Expansion of Naturally Grown Phyllostachys edulis (Carrière) J. Houzeau Forests into Diverse Habitats: Rates and Driving Factors
Abstract
1. Introduction
2. Materials and Methods
2.1. Study Area
2.2. Additional Patches of Moso Bamboo
2.3. Expansion Index and Mechanism
2.4. Database on Meteorological, Soil, and Terrain Factors
2.5. Habitat Classification
2.6. Geo-Detector Based on Optimization Parameters
3. Results
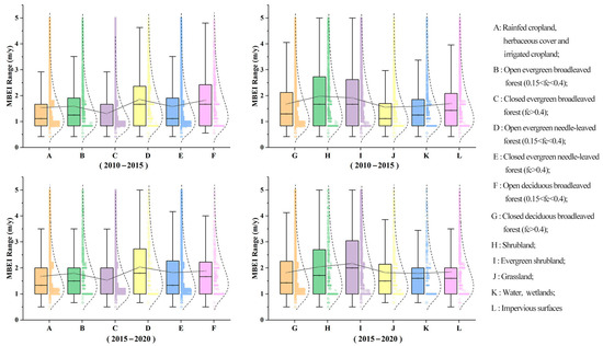
3.1. Moso Bamboo Expansion Index in Habitat
3.2. Factor Detector for MBEI
3.3. Interaction Detector for MBEI
4. Discussion
4.1. Different Rates of Expansion into Various Habitats
4.2. Significance of Climate, Soil, and Topography on Expansion Rate
4.3. Enhancement Interaction of Environmental Factors for Expansion Rate
4.4. Limitation and Future Direction
5. Conclusions
Author Contributions
Funding
Data Availability Statement
Acknowledgments
Conflicts of Interest
Appendix A
denotes enhance_nonlinear,
denotes enhance_bi. (A: rainfed cropland, herbaceous cover, and irrigated cropland; B: open evergreen broadleaved forest (0.15 < fc < 0.4); C: closed evergreen broadleaved forest (fc > 0.4); D: open evergreen needle-leaved forest (0.15 < fc < 0.4); E: closed evergreen needle-leaved forest (fc > 0.4); F: open deciduous broadleaved forest (0.15 < fc < 0.4); G: closed deciduous broadleaved forest (fc > 0.4); H: shrubland; I: evergreen shrubland; J: grassland; K: water, wetlands; and L: impervious surfaces.).
denotes enhance_nonlinear,
denotes enhance_bi. (A: rainfed cropland, herbaceous cover, and irrigated cropland; B: open evergreen broadleaved forest (0.15 < fc < 0.4); C: closed evergreen broadleaved forest (fc > 0.4); D: open evergreen needle-leaved forest (0.15 < fc < 0.4); E: closed evergreen needle-leaved forest (fc > 0.4); F: open deciduous broadleaved forest (0.15 < fc < 0.4); G: closed deciduous broadleaved forest (fc > 0.4); H: shrubland; I: evergreen shrubland; J: grassland; K: water, wetlands; and L: impervious surfaces.).| ID | Rank | Factor | Inter_ Value | Inter- Action | ID | Rank | Factor | Inter_ Value | Inter- Action | ID | Rank | Factor | Inter_ Value | Inter- Action |
|---|---|---|---|---|---|---|---|---|---|---|---|---|---|---|
| A | 1 | d1∩d2 | 0.779 | ![]() | B | 1 | c∩b2 | 0.822 | ![]() | C | 1 | d1∩d2 | 0.775 | ![]() |
| 2 | a3∩d2 | 0.707 | ![]() | 2 | a2∩b2 | 0.593 | ![]() | 2 | a4∩d2 | 0.744 | ![]() | |||
| 3 | a2∩d2 | 0.705 | ![]() | 3 | a4∩b2 | 0.486 | ![]() | 3 | a2∩d2 | 0.741 | ![]() | |||
| 4 | a1∩d2 | 0.678 | ![]() | 4 | a1∩b2 | 0.472 | ![]() | 4 | a1∩d2 | 0.682 | ![]() | |||
| 5 | b1∩d1 | 0.677 | ![]() | 5 | b3∩b2 | 0.447 | ![]() | 5 | f1∩d2 | 0.614 | ![]() | |||
| 6 | a3∩d1 | 0.664 | ![]() | 6 | a2∩c | 0.427 | ![]() | 6 | f2∩d2 | 0.611 | ![]() | |||
| 7 | d1∩a2 | 0.649 | ![]() | 7 | f7∩b2 | 0.426 | ![]() | 7 | e2∩d2 | 0.611 | ![]() | |||
| 8 | a1∩d1 | 0.649 | ![]() | 8 | f1∩b2 | 0.426 | ![]() | 8 | a3∩d2 | 0.603 | ![]() | |||
| 9 | a4∩d2 | 0.648 | ![]() | 9 | f2∩b2 | 0.426 | ![]() | 9 | f3∩d2 | 0.602 | ![]() | |||
| 10 | f3∩d2 | 0.629 | ![]() | 10 | f6∩b2 | 0.426 | ![]() | 10 | d1∩a4 | 0.601 | ![]() | |||
| D | 1 | b1∩e3 | 0.373 | ![]() | E | 1 | b1∩d1 | 0.492 | ![]() | F | 1 | b1∩g2 | 0.482 | ![]() |
| 2 | a3∩c | 0.354 | ![]() | 2 | d1∩d2 | 0.489 | ![]() | 2 | a1∩g2 | 0.476 | ![]() | |||
| 3 | d1∩c | 0.351 | ![]() | 3 | a3∩d2 | 0.468 | ![]() | 3 | b3∩g2 | 0.468 | ![]() | |||
| 4 | a2∩c | 0.331 | ![]() | 4 | a2∩d2 | 0.453 | ![]() | 4 | a1∩d2 | 0.455 | ![]() | |||
| 5 | d1∩e3 | 0.322 | ![]() | 5 | a4∩d2 | 0.453 | ![]() | 5 | g1∩a3 | 0.447 | ![]() | |||
