all uncoated specimens showed a weak resistance to fungal development, attaining growth marks 3 and 4. Only at 170 °C did the treated aspen wood samples demonstrate medium fungal growth on the surface (growth mark 3). Microscopy images revealed considerable surface bleaching and blue stain formation on both untreated and TM aspen (Figure 5B,G). A. pullulans, a blue stain fungus, was detected in the samples. Mould development on the surface was not identified in any of the samples. None of the TM regimes protected the surface of birch wood from blue stain (growth mark 4). Following the test, the samples’ surfaces had faded grey and became overrun with blue stain. TM samples also cracked more during testing than untreated wood (Figure 6B,G). In the test, both untreated and uncoated TM pine had poor fungal resistance. Only the samples modified at 180 °C exhibited medium surface growth with blue stain (growth mark 3). In the test, both untreated and TM specimens showed extensive cracks that microorganisms could easily grow in (Figure 7B,G).
Following TM in steam under pressure at Tmax 150–160 °C and time at Tmax 10 or 50 min, two plywood products were produced. Tests of the products’ resistance to discolouring fungi were conducted both indoors and outdoors. The outdoor test revealed a good correlation between the fungal growth findings for the two TM plywood products. This suggests that determining the material’s sensitivity to discolouring fungi may be more achievable outside than in the laboratory. In lab circumstances, only mould fungi grew on TM plywood, but in outdoor tests, only the blue stain fungus A. pullulans was found [22].
The surface of untreated wood with a transparent coating was inadequately protected under outdoor conditions. After 3 months of exposure of all tested wood species, surface growth with blue stain had attained growth mark 3. Growth marks of 0 or 1 are acceptable ratings for commercial assets. Untreated wood with a transparent coating preserved its natural colouration, but the microscope revealed the formation of concentrated or scattered blue stain colonies across the whole surface of the samples. Surface cracking was less noticeable than in uncoated samples (Figure 5C, Figure 6C and Figure 7C). For TM aspen wood, transparent coating satisfactorily protected (growth mark 1) the surface from overgrowth with blue stain for TM regimes with the longest time at Tmax (A160/180 and A170/60). The other regimes received growth mark 2, with fissures and individual blue stain colonies visible on their surfaces (Figure 5H). Surprisingly, birch samples modified at 170 °C showed lower resistance (growth mark 2) against blue stain, despite the transparent coating providing sufficient protection for the surface against growth for all regimes at Tmax 160 °C (growth mark 1). There were apparent surface cracks and evidence of blue stain growth in the samples (Figure 6H). At Tmax 180 °C, the transparent coating offered TM pine wood satisfactory surface protection against blue stain overgrowth; nevertheless, at 170 °C, growth mark 2 was present in all regimes. The samples’ surfaces developed large cracks where blue stain growth was visible (Figure 7H).
Brown-coated untreated wood was not adequately protected during weathering. After 3 months of exposure, surface growth with blue stain attained growth mark 2 for all wood species under study. Small, dispersed blue stain colonies were seen growing on the samples over their entire surfaces. The size of surface fractures was comparable to that of clear-coated samples that had not been treated (Figure 5D, Figure 6D and Figure 7D). For TM aspen wood, brown coating offered acceptable surface resistance (growth mark 1) against blue stain for TM regimes A160/60, A160/180, and A170/30, but there was no link with TM parameter intensity. Small cracks and individual tiny blue stain colonies were visible on the samples’ surfaces (Figure 5I). For TM regimes B160/120 and B170/60, TM birch wood with a brown coating demonstrated acceptable surface resistance (growth mark 1) against blue stain overgrowth. Samples modified at regimes B160/180 and B170/30 displayed excellent durability (growth mark 0). Only the samples treated in the mildest TM regime B160/60 demonstrated insufficient fungal resistance in brown-coated samples. There was no link detected with the intensity of TM parameters. Many small cracks were apparent on the surfaces of the samples, revealing individual blue stain points (Figure 6I). At Tmax 170 °C and P180/60, TM pine wood with a brown coating exhibited acceptable surface resistance (growth mark 1) to fungal growth. The modified samples with a brown coating demonstrated excellent resistance (growth mark 0) to biological growth in the regime P180/30. Likewise, neither hardwood species showed any association with the intensity of TM characteristics. The samples’ surfaces developed large cracks where individual blue stain points were visible (Figure 7I).
Additionally, grey-coated untreated wood was not adequately protected from weathering. After 3 months of exposure, surface growth with discolouring fungi attained growth mark 2 for all wood species under study. Small, dispersed blue stain colonies were seen growing over the entirety of the samples’ surfaces. The other two coatings under study showed comparable surface cracking (Figure 5E, Figure 6E and Figure 7E). For TM aspen wood, the grey coating gave good surface resistance (growth mark 1) against blue stain only for regime A160/180, while the others showed growth mark 2. The surfaces of the samples exhibited much more cracking than with other coatings, and blue stain growth could be seen (Figure 5J). Every treatment regime guaranteed TM birch wood’s satisfactory surface resistance to blue stain (growth mark 1). Following the test, a considerable number of cracks with separate blue stain points were visible on the samples’ surfaces (Figure 6J). For the milder treatments P170/60 and P170/90, grey-coated TM pine exhibited an acceptable level of fungal resistance, but the other treatments demonstrated superior resistance to fungal development. The samples’ surfaces were covered with numerous medium-sized cracks, and in some of them, individual blue stain points were visible (Figure 7J).

