Effects of Tree Leaf Color on Human Physical and Mental Recovery from a Looking-Up Perspective
Abstract
1. Introduction
2. Materials and Methods
2.1. Experimental Images
2.2. Participants
2.3. Experimental Procedure
2.4. Measurements
2.5. Statistical Analysis
3. Results
3.1. Analysis of Demographic Characteristics
3.2. Emotional Restoration Ability
3.3. PRS Analysis
3.4. Blood Pressure and Pulse Analysis
3.5. EEG Analysis
4. Discussion
4.1. Demographics
4.2. Physiological Recovery
4.3. Psychological Recovery
4.4. Preferences
4.5. Research Limitations
5. Conclusions
Supplementary Materials
Author Contributions
Funding
Data Availability Statement
Acknowledgments
Conflicts of Interest
References
- Arnberger, A.; Eder, R. Are urban visitors’ general preferences for green-spaces similar to their preferences when seeking stress relief? Urban For. Urban Green. 2015, 14, 872–882. [Google Scholar] [CrossRef]
- Macaskill, A. The mental health of university students in the United Kingdom. Br. J. Guid. Couns. 2013, 41, 426–441. [Google Scholar] [CrossRef]
- Lin, W.; Chen, Q.; Jiang, M.; Zhang, X.; Liu, Z.; Tao, J.; Wu, L.; Xu, S.; Kang, Y.; Zeng, Q. The effect of green space behaviour and per capita area in small urban green spaces on psychophysiological responses. Landsc. Urban Plan. 2019, 192, 103637. [Google Scholar] [CrossRef]
- Cao, S.; Song, C.; Jiang, S.; Luo, H.; Zhang, P.; Huang, Y.; Yu, J.; Li, K.; Li, N.; Guo, B. Effects of Urban Greenway Environmental Types and Landscape Characteristics on Physical and Mental Health Restoration. Forests 2024, 15, 679. [Google Scholar] [CrossRef]
- Su, Q.; Xin, Z.-Q. The Research on Restorative Environments: Theories, Methods and Advances. Adv. Psychol. Sci. 2010, 18, 177. [Google Scholar]
- Hansmann, R.; Hug, S.-M.; Seeland, K. Restoration and stress relief through physical activities in forests and parks. Urban For. Urban Green. 2007, 6, 213–225. [Google Scholar] [CrossRef]
- Li, K.; Zhai, Y.; Zhang, Y.; Song, Q.; Luo, X.; Liu, J.-J. Effects of indoor foliage plants on college students’ work attention recovery: An experiment focusing on plant characteristics. Eur. J. Hortic. Sci 2021, 86, 642–650. [Google Scholar] [CrossRef]
- Elsadek, M.; Sun, M.; Fujii, E. Psycho-physiological responses to plant variegation as measured through eye movement, self-reported emotion and cerebral activity. Indoor Built Environ. 2017, 26, 758–770. [Google Scholar] [CrossRef]
- Haigh, C.A.; Witham, G.; Thompson, J.; Wood, H. Green environments and their effect upon hospital users. Int. J. Res. Nurs. 2014, 5, 37. [Google Scholar] [CrossRef][Green Version]