| 6 | a1∩c | 0.313 | ![]() | 6 | a1∩d2 | 0.434 | ![]() | 6 | g2∩a4 | 0.444 | ![]() | |||
| 7 | a3∩e3 | 0.307 | ![]() | 7 | a3∩d1 | 0.432 | ![]() | 7 | g2∩f4 | 0.444 | ![]() | |||
| 8 | e4∩a3 | 0.291 | ![]() | 8 | b1∩a3 | 0.424 | ![]() | 8 | g1∩g2 | 0.437 | ![]() | |||
| 9 | f1∩a3 | 0.291 | ![]() | 9 | d1∩a2 | 0.416 | ![]() | 9 | a3∩g2 | 0.433 | ![]() | |||
| 10 | f2∩a3 | 0.288 | ![]() | 10 | b1∩a2 | 0.414 | ![]() | 10 | a3∩f4 | 0.429 | ![]() | |||
| G | 1 | d1∩d2 | 0.431 | ![]() | H | 1 | b3∩d2 | 0.883 | ![]() | I | 1 | b1∩d1 | 0.881 | ![]() |
| 2 | a3∩di | 0.418 | ![]() | 2 | b3∩b2 | 0.880 | ![]() | 2 | d1∩c | 0.876 | ![]() | |||
| 3 | a3∩d2 | 0.412 | ![]() | 3 | b1∩d1 | 0.876 | ![]() | 3 | d1∩b2 | 0.864 | ![]() | |||
| 4 | a4∩d2 | 0.404 | ![]() | 4 | a4∩d2 | 0.870 | ![]() | 4 | d1∩a4 | 0.859 | ![]() | |||
| 5 | d1∩a2 | 0.404 | ![]() | 5 | a3∩d2 | 0.861 | ![]() | 5 | d1∩a2 | 0.858 | ![]() | |||
| 6 | a2∩d2 | 0.399 | ![]() | 6 | a2∩d2 | 0.851 | ![]() | 6 | d1∩d2 | 0.857 | ![]() | |||
| 7 | d1∩a4 | 0.391 | ![]() | 7 | b2∩d2 | 0.850 | ![]() | 7 | d1∩b3 | 0.856 | ![]() | |||
| 8 | a4∩b2 | 0.38 | ![]() | 8 | g1∩b2 | 0.821 | ![]() | 8 | a1∩d1 | 0.855 | ![]() | |||
| 9 | a2∩b2 | 0.371 | ![]() | 9 | a4∩b2 | 0.815 | ![]() | 9 | a3∩d1 | 0.853 | ![]() | |||
| 10 | a3∩b2 | 0.367 | ![]() | 10 | c∩b2 | 0.806 | ![]() | 10 | d1∩g2 | 0.850 | ![]() | |||
| J | 1 | b1∩b2 | 0.750 | ![]() | K | 1 | a1∩d2 | 0.898 | ![]() | L | 1 | c∩b2 | 0.656 | ![]() |
| 2 | b1∩b3 | 0.735 | ![]() | 2 | a3∩d2 | 0.879 | ![]() | 2 | e4∩c | 0.643 | ![]() | |||
| 3 | b1∩d1 | 0.719 | ![]() | 3 | a2∩d2 | 0.877 | ![]() | 3 | f6∩c | 0.643 | ![]() | |||
| 4 | b1∩a4 | 0.718 | ![]() | 4 | a3∩g2 | 0.853 | ![]() | 4 | d1∩c | 0.641 | ![]() | |||
| 5 | f3∩b1 | 0.718 | ![]() | 5 | e4∩d2 | 0.851 | ![]() | 5 | f3∩c | 0.636 | ![]() | |||
| 6 | b1∩a3 | 0.717 | ![]() | 6 | d1∩d2 | 0.851 | ![]() | 6 | d1∩d2 | 0.628 | ![]() | |||
| 7 | b1∩e3 | 0.715 | ![]() | 7 | f2∩d2 | 0.851 | ![]() | 7 | f3∩d1 | 0.624 | ![]() | |||
| 8 | b1∩f4 | 0.713 | ![]() | 8 | f7∩d2 | 0.851 | ![]() | 8 | a2∩c | 0.622 | ![]() | |||
| 9 | d1∩d2 | 0.712 | ![]() | 9 | f3∩d2 | 0.851 | ![]() | 9 | b1∩d1 | 0.618 | ![]() | |||
| 10 | b1∩a2 | 0.711 | ![]() | 10 | f6∩d2 | 0.851 | ![]() | 10 | f2∩c | 0.615 | ![]() |


References
- MacDougall, A.S.; Gilbert, B.; Levine, J.M. Plant invasions and the niche. J. Ecol. 2009, 97, 609–615. [Google Scholar] [CrossRef]
- Vitousek, P.M.; Walker, L.R.; Whiteaker, L.D.; Mueller-Dombois, D.; Matson, P.A. Biological invasion by myrica faya alters ecosystem development in Hawaii. Science 1987, 238, 802–804. [Google Scholar] [CrossRef]
- Foxcroft, L.C.; Pickett, S.T.; Cadenasso, M.L. Expanding the conceptual frameworks of plant invasion ecology. Perspect. Plant. Ecol. 2011, 13, 89–100. [Google Scholar] [CrossRef]
- Simberloff, D.; Von, H.B. Positive interactions of nonindigenous species: Invasional meltdown? Biol. Invasions. 1999, 1, 21–32. [Google Scholar] [CrossRef]
- Valéry, L.; Fritz, H.; Lefeuvre, J.C.; Simberloff, D. In search of a real definition of the biological invasion phenomenon itself. Biol. Invasions 2008, 10, 1345–1351. [Google Scholar] [CrossRef]
- Valéry, L.; Fritz, H.; Lefeuvre, J.C.; Simberloff, D. Invasive species can also be native. Trends Ecol. Evol. 2009, 24, 585. [Google Scholar] [CrossRef]
- Lacerda, A.E.B. Understanding the long-term impact of bamboos on secondary forests: A case for bamboo management in southern brazi. Diversity 2021, 13, 567. [Google Scholar] [CrossRef]