4. Discussion

Colour is often used as an indicator of treatment intensity for TM wood. Scots pine (Pinus sylvestris L.) sapwood was thermally modified in superheated steam for 4 h at Tmax 130, 160, 190, and 220 °C. It was found that the total colour difference ΔE and the difference in lightness ΔL and the chromatic coordinates Δa were linear functions of the modification temperature. Authors found correlations between mass loss, modulus of elasticity in the radial direction, longitudinal tensile strength, and total colour and lightness difference. The change in overall colour difference (ΔE) is mostly caused by the coordinate of the difference in lightness (ΔL), whose value varies twice. This shows up as a darker wood colour and coordinate Δa, whose value shifts by around 60%, making the red in wood more visible [23]. Our investigation further verified that during outdoor weathering, variations in the lightness parameter have the greatest impact on ΔE. Both the formation of blue stain and the effects of UV light caused the samples’ colour to fade.
Poplar (Populus nigra L.) was treated in a nitrogen environment at temperatures ranging from 160 to 220 °C for 2 to 8 h. Higher Tmax led to more colour variations in poplar’s ΔE. The largest ΔE (40 units) was obtained following modification at 220 °C for 8 h [24]. Our research also indicated that raising the TM intensity causes the wood to turn a darker brown. Untreated silver fir (Abies alba), European beech (Fagus sylvatica L.), and linden (Tilia cordata) wood ΔE after exposure to outdoor conditions for 12 months reached 31, 38, and 53 units, respectively. After TM at 170–180 °C and 210–220 °C for 3–4 h, the ΔE for all species was limited to 17–19 and 6–9 units, respectively [17]. This is consistent with our observations, which indicated that uncoated TM wood fades in outdoor conditions, yet ΔE is lower than in untreated wood. Colour changes can also be influenced by environmental factors. The alterations in the chromaticity index a* are larger when heat treatment is performed in oxygen than in nitrogen due to oxidation. Oxygen produces a higher overall colour difference (ΔE) due to condensation and oxidation [25]. These findings highlight the negative effects of oxygen and the benefits of an inert environment during the TM process.
Overall, untreated wood with all coating treatments had smaller and less frequent cracks than TM wood samples. This is due to the material cracking throughout the modification process, and weathering simply speeds up the production of cracks. Outdoor exposure also resulted in considerable surface cracks in the TM linden (Tilia cordata) and beech (Fagus sylvatica L.) wood. After a year of exposure, a grey surface had developed on all TM specimens. Blue staining did not significantly alter the brightness of TM wood, which is already darker than untreated wood. At the highest Tmax of 210 °C, weathering caused the TM specimens to lighten. The primary causes of this phenomena were the surface lignin breakdown and quinone leaching following UV irradiation [17]. Our studies further revealed that UV exposure causes the colour of TM wood to change more, whereas the intense development of blue stain on the surface changes the colour of untreated material significantly as well.
Pine (Pinus pinaster), ash (Fraxinus excelsior), and acacia (Acacia melanoxylon) were thermally modified using the Thermowood process at Tmax between 210 and 215 °C. Wood specimens were exposed to weathering in urban and maritime/industrial environments for 24 months. TM wood had lower colour changes after weathering, but did not show improved weathering resistance in both environments. All untreated and TM specimens even after 9 months of exposure obtained a grey colour, indicating serious surface discolouration. Surface erosion resulted in cracks, which were more visible in TM wood due to structural damage caused by the treatment [26]. Weathering stability of European spruce (Picea abies) earlywood and latewood and beech (Fagus sylvatica) wood were investigated after TM in nitrogen at 175 °C for 2 h and 185 °C for 3 h at 10 bar pressure. The erosion depth of the surfaces of the unfinished samples was measured microscopically. TM spruce latewood and beech wood average erosion was limited by 5%–56% compared to untreated control. For spruce earlywood, only treatment at 185 °C for 3 h ensured smaller erosion depth in the material [27]. Sunlight exposure was a primary cause of spruce wood discolouration. Under simulated rainless conditions, spruce wood eventually turned dark brown. Rain-induced discolouration differed qualitatively from dry mode [28]. These experiments revealed that while wood gains weathering resilience following TM, its colour diminishes with time, necessitating protection from outside factors.
