Next Article in Journal
Characterization of the Expansin Gene Promoters in Populus trichocarpa
Next Article in Special Issue
Impacts of Intensified Human Activity on Vegetation Dynamics in the Qinba Mountains, China
Previous Article in Journal
Impact of Nitrogen Fertilizer Application on Soil Organic Carbon and Its Active Fractions in Moso Bamboo Forests
Previous Article in Special Issue
Land Surface Temperature May Have a Greater Impact than Air Temperature on the Autumn Phenology in the Tibetan Plateau
 
 
Font Type:
Arial Georgia Verdana
Font Size:
Aa Aa Aa
Line Spacing:
Column Width:
Background:
Article

Variations of Terrestrial Net Ecosystem Productivity in China Driven by Climate Change and Human Activity from 2010 to 2020

1
School of Civil Engineering and Geomatics, Shandong University of Technology, Zibo 255000, China
2
Key Laboratory of Remote Sensing of Gansu Province, Heihe Remote Sensing Experimental Research Station, Northwest Institute of Eco-Environment and Resources, Chinese Academy of Sciences, Lanzhou 730000, China
*
Authors to whom correspondence should be addressed.
Forests 2024, 15(9), 1484; https://doi.org/10.3390/f15091484
Submission received: 19 July 2024 / Revised: 15 August 2024 / Accepted: 22 August 2024 / Published: 24 August 2024
(This article belongs to the Special Issue Application of Remote Sensing in Vegetation Dynamic and Ecology)

Abstract

Net ecosystem productivity (NEP) plays an important role in the quantitative evaluation of carbon source/sinks in terrestrial ecosystems. This study used Theil–Sen median trend analysis, the Mann–Kendall method, and the Geodetector model to analyze the variation patterns and its dominant factors of NEP from 2010 to 2020. The results showed the following: (1) During 2010–2020, the spatial distribution of carbon sinks in China’s terrestrial ecosystems showed a pattern of high in the southeast and low in the northwest. The area with NEP < 0 accounted for 44.74% of the total area, while the area with NEP > 0 accounted for 55.26%. (2) The northwest region belonged to the significant carbon source, while the other regions belonged to significant carbon sinks. (3) The annual average NEP in different sub-regions showed an increasing trend. During 2010–2020, the overall NEP in China showed a trend in shifting from low-level to high-level, indicating that the NEP of terrestrial ecosystems in China increased during the past 11 years. (4) The NEP gravity center in Northeast China showed a trend in moving southward and then northward, while that of the NEP gravity center in East China showed a circular migration trend of ‘northwest-southwest–northeast–southeast’. The gravity center of NEP in Northwest China was moving northeastward. The migration trajectory of the NEP gravity center in Southwest China presented a “Z” shape. The change in the gravity center of NEP in the central and southern regions had a strong circuitous nature, and the overall trend was to migrate southward. (5) The combined actions of climate change and human activities were the main reason for the change in NEP in China’s terrestrial ecosystem from 2010 to 2020. (6) There were obvious differences in the dominant driving factors of NEP evolution in different regions and different periods in the past 40 years.

1. Introduction

Under the background of globalization, climate change has become a major issue of global concern [1]. Over the past century, with the continuous increase of CO2 concentration [2], the global temperature has risen sharply, which has a huge impact on terrestrial ecosystems [3,4]. Ecosystems have carbon sequestration capacity, and terrestrial ecosystems are inextricably linked to the carbon cycle. Enhancing the terrestrial ecosystem carbon sink capacity is an important means to slow down the increase in greenhouse gas concentration and regulate global warming, and it is also an effective way to achieve China’s carbon neutrality goal [5]. Therefore, the carbon cycle in the terrestrial ecosystem and its impact on the greenhouse effect have always been the core scientific issues in the core program of international climate change research [6]. Net ecosystem productivity (NEP) refers to the difference between net primary productivity (NPP) and soil heterotrophic respiration [7]. It characterizes the change rate of net carbon flux or carbon storage between land and atmosphere and is a key indicator to evaluate whether an ecosystem constitutes a carbon sink and its carbon sink capacity [8,9]. When NEP > 0, the ecosystem belongs to a carbon sink, and the larger the value, the stronger the ability of the ecosystem to absorb and store carbon. On the contrary, when NEP < 0, the ecosystem is shown as a carbon source, and the smaller the value, the carbon source released by the ecosystem to the atmosphere [10,11,12].
The terrestrial ecosystem carbon budget and its cycle process at the national scale are of great significance in the fields of earth system science and global change science [13,14,15,16]. During the past decades, China has carried out extensive research on the effects of climate change on the terrestrial ecosystem carbon cycle, involving national inventory [17,18,19], ecosystem model simulation [20], atmospheric inversion [21], and other means [22]. At present, the methods of studying terrestrial ecosystems at home and abroad are gradually diversified. However, due to the great uncertainty in the estimation of carbon sources/sinks, an integrated analysis of carbon sources/sinks in terrestrial ecosystems at the national scale has not yet been formed. At the same time, compared with the more comprehensive accounting of ecosystem carbon sinks in Western developed countries, China’s research is limited to the accounting of regional carbon sinks for certain vegetation and soil types and lacks a comprehensive assessment of the entire terrestrial ecosystem. Therefore, accurate accounting of the current status and future carbon sink potential of China’s terrestrial ecosystem carbon sink capacity is a top priority for achieving carbon neutrality [23,24,25].
Based on the daily NEP data of China from 2010 to 2020, this study used a transfer matrix, gravity center model, multiple regression residual analysis, and Geodetector model to analyze the spatial and temporal variation pattern and driving mechanism of carbon sink in China’s terrestrial ecosystem.

2. Materials and Methods

2.1. Overview of the Study Area

China is located in the center of East Asia, in the east of Asia, and on the west coast of the Pacific Ocean (Figure 1). There are 14 land neighbors and 6 maritime neighbors, and its vast territory makes it one of the most diverse countries in the world. It has a land area of 9.6 million km2, ranking third in the world. China’s adjacent seas have a superior geographical location, with a coastline of 18,000 km and rich marine resources. According to the natural geographical characteristics, the study area is divided into six sub-regions, namely, Northeast, North, Northwest, Southwest, Central-South, and East China. Each sub-region is unique because of its unique geographical location, natural environment, and human characteristics.

2.2. Data Source and Preprocessing

The NEP data of China’s terrestrial ecosystem were derived from the MODIS17A3H dataset (https://ladsweb.nascom.nasa.gov/, accessed on 3 December 2023). The time span was from 2010 to 2020, the spatial resolution was 1 km, and the temporal resolution was 1 year. National climate station data from the Environmental Meteorological Data Service Platform (https://data.cma.cn/, accessed on 6 December 2023), using Kriging interpolation, produced annual gridded datasets for temperature, precipitation, and sunlight from 2010 to 2020 with a 1 km spatial resolution for the study area. The land-use data with a spatial resolution of 1 km were from the Resource and Environmental Science Data Center of the Chinese Academy of Sciences (https://www.resdc.cn/DOI/, accessed on 3 November 2023). The database includes 6 primary land use types and 25 secondary land use types. The Digital Elevation Model (DEM) data come from the geospatial data cloud, and the spatial resolution is 90 m.

2.3. Methods

2.3.1. Trend Analysis of NEP

The Theil–Sen median trend analysis method was adopted to explore the change trend in NEP in China’s terrestrial ecosystem. The calculation formula is as follows:
β = Median ( NEP j NEP j j i )
In the formula, β is the change trend in NEP; NEPi and NEPj represent the time series values of NEP in year i and year j, respectively (2010 ≤ i, j ≤ 2020). β > 0 indicates that the change in NEP showed an increasing trend, and β < 0 indicates that the change in NEP showed a decreasing trend during the study period.
The Mann–Kendall method was used to test the significance of the NEP change trend. If the standard value Z is greater than 0, the sequence is on the rise; if it is less than 0, the sequence shows a downward trend. When the absolute value of Z is greater than or equal to 1.64, 1.96, and 2.58, the time series passes the significance test at the confidence level of 90%, 95%, and 99%, respectively.

