Effects of Forest Swamp Succession and Soil Depth on Distribution Pattern of Soil Nematode Communities
Abstract
1. Introduction
2. Materials and Methods
2.1. Study Site and Soil Sampling
2.2. Extraction, Isolation, and Identification of Soil Nematodes
2.3. Determination of Soil Physicochemical and Active Organic Carbon and Nitrogen Components
2.4. Analysis of Nematode Community Structure and Diversity
2.4.1. Diversity Index
- (1)
- Shannon–Wiener (H′): H′ = −ΣPi (lnPi).
- (2)
- Simpson (λ): λ = ΣPi2.
- (3)
- Pielou (J): J = H′/lnS.
- (4)
- Margalef (SR)SR: = (S − 1)/lnN.
- (5)
- Trophic diversity (TD): TD = 1/ΣP’i2.
- S—the number of identified taxa;
- Pi—the proportion of the number of individuals of a species in the ith taxon;
- N—the total number of species identified in a sample.
2.4.2. Ecological Function Index
- (6)
- Maturity index of free-living nematodes (MI): MI = Σvifi, reflecting the disruption of the food web.
- vi—values of free-living nematodes;
- fi—the proportion of Fi-I nematodes in total free-living nematodes.
- (7)
- Plant parasitic nematode index (PPI): PPI = Σvif′i.
- f’i—proportion of parasitic nematodes of the same genus in a community.
- (8)
- Nematode pathway ratio (NCR): NCR = BF/(BF + FF), used to indicate the pathways of soil food web.
- BF—the number of bacteria-eating nematodes;
- FF—the number of fungi-eating nematodes.
- (9)
- Wasilewska Index (WI): WI = (BF + FF)/PP, to evaluate the relative importance of plant and microbial resources in the soil food web.
- PP—number of phytophagous nematodes.
- (10)
- Basic Index (BI): BI = 100 × b/(b + e + s), used to evaluate the disturbance status of soil food webs. The larger the value, the greater the resistance.
- (11)
- Enrichment Index (EI): EI = 100 (e/(e + b)), representing the amount of nutrients input from the external environment.
- (12)
- Structural index (SI): SI = 100 (s/(s + b)), the larger the value, the more complex the soil food web.
- (13)
- The channel index (CI): CI = 100 × (0.8FF2(3.2BF1 + 0.8FF2)) can reflect the decomposition channels of the soil food web. When the value is greater than 50, soil decomposition is mainly dominated by fungal channels, while when the value is less than 50, it is mainly dominated by bacterial decomposition.
2.4.3. Nematode Metabolic Footprint
- (14)
- Nematode metabolic footprint (NMF): NMF = (Nt (0.1 (Wt/mt) + 0.273 (Wt0.75)).
2.4.4. Map of Nematode Fauna
2.5. Statistical Analysis and Data Visualization
3. Results
3.1. Subsection Structural Composition of Soil Nematode Communities Under Different Succession Sequences and Different Depths
3.1.1. Characteristics of Soil Nematode Community Composition Under Different Succession Sequences
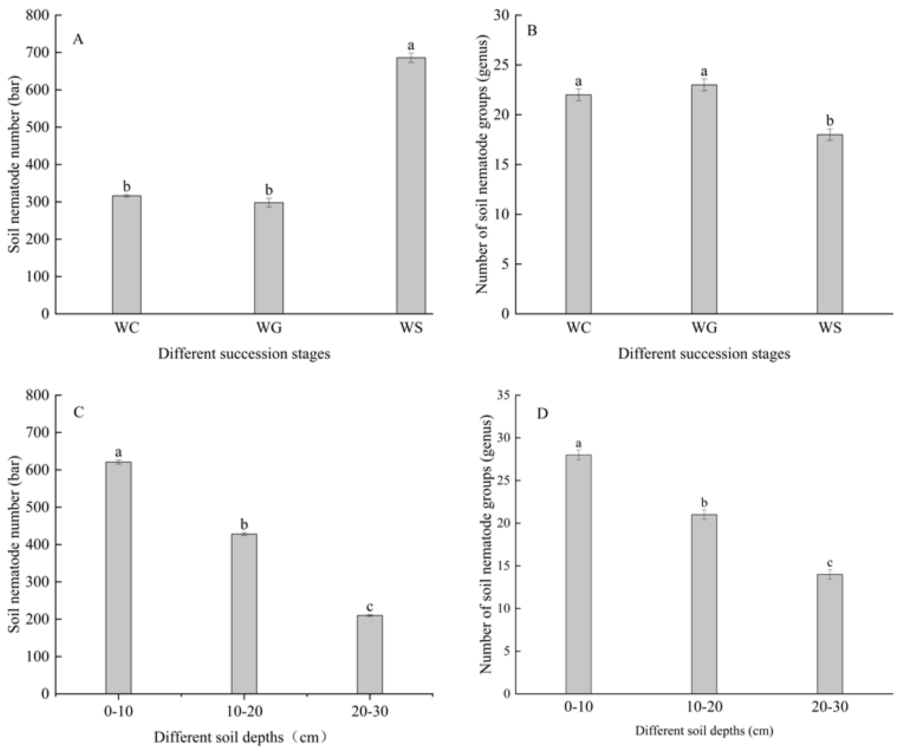
3.1.2. Distribution Characteristics of Soil Nematode Community Quantity and Taxa Under Different Succession Sequences