In actual outdoor settings, wood protection treatments designed for untreated wood may not always work as intended. Linseed oil-based products are widely available and used to protect wood. The wood structure absorbs pigmented substances well, and they can be applied in many layers to create compositions that keep the wood’s original texture without forming thick film-like coatings. The use of coloured coatings in white, black, brown, or grey to protect TM wood is common in practical applications [2,3]. White or grey opaque film-type coatings are typically found to provide better surface protection since they deteriorate less when exposed to UV light. The rich brown ornamental colouring and wood texture, which provide the user with an association with a natural, premium material, must be preserved in TM wood. From an aesthetic perspective, if the coating is opaque, it makes little difference if regular wood or modified material is utilised. Brown pigment coatings are the most appropriate for TM wood in terms of colour compatibility. Their drawback, though, is fading brought on by UV exposure. Our study confirms that applying a brown coating to TM wood results in an even darker shade that fades more quickly when exposed to UV light than untreated wood with the same coating. Greyscale coatings are the most appropriate from a fading perspective.
The non-pigment chemical we tested was ineffective, since it did not appreciably protect untreated or TM wood against fading. Teak (Tectona grandis L.f.) was heated in an oven at 220 °C for 20 h under nitrogen atmosphere and coated with non-pigment polyurethane water-based and alkyd solvent-based coatings. A similar problem was observed, as after 8 weeks of outdoor exposure, the specimens became darker, and cracks appeared. Dark stains and white defects were discovered, indicating a loss of coating adhesion and extractive movement [29]. Oil-based coatings do not usually deliver the promised UV resilience for TM wood. Ash (Fraxinus excelsior L.), beech (Fagus sylvatica L.), oak (Quercus robur L.), poplar (Populus nigra L.), and pine (Pinus sylvestris L.) were thermally modified in a nitrogen environment at 190 °C for 6 h. Untreated and modified wood were varnished or oiled and photoaged in laboratory conditions. Surface colour changes as a result of UV photoaging showed individual differences. Wood with varnish coatings proved significantly more resistant to colour change than oiled wood [30].
TM showed wood improved colour fastness and protection against blue stain, although only some of the TM regimes investigated achieved acceptable efficiency. Coatings including brown and grey pigments were likewise ineffective at protecting untreated wood from blue stain but demonstrated better performance on TM wood. This cannot be explained only by the construction of a physical barrier on the surface, because the surfaces cracked during the test, allowing moisture to enter the sample and produce an environment conducive to the growth of blue stain. The efficiency of pigmented coatings is most likely determined by a complicated mechanism that combines UV protection and a physical barrier that prevents microbial growth and development. Given that these are commercial linseed oil-based coatings, it is possible that the producer has added extra components to the coloured protection agents that are not specified on the label but may change their qualities.
Linseed oil-based coatings can be used to protect TM wood since they are easy to apply in multiple layers and dry rapidly without generating a film-type coating like paint. However, without pigment, they are ineffective on both untreated and TM wood. This was our first investigation into how commercial coatings performed on TM wood in a pressurised nitrogen environment. The findings indicate that the coatings are not flawless, and there is potential for improvement in future study into designing and evaluating self-made coating compositions.

