Inhibition of Soil Wind-Erosion and Dust by Shelterbelts in the Hilly Area of Loess Plateau and Its Influencing Factors
Abstract
1. Introduction
2. Materials and Methods
2.1. Study Site
2.2. Sampling Plots’ Set-Up
2.3. Data Collection
2.4. Stand Structure Indicators
2.5. Inhibition of Wind-Erosion Dust Indicators
2.6. Statistical Analysis
3. Results
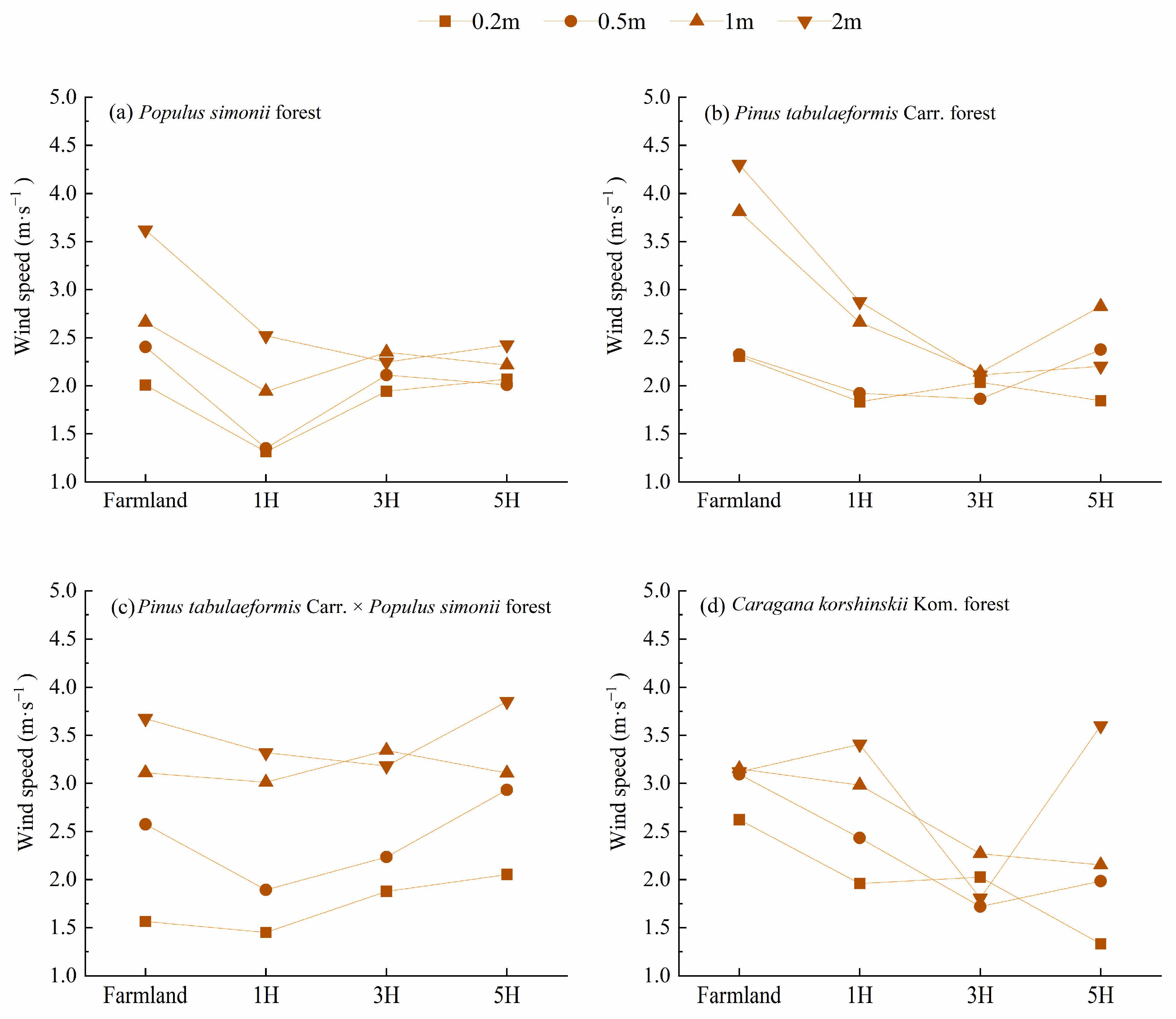
3.1. Stand Structure and Soil Response to Different Stand Types of Shelterbelts
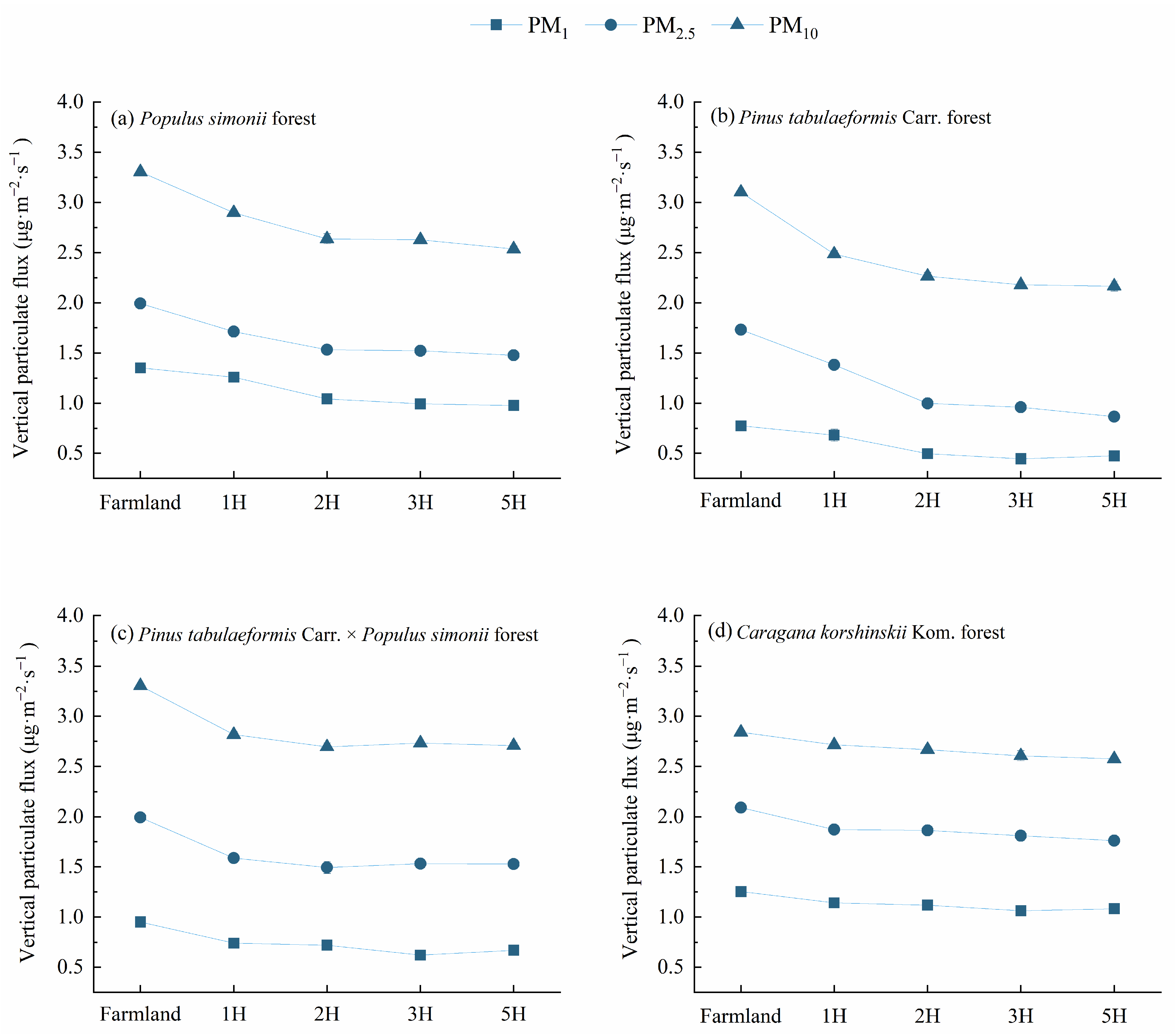
3.2. Wind-Eroded Dust Removal Efficiency of Different Stand Types
3.3. Effects of Stand Type, Stand Structure and Soil Characteristics on Wind-Eroded Dust
4. Discussion
4.1. Stand Structures and Soil Properties of the Four Types of Shelterbelts
4.2. Characteristics of Wind-Eroded Dust and Reduction Rates of Particulate Matter in Different Shelterbelts
4.3. Influencing Factors of Wind Erosion and Dust
5. Conclusions
Author Contributions
Funding
Data Availability Statement
Acknowledgments
Conflicts of Interest
References
- Kelley, M.C.; Ardon-Dryer, K. Analyzing two decades of dust events on the Southern Great Plains region of West Texas. Atmos. Pollut. Res. 2021, 12, 101091. [Google Scholar] [CrossRef]
- Liu, T.Y.; Duan, F.K.; Ma, Y.L.; Ma, T.; Zhang, Q.Q.; Xu, Y.Z.; Li, F.; Huang, T.; Kimoto, T.; Zhang, Q.; et al. Classification and sources of extremely severe sandstorms mixed with haze pollution in Beijing. Environ. Pollut. 2023, 322, 121154. [Google Scholar] [CrossRef]
- Csavina, J.; Field, J.; Félix, O.; Corral-Avitia, A.Y.; Sáez, A.E.; Betterton, E.A. Effect of wind speed and relative humidity on atmospheric dust concentrations in semi-arid climates. Sci. Total Environ. 2014, 487, 82–90. [Google Scholar] [CrossRef] [PubMed]
- Alvarez, C.A.; Carbajal, N. Regions of influence and environmental effects of Santa Ana wind event. Air Qual. Atmos. Health 2019, 12, 1019–1034. [Google Scholar] [CrossRef]
- Joshi, J.R. Quantifying the impact of cropland wind erosion on air quality: A high-resolution modeling case study of an Arizona dust storm. Atmos. Environ. 2021, 263, 118658. [Google Scholar] [CrossRef]
- Dhital, S.; Webb, N.P.; Chappell, A.; Kaplan, M.L.; Nauman, T.W.; Tyree, G.; Duniway, M.C.; Edwards, B.; Legrand, S.L.; Letcher, T.W.; et al. Synoptic Analysis and WRF-Chem Model Simulation of Dust Events in the Southwestern United States. J. Geophys. Res.-Atmos. 2024, 129, e2023JD040650. [Google Scholar] [CrossRef]