- Greig, C.; Robertson, C.; Lacerda, A.E.B. Spectral-temporal modelling of bamboo-dominated forest succession in the Atlantic Forest of Southern Brazil. Ecol. Model. 2018, 384, 316–332. [Google Scholar] [CrossRef]
- Montti, L.; Villagra, M.; Campanello, P.I.; Gatti, M.G.; Goldstein, G. Functional traits enhance invasiveness of bamboos over co-occurring tree saplings in the semideciduous Atlantic Forest. Acta Oecologica 2014, 54, 36–44. [Google Scholar] [CrossRef]
- Ibáñez, I.; Petri, L.; Barnett, D.T.; Beaury, E.M.; Blumenthal, D.M.; Corbin, J.D.; Diez, J.; Dukes, J.S.; Early, R.; Pearse, I.S.; et al. Combining local, landscape, and regional geographies to assess plant community vulnerability to invasion impact. Ecol. Appl. 2023, 33, e2821. [Google Scholar] [CrossRef]
- Dai, L.; Wang, Y.; Su, D.; Zhou, L.; Yu, D.; Lewis, B.J.; Qi, L. Major forest types and the evolution of sustainable forestry in China. Environ. Manag. 2011, 48, 1066–1078. [Google Scholar] [CrossRef] [PubMed]
- Wenhua, L. Degradation and restoration of forest ecosystems in China. For. Ecol. Manag. 2004, 201, 33–41. [Google Scholar] [CrossRef]
- Bai, S.; Wang, Y.; Conant, R.; Zhou, G.; Xu, Y.; Wang, N.; Fang, F.; Chen, J. Can native clonal moso bamboo encroach on adjacent natural forest without human intervention? Sci. Rep. 2016, 6, 31504. [Google Scholar] [CrossRef]
- Lima, R.A.; Rother, D.C.; Muler, A.E.; Lepsch, I.F.; Rodrigues, R.R. Bamboo overabundance alters forest structure and dynamics in the Atlantic Forest hotspot. Biol. Conserv. 2012, 147, 32–39. [Google Scholar] [CrossRef]
- Long, K.; Yin, R.; Kardol, P.; Wei, Q.; Li, Y.; Huang, J. Bamboo invasion alters Collembola community composition varying with life-forms. Pest Manag. Sci. 2023, 79, 2517–2526. [Google Scholar] [CrossRef]
- Song, Q.N.; Lu, H.; Liu, J.; Yang, J.; Yang, G.Y.; Yang, Q.P. Accessing the impacts of bamboo expansion on NPP and N cycling in evergreen broadleaved forest in subtropical China. Sci. Rep. 2017, 7, 40383. [Google Scholar] [CrossRef]
- Liu, C.; Zhou, Y.; Qin, H.; Liang, C.; Shao, S.; Fuhrmann, J.J.; Chen, J.; Xu, Q. Moso bamboo invasion has contrasting effects on soil bacterial and fungal abundances, co-occurrence networks and their associations with enzyme activities in three broadleaved forests across subtropical China. For. Ecol. Manag. 2021, 498, 119549. [Google Scholar] [CrossRef]
- Tong, R.; Zhou, B.; Jiang, L.; Cao, Y.; Ge, X.; Yang, Z. Influence of Moso bamboo invasion on forest plants and soil: A review. Acta Ecol. Sinica. 2019, 39, 3808–3815. [Google Scholar] [CrossRef]
- Wei, Q.; Yin, R.; Huang, J.; Vogler, A.P.; Li, Y.; Miao, X.; Kardol, P. The diversity of soil mesofauna declines after bamboo invasion in subtropical China. Sci. Total Environ. 2021, 789, 147982. [Google Scholar] [CrossRef]
- Fang, H.; Liu, Y.; Bai, J.; Li, A.; Deng, W.; Bai, T.; Liu, X.; Lai, M.; Feng, Y.; Zhang, J.; et al. Impact of Moso Bamboo (Phyllostachys edulis) expansion into Japanese cedar plantations on soil fungal and bacterial community compositions. Forests 2022, 13, 1190. [Google Scholar] [CrossRef]
- Zhang, M.; Wang, W.; Bai, S.H.; Xu, Z.; Yun, Z.; Zhang, W. Linking Phyllostachys edulis (moso bamboo) growth with soil nitrogen cycling and microbial community of plant-soil system: Effects of plant age and niche differentiation. Ind. Crops. Prod. 2022, 177, 114520. [Google Scholar] [CrossRef]
- Li, S.; Xie, D.; Ge, X.; Dong, W.; Luan, J. Altered diversity and functioning of soil and root-associated microbiomes by an invasive native plant. Plant. Soil. 2022, 473, 235–249. [Google Scholar] [CrossRef]