2.3.2. Gravity Center Model

There is a certain point in the regional space, and the force ratio in the front, back, left, and right directions of the point is relatively balanced. After dynamically weighing the magnitude of the force in each region, it shows that it moves in the direction of large force, and the direction of movement is the direction of change in the pattern of variables. The main factors that determine the gravity center are geographical location and attribute changes. The calculation formula of the NEP barycenter of the terrestrial ecosystem in China is as follows:
x ¯ = i = 1 n z i x i i = 1 n z i
y ¯ = i = 1 n z i y i i = 1 n z i
In the formula, ( x ¯ , y ¯ ) is the barycenter coordinate; z i is the attribute value of the ith plane space unit; and ( x i , y i ) is the coordinate value of the ith plane space unit.

2.3.3. Multiple Regression Residual Analysis

The residual analysis proposed by Evans and Geerken can reflect the effects of human activities and climate on the carbon source/sink changes in vegetation in China. The residuals of each pixel are calculated by using the regression model of NEP and precipitation, temperature, and radiation remote sensing data, as follows:
PredictedNEP = β 0 + β 1 × Pre + β 2 × Tem + β 3 × Sun
NEPresiduals = NEP predictedNEP
In this formula, predicted NEP represents the predicted value of NEP; NEP residuals represent the residuals of NEP; Pre represents precipitation; Tem represents temperature; Sun represents radiation; and β i is the partial regression coefficient in the model. By analyzing the significant changes in residuals, the effects of climate change and human activities on NEP can be distinguished. If the change in NEP residual is not significant, it indicates that the change of carbon sink in China’s terrestrial ecosystem is mainly affected by climatic factors. However, if the NEP residual changes significantly, it indicates that the change of carbon sink in China’s terrestrial ecosystem is mainly caused by human activities.

2.3.4. Geodetector Model

The Geodetector model is utilized to reveal the explanatory power of a certain factor to China’s terrestrial ecological carbon sinks. The correlation degree is measured by the q value, and the value range of q is [0, 1]. The larger the value is, the more obvious the explanatory power of the factor to NEP is, and vice versa. The expression is as follows:
q = 1 h = 1 L N h σ h 2 N σ 2 = 1 SSW SST
SSW = h = 1 L N h σ h 2
SST = N σ 2
In the formula, h = 1, …, L is the classification of variable Y or factor X; Nh and N are the number of layers h and the number of units in the whole region; σ h 2 is the variance of the Y value of the class h; and σ 2 is the variance of the Y value of the whole region. SSW is the sum of intra-layer variance, while SST is the total variance of the whole region.

3. Results

3.1. Spatial Distribution Pattern of Carbon Sink in Terrestrial Ecosystems in China

The NEP could be divided into five grades: NEP > 300 gC/m2 as high-value area; 80 < NEP < 150 gC/m2 as higher-value area; 0 < NEP < 80 as lower-value area; and NEP < 0 as low value area. As shown in Figure 2 and Figure 3, China’s regional NEP showed a spatial distribution pattern of high in the southeast and low in the northwest. The area with NEP < 0 accounted for 44.74%, mostly located in the northwest region, mainly in the northwest of Xinjiang Uygur Autonomous Region and Inner Mongolia Autonomous Region. The area of NEP > 0 accounted for 55.26%, of which the high-value area of NEP (>300 gC/m2) accounted for 5.11%, mainly scattered in the southeast. The higher-value area (150–300 gC/m2) accounted for 7.31%, mostly concentrated in the southeast and central regions, mainly in Fujian and Shanxi provinces. The median area (80–150 gC/m2) accounted for 10.52%, mostly concentrated in the central part of Heilongjiang Province, the central part of Shanxi Province, and Shanxi Province. The lower-value area (0~80 gC/m2) accounted for 32.32%, mainly distributed in Tibet, Qinghai, and the eastern part of Inner Mongolia Autonomous Region.

3.2. Temporal Variation of Carbon Sink in Terrestrial Ecosystem in China during 2010–2020

During 2010–2020, the annual average NEP value and the interannual variation of carbon source/sink in China were shown in Figure 4. The average growth rate of NEP fitting was 1.607 gC/m2 with R2 = 0.4002. The annual average NEP showed a trend of increasing volatility. The lowest value was 38.47 gC/m2 in 2010, the highest value was 64.97 gC/m2 in 2016, and the interannual average was 55.40 gC/m2. According to the annual average NEP change trend, after 2011, due to the implementation of afforestation, returning farmland to forest and grass projects, and ecological protection and management policies, carbon emissions were less than the carbon sequestration of vegetation, so vegetation played a role of carbon sink. In the past 11 years, the proportion of China’s carbon source area reached 56%, an increase of 8% compared with 2010.
As shown in Figure 5, the average annual NEP in Northeast China showed a trend of increasing volatility during 2010–2020. The mean NEP value in Northeast China in 11 years was 62.37 gC/m2, and its annual average NEP was lower than the linear annual average NEP. The forest coverage rate in Northeast China is 47.2%, and the vegetation grows vigorously. Therefore, the NEP in this area is generally high, and most areas show carbon sink properties.
During 2010–2020, the average annual NEP increase in North China was 0.2849 gC/m2. The range of the average annual NEP in 2013 was 992.37 gC/m2, far exceeding the range of the average annual NEP in other years in the region. In addition, the range of the average annual NEP range in the region for 11 years was 328.21 gC/m2, which was much higher than 253.96 gC/m2 in North China and East China, 240.59 gC/m2 in Northwest China, and 252 gC/m2 in Southwest China. This might be related to the heavy rainstorm that hit North China in 2012, resulting in sufficient storage of groundwater on the ground, which contributed to the vigorous growth of vegetation and the significant improvement of carbon sink capacity in the region in 2012 and 2013. From 2011 to 2013, the average annual NEP showed a trend of rapid increase, with the largest increase of 23.65 gC/m2 from 2011 to 2012, which was related to the implementation of the Grain for Green Project in North China in recent years [26]. As a result, the vegetation coverage has been significantly improved, the ecological environment has been greatly improved, and the vegetation has played a carbon sink role. During the period from 2014 to 2020, the NEP of terrestrial ecosystems in China basically remained at a stable level.
During 2010–2020, the annual mean and annual change rate of NEP in Northwest China were the smallest among the six sub-regions, which were 16.20 gC/m2 and 0.2714 gC/m2, respectively. There were two time intervals in which the growth of northwest China was more obvious. From 2011 to 2012, it increased by 5.39 gC/m2, while it increased by 6.42 gC/m2 from 2017 to 2018. From 2018 to 2019, the decrease became more obvious with a decrease of 5.29 gC/m2.
The annual mean value of NEP in China’s terrestrial ecosystem in East China showed a trend of increasing fluctuation. The annual average maximum value appeared in 2018, which was 137.03 gC/m2, and the minimum value appeared in 2011, which was 89.07 gC/m2. The annual average maximum value appeared in 2018 in the northwest and central-south regions. Meanwhile, the average annual NEP in East China showed a downward trend from 2018 to 2019, as in North China, Northwest China, Central-South China, and Southwest China. Among them, the average annual NEP in East China, Northwest China, Central-South China, and Southwest China decreased greatly, which might be related to the frequent occurrence of extreme climate, resulting in the change in precipitation pattern and the increase in temperature, thus affecting the growth of vegetation and the function of ecosystems, resulting in the decrease in NEP.
During 2010–2020, the average annual NEP and the rate of change in the central and southern regions ranked first in the six sub-regions, which were 144.22 gC/m2 and 5.2485 gC/m2, respectively. The maximum NEP annual average value in 2018 was 173.76 gC/m2, and the minimum NEP annual average value appeared in 2011, which was 104.85 gC/m2. The range between the maximum NEP annual average year and the minimum NEP annual average year in the past 11 years was 68.91 gC/m2. It could be seen that the annual average value of NEP in the central and southern regions of China’s terrestrial ecosystem fluctuates greatly. In the past 11 years, the annual average value of NEP in China’s terrestrial ecosystem showed a fluctuating increase trend. The obvious valley values between 2011, 2014, and 2019 might be related to the long-term high temperature in the south of the central and southern regions in 2011, the strongest typhoon ‘Rammasun’ hitting the central and southern regions in 2014, and the longest flood season since 1961 in 2019. In 2011–2013, 2014–2018, and 2019–2020, the average annual NEP values had increased significantly. Among them, the average annual NEP growth between 2011–2013, 2014–2015, and 2019–2020 was the most obvious, which may be related to the better effect of the regional government on climate disasters and ecological governance.
During 2010–2020, the annual average value of NEP in Southwest China increased by 2.4258 gC/m2. The maximum annual average value of NEP in 2016 was 76.31 gC/m2, and the minimum value of 32.35 gC/m2 appeared in 2010. In 2011, the annual average NEP value increased by 26.67 gC/m2 and 21.54 gC/m2, respectively, compared with that of 2010 and 2012. The climatic conditions in 2011 were dry, and there was less rain. Although the rainfall was less than that in previous years, the temperature was suitable for vegetation growth. The annual average value of NEP in China’s terrestrial ecosystem increased significantly compared with that before and after, and the carbon sequestration of vegetation was reflected as a carbon sink.
In summary, the average annual NEP in different sub-regions of China showed an increasing trend, but the growth rate is different. In terms of the annual average of NEP, Northeast China, North China, Southwest China, and Northwest China are less than the average level of China (72.20 gC/m2). Except for Northeast China, North China, and Northwest China, the change rate of other sub-regions is greater than the change rate of the NEP mean in China in the past 11 years. Among them, the maximum NEP value in East China in 2018 was 896.96 gC/m2, and the minimum NEP value in Southwest China in 2010 was −586.85 gC/m2. On the whole, except that the northwest region belonged to the significant carbon source, the other regions belonged to significant carbon sinks. NEP values showed a significant increase between 2011 and 2013, 2014 and 2018, and 2019 and 2020. This may be attributed to effective efforts by local governments in managing climate disasters and ecological governance, including a range of positive measures and policies to improve environmental quality. This trend may indicate that the region has made some progress in environmental protection and has taken solid steps toward sustainable development in the future.