- Jang, H.S.; Kim, J.; Kim, K.S.; Pak, C.H. Human brain activity and emotional responses to plant color stimuli. Color Res. Appl. 2014, 39, 307–316. [Google Scholar] [CrossRef]
- Singh, N.; Srivastava, S. Impact of colors on the psychology of marketing—A Comprehensive over view. Manag. Labour Stud. 2011, 36, 199–209. [Google Scholar] [CrossRef]
- Zheng, S.; Zhou, Y.; Qu, H. Physiological and psychological responses to tended plant communities with varying color characteristics. J. For. Res. 2024, 35, 32. [Google Scholar] [CrossRef]
- Lin, W.; Zeng, C.; Bao, Z.; Jin, H. The therapeutic look up: Stress reduction and attention restoration vary according to the sky-leaf-trunk (SLT) ratio in canopy landscapes. Landsc. Urban Plan. 2023, 234, 104730. [Google Scholar] [CrossRef]
- Chang, C.-Y.; Hammitt, W.E.; Chen, P.-K.; Machnik, L.; Su, W.-C. Psychophysiological responses and restorative values of natural environments in Taiwan. Landsc. Urban Plan. 2008, 85, 79–84. [Google Scholar] [CrossRef]
- Gordon, A.M.; Mendes, W.B. A large-scale study of stress, emotions, and blood pressure in daily life using a digital platform. Proc. Natl. Acad. Sci. USA 2021, 118, e2105573118. [Google Scholar] [CrossRef] [PubMed]
- Huang, Y.; Fu, W.; Weng, Y.; Wang, M. A study on the relationship between individual landscape preference, perceived Restorativeness scale and health benefits assessment of urban Forest pathway—A case study of Fudao. Landsc. Arch. 2020, 36, 73–78. [Google Scholar]
- Yau, K.K.-Y.; Loke, A.Y. Effects of forest bathing on pre-hypertensive and hypertensive adults: A review of the literature. Environ. Health Prev. Med. 2020, 25, 23. [Google Scholar] [CrossRef] [PubMed]
- Rajoo, K.S.; Karam, D.S.; Aziz, N.A.A. Developing an effective forest therapy program to manage academic stress in conservative societies: A multi-disciplinary approach. Urban For. Urban Green. 2019, 43, 126353. [Google Scholar] [CrossRef]
- Ismail, L.E.; Karwowski, W. Applications of EEG indices for the quantification of human cognitive performance: A systematic review and bibliometric analysis. PLoS ONE 2020, 15, e0242857. [Google Scholar] [CrossRef]
- Jiang, S.; Deng, L.; Luo, H.; Li, X.; Guo, B.; Jiang, M.; Jia, Y.; Ma, J.; Sun, L.; Huang, Z. Effect of fragrant primula flowers on physiology and psychology in female college students: An empirical study. Front. Psychol. 2021, 12, 607876. [Google Scholar] [CrossRef]
- Tilley, S.; Neale, C.; Patuano, A.; Cinderby, S. Older people’s experiences of mobility and mood in an urban environment: A mixed methods approach using electroencephalography (EEG) and interviews. Int. J. Environ. Res. Public Health 2017, 14, 151. [Google Scholar] [CrossRef] [PubMed]