- Rezaei, M.; Sameni, A.; Shamsi, S.R.F.; Bartholomeus, H. Remote sensing of land use/cover changes and its effect on wind erosion potential in southern Iran. PeerJ 2016, 4, e1948. [Google Scholar] [CrossRef]
- Miri, A.; Webb, N.P. The impact of a multiple-row Tamarix windbreak on grain size parameters of aeolian sand flux. Soil Sci. Soc. Am. J. 2024, 88, 482–497. [Google Scholar] [CrossRef]
- Yang, X.G.; Li, F.R.; Fan, W.Y.; Liu, G.W.; Yu, Y. Evaluating the efficiency of wind protection by windbreaks based on remote sensing and geographic information systems. Agrofor. Syst. 2021, 95, 353–365. [Google Scholar] [CrossRef]
- Cong, L.; Zhang, H.; Zhai, J.X.; Yan, G.X.; Wu, Y.N.; Wang, Y.; Ma, W.M.; Zhang, Z.M.; Chen, P.J. The blocking effect of atmospheric particles by forest and wetland at different air quality grades in Beijing China. Environ. Technol. 2020, 41, 2266–2276. [Google Scholar] [CrossRef]
- Nauman, T.W.; Munson, S.M.; Dhital, S.; Webb, N.P.; Duniway, M.C. Synergistic soil, land use, and climate influences on wind erosion on the Colorado Plateau: Implications for management. Sci. Total Environ. 2023, 893, 164605. [Google Scholar] [CrossRef]
- Zhai, J.J.; Wang, L.; Liu, Y.; Wang, C.Y.; Mao, X.G. Assessing the effects of China’s Three-North Shelter Forest Program over 40 years. Sci. Total Environ. 2023, 857, 159354. [Google Scholar] [CrossRef]
- Li, H.L.; Wang, Y.D.; Li, S.Y.; Askar, A.; Wang, H.F. Shelter Efficiency of Various Shelterbelt Configurations: A Wind Tunnel Study. Atmosphere 2022, 13, 1022. [Google Scholar] [CrossRef]
- Zhang, X.L.; Buddhika, J.W.G.; Wang, J.Y.; Weerasuriya, A.U.; Tse, K.T. Numerical investigation of effects of trees on cross-ventilation of an isolated building. J. Build. Eng. 2023, 73, 106808. [Google Scholar] [CrossRef]
- Vacek, Z.; Rehácek, D.; Cukor, J.; Vacek, S.; Khel, T.; Sharma, R.P.; Kucera, J.; Král, J.; Papaj, V. Windbreak Efficiency in Agricultural Landscape of the Central Europe: Multiple Approaches to Wind Erosion Control. Environ. Manag. 2018, 62, 942–954. [Google Scholar] [CrossRef] [PubMed]