3.3. Changes in NEP Gravity Center

This paper analyzed the gravity center migration of China’s sub-regions from 2010 to 2020 to further analyze the spatial variation of the gravity center of NEP in the study area (Figure 6).
As shown in Figure 6a, during 2010–2020, the NEP gravity center in Northeast China showed a migration trend of ‘southwest–northeast–southeast–northwest’. The gravity center of 2012–2013 migrated to the southwest compared with that of 2010–2011, indicating that the growth rate and increment of NEP in the southwest were greater than those in the northeast. Compared with that of 2012–2013, there was a trend in northward migration in 2014–2015. In general, the NEP gravity center in Northeast China had shown a trend in moving southward and then northward in the past 11 years, and the distance of moving southward was less than that of moving northward.
As shown in Figure 6b, the migration of the NEP gravity center in North China had obvious regularity in the past 11 years. The gravity center moved southward during 2014–2017, and the gravity center moved northward in other time periods, indicating that the increase in the NEP gravity center in the north was higher than that in the south. From 2014–2015 to 2016–2017, the gravity center of vegetation NDVI had the largest migration range of 366.8 km, while from 2010–2011 to 2012–2013, the migration range was the smallest, which was 82.43 km. During 2010–2020, the NEP gravity center in North China has shifted northward.
As shown in Figure 6c, the NEP gravity center in East China moved northward in the first and third periods, which were from 2010–2011 to 2012–2013 and from 2014–2015 to 2016–2017, respectively. In the second and fourth periods, it moved southward in the period from 2012–2013 to 2014–2015, respectively. In these four periods, from 2014–2015 to 2016–2017 had the largest migration distance of 27.02 km. The migration distance from 2016–2017 to 2018–2020 was the smallest, only 15.34 km. The migration trajectory of the NEP gravity center showed a circular migration trend of ‘northwest–southwest–northeast–southeast’.
As shown in Figure 6d, the NEP gravity center in Northwest China migrated northeastward from 2012 to 2013 compared with that from 2010 to 2011. The gravity center of NEP in 2016–2017 to 2018–2020 and 2012–2013 to 2014–2015 migrated southeastward, while the gravity center of NEP in the period from 2014–2015 to 2016–2017 migrated northwestward with the largest migration range of 242.72 km.
As shown in Figure 6e, the migration trajectory of the NEP gravity center in Southwest China presents a zigzag shape. The gravity center migrated to the northeast from 2010–2011 to 2012–2013 and from 2014–2015 to 2016–2017. The gravity center migrated to the southeast from 2012–2013 to 2014–2015. The gravity center migrated to the northwest from 2016–2017 to 2018–2020. The migration range of the NEP gravity center from 2012–2013 to 2014–2015 was the largest, which was 72.67 km. It shows that the carbon sink capacity in the southeast of Southwest China has been significantly strengthened from 2014 to 2015, while the gravity center of NEP in Southwest China as a whole shows a trend of moving southeastward.
As shown in Figure 6f, the change in NEP gravity center in the central and southern regions had a strong roundabout nature, and the change state was more complicated. From 2010–2011 to 2012–2013, the NEP gravity center migrated to the southwest, with the largest migration range of 58.07 km, indicating that the NEP increment and growth rate in the southwest parts were higher than those in the northeast. In the period from 2012–2013 to 2014–2015, from 2014–2015 to 2016–2017, and from 2016–2017 to 2018–2020, the trend of circuitous changes was basically the same.

3.4. Transfer Analysis of Different Levels of NEP

The study period was divided into two historical periods, i.e., 2010–2015 and 2016–2020, and the changes between different levels of NEP in the corresponding historical period are counted, as shown in Figure 7.
As shown in Figure 7a, in the areas where NEP grades changed from 2010 to 2015, the largest proportion was observed in the transition from low-value zone to lower-value zone, approximately 6.60%. The next significant transition was from lower-value zone to mid-value zone, comprising about 5.07% of the area. Areas transitioning from lower-value zones to low-value zones accounted for approximately 2.84%. Other transition scenarios represented smaller proportions. Overall analysis indicates that from 2010 to 2015, there was a notable increase in NEP transitioning from lower grades to higher grades, suggesting an upward trend in China’s terrestrial ecosystem NEP.
As depicted in Figure 7b, in the areas where NEP grades changed from 2015 to 2020, the largest area was observed in the transition from low-value zone to lower-value zone, approximately 4.73%. The next significant transition was from mid-value zone to lower value zone, comprising about 3.30% of the area. Transitions from lower-value zone to mid-value zone accounted for approximately 3.18%. Other transition scenarios represented smaller proportions. Overall analysis indicates that from 2015 to 2020, there was a significant increase in NEP transitioning from lower grades to higher grades, indicating an increasing trend in NEP for China.
In summary, from 2010 to 2020, China’s NEP overall demonstrated a trend in transitioning from lower grades to higher grades, indicating an increase in the terrestrial ecosystem NEP over the past eleven years.