- Suh, Y.-A.; Yim, M.-S. “High risk non-initiating insider” identification based on EEG analysis for enhancing nuclear security. Ann. Nucl. Energy 2018, 113, 308–318. [Google Scholar] [CrossRef]
- Neale, C.; Aspinall, P.; Roe, J.; Tilley, S.; Mavros, P.; Cinderby, S.; Coyne, R.; Thin, N.; Bennett, G.; Thompson, C.W. The aging urban brain: Analyzing outdoor physical activity using the emotiv affectiv suite in older people. J. Urban Health 2017, 94, 869–880. [Google Scholar] [CrossRef] [PubMed]
- Watson, D.; Clark, L.A.; Carey, G. Positive and negative affectivity and their relation to anxiety and depressive disorders. J. Abnorm. Psychol. 1988, 97, 346. [Google Scholar] [CrossRef] [PubMed]
- Watson, D.; Clark, L.A.; Tellegen, A. Development and validation of brief measures of positive and negative affect: The PANAS scales. J. Personal. Soc. Psychol. 1988, 54, 1063. [Google Scholar] [CrossRef]
- Wang, X.; Wu, C.; Yan, J. Experimental study of the perceived restorative scale (PRS) in Chinese by evaluating the restorative qualities of urban park scenes. Chin. Landsc. Arch. 2019, 35. [Google Scholar]
- Zheng, B.; Zhang, Y.; Chen, J. Preference to home landscape: Wildness or neatness? Landsc. Urban Plan. 2011, 99, 1–8. [Google Scholar] [CrossRef]
- Richardson, E.A.; Mitchell, R. Gender differences in relationships between urban green space and health in the United Kingdom. Soc. Sci. Med. 2010, 71, 568–575. [Google Scholar] [CrossRef]
- Elsadek, M.; Liu, B. Effects of viewing flowering plants on employees’ wellbeing in an office-like environment. Indoor Built Environ. 2021, 30, 1429–1440. [Google Scholar] [CrossRef]
- Gu, M.; Li, X.; Lv, Y.; Zhang, Q. Effects of plantscape colors on psycho-physiological responses of university students. J. Food Agric. Environ. 2012, 10, 702–708. [Google Scholar]
- Hoyle, H.; Norton, B.; Dunnett, N.; Richards, J.P.; Russell, J.M.; Warren, P. Plant species or flower colour diversity? Identifying the drivers of public and invertebrate response to designed annual meadows. Landsc. Urban Plan. 2018, 180, 103–113. [Google Scholar] [CrossRef]
- Chavan, D.R.; Kumbhar, M.; Chavan, R.R. Effect of Music Therapy on A Brainwave for Stress Recognition. Int. J. Innov. Eng. Res. Technol. 2016, 1–3. [Google Scholar]
- Subhani, A.R.; Mumtaz, W.; Saad, M.N.B.M.; Kamel, N.; Malik, A.S. Machine learning framework for the detection of mental stress at multiple levels. IEEE Access 2017, 5, 13545–13556. [Google Scholar] [CrossRef]
- Al-Shargie, F.; Kiguchi, M.; Badruddin, N.; Dass, S.C.; Hani, A.F.M.; Tang, T.B. Mental stress assessment using simultaneous measurement of EEG and fNIRS. Biomed. Opt. Express 2016, 7, 3882–3898. [Google Scholar] [CrossRef] [PubMed]