3.2. Diversity in Soil Nematode Communities at Different Forest Succession Stages and Different Soil Depths
3.2.1. Trophic Groups of Soil Nematode Communities at Different Forest Succession Stages
3.2.2. Ecological Index of Soil Nematode Community at Different Stages of Forest Succession and at Different Soil Depths
3.2.3. Metabolic Footprints of Soil Nematode Communities at Different Forest Succession Stages and Different Soil Depths
3.3. Effects of Forest Succession and Soil Depth on Soil Variables
3.4. Contribution of Soil Variables to Soil Nematode Community Structure and Diversity
3.4.1. Relationship Between Soil Organic Carbon, Its Components and Physicochemical Properties, and Soil Nematode Community
3.4.2. Relationship Between Soil Nematode Community Structure and Diversity and Environmental Factors
4. Discussion
4.1. Response of Soil Nematode Community Structure and Diversity to Forest Succession
4.2. Response of Soil Nematode Community Structure and Diversity to Soil Depth
4.3. Effects of Soil Variables on Soil Nematode Community Structure and Diversity at Different Succession Stages and Different Depths
5. Conclusions
Author Contributions
Funding
Data Availability Statement
Conflicts of Interest
References
- Crouzeilles, R.; Curran, M.; Ferreira, M.S.; Lindenmayer, D.B.; Grelle, C.E.V.; Rey Benayas, J.M. A global meta-analysis on the ecological drivers of forest restoration success. Nat. Commun. 2016, 7, 11666. [Google Scholar] [CrossRef] [PubMed]
- Erbaugh, J.T.; Pradhan, N.; Adams, J.; Oldekop, J.A.; Agrawal, A.; Brockington, D.; Pritchard, R.; Chhatre, A. Global forest restoration and the importance of prioritizing local communities. Nat. Ecol. Evol. 2020, 4, 1472–1476. [Google Scholar] [CrossRef]
- Dodson, E.K.; Peterson, D.W. Dry coniferous forest restoration and understory plant diversity: The importance of community heterogeneity and the scale of observation. For. Ecol. Manag. 2010, 260, 1702–1707. [Google Scholar] [CrossRef]
- Kang, D.; Lv, J.; Li, S.; Chen, X.; Li, J. Integrating indices to evaluate the effect of artificial restoration based on different comparisons in the Wanglang Nature Reserve. Ecol. Indic. 2018, 91, 423–428. [Google Scholar] [CrossRef]
- Miller, A.D.; Dietze, M.C.; DeLucia, E.H.; Anderson-Teixeira, K.J. Alteration of forest succession and carbon cycling under elevated CO2. Global Change Biol. 2016, 22, 351–363. [Google Scholar] [CrossRef]
- Qiang, W.; He, L.; Zhang, Y.; Liu, B.; Liu, Y.; Liu, Q.; Pang, X. Aboveground vegetation and soil pHysicochemical properties jointly drive the shift of soil microbial community during subalpine secondary succession in southwest China. Catena 2021, 202, 105251. [Google Scholar] [CrossRef]
- Liu, J.; Zhao, W.; He, H.; Kou, Y.; Liu, Q. Variations in the community patterns of soil nematodes at different soil depths across successional stages of subalpine forests. Ecol. Indic. 2022, 136, 108624. [Google Scholar] [CrossRef]