- Meng, M.; Lin, J.; Guo, X.; Liu, X.; Wu, J.; Zhao, Y.; Zhang, J. Impacts of forest conversion on soil bacterial community composition and diversity in subtropical forests. Catena 2019, 175, 167–173. [Google Scholar] [CrossRef]
- Jin, W.; Tu, J.; Wu, Q.; Peng, L.; Xing, J.; Liang, C.; Shao, S.; Chen, J.; Xu, Q.; Qin, H. Moso bamboo expansion decreased soil heterotrophic respiration but increased arbuscular mycorrhizal mycelial respiration in a subtropical broadleaved forest. For. Ecosyst. 2023, 10, 100116. [Google Scholar] [CrossRef]
- Okutomi, K.; Shinoda, S.; Fukuda, H. Causal analysis of the invasion of broad-leaved forest by bamboo in Japan. J. Veg. Sci. 1996, 7, 723–728. [Google Scholar] [CrossRef]
- Yu, L.; Wei, J.; Li, D.; Zhong, Y.; Zhang, Z. Explaining Landscape Levels and Drivers of Chinese Moso Bamboo Forests Based on the Plus Model. Forests 2023, 14, 397. [Google Scholar] [CrossRef]
- Lieurance, D.; Cooper, A.; Young, A.L.; Gordon, D.R.; Flory, S.L. Running bamboo species pose a greater invasion risk than clumping bamboo species in the continental United States. J. Nat. Conserv. 2018, 43, 39–45. [Google Scholar] [CrossRef]
- Canavan, S.; Richardson, D.M.; Visser, V.; Roux, J.J.L.; Vorontsova, M.S.; Wilson, J.R. The global distribution of bamboos: Assessing correlates of introduction and invasion. Aob. Plants. 2017, 9, plw078. [Google Scholar] [CrossRef]
- Chen, X.; Zhang, Y.; Zhang, Y.; Booth, T.; He, X. Changes of carbon stocks in bamboo stands in China during 100 years. For. Ecol. Manag. 2009, 258, 1489–1496. [Google Scholar] [CrossRef]
- Chen, X.; Zhang, Y.; Zhang, X.; Guo, Y. Carbon stock changes in bamboo stands in China over the last 50 years. Acta Ecol. Sinica. 2008, 28, 5218–5227. [Google Scholar] [CrossRef]
- Du, H.; Mao, F.; Li, X.; Zhou, G.; Xu, X.; Han, N.; Sun, S.; Gao, G.; Gui, L.; Li, Y.; et al. Mapping global bamboo forest distribution using multisource remote sensing data. IEEE J. Stars. 2018, 11, 1458–1471. [Google Scholar] [CrossRef]
- Zhang, Y. A study of the effects of climatic fluctuation on Chinese fir and bamboo ecological environment in subtropical regions in China. Q. J. Appl. Meteorol. 1995, 6, 75–82. [Google Scholar]
- Ge, Z.; Huang, S.; Ouyang, M.; Luan, F.; Fang, X.; Yang, Q.; Liu, J.; Song, Q. Stand Characteristics Rather than Soil Properties Contribute More to the Expansion of Moso Bamboo (Phyllostachys edulis) into Its Neighboring Forests in Subtropical Region. Forests 2022, 13, 2159. [Google Scholar] [CrossRef]
- Suzuki, S.; Nakagoshi, N. Expansion of bamboo forests caused by reduced bamboo-shoot harvest under different natural and artificial conditions. Ecol. Res. 2008, 23, 641–647. [Google Scholar] [CrossRef]
- Dong, C. Study on growth effect on new stands of Phyllostachys heterocycla cv. Pubescens through rhizome expanding and growing. J. Bamboo Res. 2003, 22, 30–33. [Google Scholar]
- Cao, Y.; Zhou, B.; Wang, X.; Wang, G. The photosynthetic characteristics of Moso bamboo (Phyllostachys pubescens) for different canopy leaves. Adv. Mater. Res. 2013, 726, 4274–4279. [Google Scholar] [CrossRef]
- National Forestry and Grassland Administration National Park Administration. Chinese bamboo: The Most Abundant Resources and the Most Ambitious Industry. 8 November 2022. Available online: https://www.forestry.gov.cn/c/www/ggscy/32007.jhtml (accessed on 10 August 2024).
- GBT 26424-2010; Technical Regulations for Inventory for Forest Management Planning and Design. National Technical Committee on Forest Resources Standardization: Beijing, China, 2010.