3.5. Distinction of the Relative Roles of Climate–Human Interactions on NEP Changes

Based on the impact of climate change and human activities on the NEP of terrestrial ecosystems in China, the role of climate change and human activities in the evolution of NEP could be assessed by the changes in the NEP of terrestrial ecosystems in China. The driving factors of NEP changes in China’s terrestrial ecosystems from 2010 to 2020 were divided into six categories: joint action to promote the increase in NEP, climate change to promote the increase in NEP, human activities to promote the increase in NEP, joint action to reduce NEP, climate change to reduce NEP, and human activities to reduce NEP.
It could be seen from Figure 8 and Table 1 that zones with joint action to promote the increase in NEP accounted for about 42.58%, mainly distributed in most parts of southern China, Heilongjiang Province, Yinshan Mountains, Shanxi Province, southeastern Tibet Autonomous Region, and other regions. Zones with climate change to promote the increase in NEP accounted for 14.14%, mainly distributed in the eastern part of Inner Mongolia Autonomous Region, northeastern Gansu Province, and Fujian Province. In addition, zones with joint action to reduce NEP accounted for 14.93%, mostly concentrated in Inner Mongolia Autonomous Region, Jilin Province, and southwestern Liaoning Province, and a small amount was also distributed in Tibet Autonomous Region. Zones with climate change to reduce NEP accounted for 8.72%, mainly distributed in the Jiaodong Plain of Shandong Province, Hebei Province, Shanxi Province, Gansu Province, southeastern Inner Mongolia Autonomous Region, and other regions. Moreover, zones with human activities to reduce NEP accounted for 7.78%, mainly concentrated in Xilinhot City, Inner Mongolia Autonomous Region.
The impacts of climate change on NEP changes in China’s terrestrial ecosystems from 2010 to 2020 were quantitatively distinguished. Figure 9 and Table 2 showed that the area with a positive contribution rate of climate change to NEP changes in China’s terrestrial ecosystems accounted for about 71.88%. Among them, the area with the contribution rate of climate change ranging from 20% to 40% was the largest, accounting for 40.70%. It was mainly distributed in Xinjiang Uygur Autonomous Region, northwestern Inner Mongolia Autonomous Region, Qaidam Basin, and northwestern Qinghai–Tibet Plateau. The area with a contribution rate of more than 80% was 14.14%, mainly distributed in Heilongjiang Province, Yinshan Mountains, southeastern Gansu Province, southwestern Sichuan Province, Fujian Province, and northern Guangdong Province. The negative contribution rate of climate change to NEP changes in China’s terrestrial ecosystems was about 28.12%, mainly located in eastern Inner Mongolia, Shanxi Province, southern Hebei Province, eastern Shandong Province, and northeastern Qinghai–Tibet Plateau.
The impacts of human activities on the NEP changes of terrestrial ecosystems in China from 2010 to 2020 were shown in Figure 10 and Table 3. The area with a positive contribution rate of human activities to the NEP changes of terrestrial ecosystems in China accounted for about 87.01%. Among them, the area with the contribution of human activities ranging from 20 to 40% accounted for 72.60%, which was mainly distributed in Xinjiang Uygur Autonomous Region, northwestern Inner Mongolia Autonomous Region, Qaidam Basin, and northwestern Qinghai–Tibet Plateau. The areas with a contribution rate of more than 80% were mainly concentrated in most southern regions, such as northwestern Shanxi, Shaanxi Province, northeastern Gansu Province, southwestern Henan Province, Sichuan Basin, northwestern Hubei Province, and Guangxi Zhuang Autonomous Region. The areas with a negative contribution rate of human activities to the change of NEP in China’s terrestrial ecosystem accounted for 12.99%, which were more concentrated in the northeast region. In general, the contribution rate of human activities (87.01%) to NEP changes in China’s terrestrial ecosystems was greater than that of climate change (71.88%).

3.6. Partial Correlations with Climate Factors

The second-order partial correlation coefficient between the average annual NEP and the climatic factors, such as precipitation, sunshine, and temperature, at each pixel position in China from 2010 to 2020 was obtained (Figure 11).
As shown in Figure 11(a1,a2), the second-order partial correlation coefficients between NEP and precipitation ranged from −0.999 to 0.999. The positive correlation areas accounted for about 47.11%, mainly distributed in the northern Greater and Lesser Khingan Mountains, the North China Plain, the Yinshan Mountains, the Loess Plateau, and the central Qinghai–Tibet Plateau in the southwestern region. The negative correlation area accounted for about 52.89%, mainly distributed in Fujian Province, Guangdong Province, Guizhou Province, northern Guangxi Province in southern China, and the eastern and southern regions of Northeast China. Among them, the significant positive correlation (p < 0.05) area accounted for 3.82%, and the extremely significant positive correlation (p < 0.01) area accounted for 3.31%, mostly concentrated in the Greater Khingan Mountains, the northwest of the Loess Plateau, the central region of the Qinghai–Tibet Plateau, and the northeast of Sichuan Province. The areas with significant negative correlation (p < 0.05) accounted for 3.14%, and the areas with extremely significant negative correlation (p < 0.01) accounted for 2.32%, mainly distributed in the junction of northwest Liaoning Province and southeast Inner Mongolia in the northern region, the central part of Fujian Province, the southern part of Zhejiang Province, the northern part of Guangdong Province, and the central part of Guizhou Province.
As shown in Figure 11(b1,b2), the partial correlation coefficient between NEP and sunshine ranged from −0.999 and 0.999. The positive correlation area accounted for about 59.07%, mostly concentrated in the central Tibet Autonomous Region, southeastern Guangxi Zhuang Autonomous Region, southern Zhejiang Province, northeastern Inner Mongolia Plateau, and most of the North China Plain. The negative correlation area accounted for about 40.93%, which was mainly distributed in the east of Daxing’anling, Heilongjiang Province, the central part of the Loess Plateau, Jiangxi Province, the eastern part of Hunan Province, and Yunnan Province. Among them, the significant positive correlation (p < 0.05) area in the partial correlation coefficient between NEP and sunshine in China’s terrestrial ecosystem accounted for 1.37%, and the extremely significant positive correlation (p < 0.01) area accounted for 0.99%. The areas with significant negative correlation (p < 0.05) accounted for 2.12%, and the areas with extremely significant negative correlation (p < 0.01) accounted for 1.90%, which were mainly distributed in the western part of Heilongjiang Province and the southern part of China.
As shown in Figure 11(c1,c2), the partial correlation coefficient between NEP and temperature was between −0.999 and 1. The positive correlation area accounted for about 53.09%, mainly distributed in most parts of southern China and the eastern part of northeast China, the Yinshan Mountains, and other regions, which was mainly affected by the temperature on plant growth rate, photosynthetic activity, nutrient cycle, and other processes. The temperature in the southern region was relatively warm, which could prolong the growth season of plants, increase the photosynthetic rate, and promote the growth and productivity of plants, so that the NEP was positively increased. At the same time, the abundant precipitation and rich vegetation types in the south could also promote the increase in NEP. The negative correlation area accounted for about 46.91%, mostly concentrated in the Qinghai–Tibet Plateau, the Loess Plateau, and northern Yunnan Province. From the significance of the partial correlation coefficient between NEP and temperature, the regions with significant positive correlation (p < 0.05) accounted for 1.85%, and the regions with extremely significant positive correlation (p < 0.01) accounted for 1.26%, which were mainly distributed in the northeast of Inner Mongolia, the north-central part of Heilongjiang Province, the north of Loess Plateau, the east of North China Plain, the southwest of Sichuan Basin, the south of Guangxi Zhuang Autonomous Region, and the central and western regions of Fujian Province. The significant negative correlation (p < 0.05) area accounted for 3.01%, and the extremely significant negative correlation (p < 0.01) area accounted for 1.90%, mainly distributed in the central Tibetan Plateau and Inner Mongolia.