5. Conclusions

Following outdoor weathering, all untreated and TM wood species without coatings showed the biggest decreases in ΔE. After 3 months, all uncoated specimens showed a weak resistance to fungal development, attaining growth marks 3 and 4. Microscopy images revealed considerable surface bleaching and blue stain formation on both untreated and TM wood.
Transparent coating was slightly effective only for untreated birch wood, while other species demonstrated ΔE values similar to those of uncoated specimens. The colour stability of untreated birch wood considerably increased, whereas TM samples showed no change. For untreated and TM pine wood, transparent coating did not enhance colour fastness. Untreated wood was inadequately protected with transparent coating under outdoor conditions. All tested wood species attained growth mark 3 with blue stain. The fungal resistance was improved only for a few TM regimes.
Overall, brown-coated specimens demonstrated improved colour stability compared to those with transparent coating. Untreated wood was not adequately protected during weathering, as surface growth with blue stain attained growth mark 2. For TM aspen wood, brown coating offered acceptable surface resistance (growth mark 1) against blue stain only for three tested regimes. TM birch wood demonstrated sufficient or excellent resistance against blue stain. Many small cracks were apparent on the surfaces of the samples, revealing individual blue stain points. All TM pine wood specimens had acceptable or excellent resistance against discolouring fungi. The samples’ surfaces developed large cracks where individual blue stain points were visible.
It was verified that all samples with a grey coating had the least amount of colour change, with no discernible change over the course of the test. Untreated wood was not adequately protected during weathering, and surface growth with discolouring fungi attained growth mark 2. For TM aspen wood, the grey coating gave good surface resistance (growth mark 1) against blue stain only for one regime. Every treatment regime guaranteed TM birch wood’s satisfactory surface resistance to blue stain. For the milder treatments, grey-coated TM pine exhibited an acceptable level of fungal resistance, but the other treatments demonstrated superior resistance to surface development.

Author Contributions

Conceptualization, J.G., G.S. and I.I.; methodology, J.G. and I.I.; formal analysis, I.I. and J.Z.; investigation, J.G., G.S. and I.I.; resources, J.G. and I.I.; data curation, G.S.; writing—original draft preparation, J.G. and G.S.; writing—review and editing, I.I. and J.Z.; visualization, J.G. and G.S.; supervision, J.G. and J.Z.; project administration, J.G.; funding acquisition, J.G. All authors have read and agreed to the published version of the manuscript.

Funding

This research was funded by Latvian Council of Science State Research Program: “Innovation in Forest Management and Value Chain for Latvia’s Growth: New Forest Services, Products and Technologies” (Forest4LV), project No VPP-ZM-VRIIILA-2024/2-0002, and Latvian State Institute of Wood Chemistry Bio-economy Grant: “Thermal modification of wood in a nitrogen environment under pressure”, project No 08-24.

Data Availability Statement

The original contributions presented in this study are included in the article material. Further inquiries can be directed to the corresponding author.

Conflicts of Interest

The authors declare no conflicts of interest.