- Ranoarisoa, M.P.; Morel, C.; Andriamananjara, A.; Jourdan, C.; Bernard, L.; Becquer, T.; Rabeharisoa, L.; Rahajaharilaza, K.; Plassard, C.; Blanchart, E.; et al. Effects of a bacterivorous nematode on rice 32P uptake and root architecture in a high Psorbing ferrallitic soil. Soil Biol. Biochem. 2018, 122, 39–49. [Google Scholar] [CrossRef]
- Sun, F.; Ou, Q.; Yu, H.; Li, N.A.; Peng, C. The invasive plant Mikania micrantha affects the soil foodweb and plant-soil nutrient contents in orchards. Soil Biol. Biochem. 2019, 139, 107630. [Google Scholar] [CrossRef]
- Xue, H.; Guo, W.; Qu, X.; Luo, D. Study on Soil Nematode Community Structure and Diversity in Hemlock Forest of Gaolongla Mountain. J. Soil Sci. 2021, 58, 246–258. [Google Scholar]
- De Deyn, G.B.; Raaijmakers, C.E.; Van Ruijven, J.; Berendse, F.; Van Der Putten, W.H. Plant species identity and diversity effects on different tropHic levels of nematodes in the soil food web. Oikos 2004, 106, 576–586. [Google Scholar] [CrossRef]
- Viketoft, M.; Bengtsson, J.; Sohlenius, B.; Berg, M.P.; Petchey, O.; Palmborg, C.; HussDanell, K. Long-term effects of plant diversity and composition on soil nematode communities in model grasslands. Ecology 2009, 90, 90–99. [Google Scholar] [CrossRef] [PubMed]
- Pan, F.; Han, X.; LI, N.A.; Yan, J.; Xu, Y. Effect of organic amendment amount on soil nematode community structure and metabolic footprints in soybean pHase of a soybean-maize rotation on Mollisols. PedospHere 2020, 30, 54–554. [Google Scholar] [CrossRef]
- Jiang, Y.; Liu, M.; Zhang, J.; Chen, Y.; Chen, X.; Chen, L.; Li, H.; Zhang, X.-X.; Sun, B.O. Nematode grazing promotes bacterial community dynamics in soil at the aggregate level. ISME J. 2017, 11, 2705–2717. [Google Scholar] [CrossRef]
- Banwart, J.; Berg, M.P.; Dias, A.T.C.; Fontana, S.; Ooms, A.; Moretti, M.; Gimenez, O. Diversity in form function: Vertical distribution of soil fauna mediates multidimensional trait variation. J. Anim. Ecol. 2018, 87, 933–944. [Google Scholar]
- Banwart, S. Save our soils. Nature 2011, 474, 151–152. [Google Scholar] [CrossRef] [PubMed]
- Reith, F.; Zammit, C.M.; Pohrib, R.; Gregg, A.L.; Wakelin, S.A.; Loffler, F.E. Geogenic factors as drivers of microbial community diversity in soils overlying polymetallic deposits. Appl. Environ. Microb. 2015, 81, 7822–7832. [Google Scholar] [CrossRef]
- Man, W. Research on Carbon Storage Estimation of Greater Khingan Mountains Marsh Wetlands Based on Remote Sensing and Measured Data. Ph.D. Thesis, University of the Chinese Academy of Sciences (Northeast Institute of Geography and Agroecology, Chinese Academy of Sciences), Beijing, China, 2018. [Google Scholar]
- Zhong, X. Methods for Isolating Soil Nematodes. Environment. 2012, 1, 147–149. [Google Scholar]
- Shen, H.; Cao, Z.H. Study on soil C pool management index of different farmland ecosystems. Acta Ecol. Sin. 2000, 20, 663–668. [Google Scholar]