- Zhou, B.; Fu, M. Review on bamboo’s underground rhizome-root system research. For. Res. 2004, 17, 8. [Google Scholar] [CrossRef]
- Courant, R.; John, F. The Fundamental Ideas of the Integral and Differential Calculus. In Introduction to Calculus and Analysis; Springer: New York, NY, USA, 1989; Volume I, p. 141. [Google Scholar] [CrossRef]
- Chen, Y.; Wang, Y.; Zou, Y.; Yang, Y. Assessment of Forest Type Data in Global Land Cover Products over China. Remote Sens. Tech. Appl. 2023, 38, 341–352. [Google Scholar]
- Wang, J.F.; Li, X.H.; Christakos, G.; Liao, Y.L.; Zhang, T.; Gu, X.; Zheng, X.Y. Geographical detectors-based health risk assessment and its application in the neural tube defects study of the Heshun Region, China. Int. J. Geogr. Inf. Sci. 2010, 24, 107–127. [Google Scholar] [CrossRef]
- Chen, J.; Wu, T.; Zou, D.; Liu, L.; Wu, X.; Gong, W.; Zhu, X.; Li, R.; Hao, J.; Hu, G.; et al. Magnitudes and patterns of large-scale permafrost ground deformation revealed by Sentinel-1 InSAR on the central Qinghai-Tibet Plateau. Remote Sens. Environ. 2022, 268, 112778. [Google Scholar] [CrossRef]
- Hou, M.; Deng, Y.; Yao, S. Coordinated relationship between urbanization and grain production in China: Degree measurement, spatial differentiation and its factors detection. J. Clean. Prod. 2022, 331, 129957. [Google Scholar] [CrossRef]
- Yang, M.; Shi, L.; Liu, B. Risks assessment and driving forces of urban environmental accident. J. Clean. Prod. 2022, 340, 130710. [Google Scholar] [CrossRef]
- Song, Y.; Wang, J.; Ge, Y.; Xu, C. An optimal parameters-based geographical detector model enhances geographic characteristics of explanatory variables for spatial heterogeneity analysis: Cases with different types of spatial data. GISci. Remote Sens. 2020, 57, 593–610. [Google Scholar] [CrossRef]
- Isagi, Y.; Torii, A. Range Expansion and Its Mechanisms in a Naturalized Bamboo Species, Phyllostachys pubescens, in Japan. J. Sustain. For. 1997, 6, 127–141. [Google Scholar] [CrossRef]
- Hierro, J.L.; Maron, J.L.; Callaway, R.M. A biogeographical approach to plant invasions: The importance of studying exotics in their introduced and native range. J. Ecol. 2004, 93, 5–15. [Google Scholar] [CrossRef]
- Davis, M.; Grime, J.P.; Thompson, K. Fluctuating resources in plant communities: A general theory of invasibility. J. Ecol. 2005, 88, 528–534. [Google Scholar] [CrossRef]
- Gao, P.; Chen, S.; Guo, Z.; Yang, Q. Comparison of photosynthetic light response models of Sophora flavescens and Catsia tora under Phyllostachys edulis seedlings. For. Res. 2018, 31, 156–163. [Google Scholar] [CrossRef]
- Ying, W.; Jin, J.; Jiang, H.; Zhang, X.; Lu, X.; Chen, X.; Zhang, J. Satellite-based detection of bamboo expansion over the past 30 years in Mount Tianmushan, China. Int. J. Remote Sens. 2016, 37, 2908–2922. [Google Scholar] [CrossRef]
- Vilà, M.; Espinar, J.L.; Hejda, M.; Hulme, P.E.; Jarošík, V.; Maron, J.L.; Pergl, J.; Schaffner, Y.; Yan Sun, Y.; Pyšek, P. Ecological impacts of invasive alien plants: A meta-analysis of their effects on species, communities and ecosystems. Ecol. Lett. 2011, 14, 702–708. [Google Scholar] [CrossRef]
- Lou, Y.; Fan, Y.; Dai, Q.; Wang, Z.; Weipeng, K.U.; Zhao, M. Relationship between vertical structure and overall species diversity in an evergreen deciduous broad-leaved forest community of tianmu mountain natural reserve. Acta Ecol. Sinica. 2021, 41, 8568–8577. [Google Scholar] [CrossRef]
- Zeng, X.; Luo, H.; Lu, J.; Zhu, X.; He, Y.; Gong, C.; Ren, Z.; Huang, D.; Song, Q.; Yang, Q. The Process of Patchy Expansion for Bamboo (Phyllostachys edulis) at the Bamboo–Broadleaf Forest Interface: Spreading and Filling in Order. Forests 2024, 15, 438. [Google Scholar] [CrossRef]
- Li, X.; Mao, F.; Du, H.; Zhou, G.; Xing, L.; Liu, T.; Han, N.; Liu, Y.; Zhu, D.; Zheng, J.; et al. Spatiotemporal evolution and impacts of climate change on bamboo distribution in China. J. Environ. Manag. 2019, 248, 109265. [Google Scholar] [CrossRef] [PubMed]
- Li, Y.; Chen, S.; Li, Y.; Xie, S. Research Review in the Effects of Climate Factors on Bamboo Growth. J. Bamboo Res. 2011, 30, 9–12+17. [Google Scholar]
- Long, C.; Li, Y.; Zhu, X.; Mu, B. Characteristics of solar radiation energy in communities at different successional stages in karst forests. Guizhou Meteorol. 1998, 5, 22–25. (In Chinese) [Google Scholar]