References

  1. Altgen, M.; Adamopoulos, S.; Militz, H. Wood Defects during Industrial-Scale Production of Thermally Modified Norway Spruce and Scots Pine. Wood Mater. Sci. Eng. 2015, 12, 14–23. [Google Scholar] [CrossRef]
  2. Jirouš-Rajković, V.; Miklečić, J. Heat-Treated Wood as a Substrate for Coatings, Weathering of Heat-Treated Wood, and Coating Performance on Heat-Treated Wood. Adv. Mater. Sci. Eng. 2019, 2019, 1–9. [Google Scholar] [CrossRef]
  3. Jirouš-Rajković, V.; Miklečić, J. Enhancing Weathering Resistance of Wood—A Review. Polymers 2021, 13, 1980. [Google Scholar] [CrossRef] [PubMed]
  4. Godinho, D.; Araújo, S.D.O.; Quilhó, T.; Diamantino, T.; Gominho, J. Thermally Modified Wood Exposed to Different Weathering Conditions: A Review. Forests 2021, 12, 1400. [Google Scholar] [CrossRef]
  5. Sosins, G.; Grinins, J.; Brazdausks, P.; Zicans, J. Water-Related Properties of Wood after Thermal Modification in Closed Process under Pressure in Nitrogen. Forests 2024, 15, 140. [Google Scholar] [CrossRef]
  6. Grinins, J.; Sosins, G.; Brazdausks, P.; Zicans, J. Chemical Composition and Mechanical Properties of Wood after Thermal Modification in Closed Process under Pressure in Nitrogen. Materials 2024, 17, 1468. [Google Scholar] [CrossRef] [PubMed]
  7. Xie, Y.; Krause, A.; Militz, H.; Mai, C. Coating Performance of Finishes on Wood Modified with an N-Methylol Compound. Prog. Org. Coat. 2006, 57, 291–300. [Google Scholar] [CrossRef]
  8. Williams, R.S. Effect of Grafted UV Stabilizers on Wood Surface Erosion and Clear Coating Performance. J. Appl. Polym. Sci. 1983, 28, 2093–2103. [Google Scholar] [CrossRef]
  9. Ahmed, S.A.; Morén, T.; Sehlstedt-Persson, M.; Blom, Å. Effect of Oil Impregnation on Water Repellency, Dimensional Stability and Mold Susceptibility of Thermally Modified European Aspen and Downy Birch Wood. J. Wood Sci. 2017, 63, 74–82. [Google Scholar] [CrossRef]
  10. Ahmed, S.A.; Sehlstedt-Persson, M.; Hansson, L.; Morén, T. Evaluation of Preservative Distribution in Thermally Modified European Aspen and Birch Boards Using Computed Tomography and Scanning Electron Microscopy. J. Wood Sci. 2013, 59, 57–66. [Google Scholar] [CrossRef]
  11. Li, X.; Wang, D.; Zhao, L.; Hou, X.; Liu, L.; Feng, B.; Li, M.; Zheng, P.; Zhao, X.; Wei, S. UV LED Curable Epoxy Soybean-Oil-Based Waterborne PUA Resin for Wood Coatings. Prog. Org. Coat. 2021, 151, 105942. [Google Scholar] [CrossRef]
  12. Wang, T.; Wang, J.; He, X.; Cao, Z.; Xu, D.; Gao, F.; Zhong, J.; Shen, L. An Ambient Curable Coating Material Based on the Michael Addition Reaction of Acetoacetylated Castor Oil and Multifunctional Acrylate. Coatings 2019, 9, 37. [Google Scholar] [CrossRef]
  13. Poohphajai, F.; Gubenšek, A.; Černoša, A.; Butina Ogorelec, K.; Rautkari, L.; Sandak, J.; Sandak, A. Bioinspired Living Coating System for Wood Protection: Exploring Fungal Species on Wood Surfaces Coated with Biofinish during Its Service Life. Coatings 2024, 14, 430. [Google Scholar] [CrossRef]
  14. Dudiak, M.; Kminiak, R.; Banski, A.; Chuchala, D. The Effect of Steaming Beech, Birch and Maple Woods on Qualitative Indicators of the Surface. Coatings 2024, 14, 117. [Google Scholar] [CrossRef]
  15. Gaff, M.; Kubovský, I.; Sikora, A.; Kačíková, D.; Li, H.; Kubovský, M.; Kačík, F. Impact of Thermal Modification on Color and Chemical Changes of African Padauk, Merbau, Mahogany, and Iroko Wood Species. Rev. Adv. Mater. Sci. 2023, 62, 20220277. [Google Scholar] [CrossRef]
  16. Kačík, F.; Kubovský, I.; Bouček, J.; Hrčka, R.; Gaff, M.; Kačíková, D. Colour and Chemical Changes of Black Locust Wood during Heat Treatment. Forests 2022, 14, 73. [Google Scholar] [CrossRef]
  17. Dong, H.; Hasanagić, R.; Fathi, L.; Bahmani, M.; Kržišnik, D.; Keržič, E.; Humar, M. Selected Mechanical and Physical Properties of Thermally Modified Wood after Field Exposure Tests. Forests 2023, 14, 1006. [Google Scholar] [CrossRef]
  18. ISO 13061-1; Physical and Mechanical Properties of Wood—Test Methods for Small Clear Wood Specimens—Part 1: Determination of Moisture Content for Physical and Mechanical Tests. International Organization for Standardization: Geneva, Switzerland, 2014.