- Li, T.K.; Guo, Z.L.; Kou, C.L.; Lv, J.L.; Zhang, X.N.; Yang, X.L. Effects of extraction conditions on the test results of soil dissolved organic carbon. Ecol. Environ. Sci. 2017, 26, 1878–1883. [Google Scholar]
- Wang, Y.; Ruan, H.; Huang, L.; Feng, Y.; Qi, Y. Soil labile organic carbon of different land use types in a reclaimed land area of Taihu Lake. Chin. J. Ecol. 2010, 29, 741–748. [Google Scholar]
- Ferris, H. Form and function: Metabolic footprints of nematodes in the soil food web. Eur. J. Soil Biol. 2010, 46, 97–104. [Google Scholar] [CrossRef]
- Zhang, X.; Jiang, Y.; Zhao, X.; Li, Q. Response of soil nematode communities to long-term application of inorganic fertilizers in the black soil of Northeast China. Front. Biol. China 2009, 4, 111–116. [Google Scholar] [CrossRef]
- Chen, Y.; Yang, W.; Wu, F.; Yang, F.; Lan, L.; Liu, Y.; Guo, C.; Tan, B. Soil nematode diversity in subalpine/alpine forests in western Sichuan. Chin. J. Appl. Ecol. 2017, 28, 3360–3368. [Google Scholar]
- Wang, M. Effects of Different Typical Artificial Herbage on Soil Nematode Community and Soil Microorganisms in High Cold Region. Ph.D. Thesis, University of Chinese Academy of Sciences (Research Center for Soil and Water Conservation and Ecological Environment, Ministry of Education, Chinese Academy of Sciences), Beijing, China, 2021. [Google Scholar]
- Sapijanskas, J.; Paquette, A.; Potvin, C.; Kunert, N.; Loreau, M. Tropical tree diversity enhances light capture through crown plasticity and spatial and temporal niche differences. Ecology 2014, 95, 2479–2492. [Google Scholar] [CrossRef]
- Li, Y.; Zhou, X.; Zhang, N.; Ma, K. Research progress on decomposition of mixed litter in terrestrial ecosystems. Acta Ecol. Sin. 2016, 36, 4977–4987. [Google Scholar]
- Zhang, C.; Wright, I.J.; Nielsen, U.N.; Geisen, S.; Liu, M. Linking nematodes and ecosystem function: A trait-based framework. Trends Ecol. Evol. 2024, 39, 644–653. [Google Scholar] [CrossRef]
- Scharlemann, J.P.; Tanner, E.V.; Hiederer, R.; Kapos, V. Global soil carbon: Understanding and managing the largest terrestrial carbon pool. Carbon Manag. 2014, 5, 81–91. [Google Scholar] [CrossRef]
- Mitsch, W.J.; Bernal, B.; Nahlik, A.M.; Mander, Ü.; Zhang, L.; Anderson, C.J.; Jørgensen, S.E.; Brix, H. Wetlands, carbon, and climate change. Landsc. Ecol. 2013, 28, 583–597. [Google Scholar] [CrossRef]
- Liu, T.; Guo, R.; Ran, W.; Whalen, J.K.; Li, H. Body size is a sensitive trait-based indicator of soil nematode community response to fertilization in rice and wheat agroecosystems. Soil Biol. Biochem. 2015, 88, 88275–88281. [Google Scholar] [CrossRef]
- Zhang, Y. Study on Soil Nematode Community Structure and Diversity of Natural Forests at Different Altitudes in Cold Temperate Zone. Ph.D. Thesis, Northeast Forestry University, Harbin, China, 2021. [Google Scholar]