3.7. Dominant Factors of Ecosystem Carbon Sequestration in Different Historical Periods and Sub-Regions

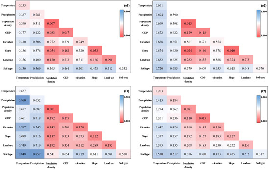
The synergistic effects of different driving factors on the Net Ecosystem Production (NEP) of terrestrial ecosystems in China were analyzed by Geodetector. As shown in Figure 12, the q values of most interactive driving factor pairs were greater than the single factor q values (diagonal values), indicating enhanced or nonlinear synergistic effects between pairs of factors.
As shown in Figure 12(a1,a2), the interactions between pairwise driving factors in the Northeast region in 2010 that explain the variation in China’s terrestrial ecosystem Net Ecosystem Production (NEP) were ranked as follows: Precipitation ∩ Temperature (0.628) > Elevation ∩ Temperature (0.628) > Soil Type ∩ Temperature (0.602) > Land Use ∩ Temperature (0.549) > Slope ∩ Temperature (0.540) > Precipitation ∩ Soil Type (0.528). The interactions involving temperature dominated in explaining the variations of NEP. In 2020, the q values of the interactive factors were ranked as follows: Soil Type ∩ Temperature (0.420) > Precipitation ∩ Temperature (0.404) > Elevation ∩ Temperature (0.330) > Soil Type ∩ Precipitation (0.325) > Soil Type ∩ Land Use (0.323) > Land Use ∩ Temperature (0.312). Compared to 2010, the interactions involving temperature still dominated, but less than in 2010. During this period, interactions involving population density had the smallest explanatory power.
As shown in Figure 12(b1,b2), in 2010 in North China, the interactions between pairwise driving factors that explain NEP variation were ranked as follows: Precipitation ∩ Temperature (0.872) > Precipitation ∩ Soil Type (0.869) > Soil Type ∩ Temperature (0.860) > Elevation ∩ Temperature (0.798) > Land Use ∩ Temperature (0.759) > Elevation ∩ Precipitation (0.756), with temperature interactions dominating. In 2020, the q values of the interactive factors were ranked as follows: Precipitation ∩ Soil Type (0.869) > Precipitation ∩ Temperature (0.860) > Soil Type ∩ Temperature (0.816) > Soil Type ∩ Land Use (0.748) > Soil Type ∩ Elevation (0.744) > Soil Type ∩ Slope (0.699). During 2010–2020, the dominant factor affecting NEP variation in North China shifted from temperature to soil type.
As shown in Figure 12(c1,c2), in 2010 in East China, the interactions between pairwise driving factors that explain NEP variation were ranked as follows: Temperature ∩ Soil Type (0.530) > Temperature ∩ Precipitation (0.529) > Precipitation ∩ Soil Type (0.517) > Temperature ∩ Gross Domestic Product (GDP) (0.505) > Temperature ∩ Elevation (0.492) > Temperature ∩ Land Use (0.490). During this period, synergistic interactions with temperature dominated, while the q values of the interactions involving GDP and population density were the smallest (0.176), indicating human factors had the least impacts during this period. In 2020, the q values of the interactive factors were ranked as follows: Temperature ∩ Soil Type (0.733) > Temperature ∩ Elevation (0.720) > Temperature ∩ Land Use (0.709) > Temperature ∩ GDP (0.706) > Temperature ∩ Slope (0.703) > Precipitation ∩ Soil Type (0.530). Overall, in East China, the dominant factor influencing NEP variation was the synergistic interaction between temperature and other factors, followed by soil type interactions.
As shown in Figure 12(d1,d2), the top six pairs of interacting factors explaining the changes in NEP of China’s terrestrial ecosystems in the northwest region in 2010 were as follows: Precipitation ∩ Soil Type (0.739) > Temperature ∩ Soil Type (0.720) > Precipitation ∩ Elevation (0.677) > Precipitation ∩ Temperature (0.673) > Elevation ∩ Soil Type (0.645) > Land Use ∩ Soil Type (0.739). The interaction between soil type and other factors played a dominant role. In 2020, the top six pairs were ranked: Temperature ∩ Soil Type (0.874) > Precipitation ∩ Temperature (0.860) > Precipitation ∩ Soil Type (0.836) > Elevation ∩ Soil Type (0.830) > Precipitation ∩ Elevation (0.828) > Land Use ∩ Soil Type (0.804). Over these two periods, the synergistic effects between soil type and other driving factors were the main factor influencing NEP changes in the northwest terrestrial ecosystem, with this synergy becoming increasingly stronger.
As shown in Figure 12(e1,e2), in the southwest region in 2010, the top six pairs of interacting factors explaining the changes in NEP of China’s terrestrial ecosystems were ranked as follows: Precipitation ∩ Soil Type (0.569) > Temperature ∩ Soil Type (0.530) > Land Use ∩ Soil Type (0.513) > Elevation ∩ Precipitation (0.506) > Elevation ∩ Soil Type (0.501) > Slope ∩ Soil Type (0.478). During this period, the synergistic effects between soil type and other driving factors were predominant, while the interaction between GDP and population density had the smallest explanatory power (0.083), indicating that anthropogenic factors had the least impacts on NEP changes during this period. In 2020, the top six pairs were ranked as follows: Temperature ∩ Soil Type (0.530) > Precipitation ∩ Soil Type (0.517) > Land Use ∩ Soil Type (0.512) > Elevation ∩ Soil Type (0.473) > Temperature ∩ Elevation (0.442) > Slope ∩ Soil Type (0.435). Compared with that of 2010, the synergistic effect between soil type and other factors remained the dominant influence on NEP changes, but the explanatory power of these interactions showed different degrees of decline.
As shown in Figure 12(f1,f2), in the central-southern region in 2010, the top six pairs of interacting factors explaining the changes in NEP of terrestrial ecosystems were ranked as follows: Temperature ∩ Precipitation (0.860) > Precipitation ∩ Soil Type (0.857) > Temperature ∩ Soil Type (0.848) > Temperature ∩ Elevation (0.787) > Temperature ∩ Land Use (0.749) > Precipitation ∩ Elevation (0.745). During this period, the synergistic effect between temperature and other driving factors played a dominant role. In 2015, the top six pairs were ranked as follows: Temperature ∩ Soil Type (0.530) > Soil Type ∩ Land Use (0.488) > Soil Type ∩ Precipitation (0.461) > Temperature ∩ Elevation (0.445) > Temperature ∩ Elevation (0.427) > Slope ∩ Soil Type (0.400). Compared to the previous period, the synergistic effect between soil type and other driving factors became dominant, with the synergistic effect among other factors being less than 40%. In 2020, the top six pairs were ranked as follows: Temperature ∩ Soil Type (0.530) > Precipitation ∩ Soil Type (0.517) > Land Use ∩ Soil Type (0.512) > Elevation ∩ Soil Type (0.473) > Temperature ∩ Elevation (0.442) > Slope ∩ Soil Type (0.435). Overall, the explanatory power of various factors showed a weakening trend, with the dominant factors shifting from temperature to the interactions between soil type and other factors. In both periods, the explanatory power of population density and other factors was relatively weak, with Gross Domestic Product (GDP) and population density being the weakest, indicating that anthropogenic factors had the least influence on NEP changes in the central-southern region of China’s terrestrial ecosystems.