- Yang, Z.; Yue, C.; Wang, K. Analysis on Causes of Photosynthetic Midday-depress in Camellia sinensis Leaves. J. Zhejiang. For. Sci. Tech. 2022, 3, 74–76+83. [Google Scholar] [CrossRef]
- He, Q.; Ye, H.; Li, P.; Tong, X.; Hua, X. Effect of Light Intensity on Growth of Potted Ornamental Bamboo. J. Zhejiang Forest Sci. Tech. 2007, 2, 51–53. [Google Scholar] [CrossRef]
- Liu, S.; Zhou, G.; Bai, S. Light intensity changes on Cunninghamia lanceolata in mixed stands with different concentrations of Phyllostachys pubescens. J. Zhejiang A. For. Univ. 2011, 28, 550–554. [Google Scholar]
- Wang, Y.; Wang, K.; Zhang, Y.; Qiao, Y. Lack of gas exchange for CO in B. bractis2Response to concentration and light intensity. J. Northwest For. Uni. 2008, 1+6–9+13. [Google Scholar] [CrossRef]
- Ojo, A.R.; Sadiku, N.A. Slenderness coefficient and growth characteristics of Africa giant bamboo: Bambusa vulgaris Schrad. ex JC Wendl. Adv. Bamboo Sci. 2023, 2, 100017. [Google Scholar] [CrossRef]
- Gagnon, P.R.; Platt, W.J.; Moser, E.B. Response of a native bamboo [Arundinaria gigantea (Walt.) Muhl.] in a wind-disturbed forest. For. Ecol. Manag. 2007, 241, 288–294. [Google Scholar] [CrossRef]
- Luo, W.; Zhang, Q.; Wang, P.; Luo, J.; She, C.; Guo, X.; Yuan, J.; Sun, Y.; Guo, R.; Li, Z.; et al. Unveiling the impacts moso bamboo invasion on litter and soil properties: A meta-analysis. Sci. Total Environ. 2024, 909, 168532. [Google Scholar] [CrossRef]
- Zhang, X.; Gao, G.; Wu, Z.; Wen, X.; Zhong, H.; Zhong, Z.; Yang, C.; Bian, F.; Gai, X. Responses of soil nutrients and microbial communities to intercropping medicinal plants in moso bamboo plantations in subtropical China. Environ. Sci. Pollut. Res. 2020, 27, 2301–2310. [Google Scholar] [CrossRef]
- Chu, H.; Ni, H.; Su, W.; Fan, S.; Long, Y.; Sun, Y. Enhanced Nitrogen Fertilizer Input Alters Soil Carbon Dynamics in Moso Bamboo Forests, Impacting Particulate Organic and Mineral-Associated Carbon Pools. Forests 2023, 14, 2460. [Google Scholar] [CrossRef]
- Mao, X.; Zheng, J.; Yu, W.; Guo, X.; Xu, K.; Zhao, R.; Xioa, L.; Wang, M.; Jiang, Y.; Zhang, S.; et al. Climate-induced shifts in composition and protection regulate temperature sensitivity of carbon decomposition through soil profile. Soil Biol. Biochem. 2022, 172, 108743. [Google Scholar] [CrossRef]
- Ding, Z.; Wang, L.; Liu, X.; Xu, X. Productivity of Phyllostachys pubescens stands and soil nutrient in Huoshan of Anhui. Non Wood For. Res. 2011, 29, 72–76. [Google Scholar] [CrossRef]
- Li, C.; Shi, Y.; Zhou, G.; Zhou, Y.; Xu, L.; Tong, L.; Liu, X. Effects of different management approaches on soil carbon dynamics in Moso bamboo forest ecosystems. Catena 2018, 169, 59–68. [Google Scholar] [CrossRef]
- Li, T.; Dong, W.; Zheng, J.; Liu, J.; Li, B.; Zhong, F. A Study on Site Condition of Phyllostachys nigra Stand of Technology Utilization. World Bamboo Ratt. 2007, 4, 17–21. [Google Scholar]
- Zhang, H.; Zhang, T.; Deng, D.; Zhuang, W. The Research Progress on Interactions Between Soil and the Ecological Effect of Bamboo. J. Sichuan For. Sci. Tech. 2015, 36, 17–22. [Google Scholar] [CrossRef]
- Torii, A. Estimation of range expansion rate of bamboo stands using aerial photographs—Case study on Mt. Hachiman, Shiga Prefecture, and Mt. Otoko, Kyoto Prefecture, Japan. Jpn. J. Ecol. 1998, 48, 37–47. (In Japanese) [Google Scholar]
- Ohno, T. A study of the patterns of bamboo forest expansion in Kishiwada city, Osaka. J. Jpn Inst. Landsc. 2002, 65, 603–608. (In Japanese) [Google Scholar] [CrossRef]
- Swanson, F.J.; Kratz, T.K.; Caine, N.; Woodmansee, R.G. Landform effects on ecosystem patterns and processes. BioScience 1988, 38, 92–98. [Google Scholar] [CrossRef]
- Takano, K.T.; Hibino, K.; Numata, A.; Oguro, M.; Aiba, M.; Shiogama, H.; Takayabu, I.; Nakashizuka, T. Detecting latitudinal and altitudinal expansion of invasive bamboo Phyllostachys edulis and Phyllostachys bambusoides (poaceae) in japan to project potential habitats under 1.5 °C–4.0 °C global warming. Ecol. Evol. 2017, 7, 9848–9859. [Google Scholar] [CrossRef]
- Shi, P.; Preisler, H.K.; Quinn, B.K.; Zhao, J.; Huang, W.; Röll, A.; Cheng, X.; Li, H.; Hölscher, D. Precipitation is the most crucial factor determining the distribution of moso bamboo in mainland china. Glob. Ecol. Conserv. 2020, 22, e00924. [Google Scholar] [CrossRef]