  19. ISO 13061-2; Physical and Mechanical Properties of Wood—Test Methods for Small Clear Wood Specimens—Part 2: Determination of Density for Physical and Mechanical Tests. International Organization for Standardization: Geneva, Switzerland, 2014.
  20. Sosins, G.; Grinins, J.; Brazdausks, P.; Zicans, J. Aspen Wood Characteristics Following Thermal Modification in Closed Process Under Pressure in Nitrogen. Materials 2024, 17, 5930. [Google Scholar] [CrossRef]
  21. DIN EN 152-1:2011; Test Methods for Wood Preservatives; Laboratory Method for Determining the Protective Effectiveness of a Preservative Treatment against Blue Stain in Service; Part 1: Brushing Procedure. European Committee for Standardization (CEN): Brussels, Belgium, 2011.
  22. Irbe, I.; Grinins, J.; Andersone, I.; Andersons, B. Susceptibility of Thermo-Hydro-Treated Birch Plywood to Mould and Blue Stain Fungi. Wood Mater. Sci. Eng. 2018, 13, 296–304. [Google Scholar] [CrossRef]
  23. Piernik, M.; Woźniak, M.; Pinkowski, G.; Szentner, K.; Ratajczak, I.; Krauss, A. Color as an Indicator of Properties in Thermally Modified Scots Pine Sapwood. Materials 2022, 15, 5776. [Google Scholar] [CrossRef] [PubMed]
  24. Bytner, O.; Drożdżek, M.; Laskowska, A.; Zawadzki, J. Temperature, Time, and Interactions between Them in Relation to Colour Parameters of Black Poplar (Populus nigra L.) Thermally Modified in Nitrogen Atmosphere. Materials 2022, 15, 824. [Google Scholar] [CrossRef] [PubMed]
  25. Chen, Y.; Fan, Y.; Gao, J.; Stark, N.M. The Effect of Heat Treatment on the Chemical and Color Change of Black Locust (Robinia Pseudoacacia) Wood Flour. BioResources 2012, 7, 1157–1170. [Google Scholar] [CrossRef]
  26. Godinho, D.; Ferreira, C.; Lourenço, A.; De Oliveira Araújo, S.; Quilhó, T.; Diamantino, T.C.; Gominho, J. The Behavior of Thermally Modified Wood after Exposure in Maritime/Industrial and Urban Environments. Heliyon 2024, 10, e25020. [Google Scholar] [CrossRef]
  27. Feist, W.C.; Sell, J. Weathering Behavior of Dimensionally Stabilized Wood Treated by Heating under Pressure of Nitrogen Gas. Wood Fiber Sci. 1987, 19, 183–195. [Google Scholar]
  28. Kúdela, J.; Ihracký, P.; Kačík, F. Discoloration and Surface Changes in Spruce Wood after Accelerated Aging. Polymers 2024, 16, 1191. [Google Scholar] [CrossRef] [PubMed]
  29. Pratiwi, L.A.; Darmawan, W.; Priadi, T.; George, B.; Merlin, A.; Gérardin, C.; Dumarçay, S.; Gérardin, P. Characterization of Thermally Modified Short and Long Rotation Teaks and the Effects on Coatings Performance. Maderas Cienc. Tecnol. 2019, 21, 209–222. [Google Scholar] [CrossRef]
  30. Kozakiewicz, P.; Laskowska, A.; Drożdżek, M.; Zawadzki, J. Influence of Thermal Modification in Nitrogen Atmosphere on Physical and Technological Properties of European Wood Species with Different Structural Features. Coatings 2022, 12, 1663. [Google Scholar] [CrossRef]
Figure 1. Principle of untreated and TM aspen, birch, and pine wood specimen preparation for outdoor weathering conditions.
Figure 1. Principle of untreated and TM aspen, birch, and pine wood specimen preparation for outdoor weathering conditions.
Forests 16 00132 g001
Figure 2. Colour difference parameter ΔE of untreated (UNT) and TM aspen wood after exposure to outdoor conditions for 1, 2, and 3 months: (a) uncoated specimens; (b) specimens coated with transparent coating; (c) specimens coated with brown coating; (d) specimens coated with grey coating. (Letters a–d show the statistical difference between TM regimes after 3 months.)
Figure 2. Colour difference parameter ΔE of untreated (UNT) and TM aspen wood after exposure to outdoor conditions for 1, 2, and 3 months: (a) uncoated specimens; (b) specimens coated with transparent coating; (c) specimens coated with brown coating; (d) specimens coated with grey coating. (Letters a–d show the statistical difference between TM regimes after 3 months.)
Forests 16 00132 g002