- Krasovitov, B.; Fominykh, A.; Levy, A.; Kleeorin, N.; Katra, I. Dry deposition of dust particles during medium- and high-level dust storms to a forest canopy in a semi-arid region. Atmos. Pollut. Res. 2021, 12, 101058. [Google Scholar] [CrossRef]
- Li, H.; Yan, Z.F.; Zhang, Z.M.; Lang, J.C.; Wang, X.D. A Numerical Study of the Effect of Vegetative Windbreak on Wind Erosion over Complex Terrain. Forests 2022, 13, 1072. [Google Scholar] [CrossRef]
- Du, H.Q.; Liu, X.L.; Ding, R.Q.; Fan, Y.W.; Liu, X.F. New insights into dust emission mechanism in natural environments based on a series of field observations. Sci. Total Environ. 2024, 914, 169888. [Google Scholar] [CrossRef] [PubMed]
- Liu, J.Y.; Zheng, B.H. A Simulation Study on the Influence of Street Tree Configuration on Fine Particulate Matter (PM2.5) Concentration in Street Canyons. Forests 2023, 14, 1550. [Google Scholar] [CrossRef]
- Polinko, A.D.; Willis, J.L.; Sharma, A.; Guldin, J.M. Stand-level structural characteristics dictate hurricane resistance and resilience more than silvicultural regime in longleaf pine woodlands. For. Ecol. Manag. 2022, 526, 120585. [Google Scholar] [CrossRef]
- Miri, A.; Webb, N.P. Characterizing the spatial variations of wind velocity and turbulence intensity around a single Tamarix tree. Geomorphology 2022, 414, 108382. [Google Scholar] [CrossRef]
- Miri, A.; Davidson-Arnott, R. The effectiveness of a single Tamarix tree in reducing aeolian erosion in an arid region. Agric. For. Meteorol. 2021, 300, 108324. [Google Scholar] [CrossRef]
- Chang, X.M.; Sun, L.B.; Yu, X.X.; Liu, Z.Q.; Jia, G.D.; Wang, Y.S.; Zhu, X.H. Windbreak efficiency in controlling wind erosion and particulate matter concentrations from farmlands. Agric. Ecosyst. Environ. 2021, 308, 107269. [Google Scholar] [CrossRef]
- Xiong, J.W.; Li, J.; Gao, F.; Zhang, Y. City Wind Impact on Air Pollution Control for Urban Planning with Different Time-Scale Considerations: A Case Study in Chengdu, China. Atmosphere 2023, 14, 1068. [Google Scholar] [CrossRef]
- Tarodiya, R.; Krasovitov, B.; Kleeorin, N.; Levy, A.; Katra, I. Numerical study of dry deposition of dust-PM10 on leaves of coniferous forest. Atmos. Pollut. Res. 2023, 14, 101859. [Google Scholar] [CrossRef]
- Zhang, B.H.; Qu, Z.Q.; Lv, S.J.; Han, G.D.; Gao, C.P.; Wilkes, A.; Li, J.R.; Li, Z.G.; Wang, S.H.; Wang, R.; et al. Grazing effects on total carbon and nitrogen content of wind-eroded soils in desert steppe. Land Degrad. Dev. 2023, 15, 5328–5342. [Google Scholar] [CrossRef]