- Linger, E.; Hogan, J.A.; Cao, M.; Zhang, W.F.; Yang, X.F.; Hu, Y.H. Precipitation influences on the net primary productivity of a tropical seasonal rainforest in Southwest China: A 9-year case study. For. Ecol. Manag. 2020, 467, 118153. [Google Scholar] [CrossRef]
- Zhou, X.; Geng, X.; Yin, G.; Hänninen, H.; Hao, F.; Zhang, X.; Fu, Y.H. Legacy effect of spring phenology on vegetation growth in temperate China. Agr. For. Meteorol. 2020, 281, 107845. [Google Scholar] [CrossRef]
- Zeng, X.; Hu, Z.; Chen, A.; Yuan, W.; Hou, G.; Han, D.; Liang, M.; Di, K.; Cao, R.; Luo, D. The global decline in the sensitivity of vegetation productivity to precipitation from 2001 to 2018. Glob. Change Biol. 2022, 28, 6823–6833. [Google Scholar] [CrossRef] [PubMed]
- Fernández-de-Uña, L.; McDowell, N.G.; Canellas, I.; Gea-Izquierdo, G. Disentangling the effect of competition, co2 and climate on intrinsic water-use efficiency and tree growth. J. Ecol. 2016, 104, 678–690. [Google Scholar] [CrossRef]
- Wu, X.P.; Liu, S.; Luan, J.; Wang, Y.; Gao, X.; Chen, C. Nitrogen addition alleviates drought effects on water status and growth of Moso bamboo (Phllostachys edulis). For. Ecol. Manag. 2023, 530, 120768. [Google Scholar] [CrossRef]
- Fuke, P.; Kumar, M.; Sawarkar, A.D.; Pandey, A.; Singh, L. Role of microbial diversity to influence the growth and environmental remediation capacity of bamboo: A review. Ind. Crop. Prod. 2021, 167, 113567. [Google Scholar] [CrossRef]
- Yang, S.J.; Sun, M.; Zhang, Y.J.; Cochard, H.; Cao, K.F. Strong leaf morphological, anatomical, and physiological responses of a subtropical woody bamboo (Sinarundinaria nitida) to contrasting light environments. Plant Ecol. 2014, 215, 97–109. [Google Scholar] [CrossRef]
- Xue, J.; Wang, Z.; Lv, X. A review of the interaction between tree roots and soil environment. J. Nanjing For. Univ. (Nat. Sci.). 2022, 3, 79–84. (In Chinese) [Google Scholar]
- Li, Y.; Yang, Q.; Guo, Z.; Chen, S.; Hu, J. Damage characteristics of Phyllostachys edulis stands under continuous high temperature and drought. For. Res. 2015, 28, 646–653. [Google Scholar] [CrossRef]






| Variables | Id | Detailed Indicators | Unit | Resolution | Data Source |
|---|---|---|---|---|---|
| Temperature | a1 | ≥10 °C accumulated temperature | °C | 500 m | Eographic Data Sharing Infrastructure, global gis resources data cloud (www.gis5g.com, (accessed on 1 August 2023)) |
| a2 | Annual mean temperature | °C | 1 km | Loess Plateau SubCenter, National Earth System Science Data Center, National Science & Technology Infrastructure of China (http://loess.geodata.cn, (accessed on 1 August 2023)) | |
| a3 | Annual mean minimum temperature | °C | 1 km | ||
| a4 | Annual mean maximum temperature | °C | 1 km | ||
| Moisture | b1 | Annual precipitation | mm | 1 km | |
| b2 | Relative humidity | 1% | 1 km | Global resources data cloud (www.gis5g.com, (accessed on 1 August 2023)) | |
| b3 | Potential mean evapotranspiration | mm | 1 km | National Science & Technology Infrastructure of China (http://loess.geodata.cn, (accessed on 1 August 2023)) | |
| Atmosphere | c | Near-surface wind speed | m/s | 1 km | National Earth System Science Data Center, National Science & Technology Infrastructure of China (http://www.geodata.cn, (accessed on 1 August 2023)) |
| Light | d1 | Surface solar radiation | W/m2 | 10 km | National Tibetan Plateau Data Center, 10.11888/Meteoro.tpdc.271023 |
| d2 | Sunshine duration | h | 1 km | Global resources data cloud (www.gis5g.com, (accessed on 1 August 2023)) |
| Variables | ID | Detailed Indicators | Unit | Resolution | Data Source |
|---|---|---|---|---|---|
| Physical Properties of Soil | e1 | Dominant soil unit | 1 km | The Food and Agriculture Organization of the United Nations and International Institute for Applied Systems Analysis Rome and Laxenburg, 2023, Harmonized World Soil Database version 2.0 | |
| e2 | Texture class | 1 km | |||
| e3 | Reference bulk density | g/cm3 | 1 km | ||
| e4 | AWC for root-able soil depth | mm | 1 km | ||
| Chemical Properties of Soil | f1 | Organic carbon content | % weight | 1 km | |
| f2 | Total nitrogen content | g/kg | 1 km | SIS China: Soil Information System of China (http://www.soilinfo.cn/map/, (accessed on 1 August 2023)) | |
| f3 | Total phosphorus content | % weight | 1 km | ||
| f4 | Total potassium content | % weight | 1 km | Harmonized World Soil Database version 2.0 | |
| f5 | pH in water | −log(H+) | 1 km | ||