Figure 3. Colour difference parameter ΔE of untreated (UNT) and TM birch wood after exposure to outdoor conditions for 1, 2, and 3 months: (a) uncoated specimens; (b) specimens coated with transparent coating; (c) specimens coated with brown coating; (d) specimens coated with grey coating. (Letters a–d show the statistical difference between TM regimes after 3 months.)
Figure 3. Colour difference parameter ΔE of untreated (UNT) and TM birch wood after exposure to outdoor conditions for 1, 2, and 3 months: (a) uncoated specimens; (b) specimens coated with transparent coating; (c) specimens coated with brown coating; (d) specimens coated with grey coating. (Letters a–d show the statistical difference between TM regimes after 3 months.)
Forests 16 00132 g003aForests 16 00132 g003b
Figure 4. Colour difference parameter ΔE of untreated (UNT) and TM pine wood after exposure to outdoor conditions for 1, 2, and 3 months: (a) uncoated specimens; (b) specimens coated with transparent coating; (c) specimens coated with brown coating; (d) specimens coated with grey coating. (Letters a–c show the statistical difference between TM regimes after 3 months.)
Figure 4. Colour difference parameter ΔE of untreated (UNT) and TM pine wood after exposure to outdoor conditions for 1, 2, and 3 months: (a) uncoated specimens; (b) specimens coated with transparent coating; (c) specimens coated with brown coating; (d) specimens coated with grey coating. (Letters a–c show the statistical difference between TM regimes after 3 months.)
Forests 16 00132 g004
Figure 5. Microscopy pictures of untreated and TM European aspen wood before and after exposure to outdoor conditions for 3 months, scale bar 500 µm: (A) untreated wood without coating before test; (B) untreated wood without coating after test; (C) untreated wood with transparent coating after test; (D) untreated wood with brown coating after test; (E) untreated wood with grey coating after test; (F) TM wood without coating before test; (G) TM wood without coating after test; (H) TM wood with transparent coating after test; (I) TM wood with brown coating after test; (J) TM wood with grey coating after test.
Figure 5. Microscopy pictures of untreated and TM European aspen wood before and after exposure to outdoor conditions for 3 months, scale bar 500 µm: (A) untreated wood without coating before test; (B) untreated wood without coating after test; (C) untreated wood with transparent coating after test; (D) untreated wood with brown coating after test; (E) untreated wood with grey coating after test; (F) TM wood without coating before test; (G) TM wood without coating after test; (H) TM wood with transparent coating after test; (I) TM wood with brown coating after test; (J) TM wood with grey coating after test.
Forests 16 00132 g005
Figure 6. Microscopy pictures of untreated and TM silver birch wood before and after exposure to outdoor conditions for 3 months, scale bar 500 µm: (A) untreated wood without coating before test; (B) untreated wood without coating after test; (C) untreated wood with transparent coating after test; (D) untreated wood with brown coating after test; (E) untreated wood with grey coating after test; (F) TM wood without coating before test; (G) TM wood without coating after test; (H) TM wood with transparent coating after test; (I) TM wood with brown coating after test; (J) TM wood with grey coating after test.
Figure 6. Microscopy pictures of untreated and TM silver birch wood before and after exposure to outdoor conditions for 3 months, scale bar 500 µm: (A) untreated wood without coating before test; (B) untreated wood without coating after test; (C) untreated wood with transparent coating after test; (D) untreated wood with brown coating after test; (E) untreated wood with grey coating after test; (F) TM wood without coating before test; (G) TM wood without coating after test; (H) TM wood with transparent coating after test; (I) TM wood with brown coating after test; (J) TM wood with grey coating after test.
Forests 16 00132 g006