- Wang, R.D.; Zhou, N.; Li, Q.; Chang, C.P.; Guo, Z.L.; Li, J.F. Difference in wind erosion characteristics between loamy and sandy farmlands and the implications for soil dust emission potential. Land Degrad. Dev. 2018, 29, 4362–4372. [Google Scholar] [CrossRef]
- Wang, Y.S.; Wang, D.D.; Yu, X.X.; Jia, G.D.; Chang, X.M.; Sun, L.L.; Zheng, P.F.; Qiu, Y.X. Emissions of biological soil crust particulate matter and its proportion in total wind erosion. Land Degrad. Dev. 2022, 33, 3118–3132. [Google Scholar] [CrossRef]
- Dong, L.; Wang, J.; Li, J.R.; Wu, Y.T.; Zheng, Y.; Zhang, J.H.; Li, Z.Y.; Yin, R.P.; Liang, C.Z. Assessing the impact of grazing management on wind erosion risk in grasslands: A case study on how grazing affects aboveground biomass and soil particle composition in Inner Mongolia. Glob. Ecol. Conserv. 2022, 40, e02344. [Google Scholar] [CrossRef]
- Liu, Q.Y.; Li, J.F.; Guo, Z.L.; Chang, C.P.; Wang, H.M. The Relationships between Root Traits and the Soil Erodibility of Farmland Shelterbelts in the Bashang Region of China. Forests 2023, 14, 1827. [Google Scholar] [CrossRef]
- Luo, J.N.; Huang, F.X.; Gao, S.; Liu, S.; Liu, R.X.; Devasthale, A. Satellite Monitoring of the Dust Storm over Northern China on 15 March 2021. Atmosphere 2022, 13, 157. [Google Scholar] [CrossRef]
- Lackóová, L.; Pokryvková, J.; Dufková, J.K.; Policht-Latawiec, A.; Michalowska, K.; Dabrowska, J. Long-Term Impact of Wind Erosion on the Particle Size Distribution of Soils in the Eastern Part of the European Union. Entropy 2021, 23, 935. [Google Scholar] [CrossRef] [PubMed]
- Wei, J.; Li, Z.; Lyapustin, A.; Wang, J.; Dubovik, O.; Schwartz, J.; Sun, L.; Li, C.; Liu, S.; Zhu, T. First close insight into global daily gapless 1 km PM2.5 pollution, variability, and health impact. Nat. Commun. 2023, 14, 8349. [Google Scholar] [CrossRef] [PubMed]
- Casallas, A.; Cabrera, A.; Guevara-Luna, M.A.; Tompkins, A.; González, Y.; Aranda, J.; Belalcazar, L.C.; Mogollon-Sotelo, C.; Celis, N.; Lopez-Barrera, E.; et al. Air pollution analysis in Northwestern South America: A new Lagrangian framework. Sci. Total Environ. 2024, 906, 167350. [Google Scholar] [CrossRef] [PubMed]