4. Discussion

The overall spatial distribution pattern of NEP in China showed a trend in higher values in the southeast and lower values in the northwest. China, as a whole, exhibits a carbon sink status, with carbon sink areas accounting for 55.26% during 2010–2020 [27]. Generally, the land ecosystem carbon sequestration capacity in China significantly improved from 2010 to 2020 [28]. Studying the spatial distribution pattern of Net Ecosystem Production (NEP) is beneficial for monitoring ecological and environmental changes. NEP, as an indicator, can assess the health status of ecosystems in different regions, understand the carbon absorption and release capacity of various areas, and help humans determine whether ecosystems are functioning as carbon sinks or sources. This knowledge aids governments in implementing ecological protection efforts. By analyzing the spatial distribution of NEP, we can identify the carbon absorption capacity of different regions, thereby optimizing land use patterns. The Northeast, Central-South, East China, and Southwest regions overall belonged to the carbon sink areas [29], while North China belonged to the weak carbon sink area, and the Northwest was a strong carbon source area. The Northeast, Central-South, East China, and Southwest regions generally acted as carbon sinks, mainly due to abundant forest resources, high vegetation coverage, suitable climate conditions, and effective ecological protection policies [28]. In contrast, the North China region has a relatively weak carbon sequestration capacity due to its low forest coverage, dense population, frequent industrial and agricultural activities, and relatively arid climate. Continuing to develop carbon sink calculations suitable for the North China region will provide a basis for evaluating indicators for the rational development of land use [30]. The Northwest exhibited a strong carbon source pattern due to factors such as arid climate, sparse vegetation, severe land desertification, and negative human impacts [5]. Overall, regional differences in carbon sequestration capacity were primarily influenced by factors such as vegetation coverage, climate conditions, human activities, and land use changes. Southern regions were mainly affected by shifts in forest and cultivated land, while northern regions were more influenced by changes in grasslands.
The positive correlation between NEP and precipitation area accounted for about 47.11%, mostly distributed in the North China Plain, the Yinshan Mountains, the Loess Plateau, and the central Qinghai–Tibet Plateau in the southwestern region. This was related to the low annual rainfall and dry climate in the northern region and the Qinghai–Tibet Plateau [4]. Sufficient rainwater could promote the rapid growth of vegetation in these areas, strengthen photosynthesis, and thus improve carbon sink capacity. The negative correlation (between NEP and temperature) area accounted for about 46.91%, mainly distributed in the Qinghai–Tibet Plateau, the Loess Plateau, and northern Yunnan Province [31]. This might be related to the low temperature, dry climate, and strong sunshine in high altitude areas, which made the vegetation growth season shorter, the growth rate slower, and the response to temperature relatively weak [8]. In addition, the Loess Plateau was an alpine desert area, the climatic conditions were dry, the vegetation type was mainly grassland, and the response to temperature was limited. In the northern part of Yunnan Province, there was obvious seasonal climate change, high temperatures in summer, and sufficient rain, which led to the limitation of vegetation growth by water and the difficulty of making full use of temperature for growth [32]. In summary, there was a negative correlation between NEP and temperature in China’s terrestrial ecosystems in high-altitude areas, alpine desert areas, areas with obvious seasonal changes in climate, and areas with overgrazing and overexploitation [18].
Over the past 11 years, there have been significant differences in the dominant driving factors of NEP evolution across different regions and historical periods. Due to higher vegetation coverage in the Northeast and East China, temperature had consistently been the dominant factor influencing the spatiotemporal evolution of the land ecosystem NEP in these regions across both study periods [9]. In North China, the dominant factors affecting NEP evolution shifted from precipitation to soil type, with temperature and soil type becoming primary factors in later years. Soil type remained the dominant factor influencing NEP evolution in the Northwest, while in the Southwest, the dominant factor shifted from soil type in 2010 to temperature in 2020 [33]. In Central-South China, the dominant factor shifted from precipitation in 2010 to soil type in 2020. Overall, changes in the influencing factors of NEP across different regions reflected the integrated impacts of climate change and land use changes. Regions with high vegetation coverage showed significant impacts of temperature changes on NEP, while regions with arid climates or significant land use changes are more affected by soil type and precipitation. With climate warming, permafrost is gradually melting, and the organic carbon stored within it may be released into the atmosphere. In the future, we should delve into carbon sequestration mechanisms, including the sources, transformation, migration, and storage of organic carbon, and clarify the physiological and metabolic mechanisms affecting terrestrial ecosystem carbon sinks [34].

5. Conclusions

Based on the daily NEP simulation data from 2010 to 2020 in China, along with meteorological station data, land-use data, and socioeconomic data, this study quantitatively analyzes and discusses the spatiotemporal evolution patterns of NEP across different geographical zones, and then the dominant driving factors of NEP evolution in each zone during different historical periods were determined. The main conclusions were as follows:
(1)
From 2010 to 2020, the spatial distribution of carbon sinks in China’s terrestrial ecosystems shows a general pattern of higher values in the southeast and lower values in the northwest. Both the spatial pattern and significant level of NEP changes exhibit a decreasing trend from southeast to northwest.
(2)
The spatial distribution patterns of NEP mean values across different historical periods are consistently similar, with higher values in the southeast and lower values in the northwest. From 2016 to 2020, vegetation demonstrated an improved carbon sink capacity compared to 2010–2015. Generally, the northeast, central-south, east, and southwest regions are carbon sinks, while the north China region is a weak carbon sink, and the northwest is predominantly a carbon source.
(3)
From 2010 to 2020, the annual mean NEP in different subregions showed an increasing trend, though the rate of growth varied among regions. Overall, the NEP in China’s terrestrial ecosystems demonstrated a trend in moving from lower to higher levels, indicating an increase in NEP over the past 11 years.
(4)
The NEP centroid migration trajectories vary across different regions.
(5)
From the perspective of three different time periods, the dominant factor affecting the spatial and temporal evolution of NEP in the northeastern and East China terrestrial ecosystems has consistently been temperature. In North China, the primary factors have always been temperature and soil type. For the northwest region, soil type is the main factor. In the southwest, the dominant factor shifted from soil type in 2010 to temperature in 2020. In the central-south region, the main factor changed from precipitation in 2010 to soil type in 2020.

Author Contributions

Conceptualization, methodology, and writing—original draft preparation, M.X. and B.G.; investigation, supervision, project administration, and funding acquisition, R.Z. All authors have read and agreed to the published version of the manuscript.

Funding

This research was funded by the National Natural Science Foundation of China (grant numbers: 42101306, 42301102, and 42071419), the Scientific Innovation Project for Young Scientists in Shandong Provincial Universities (grant number: 2022KJ224), the Natural Science Foundation of Shandong Province (grant number: ZR2021MD047), and the Gansu Youth Science and Technology Fund Program (grant numbers: 24JRRA100).

Data Availability Statement

The data that support the findings of this study are available from Bing Guo upon reasonable request.

Conflicts of Interest

The authors declare no conflicts of interest.