- Sangal, R.B.; Sangal, J.M. Use of EEG beta-1 power and theta/beta ratio over Broca’s area to confirm diagnosis of attention deficit/hyperactivity disorder in children. Clin. EEG Neurosci. 2015, 46, 177–182. [Google Scholar] [CrossRef] [PubMed]
- van Son, D.; De Blasio, F.M.; Fogarty, J.S.; Angelidis, A.; Barry, R.J.; Putman, P. Frontal EEG theta/beta ratio during mind wandering episodes. Biol. Psychol. 2019, 140, 19–27. [Google Scholar] [CrossRef] [PubMed]
- Song, D.H.; Shin, D.W.; Jon, D.I.; Ha, E.H. Effects of methylphenidate on quantitative EEG of boys with attention-deficit hyperactivity disorder in continuous performance test. Yonsei Med. J. 2005, 46, 34. [Google Scholar] [CrossRef] [PubMed][Green Version]
- Moon, S.A.; Bae, J.; Kim, K.; Cho, S.Y.; Kwon, G.; Lee, R.; Ko, S.H.; Lim, S.; Moon, C. Eeg revealed that fragrances positively affect menopausal symptoms in mid-life women. Exp. Neurobiol. 2020, 29, 389. [Google Scholar] [CrossRef]
- Franco, D.; Franco, D.; Mannino, I.; Zanetto, G. The impact of agroforestry networks on scenic beauty estimation: The role of a landscape ecological network on a socio-cultural process. Landsc. Urban Plan. 2003, 62, 119–138. [Google Scholar] [CrossRef]
- Ribe, R.G. In-stand scenic beauty of variable retention harvests and mature forests in the US Pacific Northwest: The effects of basal area, density, retention pattern and down wood. J. Environ. Manag. 2009, 91, 245–260. [Google Scholar] [CrossRef]
- Frank, S.; Fürst, C.; Koschke, L.; Witt, A.; Makeschin, F. Assessment of landscape aesthetics—Validation of a landscape metrics-based assessment by visual estimation of the scenic beauty. Ecol. Indic. 2013, 32, 222–231. [Google Scholar] [CrossRef]
- Schirpke, U.; Tasser, E.; Tappeiner, U. Predicting scenic beauty of mountain regions. Landsc. Urban Plan. 2013, 111, 1–12. [Google Scholar] [CrossRef]
- Jin, H.Y.; Zhu, Z.W. Design of household multi-function vacuum cleaner. Adv. Mater. Res. 2014, 945, 266–269. [Google Scholar] [CrossRef]
- Liu, Z. Study on the Impact of Campus Plant Landscape Colors on College Students’ Physical and Mental Health. Master’s Thesis, Shandong Jianzhu University, Jinan, China, 2020. [Google Scholar]
- Sadek, M.; Sayaka, S.; Fujii, E.; Koriesh, E.; Moghazy, E.; El Fatah, Y. Human emotional and psycho-physiological responses to plant color stimuli. J. Food Agric. Environ. 2013, 11, 1584–1591. [Google Scholar]
- Wang, Z. Study on the Effect of Plant Campus Plant Color on College Students’ Physical and Mental Health. Master’s Thesis, Northwest A&F University, Yangling, China, 2018. [Google Scholar]
- Xing, J. Research on the Influence of Landscape leaf Color Restorative in Northern Medical Environment. Master’s Thesis, Northeast Agricultural University, Harbin, China, 2019. [Google Scholar]