- Wen, Y.X.; Tong, R.; Zhang, H.; Feng, K.Q.; Song, R.; Wang, G.G.; Wu, T.G. N addition decreased stand structure diversity in young but increased in middle-aged Metasequoia glyptostroboides plantations. Glob. Ecol. Conserv. 2021, 30, e01803. [Google Scholar] [CrossRef]
- Sterba, H.; Dirnberger, G.; Ritter, T. The Contribution of Forest Structure to Complementarity in Mixed Stands of Norway Spruce (Picea abies L. Karst) and European Larch (Larix decidua Mill.). Forests 2018, 9, 410. [Google Scholar] [CrossRef]
- Weng, X.X.; Guo, Y.P.; Tang, Z.Y. Spatial-temporal dependence of the neighborhood interaction in regulating tree growth in a tropical rainforest. For. Ecol. Manag. 2022, 508, 120032. [Google Scholar] [CrossRef]
- Mendez, M.J.; Funk, R.; Buschiazzo, D.E. Field wind erosion measurements with Big Spring Number Eight (BSNE) and Modified Wilson and Cook (MWAC) samplers. Geomorphology 2011, 129, 43–48. [Google Scholar] [CrossRef]
- Hong, J.; Lee, M.; Huh, W.; Kim, T.K.; Jeon, J.; Lee, H.; Kim, K.; Byeon, S.; Park, C.; Kim, H.S. Comparisons of PM2.5 mitigation with stand characteristics between evergreen Korean pine plantations and deciduous broad-leaved forests in the Republic of Korea. Environ. Pollut. 2023, 334, 122240. [Google Scholar] [CrossRef]
- Forrester, D.I. Linking forest growth with stand structure: Tree size inequality, tree growth or resource partitioning and the asymmetry of competition. For. Ecol. Manag. 2019, 447, 139–157. [Google Scholar] [CrossRef]
- Han, D.H.; Shen, H.L.; Duan, W.B.; Chen, L.X. A review on particulate matter removal capacity by urban forests at different scales. Urban For. Urban Green. 2020, 48, 126565. [Google Scholar] [CrossRef]
- Zhang, J.M.; Yu, X.X.; Jia, G.D.; Liu, Z.Q. Determination of optimum vegetation type and layout for soil wind erosion control in desertified land in North China. Ecol. Eng. 2021, 171, 106383. [Google Scholar] [CrossRef]
- Cao, J.; Chen, Y.P.; Jiang, Y.; Chen, J.S.; Zhang, Y.Y.; Wu, J.H. Different Responses of Soil Moisture to Different Artificial Forest Species on the Loess Plateau. Sustainability 2023, 15, 14275. [Google Scholar] [CrossRef]
- Wu, Y.X.; Yu, X.X.; Jia, G.D. Seasonal Variation of Soil Erodibility Under Vegetation Restoration in the Agro-pastoral Ecotone of Northern China. J. Soil Sci. Plant Nutr. 2023, 23, 2331–2343. [Google Scholar] [CrossRef]