- Ma, J.; Wei, X.; Liu, S.; Wu, P. Changes in the soil nematode community among climate zones do not keep pace with changes in plant communities. Catena 2022, 215, 106319. [Google Scholar] [CrossRef]
- Davis, C.A.; Austin, J.E.; Buhl, D.A. Factors influencing soil invertebrate communities in riparian grasslands of the central platte river flood plain. Wetlands 2006, 26, 438–454. [Google Scholar] [CrossRef]
- Bongers, T. The maturity index: An ecological measure of environmental disturbance based on nematode species composition. Oecologia 1990, 83, 14–19. [Google Scholar] [CrossRef] [PubMed]
- Huo, N. Evolution Characteristics and Driving Mechanism of Soil Nematode Community in Typical Vegetation Ecosystem of Loess Plateau. Ph.D. Thesis, Northwest A&F University, Xianyang, China, 2021. [Google Scholar]
- Nombela, G.; Navas, A.; Bello, A. Nematodes as bioindicators of dry pasture recovery after temporary rye cultivation. Soil Biol. Biochem. 1999, 31, 535–541. [Google Scholar] [CrossRef]
- Tong, F.; Xiao, Y.; Cen, Y.; Liang, Z.; Tang, X.; Qin, W. Functional and structural characteristics of soil nematode communities in Changgang Mountain, Guangzhou. J. Beijing For. Univ. 2016, 38, 11–20. [Google Scholar]
- Yan, J. Study on the Response Mechanism of Soil Nematode Communities to the Drying of Alpine Swamp Wetlands in the Eastern Qinghai Tibet Plateau. Ph.D. Thesis, Lanzhou University, Lanzhou, China, 2023. [Google Scholar]
- Yeates, G.W. Contribution of size classes to biovolume, with special reference to nematodes. Soil Biol. Biochem. 1988, 20, 771–773. [Google Scholar] [CrossRef]
- Bakonyi, G.; Nagy, P.; Kovacs-Lang, E.; Kovacs, E.; Barabas, S.; Répasi, V.; Seres, A. Soil nematode community structure as affected by temperature and moisture in a temperate semiarid shrubland. Appl. Soil Ecol. 2007, 37, 31–40. [Google Scholar] [CrossRef]
- Liu, T.; Whalen, J.K.; Shen, Q.; Li, H. Increase in soil nematode abundance due to fertilization was consistent across moisture regimes in a paddy rice–upland wheat system. Eur. J. Soil Biol. 2016, 72, 21–26. [Google Scholar] [CrossRef]
- Mang, Y.; Xue, H.; Luo, D.; Qu, X.; Zhao, J. Soil nematode community structure in different functional areas of Yanni Wetland Park. Plateau Agric. 2019, 3, 399–406+442. [Google Scholar] [CrossRef]
- Wasilewska, L. The effect of age of meadows on succession and diversity in soil nematode communities. Pedobiologia 1994, 38, 1–11. [Google Scholar] [CrossRef]
- Yeates, G.W. Abundance diversity resilience of nematode assemblages in forest soils. Can. For. Res. 2007, 37, 216–225. [Google Scholar] [CrossRef]
- Ying, C. Characteristics of Soil Nematode Communities and Their Responses to Livestock Grazing in Major Grasslands in Northern China. Ph.D. Thesis, Northeast Normal University, Changchun, China, 2021. [Google Scholar]
- Hodkinson, I.D. Terrestrial insects along elevation gradients: Species and community responses to altitude. Biol. Rev. Camb. PHilos. Soc. 2005, 80, 489–513. [Google Scholar] [CrossRef] [PubMed]