- Jin, Y. Landscape Evaluation and Optimization of Jinjiang Greenway in Chengdu Based on Restorative Environmental Theory. Master’s Thesis, Shenyang Agricultural University, Shenyang, China, 2023. [Google Scholar]
- Jalil, N.A.; Yunus, R.M.; Said, N.S. Environmental colour impact upon human behaviour: A review. Procedia-Soc. Behav. Sci. 2012, 35, 54–62. [Google Scholar] [CrossRef]
- Elliot, A.J.; Maier, M.A. Color psychology: Effects of perceiving color on psychological functioning in humans. Annu. Rev. Psychol. 2014, 65, 95–120. [Google Scholar] [CrossRef] [PubMed]
- Wang, R.; Zhao, J.; Meitner, M.J. Urban woodland understory characteristics in relation to aesthetic and recreational preference. Urban For. Urban Green. 2017, 24, 55–61. [Google Scholar] [CrossRef]
- Nordh, H.; Alalouch, C.; Hartig, T. Assessing restorative components of small urban parks using conjoint methodology. Urban For. Urban Green. 2011, 10, 95–103. [Google Scholar] [CrossRef]
- Paddle, E.; Gilliland, J. Orange is the new green: Exploring the restorative capacity of seasonal foliage in schoolyard trees. Int. J. Environ. Res. Public Health 2016, 13, 497. [Google Scholar] [CrossRef]
- Zhao, J.; Xu, W.; Li, R. Visual preference of trees: The effects of tree attributes and seasons. Urban For. Urban Green. 2017, 25, 19–25. [Google Scholar] [CrossRef]






| Indicators | Reason for Selection |
|---|---|
| Blood pressure and Pulse | Blood pressure is divided into systolic blood pressure (SBP) and diastolic blood pressure (DBP). These values, together with HR, are used to describe the influence of stress on the cardiovascular system [17,18]. Many related studies have demonstrated that blood pressure and heart rate data can effectively reflect an individual’s stress levels, emotional states, and physiological responses. |
| EEG | Electroencephalogram (EEG) refers to the recording of electrical signals of the human brain at a scalp level [19]. Under the active brain, the postsynaptic potentials of pyramidal neurons will be hyperpolarized and depolarized, and EEG signals are generated. Specific to this method, sensors are placed on the scalp surface to record electrophysiological signals generated by brain activities, which are considered to objectively indicate human emotion changes at a physiological level [20]. Previous research has demonstrated the reliability of EEG data [21,22,23]. |
| PANAS | Developed by Watson et al. in 1988, the PANAS is a widely recognized and validated scale for measuring emotion; it uses 20 items (10 for positive affect and 10 for negative affect) to assess positive and negative emotions [24,25]. Many related studies have demonstrated that the PANAS scale has good reliability and validity, and can effectively measure emotional states. |