- Torshizi, M.R.; Miri, A.; Shahriari, A.; Dong, Z.B.; Davidson-Arnott, R. The effectiveness of a multi-row Tamarix windbreak in reducing aeolian erosion and sediment flux, Niatak area, Iran. J. Environ. Manag. 2020, 265, 110486. [Google Scholar] [CrossRef] [PubMed]
- Treminio, R.S.; Webb, N.P.; Edwards, B.L.; Faist, A.; Newingham, B.; Kachergis, E. Spatial Patterns and Controls on Wind Erosion in the Great Basin. J. Geophys. Res.-Biogeosci. 2024, 129, e2023JG007792. [Google Scholar] [CrossRef]
- Niu, F.R.; Pierce, N.A.; Okin, G.S.; Archer, S.R.; Fischella, M.R.; Nadoum, S. Sandblasting promotes shrub encroachment in arid grasslands. New Phytol. 2023, 240, 1817–1829. [Google Scholar] [CrossRef]
- Guevara-Macías, M.D.; Pineda-Martínez, L.F.; Carbajal, N. A descriptive study of dust storms and air quality in a semi-arid region of Mexico. Air Qual. Atmos. Health 2023, 16, 1645–1660. [Google Scholar] [CrossRef]
- Ardon-Dryer, K.; Kelley, M.C. Particle size distribution and particulate matter concentrations during synoptic and convective dust events in West Texas. Atmos. Chem. Phys. 2022, 22, 9161–9173. [Google Scholar] [CrossRef]
- Siegmund, N.; Panebianco, J.E.; Avecilla, F.; Iturri, L.A.; Sommer, M.; Buschiazzo, D.E.; Funk, R. From Gustiness to Dustiness-The Impact of Wind Gusts on Particulate Matter Emissions in Field Experiments in La Pampa, Argentina. Atmosphere 2022, 13, 1173. [Google Scholar] [CrossRef]








| Populus simonii | Pinus tabulaeformis Carr. | Pinus tabulaeformis Carr. × Populus simonii | Caragana korshinskii Kom. | |
|---|---|---|---|---|
| OP | 0.46 ± 0.05 a | 0.26 ± 0.07 ab | 0.38 ± 0.04 ab | 0.16 ± 0.04 b |
| CD | 0.43 ± 0.05 b | 0.74 ± 0.10 a | 0.54 ± 0.10 ab | 0.38 ± 0.10 b |
| CV | 0.35 ± 0.02 a | 0.20 ± 0.02 b | 0.26 ± 0.05 ab | 0.28 ± 0.05 ab |
| SD | 730.56 ± 92.12 a | 955.00 ± 202.08 a | 675.00 ± 59.51 a | 583.33 ± 106.39 a |
| RHD | 63.09 ± 4.42 a | 58.00 ± 5.25 ab | 43.26 ± 4.12 b | 4.12 ± 0.23 c |
| CE | 1.26 ± 0.18 a | 0.65 ± 0.12 a | 1.12 ± 0.56 a | 1.02 ± 0.08 a |
| NCI | 0.62 ± 0.03 ab | 0.77 ± 0.06 a | 0.61 ± 0.03 b | 0.63 ± 0.03 ab |
| CR | 607.56 ± 37.56 ab | 465.20 ± 48.20 b | 664.00 ± 58.13 a | 164.67 ± 19.64 c |
| TN | 0.48 ± 0.03 a | 0.48 ± 0.05 a | 0.51 ± 0.13 a | 0.36 ± 0.07 a |
| SOC | 11.47 ± 0.89 a | 12.06 ± 1.42 a | 13.28 ± 2.59 a | 14.88 ± 2.92 a |