| f6 | Base saturation as percentage of CECsoil | % of CECsoil | 1 km | ||
| f7 | Cation exchange capacity of the soil | cmolc/kg | 1 km | ||
| Terrain | g1 | Elevation | m | 30 m | Alospalsar (https://search.asf.alaska.edu/#/, (accessed on 1 August 2023)) |
| g2 | Slope | 0.01° | 30 m |
| ID | Classification System | SWAT Code | ID | Classification System | SWAT Code |
|---|---|---|---|---|---|
| T | All expansion areas of moso bamboo | ||||
| A | Rainfed cropland, herbaceous cover, and irrigated cropland | AGRL | G | Closed deciduous broadleaved forest (fc > 0.4) | FRSD |
| B | Open evergreen broadleaved forest (0.15 < fc < 0.4) | FRSE | H | Shrubland | RNGB |
| C | Closed evergreen broadleaved forest (fc > 0.4) | FRSE | I | Evergreen shrubland | RNGB |
| D | Open evergreen needle-leaved forest (0.15 < fc < 0.4) | FRSE | J | Grassland | HAY |
| E | Closed evergreen needle-leaved forest (fc > 0.4) | FRSE | K | Water, wetlands | WETL |
| F | Open deciduous broadleaved forest (0.15 < fc < 0.4) | FRSD | L | Impervious surfaces | URBN |
| Criterion | Interaction |
|---|---|
| q(X1 ∩ X2) < Min(q(X1), q(X2)) | Weaken_nonlinear |
| Min(q(X1), q(X2)) < q(X1 ∩ X2) < Max(q(X1), q(X2)) | Single-factor nonlinear weaken |
| q(X1 ∩ X2) > Max(q(X1), q(X2)) | Enhance_bi |
| q(X1 ∩ X2) = q(X1) + q(X2) | Independent |
| q(X1 ∩ X2) > q(X1) + q(X2) | Enhance_nonlinear |
| Type ID | Habitat Types | Number of Patches | Area (km2) | Proportion | MBEI Value (m/y) | ||
|---|---|---|---|---|---|---|---|
| 2010–2015 | 2015–2020 | Mean | |||||
| T | All expansion areas of moso bamboo | 2,756,739 | 1578.81 | 100.00% | 1.25 | 1.47 | 1.36 |
| A | Rainfed cropland, herbaceous cover, and irrigated cropland | 456,724 | 158.66 | 10.05% | 1.54 | 1.68 | 1.61 |
| B | Open evergreen broadleaved forest (0.15 < fc < 0.4) | 2980 | 0.80 | 0.05% | 1.59 | 1.80 | 1.69 |
| C | Closed evergreen broadleaved forest (fc > 0.4) | 1,931,768 | 1019.57 | 64.58% | 1.31 | 1.53 | 1.42 |
| D | Open evergreen needle-leaved forest (0.15 < fc < 0.4) | 1013 | 0.26 | 0.02% | 1.85 | 2.04 | 1.94 |
| E | Closed evergreen needle-leaved forest (fc > 0.4) | 3,448,928 | 230.30 | 14.59% | 1.58 | 1.83 | 1.70 |
| F | Closed deciduous broadleaved forest (fc > 0.4) | 1238 | 0.28 | 0.02% | 1.82 | 1.88 | 1.85 |
| G | Shrubland | 1,224,226 | 157.87 | 10.00% | 1.68 | 1.83 | 1.75 |
| H | Evergreen shrubland | 1846 | 0.69 | 0.04% | 1.98 | 2.05 | 2.01 |
| I | Grassland | 18,106 | 7.42 | 0.47% | 1.91 | 2.17 | 2.04 |
| J | Water, wetlands | 2686 | 0.62 | 0.04% | 1.55 | 1.83 | 1.69 |
| K | Impervious surfaces | 1905 | 0.55 | 0.03% | 1.59 | 1.80 | 1.69 |
| L | Closed deciduous broadleaved forest (fc > 0.4) | 8784 | 1.79 | 0.11% | 1.70 | 1.85 | 1.77 |
Disclaimer/Publisher’s Note: The statements, opinions and data contained in all publications are solely those of the individual author(s) and contributor(s) and not of MDPI and/or the editor(s). MDPI and/or the editor(s) disclaim responsibility for any injury to people or property resulting from any ideas, methods, instructions or products referred to in the content. |
© 2024 by the authors. Licensee MDPI, Basel, Switzerland. This article is an open access article distributed under the terms and conditions of the Creative Commons Attribution (CC BY) license (https://creativecommons.org/licenses/by/4.0/).
Share and Cite
Wei, J.; Zhong, Y.; Li, D.; Deng, J.; Liu, Z.; Zhang, S.; Chen, Z. Expansion of Naturally Grown Phyllostachys edulis (Carrière) J. Houzeau Forests into Diverse Habitats: Rates and Driving Factors. Forests 2024, 15, 1482. https://doi.org/10.3390/f15091482
Wei J, Zhong Y, Li D, Deng J, Liu Z, Zhang S, Chen Z. Expansion of Naturally Grown Phyllostachys edulis (Carrière) J. Houzeau Forests into Diverse Habitats: Rates and Driving Factors. Forests. 2024; 15(9):1482. https://doi.org/10.3390/f15091482
Chicago/Turabian StyleWei, Juan, Yongde Zhong, Dali Li, Jinyang Deng, Zejie Liu, Shuangquan Zhang, and Zhao Chen. 2024. "Expansion of Naturally Grown Phyllostachys edulis (Carrière) J. Houzeau Forests into Diverse Habitats: Rates and Driving Factors" Forests 15, no. 9: 1482. https://doi.org/10.3390/f15091482
APA StyleWei, J., Zhong, Y., Li, D., Deng, J., Liu, Z., Zhang, S., & Chen, Z. (2024). Expansion of Naturally Grown Phyllostachys edulis (Carrière) J. Houzeau Forests into Diverse Habitats: Rates and Driving Factors. Forests, 15(9), 1482. https://doi.org/10.3390/f15091482