References

  1. Scrase, I.; Wang, T.; MacKerron, G.; McGowan, F.; Sorrell, S. Introduction: Climate policy is energy policy. In Energy for the Future: A New Agenda; Palgrave Macmillan: London, UK, 2009; pp. 3–19. [Google Scholar]
  2. Friedlingstein, P. Carbon cycle feedbacks and future climate change. Phil. Trans. R. Soc. A 2015, 373, 1471–2962. [Google Scholar] [CrossRef]
  3. Williams, R.G.; Katavouta, A.; Goodwin, P. Carbon-cycle feedbacks operating in the climate system. Curr. Clim. Chang. Rep. 2019, 5, 282–295. [Google Scholar] [CrossRef]
  4. Huang, Q.; Guo, Y.; Jiang, J.H.; Ming, B. Development Pathway of China’s Clean Electricity Under Carbon Peaking and Carbon Neutrality Goals. J. Shanghai Jiaotong Univ. 2021, 55, 1499–1509. [Google Scholar]
  5. Dong, Z.F.; Bi, F.F.; Ji, Y.Q. Current status, problems and suggestions of terrestrial ecosystems carbon sink in China. Sci. Technol. Rev. 2022, 40, 15–24. [Google Scholar]
  6. Dai, E.F.; Huang, Y.; Wu, Z.; Zhao, D.S. Sptial-temporal features of carbon source-sink and its relationship with climate factors in Inner Mongolia grassland ecosystem. Acta Geogr. Sin. 2016, 71, 21–34. [Google Scholar]
  7. Su, Y.Z.; Zhao, H.L. Advances in Researches on Soil Organic Carbon Storages, Affecting Factors and Its Environment Effects. J. Desert Res. 2002, 22, 19–27. [Google Scholar]
  8. Chen, X.J.; Zhou, W.; Yang, H. Simulation and dynamic change of carbon source/sink in the typical grassland communities in the Three River Source Area from 2001 to 2017. Arid Land Geogr. 2020, 43, 1583–1592. [Google Scholar]
  9. Chen, J.M.; Ju, W.M.; Ciais, P.; Viovy, N.; Liu, R.C.; Liu, Y.; Lu, X.H. Veg-tation stuctural chanmge since 1981 significanlly enhaned the lrstralcarbon sink. Nat. Commun. 2019, 10, 4259. [Google Scholar] [CrossRef] [PubMed]
  10. Fang, J.Y.; Guo, Z.D.; Pu, S.L.; Chen, A.P. Estimation of terrestrial vegetation carbon sink in China from 1981 to 2000. Sci. Sin. 2007, 37, 804–812. [Google Scholar]
  11. Chuai, X.W.; Qi, X.X.; Zhang, X.Y.; Li, J.S.; Yuan, Y.; Guo, X.M.; Huang, X.J.; Park, S.; Zhao, R.Q.; Xie, X.L.; et al. Land degradation monitoring using terrestrial ecosystem carbon sinks/sources and their response to climate change in China. Land Degrad. Dev. 2018, 29, 3489–3502. [Google Scholar] [CrossRef]
  12. Tao, B.; Li, K.R.; Shao, X.M.; Stephen, D. Interannual Variation in Terrestrial Ecosystem Carbon Fluxes in China from 1981 to 1998. Acta Bot. Sin. 2003, 45, 552–560. [Google Scholar]
  13. Gomes, E.; Inácio, M.; Bogdzevič, K.; Kalinauskas, M.; Karnauskait, D.; Pereira, P. Future land-use changes and its impacts on terrestrial ecosystem services: A review. Sci. Total Environ. 2021, 781, 146716. [Google Scholar] [CrossRef] [PubMed]
  14. Liu, G.; Liu, H.; Yin, Y. Global patterns of NDVI-indicated vegetation extremes and their sensitivity to climate extremes. Environ. Res. Lett. 2013, 8, 25009. [Google Scholar] [CrossRef]
  15. Watson, S.E.; Hauffe, H.C.; Bull, M.J.; Atwood, T.C.; Mckinney, M.A.; Pindo, M.; Perkins, S.E. Global change-driven use of onshore habitat impacts polar bear faecal microbiota. ISME J. 2019, 13, 2916–2926. [Google Scholar] [CrossRef] [PubMed]
  16. Zhao, N.; Zhou, L.; Zhuang, J.; Wang, Y.L.; Zhou, W.; Chen, J.J.; Song, J.; Ding, J.X.; Chi, Y.G. Integration analysis of the carbon sources and sinks in terrestrial ecosystems, China. Acta Ecol. Sin. 2021, 41, 7648–7658. [Google Scholar]
  17. Pan, Y.; Birdsey, R.A.; Fang, J.Y.; Houghton, R.; Kauppi, P.E.; Kurz, W.A.; Phillips, O.L.; Shvidenko, A.; Lewis, S.L.; Canadell, J.G.; et al. A large and persistent carbon sink in the world’s forests. Science 2011, 333, 988–993. [Google Scholar] [CrossRef]
  18. Lun, F.; Li, W.H.; Liu, Y. Complete forest carbon cycle and budget in China, 1999–2008. For. Ecol. Manag. 2012, 264, 81–89. [Google Scholar] [CrossRef]
  19. Xu, L.; Yu, G.R.; He, N.P. Increased soil organic carbon storage in Chinese terrestrial ecosystems from the 1980s to the 2010s. J. Geogr. Sci. 2019, 29, 49–66. [Google Scholar] [CrossRef]
  20. Ren, W.; Tian, H.Q.; Liu, M.L.; Zhang, C.; Chen, G.S.; Pan, S.F.; Felzer, B.; Xu, X.F. Effects of tropospheric ozone pollution on net primary productivity and carbon storage in terrestrial ecosystems of China. J. Geophys. Res.-Atmos. 2007, 112, D22S09. [Google Scholar] [CrossRef]
  21. White, E.D.; Rigby, M.; Lunt, M.F.; Smallman, T.L.; Comyn-Platt, E.; Manning, A.J.; Ganesan, A.L.; ODoherty, S.; Stavert, A.R.; Stanley, K.; et al. Quantifying the UK’s carbon dioxide flux: An atmospheric inverse modelling approach using a regional measurement network. Atmos. Chem. Phys. 2019, 19, 4345–4365. [Google Scholar] [CrossRef]
  22. Wang, K.; Piao, S.; He, Y.; Liu, Y.; He, H. Spatial variations and mechanisms for the stability of terrestrial carbon sink in China. Sci. Sin. 2023, 53, 216–226. [Google Scholar] [CrossRef]
  23. Zhou, G.S.; Zhou, M.Z.; Zhou, L.; Ji, Y.H. Advances in the carbon sink potential of terrestrial ecosystems in China. Chinese. Sci. Bull. 2022, 67, 3625–3632. [Google Scholar]
  24. Pu, S.L.; He, Y.; Wang, X.H.; Chen, F.H. Carbon sink estimation of terrestrial ecosystems in China: Methods, progress and prospects. Sci. Sin. 2022, 52, 1010–1020. [Google Scholar]
  25. Pu, S.L.; Yue, C.; Ding, J.Z.; Guo, Z.T. Role of Terrestrial Ecosystem Carbon Sequestration in ‘Carbon Neutralization’ Target. Sci. Sin. 2022, 52, 1419–1426. [Google Scholar]
  26. Tian, K.J.; Liu, X.; Zhang, B.B.; Wang, Z.T.; Xu, G.; Chang, K.; Xu, P.F.; Han, B.M. Analysis of Spatiotemporal Evolution and Influencing Factors of Vegetation Net Primary Productivity in the Yellow River Basin from 2000 to 2022. Sustainability 2024, 16, 381. [Google Scholar] [CrossRef]
  27. Tian, H.Q.; Melillo, J.; Lu, C.Q.; Kicklighter, D.; Liu, M.L.; Ren, W.; Xu, X.F.; Chen, G.S.; Zhang, C.; Pan, S.F.; et al. China’s terrestrial carbon balance: Contributions from multiple global change factors. Glob. Biogeochem. Cycles 2011, 25, GB1007. [Google Scholar] [CrossRef]
  28. Ji, J.J.; Huang, M.; Li, K.R. Prediction of carbon exchanges between China terrestrial ecosystem and atmosphere in 21st century. Sci. China Ser. D 2008, 51, 885–898. [Google Scholar] [CrossRef]
  29. Zhu, X.J.; Yu, G.R.; He, H.L.; Wang, Q.F.; Chen, Z.; Gao, Y.N.; Zhang, Y.P.; Zhang, J.H.; Yan, J.H.; Wang, H.M.; et al. Geographical statistical assessments of carbon fluxes in terrestrial ecosystems of China:results from upscaling network observations. Glob. Planet Chang. 2014, 118, 52–61. [Google Scholar] [CrossRef]
  30. Yu, H.Q. Carbon Accounting for Afforestation Project in the Plain Area of Beijing: A Case Study of Eastern Suburb Forest Park, Beijing. Ecol. Econ. 2022, 38, 110–115. [Google Scholar]
  31. Tian, H.Q.; Xu, X.F.; Lu, C.Q.; Liu, M.L.; Ren, W.; Chen, G.S.; Melillo, J.; Liu, J.Y. Net exchanges of CO2, CH4, and N2O between China’s terrestrial ecosystems and the atmosphere and their contributions to global climate warming. Geophys. Res. 2011, 116, G02011. [Google Scholar] [CrossRef]
  32. Piao, S.; Fang, J.; Ciais, P.; Peylin, P.; Huang, Y.; Sitch, S.; Wang, T. The carbon balance of terrestrial ecosystems in China. Nature 2009, 458, 1009–1013. [Google Scholar] [CrossRef] [PubMed]
  33. Yao, Y.; Li, Z.; Wang, T.; Chen, A.P.; Wang, X.H.; Du, M.Y.; Jia, G.S.; Li, Y.N.; Li, H.Q.; Luo, W.J.; et al. A new estimation of China’s net ecosystem productivity based on eddy covariance measurements and a model tree ensemble approach. Agric. For. Meteor. 2018, 253, 84–93. [Google Scholar] [CrossRef]
  34. Wang, X.G.; Lv, X.T.; Xi, F.M.; Liu, Z.H.; Liang, Y.; Gao, T.; Sun, T.; Yu, D.P.; Wang, C.; Ma, Q.; et al. Current status and research prospects of terrestrial ecosystem carbon sink in Northeast China. Chin. J. Appl. Ecol. 2024, 12, 1–17. [Google Scholar]