| MWD | 1.53 ± 0.26 a | 2.13 ± 0.26 a | 1.34 ± 0.49 a | 0.83 ± 0.28 a |
| SMC | 12.45 ± 1.58 a | 12.31 ± 1.93 a | 9.94 ± 2.49 a | 10.66 ± 1.86 a |
| SBD | 1.41 ± 0.03 a | 1.38 ± 0.04 a | 1.38 ± 0.03 a | 1.44 ± 0.01 a |
| Model | Coefficient | Standard Error | t | Significance |
|---|---|---|---|---|
| intercept | 12.047 | 5.9578 | 2.022 | 0.068 |
| A | 1.412 | 4.6008 | 0.307 | 0.765 |
| B | 9.427 | 4.7448 | 1.987 | 0.072 |
| C | 2.626 | 3.572 | 0.735 | 0.478 |
| D | 0 b | - | - | - |
| OP | 0.901 | 8.4039 | 0.107 | 0.917 |
| CV | −57.499 | 10.3193 | −5.572 | 0 |
| RHD | 0.042 | 0.0532 | 0.792 | 0.445 |
| MWD | 5.968 | 1.5507 | 3.848 | 0.003 |
| SOC | 0.336 | 0.2879 | 1.169 | 0.267 |
| CD | 10.573 | 6.2184 | 1.7 | 0.117 |
Disclaimer/Publisher’s Note: The statements, opinions and data contained in all publications are solely those of the individual author(s) and contributor(s) and not of MDPI and/or the editor(s). MDPI and/or the editor(s) disclaim responsibility for any injury to people or property resulting from any ideas, methods, instructions or products referred to in the content. |
© 2024 by the authors. Licensee MDPI, Basel, Switzerland. This article is an open access article distributed under the terms and conditions of the Creative Commons Attribution (CC BY) license (https://creativecommons.org/licenses/by/4.0/).
Share and Cite
Yan, B.; Cui, Y.; Fan, M.; Li, Z.; Sun, L.; Chang, X. Inhibition of Soil Wind-Erosion and Dust by Shelterbelts in the Hilly Area of Loess Plateau and Its Influencing Factors. Forests 2024, 15, 1413. https://doi.org/10.3390/f15081413
Yan B, Cui Y, Fan M, Li Z, Sun L, Chang X. Inhibition of Soil Wind-Erosion and Dust by Shelterbelts in the Hilly Area of Loess Plateau and Its Influencing Factors. Forests. 2024; 15(8):1413. https://doi.org/10.3390/f15081413
Chicago/Turabian StyleYan, Bing, Yue Cui, Mingyuan Fan, Zhixue Li, Libo Sun, and Xiaomin Chang. 2024. "Inhibition of Soil Wind-Erosion and Dust by Shelterbelts in the Hilly Area of Loess Plateau and Its Influencing Factors" Forests 15, no. 8: 1413. https://doi.org/10.3390/f15081413
APA StyleYan, B., Cui, Y., Fan, M., Li, Z., Sun, L., & Chang, X. (2024). Inhibition of Soil Wind-Erosion and Dust by Shelterbelts in the Hilly Area of Loess Plateau and Its Influencing Factors. Forests, 15(8), 1413. https://doi.org/10.3390/f15081413