Figure 7. Microscopy pictures of untreated and TM Scots pine wood before and after exposure to outdoor conditions for 3 months, scale bar 500 µm: (A) untreated wood without coating before test; (B) untreated wood without coating after test; (C) untreated wood with transparent coating after test; (D) untreated wood with brown coating after test; (E) untreated wood with grey coating after test; (F) TM wood without coating before test; (G) TM wood without coating after test; (H) TM wood with transparent coating after test; (I) TM wood with brown coating after test; (J) TM wood with grey coating after test.
Figure 7. Microscopy pictures of untreated and TM Scots pine wood before and after exposure to outdoor conditions for 3 months, scale bar 500 µm: (A) untreated wood without coating before test; (B) untreated wood without coating after test; (C) untreated wood with transparent coating after test; (D) untreated wood with brown coating after test; (E) untreated wood with grey coating after test; (F) TM wood without coating before test; (G) TM wood without coating after test; (H) TM wood with transparent coating after test; (I) TM wood with brown coating after test; (J) TM wood with grey coating after test.
Forests 16 00132 g007
Table 1. Thermal modification parameters for tested wood species.
Table 1. Thermal modification parameters for tested wood species.
WoodTreatment RegimeTmax (°C)Time at Tmax (min)Initial Pressure (bar)Max Pressure (bar)
AspenA160/6016060411.0
A160/120160120411.7
A160/180160180411.9
A170/3017030413.7
A170/6017060415.0
BirchB160/6016060411.8
B160/120160120412.6
B160/180160180413.7
B170/3017030413.0
B170/6017060413.2
PineP170/6017060615.4
P170/9017090615.8
P170/120170120616.2
P180/3018030516.4
P180/6018060516.8
Table 2. Weather data for the outdoor, aboveground weathering test site for the 3-month test period, obtained from ©weatheronline.co.uk.
Table 2. Weather data for the outdoor, aboveground weathering test site for the 3-month test period, obtained from ©weatheronline.co.uk.
MonthTotal Rainfall (mm)Min–Max Temperature Range (°C)Relative Humidity Range (%)UV Index Range
June 20244910–3250–904–6
July 202415313–2955–905–6
August 20244112–3160–904–5
Till 4 September 202407–2960–853–4
Table 3. Mould and blue stain growth marks on TM aspen, birch, and pine wood after 3 months in outdoor, above ground conditions tested according to EN 152:2011 [21].
Table 3. Mould and blue stain growth marks on TM aspen, birch, and pine wood after 3 months in outdoor, above ground conditions tested according to EN 152:2011 [21].
WoodTreatment RegimeUncoatedTransparent CoatingBrown CoatingGrey Coating
AspenUntreated4322
A160/604212
A160/1204222
A160/1804111
A170/303212
A170/603122
BirchUntreated4322
B160/604121
B160/1204111
B160/1804101
B170/304201
B170/604211
PineUntreated4322
P170/604211
P170/904211
P170/1204210
P180/303100
P180/603110
Disclaimer/Publisher’s Note: The statements, opinions and data contained in all publications are solely those of the individual author(s) and contributor(s) and not of MDPI and/or the editor(s). MDPI and/or the editor(s) disclaim responsibility for any injury to people or property resulting from any ideas, methods, instructions or products referred to in the content.

Share and Cite

MDPI and ACS Style

Grinins, J.; Sosins, G.; Irbe, I.; Zicans, J. Weathering Resistance of Wood Following Thermal Modification in Closed Process Under Pressure in Nitrogen. Forests 2025, 16, 132. https://doi.org/10.3390/f16010132

AMA Style

Grinins J, Sosins G, Irbe I, Zicans J. Weathering Resistance of Wood Following Thermal Modification in Closed Process Under Pressure in Nitrogen. Forests. 2025; 16(1):132. https://doi.org/10.3390/f16010132

Chicago/Turabian Style

Grinins, Juris, Guntis Sosins, Ilze Irbe, and Janis Zicans. 2025. "Weathering Resistance of Wood Following Thermal Modification in Closed Process Under Pressure in Nitrogen" Forests 16, no. 1: 132. https://doi.org/10.3390/f16010132

APA Style

Grinins, J., Sosins, G., Irbe, I., & Zicans, J. (2025). Weathering Resistance of Wood Following Thermal Modification in Closed Process Under Pressure in Nitrogen. Forests, 16(1), 132. https://doi.org/10.3390/f16010132

Note that from the first issue of 2016, this journal uses article numbers instead of page numbers. See further details here.

Article Metrics

Back to TopTop