- Zhao, J.; Wang, F.; Li, J.; Zou, B.; Wang, X.; Li, Z.; Fu, S. Effects of experimental nitrogen and/or pHospHorus additions on soil nematode communities in a secondary tropical forest. Soil Biol. Biochem. 2014, 75, 751–810. [Google Scholar] [CrossRef]
- Liu, T.; Yu, L.; Xu, J.; Yan, X.; Li, H.; Whalen, J.K.; Hu, F. Bacterial traits and quality contribute to the diet choice and survival of bacterial-feeding nematodes. Soil. Biol. Biochem. 2017, 115, 467–474. [Google Scholar] [CrossRef]
- Scharroba, A.; Dibbern, D.; Hünninghaus, M.; Kramer, S.; Moll, J.; Butenschoen, O.; Bonkowski, M.; Buscot, F.; Kandeler, E.; Koller, R.; et al. Effects of resource availability and quality on the structure of the micro-food web of an arable soil across depth. Soil Biol. Biochem. 2012, 50, 1–11. [Google Scholar] [CrossRef]
- Nielsen, U.N.; Ayres, E.; Wall, D.H.; Li, G.; Bardgett, R.D.; Wu, T.; Garey, J.R. Global-scale patterns of assemblage structure of soil nematodes in relation to climate and ecosystem properties. Glob. Ecol. Biogeogr. 2014, 23, 968–978. [Google Scholar] [CrossRef]
- Niwa, S.; Kaneko, N.; Okada, H.; Sakamoto, K. Effects of fine-scale simulation of deer browsing on soil micro-foodweb structure and N mineralization rate in a temperate forest. Soil Biol. Biochem. 2008, 40, 699–708. [Google Scholar] [CrossRef]
- Kudrin, A.A.; Zuev, A.G.; Taskaeva, A.A.; Konakova, T.N.; Kolesnikova, A.A.; Gruzdev, I.V.; Gabov, D.N.; Yakovleva, E.V.; Tiunov, A.V. Spruce girdling decreases abundance of fungivorous soil nematodes in a boreal forest. Soil Biol. Biochem. 2021, 155, 108184. [Google Scholar] [CrossRef]
- Ma, J. Effect of Simulated Warming on Forest Soil Nematode Community. Ph.D. Thesis, Southwest University for Nationalities, Chengdu, China, 2021. [Google Scholar]
- Zhou, Q.; Xiang, Y.; Li, D.; Luo, X.; Wu, J. Global patterns and controls of soil nematode responses to nitrogen enrichment: A meta-analysis. Soil Biol. Biochem. 2021, 163, 108433. [Google Scholar] [CrossRef]








| Physical and Chemical Properties of Soil | Soil Depth | WC | WG | WS |
|---|---|---|---|---|
| pH | 0–10 cm | 6.17 ± 0.16 ns | 6.21 ± 0.12 ns | 5.78 ± 0.21 ns |
| 10–20 cm | 6.15 ± 0.20 ns | 5.93 ± 0.17 ns | 5.80 ± 0.15 ns | |
| 20–30 cm | 6.13 ± 0.14 ns | 6.18 ± 0.14 ns | 6.10 ± 0.16 ns | |
| ST (°C) | 0–10 cm | 13.55 ± 0.51 a | 14.47 ± 0.44 ab | 15.47 ± 0.58 b |
| 10–20 cm | 13.25 ± 1.39 | 14.91 ± 0.66 | 16.18 ± 0.64 | |
| 20–30 cm | 14.41 ± 0.51 | 14.16 ± 0.52 | 14.61 ± 0.86 | |
| SM (%) | 0–10 cm | 43.30 ± 1.40 a | 37.16 ± 0.67 b | 38.39 ± 0.46 b |
| 10–20 cm | 43.24 ± 1.54 a | 37.23 ± 0.66 b | 38.48 ± 0.48 b | |
| 20–30 cm | 42.98 ± 1.22 a | 38.47 ± 0.59 b | 37.82 ± 0.63 b | |
| TN (g/kg) | 0–10 cm | 9.85 ± 1.68 ns | 7.55 ± 0.98 ns | 7.11 ± 1.15 ns |
| 10–20 cm | 10.32 ± 2.17 ns | 5.77 ± 1.40 ns | 7.29 ± 1.42 ns | |
| 20–30 cm | 9.88 ± 2.14 ns | 4.91 ± 1.54 ns | 7.58 ± 1.05 ns | |
