Abstract
Mixed forests created by incorporating nitrogen-fixing tree species offer enhanced ecological advantages compared with forests consisting of only one type of tree species. These benefits include habitat rehabilitation and the promotion of biodiversity. Nevertheless, the impact of introducing nitrogen-fixing tree species on ecosystem carbon (C), nitrogen (N), and phosphorus (P) sequestration and storage capacity in the Loess Plateau of China remains inadequately explored. To examine changes in the sequestration and storage capacity of ecosystem C, N, and P, the mixed plantations of P. tabulaeformis and H. rhamnoides (HrPt) were selected as the research object, and the pure plantations of H. rhamnoides (Hr) and P. tabulaeformis (Pt) were selected as the control. The results indicated that in comparison to the pure forest, the ecosystem in HrPt significantly increased C and N stocks but decreased P stocks. In addition, C, N, and P stocks in the soil layer accounted for more than 60% of the C, N, and P stocks in the pure and mixed forest ecosystems compared with the vegetation layer. Moreover, HrPt significantly improved ecosystem C and N sequestration rates relative to the pure forest but decreased P sequestration rates. Furthermore, the soil physicochemical properties can be inferred from the redundancy analysis showing 66.79% and 0.06% in Hr, 44.84% and 0.06% in Pt, as well as 44.28% and 0.04% in HrPt, respectively. In conclusion, compared with the pure forest, the introduction of N-fixing tree species was more conducive to the accumulation of C and N. The results offer substantial significance for the scientific guidance of vegetation restoration in degraded landscapes and the stewardship of mixed forests in the Loess Hilly Region, providing essential data for nutrient storage in ecosystems.
1. Introduction
Forest ecosystem C stock accounts for about 70% of soil C stock in terrestrial ecosystems and plays an important role in global warming [1]. N, P, and other nutrients are important factors for maintaining plant survival and growth. They interact with the structural element C and change cooperatively in the process of plant growth, jointly restricting the key processes of nutrient cycling between plants and soil [2]. Forest ecosystems accumulate organic compounds with long C residence time and contribute to global C cycling [3]. Therefore, exploring and analyzing ecosystem C, N, and P stocks can help us determine the function of ecosystem nutrient cycling as well as the relevance between elements and the ecosystem [4].
Mixed-species tree planting has attracted widespread attention due to its superior stability and sustainability compared with pure forest planting, and it is becoming increasingly popular worldwide [5]. Conversely, changes in the sequestration and storage capacity of ecosystem nutrients will impact ecosystem functions and processes. It is essential to conduct a thorough evaluation of the nutrient sequestration and storage capacity in ecosystems that are in the process of ecological restoration as this will aid in comprehending the ecological effects of mixed afforestation [6]. This assessment could have a considerable impact on the enduring availability of nutrients and the ongoing sustainable stewardship of plantations.
The impact of different tree species on nutrient levels in mixed forests varies [7]. Introducing N2-fixing tree species into Eucalyptus plantations in subtropical China increased soil C and N contents [8]. Soil organic C in Pinus massoniana can be changed by mixing cultivation with Erythrophleum fordii [9]. It can be seen that a reasonable mixed planting pattern is conducive to improving the nutrient status of the ecosystem. However, the existing research primarily concentrates on the impact of mixed planting on alterations in nutrient content [10]. Enhancing the comprehension of the influence on C, N, and P sequestration, as well as their storage capacity, is crucial for ecosystem nutrient availability and cycling.
Mixed planting of P. tabulaeformis and H. rhamnoides has become a widely distributed planting method in the Loess Plateau [11]. Research has indicated that combining P. tabulaeformis and H. rhamnoides in a mixed forest significantly and positively affected community structure, species diversity, and soil physical and nutrient conditions [12]. Furthermore, the planting method is beneficial for promoting an increase in the leaves’ N:P stoichiometric ratio and enhancing the nutrient content of C, N, and P in P. tabulaeformis [13]. Nevertheless, the existing study on the impact of mixed afforestation of P. tabulaeformis and H. rhamnoides primarily focuses on changes in nutrient content and stoichiometric characteristics. The response of C, N, and P storage to the mixed forest of H. rhamnoides and P. tabulaeformis at the ecosystem level remains unclear.