Figure 1. China’s geographical location and the distribution of six sub-regions. (I) Northeast China; (II) North China; (III) Northwest China; (IV) Southwest China; (V) Central-South region; and (VI) East China.
Figure 1. China’s geographical location and the distribution of six sub-regions. (I) Northeast China; (II) North China; (III) Northwest China; (IV) Southwest China; (V) Central-South region; and (VI) East China.
Forests 15 01484 g001
Figure 2. Spatial distribution of annual average NEP in China in recent 11 years.
Figure 2. Spatial distribution of annual average NEP in China in recent 11 years.
Forests 15 01484 g002
Figure 3. Proportion of NEP area in different grades.
Figure 3. Proportion of NEP area in different grades.
Forests 15 01484 g003
Figure 4. Interannual variation of NEP and carbon source/sink in China’s terrestrial ecosystem from 2010 to 2020.
Figure 4. Interannual variation of NEP and carbon source/sink in China’s terrestrial ecosystem from 2010 to 2020.
Forests 15 01484 g004
Figure 5. Annual variation of NEP in different sub-regions of China.
Figure 5. Annual variation of NEP in different sub-regions of China.
Forests 15 01484 g005
Figure 6. The migration trajectory of the NEP gravity center in six major regions of China. (a) Northeast; (b) North China; (c) East China; (d) Northwest; (e) Southwest; (f) and Central-South.
Figure 6. The migration trajectory of the NEP gravity center in six major regions of China. (a) Northeast; (b) North China; (c) East China; (d) Northwest; (e) Southwest; (f) and Central-South.
Forests 15 01484 g006aForests 15 01484 g006b
Figure 7. Transition matrix chord diagram in different periods. (a) 2010–2015 and (b) 2016~2020.
Figure 7. Transition matrix chord diagram in different periods. (a) 2010–2015 and (b) 2016~2020.
Forests 15 01484 g007
Figure 8. Spatial distribution of driving factors of NEP change in China’s terrestrial ecosystem from 2010 to 2020.
Figure 8. Spatial distribution of driving factors of NEP change in China’s terrestrial ecosystem from 2010 to 2020.
Forests 15 01484 g008
Figure 9. Contribution rate of climate change to NEP change in China’s terrestrial ecosystem from 2010 to 2020.
Figure 9. Contribution rate of climate change to NEP change in China’s terrestrial ecosystem from 2010 to 2020.
Forests 15 01484 g009
Figure 10. Spatial distribution of the contribution rate of human activities to NEP changes in terrestrial ecosystems in China from 2010 to 2020.
Figure 10. Spatial distribution of the contribution rate of human activities to NEP changes in terrestrial ecosystems in China from 2010 to 2020.
Forests 15 01484 g010
Figure 11. Partial correlation analysis and significance test between NEP of terrestrial ecosystem and climatic factors in China. (a1) The NEP of China’s terrestrial ecosystem is partially correlated with sunshine. (a2) The significance test of NEP and sunshine in the Chinese terrestrial ecosystem. (b1) The NEP of China’s terrestrial ecosystem is partially correlated with precipitation. (b2) The significance test of NEP and precipitation in China’s terrestrial ecosystem. (c1) The NEP of China’s terrestrial ecosystem is partially correlated with temperature. (c2) The significance test of NEP and temperature in the Chinese terrestrial ecosystem.
Figure 11. Partial correlation analysis and significance test between NEP of terrestrial ecosystem and climatic factors in China. (a1) The NEP of China’s terrestrial ecosystem is partially correlated with sunshine. (a2) The significance test of NEP and sunshine in the Chinese terrestrial ecosystem. (b1) The NEP of China’s terrestrial ecosystem is partially correlated with precipitation. (b2) The significance test of NEP and precipitation in China’s terrestrial ecosystem. (c1) The NEP of China’s terrestrial ecosystem is partially correlated with temperature. (c2) The significance test of NEP and temperature in the Chinese terrestrial ecosystem.
Forests 15 01484 g011aForests 15 01484 g011b
Figure 12. Detection results of factor interactions explaining NEP changes in different terrestrial ecosystem regions from 2010 to 2020. (a1) Northeast (2010); (a2) Northeast (2020); (b1) North China (2010); (b2) North China (2020); (c1) East China (2010); (c2) East China (2020); (d1) Northwest (2010); (d2) Northwest (2020); (e1) Southwest (2010); (e2) Southwest (2020); (f1) Central-South (2010); and (f2) Central-South (2020).
Figure 12. Detection results of factor interactions explaining NEP changes in different terrestrial ecosystem regions from 2010 to 2020. (a1) Northeast (2010); (a2) Northeast (2020); (b1) North China (2010); (b2) North China (2020); (c1) East China (2010); (c2) East China (2020); (d1) Northwest (2010); (d2) Northwest (2020); (e1) Southwest (2010); (e2) Southwest (2020); (f1) Central-South (2010); and (f2) Central-South (2020).
Forests 15 01484 g012aForests 15 01484 g012b
Table 1. Impacts of climate change and human activities on NEP of terrestrial ecosystems in China. The proportion of area divided by the impact of climate change and human activities on NEP of terrestrial ecosystems in China.
Table 1. Impacts of climate change and human activities on NEP of terrestrial ecosystems in China. The proportion of area divided by the impact of climate change and human activities on NEP of terrestrial ecosystems in China.
Relative Action ZoneArea Percentage (%)
Joint effects promote an increase in NEP42.58
Climate change promotes an increase in NEP14.14
Human activities promote an increase in NEP11.85
Joint effects cause a decrease in NEP14.93
Climate change causes a decrease in NEP8.72
Human activities cause a decrease in NEP7.78
Table 2. The contribution rate of climate change to NEP change in China’s terrestrial ecosystem from 2010 to 2020.
Table 2. The contribution rate of climate change to NEP change in China’s terrestrial ecosystem from 2010 to 2020.
Contribution (%)<−20−20~00~2020~4040~6060~80>80
Area percentage (%)14.0314.093.4440.706.896.7114.14
Table 3. The contribution rates of climate change to NEP changes in China’s terrestrial ecosystems from 2010 to 2020.
Table 3. The contribution rates of climate change to NEP changes in China’s terrestrial ecosystems from 2010 to 2020.
Contribution (%)<−20−20~00~2020~4040~6060~80>80
Area percentage (%)6.486.511.5972.603.183.106.53
Disclaimer/Publisher’s Note: The statements, opinions and data contained in all publications are solely those of the individual author(s) and contributor(s) and not of MDPI and/or the editor(s). MDPI and/or the editor(s) disclaim responsibility for any injury to people or property resulting from any ideas, methods, instructions or products referred to in the content.

Share and Cite

MDPI and ACS Style

Xu, M.; Guo, B.; Zhang, R. Variations of Terrestrial Net Ecosystem Productivity in China Driven by Climate Change and Human Activity from 2010 to 2020. Forests 2024, 15, 1484. https://doi.org/10.3390/f15091484

AMA Style

Xu M, Guo B, Zhang R. Variations of Terrestrial Net Ecosystem Productivity in China Driven by Climate Change and Human Activity from 2010 to 2020. Forests. 2024; 15(9):1484. https://doi.org/10.3390/f15091484

Chicago/Turabian Style

Xu, Mei, Bing Guo, and Rui Zhang. 2024. "Variations of Terrestrial Net Ecosystem Productivity in China Driven by Climate Change and Human Activity from 2010 to 2020" Forests 15, no. 9: 1484. https://doi.org/10.3390/f15091484

APA Style

Xu, M., Guo, B., & Zhang, R. (2024). Variations of Terrestrial Net Ecosystem Productivity in China Driven by Climate Change and Human Activity from 2010 to 2020. Forests, 15(9), 1484. https://doi.org/10.3390/f15091484

Note that from the first issue of 2016, this journal uses article numbers instead of page numbers. See further details here.

Article Metrics

Back to TopTop