| PRS | The Perceived Restorativeness Scale (PRS) is a widely used tool in environmental psychology research that effectively measures individuals’ perceived restorative qualities of an environment. Many related studies have demonstrated that the PRS scale has good reliability and validity, and can effectively measure the restorative characteristics of environments [26]. |
| Being Away | Extent | Fascination | Compatibility | Overall Restoration | |
|---|---|---|---|---|---|
| Single-Color Group | 4.42 ± 0.89 ab | 4.6 ± 1.01 a | 4.54 ± 0.95 ab | 4.35 ± 0.82 ab | 4.47 ± 0.79 a |
| Two-Color Group | 3.81 ± 1.05 b | 3.74 ± 1.13 b | 3.95 ± 1.15 b | 3.77 ± 0.91 b | 3.81 ± 0.96 b |
| Three-Color Group | 4.79 ± 1.17 a | 4.74 ± 1.08 a | 5.12 ± 1.07 a | 4.85 ± 1.05 a | 4.87 ± 0.99 a |
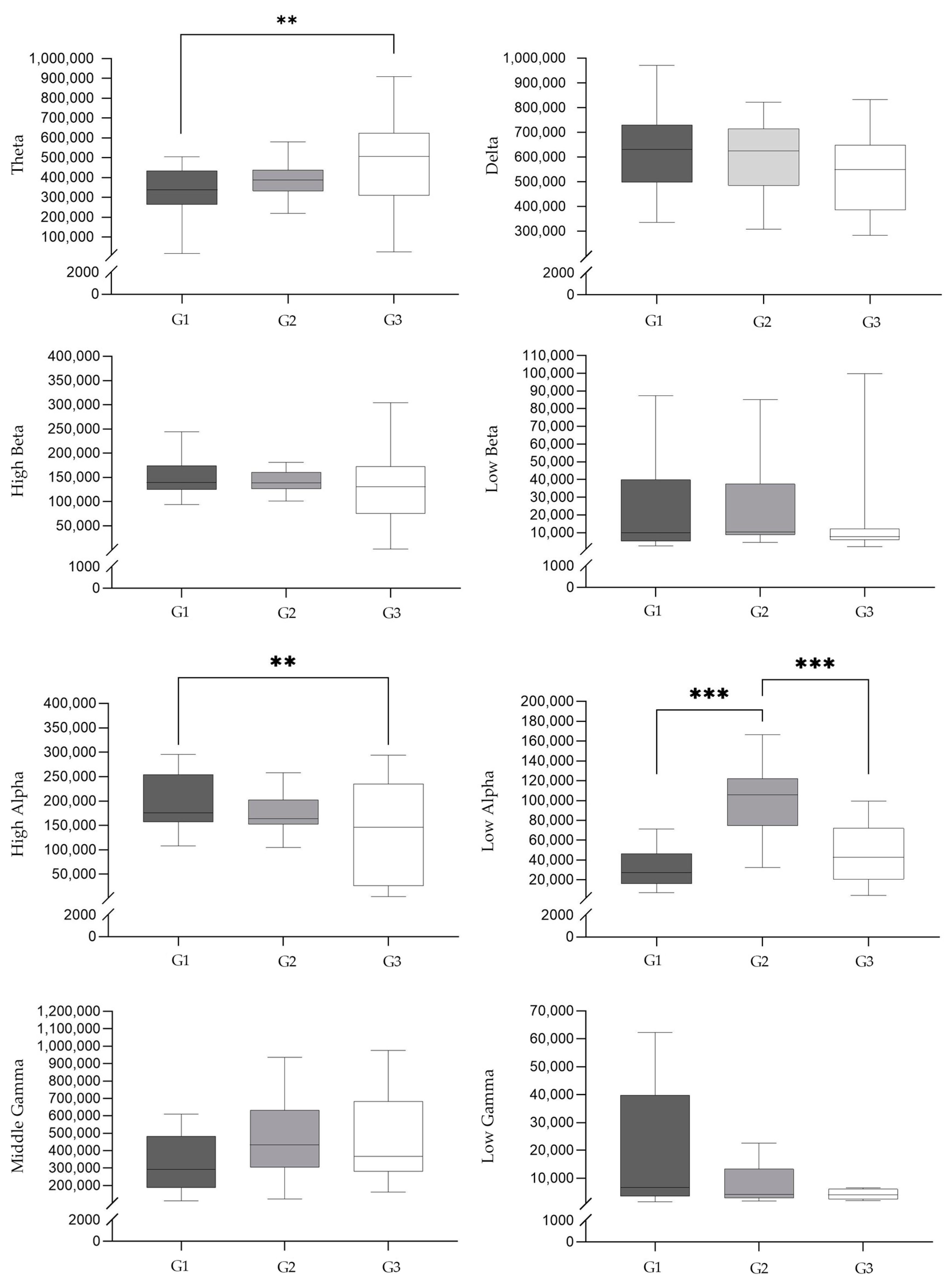
| Group (Median) | Kruskal–Wallis Test Statistic H Value | p | |||
|---|---|---|---|---|---|
| Single-Color Group | Two-Color Group | Three-Color Group | |||
| Delta | 631,682.25 | 624,937.50 | 549,043.50 | 6.211 | 0.045 * |
| Theta | 337,700.00 | 386,633.50 | 507,120.50 | 8.709 | 0.013 * |
| Low Alpha | 27,367.00 | 105,908.50 | 42,662.25 | 42.793 | 0.000 ** |
| High Alpha | 175,942.75 | 163,738.25 | 146,342.00 | 6.333 | 0.042 * |
| Low Beta | 9860.75 | 10,370.50 | 7764.00 | 3.339 | 0.188 |
| High Beta | 139,424.00 | 138,132.50 | 130,385.00 | 1.996 | 0.369 |
| Low Gamma | 6665.00 | 4195.250 | 4060.50 | 2.356 | 0.308 |
| Middle Gamma | 291,662.50 | 433,374.00 | 365,645.00 | 6.616 | 0.037 * |
| Sum of Squares | Degrees of Freedom | Mean Square | F | Significance | |
|---|---|---|---|---|---|
| Between groups | 11,902.071 | 2 | 5951.035 | 3.443 | 0.036 * |
| Within groups | 150,384.864 | 87 | 1728.562 | ||
| Total | 162,286.934 | 89 |
| Sum of Squares | Degrees of Freedom | Mean Square | F | Significance | |
|---|---|---|---|---|---|
| Between groups | 5.512 | 2 | 2.756 | 4.344 | 0.016 * |
| Within groups | 55.191 | 87 | 0.634 | ||
| Total | 60.702 | 89 |
| Physiological and Psychological Indicators | Result |
|---|---|
| Blood Pressure and Pulse | Monochromatic group exhibited significant reductions in DBP, SBP and pulse. In the dichromatic group, SBP was significantly lower than in the pre-test, whereas DBP and pulse were not significantly lower. In the trichromatic group, only pulse was significantly lower than in the pre-test, whereas DBP and SBP were not significantly lower. |