| TP (g/kg) | 0–10 cm | 0.75 ± 0.10 ns | 0.77 ± 0.06 ns | 0.65 ± 0.05 ns |
| 10–20 cm | 0.75 ± 0.08 ns | 0.80 ± 0.07 ns | 0.71 ± 0.06 ns | |
| 20–30 cm | 0.67 ± 0.07 ns | 0.64 ± 0.04 ns | 0.73 ± 0.07 ns | |
| SOC (g/kg) | 0–10 cm | 108.16 ± 26.67 ns | 136.32 ± 28.55 ns | 165.55 ± 19.51 ns |
| 10–20 cm | 126.34 ± 28.68 ns | 116.79 ± 28.25 ns | 149.06 ± 27.39 ns | |
| 20–30 cm | 92.78 ± 24.71 ns | 129.90 ± 27.95 ns | 149.06 ± 21.91 ns | |
| MBC (g/kg) | 0–10 cm | 0.77 ± 0.08 | 0.77 ± 0.10 | 0.87 ± 0.08 A |
| 10–20 cm | 0.54 ± 0.12 | 0.63 ± 0.1 | 0.69 ± 0.11 AB | |
| 20–30 cm | 0.60 ± 0.11 | 0.70 ± 0.11 | 0.55 ± 0.08 B | |
| MBN (g/kg) | 0–10 cm | 0.03 ± 0.01 | 0.03 ± 0.01 | 0.04 ± 0.01 A |
| 10–20 cm | 0.03 ± 0.01 | 0.03 ± 0.01 | 0.03 ± 0.01 B | |
| 20–30 cm | 0.02 ± 0.01 | 0.02 ± 0.01 | 0.03 ± 0.01 B | |
| DOC (g/kg) | 0–10 cm | 6.33 ± 0.51 ns | 4.84 ± 0.25 ns | 5.29 ± 0.65 ns |
| 10–20 cm | 5.65 ± 0.62 ns | 4.60 ± 0.30 ns | 4.63 ± 0.66 ns | |
| 20–30 cm | 5.06 ± 0.81 ns | 3.91 ± 0.37 ns | 4.28 ± 0.75 ns | |
| DON (g/kg) | 0–10 cm | 0.05 ± 0.01 b | 0.24 ± 0.10 ab | 0.25 ± 0.08 a |
| 10–20 cm | 0.05 ± 0.01 | 0.21 ± 0.10 | 0.39 ± 0.12 | |
| 20–30 cm | 0.08 ± 0.02 | 0.30 ± 0.16 | 0.31 ± 0.09 | |
| ROC (mmol) | 0–10 cm | 959.51 ± 67.76 ns | 1053.68 ± 15.01 ns | 1041.99 ± 11.27 ns |
| 10–20 cm | 970.0 ± 58.98 ns | 1065.69 ± 10.08 ns | 1062.85 ± 10.08 ns | |
| 20–30 cm | 965.92 ± 58.96 ns | 1067.28 ± 11.25 ns | 1053.64 ± 7.84 ns |
Disclaimer/Publisher’s Note: The statements, opinions and data contained in all publications are solely those of the individual author(s) and contributor(s) and not of MDPI and/or the editor(s). MDPI and/or the editor(s) disclaim responsibility for any injury to people or property resulting from any ideas, methods, instructions or products referred to in the content. |
© 2025 by the authors. Licensee MDPI, Basel, Switzerland. This article is an open access article distributed under the terms and conditions of the Creative Commons Attribution (CC BY) license (https://creativecommons.org/licenses/by/4.0/).
Share and Cite
Xuan, L.; Che, L.; Wan, L. Effects of Forest Swamp Succession and Soil Depth on Distribution Pattern of Soil Nematode Communities. Forests 2025, 16, 133. https://doi.org/10.3390/f16010133
Xuan L, Che L, Wan L. Effects of Forest Swamp Succession and Soil Depth on Distribution Pattern of Soil Nematode Communities. Forests. 2025; 16(1):133. https://doi.org/10.3390/f16010133
Chicago/Turabian StyleXuan, Liqiang, Lina Che, and Luhe Wan. 2025. "Effects of Forest Swamp Succession and Soil Depth on Distribution Pattern of Soil Nematode Communities" Forests 16, no. 1: 133. https://doi.org/10.3390/f16010133
APA StyleXuan, L., Che, L., & Wan, L. (2025). Effects of Forest Swamp Succession and Soil Depth on Distribution Pattern of Soil Nematode Communities. Forests, 16(1), 133. https://doi.org/10.3390/f16010133