| PANAS | The positive scores significantly increased across all three groups, indicating that the restoration effects were similar. The negative scores also significantly decreased, with the greatest reduction in the three-color group, followed by the single-color group, and finally the two-color group. |
| PRS | The three-color group demonstrated the best restorative potential, followed by the single-color group and finally the two-color group. |
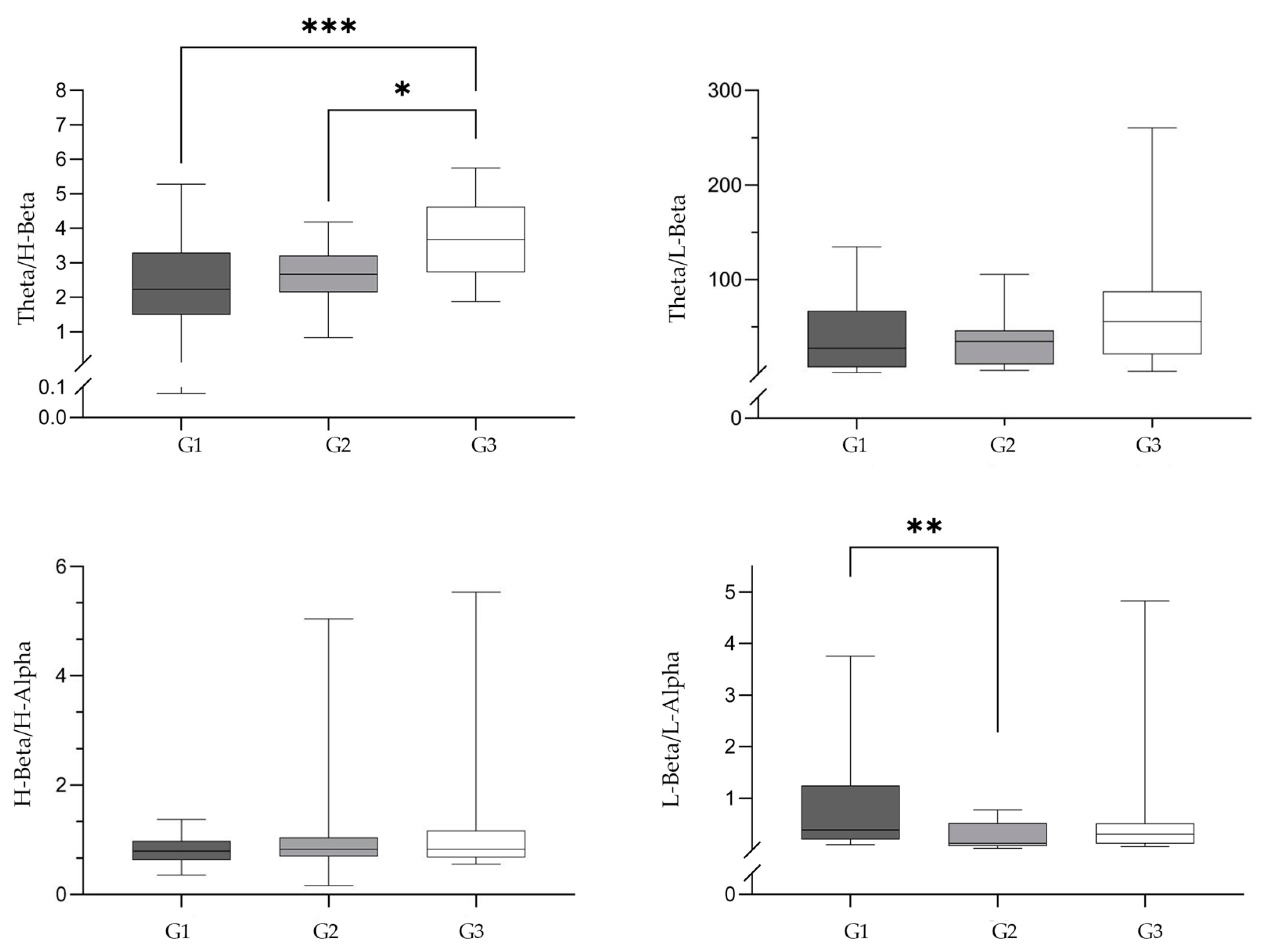
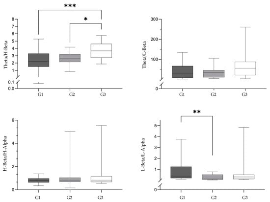
| EEG | Compared with the monochromatic group, the trichromatic group presented significantly greater theta EEG signals The dichromatic group had significantly enhanced low-alpha EEG signals compared with the other two groups The monochromatic group presented significantly higher high alpha values than the trichromatic group The theta/H-beta values of the trichromatic group were significantly higher than those of the monochromatic and dichromatic groups, with those of the dichromatic group slightly higher than those of the monochromatic group. The monochromatic group presented significantly higher L-beta/L-alpha values than the dichromatic group. |
Disclaimer/Publisher’s Note: The statements, opinions and data contained in all publications are solely those of the individual author(s) and contributor(s) and not of MDPI and/or the editor(s). MDPI and/or the editor(s) disclaim responsibility for any injury to people or property resulting from any ideas, methods, instructions or products referred to in the content. |
© 2024 by the authors. Licensee MDPI, Basel, Switzerland. This article is an open access article distributed under the terms and conditions of the Creative Commons Attribution (CC BY) license (https://creativecommons.org/licenses/by/4.0/).
Share and Cite
You, Y.; Cao, S.; Li, N.; Lv, B.; Li, K.; Zhang, P.; Zhang, Y.; Cai, J.; Li, X. Effects of Tree Leaf Color on Human Physical and Mental Recovery from a Looking-Up Perspective. Forests 2024, 15, 1404. https://doi.org/10.3390/f15081404
You Y, Cao S, Li N, Lv B, Li K, Zhang P, Zhang Y, Cai J, Li X. Effects of Tree Leaf Color on Human Physical and Mental Recovery from a Looking-Up Perspective. Forests. 2024; 15(8):1404. https://doi.org/10.3390/f15081404
Chicago/Turabian StyleYou, Yuheng, Saixin Cao, Nian Li, Bingyang Lv, Kai Li, Ping Zhang, Yilin Zhang, Jun Cai, and Xi Li. 2024. "Effects of Tree Leaf Color on Human Physical and Mental Recovery from a Looking-Up Perspective" Forests 15, no. 8: 1404. https://doi.org/10.3390/f15081404
APA StyleYou, Y., Cao, S., Li, N., Lv, B., Li, K., Zhang, P., Zhang, Y., Cai, J., & Li, X. (2024). Effects of Tree Leaf Color on Human Physical and Mental Recovery from a Looking-Up Perspective. Forests, 15(8), 1404. https://doi.org/10.3390/f15081404