In this study, we investigated the response of P. tabuliformis to mixed afforestation of N-fixing species by measuring C, N, and P stocks in tree layers, litter layers, and 0–200 cm soil layers. Our objective is to (1) analyze the changes in ecosystem C, N, and P sequestration, as well as their storage capacity between pure and mixed forests, and (2) identify the primary influencing elements of sequestration and their storage capacity. The research is helpful for the ecological restoration of vegetation degradation and the sustainable management of mixed forests in the Loess Hilly Region.
2. Materials and Methods
2.1. Site Description
The study was conducted at the Ansai National Ecological Experimental Station (36°51′30″ N, 109°19′23″ E), which is located in Shaanxi Province, China. The region belongs to the typical temperate semi-arid climate with a mean annual temperature of 8.8 °C and an average annual rainfall of (458 ± 172.5) mm. The primary soil type is loessial soil, which was developed from wind-deposited loessial parent material, and has a homogeneous silt loam texture. Moreover, the soil was a salt loam (USDA NRCS) with 9.28% clay (<0.002 mm), 61.08% silt (0.002–0.05 mm), and 29.65% sand content (>0.05 mm). In addition, the median soil grain size, soil bulk density, and soil cohesion were 36.82 μm, 1.19 g cm−3, and 12.79 kPa, respectively [14], which correlates with “Entisols” in the American soil taxonomy (1975) and “Regosols” in the United Nations world soil tutu unit/FAO/UNESCO (1988) [15]. The main woody plants are H. rhamnoides, P. tabuliformis, Robinia pseudoacacia, and Platycladus orientalis. Herbaceous plants mainly include Bothriochloa ischaemum, Artemisia gmelinii, etc. The original plantation density was widely used in the central part of the Loess Plateau: the stem densities of Pt and Hr in pure plantations were 1667 and 3300 stems ha−1, respectively. The stem densities in the corresponding mixed plantations were 1111 and 1900 stems ha−1. Since the artificial afforestation began in 2000, environmental changes or human activities may have led to poor tree growth or mortality. Consequently, during the growth process, the initial densities have been changed. Based on the previous survey in April 2018, the existing stem densities of Pt and Hr were 1200 and 1733 stems ha−1, respectively. The existing stem densities of HrPt were 850 and 1775 stems ha−1.
2.2. Experimental Material
Based on the long-term fixed monitoring forest land in the field of the mountain test site, the mixed plantations of P. tabulaeformis and H. rhamnoides (HrPt) were selected as the research object, and the pure plantations of H. rhamnoides (Hr) and P. tabulaeformis (Pt) were selected as the control (Figure 1). Each plot was planted around 2000. The fundamental properties of the plots are displayed in Table 1.
Figure 1.
Three typical restoration types: (a) the pure forest of Pinus tabuliformis (Pt); (b) the pure forest of Hippophae rhamnoides (Hr); (c) the mixed forests of P. tabuliformis and H. rhamnoides (HrPt).
Table 1.
The basic characteristics of the sample plots.
In this study, for each forest type, three repeated plots were selected, and each plot was 20 m × 20 m for observation. The research was carried out during the 2018 growing season (May–October).
2.3. Sampling and Laboratory Analyses
To investigate the alterations in the sequestration and storage capacity of C, N, and P in P. tabuliformis after mixed afforestation with H. rhamnoides, plant, litter, and soil sampling was conducted in May–October 2018 at the end of each month. Therefore, a total of 6 times samples were collected.
According to the test results of each tree in each plot, 4 standard trees were selected according to average DBH/DGH, average tree height, and average crown width, and leaf, stem, and root samples of each standard tree were collected at the end of each month (healthy mature leaves were selected at the crown with high branch shears and picked and mixed in 4 directions, east, west, north, and south). After the leaves are removed, they are stems. The sampling depth of the roots was set to 2 m, which was consistent with the depth of the nutrient content. In each sample plot, three representative litter samples of 1 m × 1 m were selected according to the diagonal method; the litter was collected using a 20 cm high grid and positioned above the ground. A soil core of 2 m depth (0–10, 10–20, 20–50, 50–100, 100–150, and 150–200 cm) was drilled into the corresponding sample plot by using the soil drilling method. For each Pt plot, three 2 m soil drills were carried out. Therefore, there were 9 soil samples for pure Pt. The design and sampling method for Hr and HrPt are the same as Pt, so there are 27 soil samples in Hr, Pt, and HrPt. About 300 g of each sample was collected. After being brought back to the laboratory, the samples of leaf, stem, root, and litter were dried at 85 °C to constant weight, crushed with a grinder, and used for the measurement of plant C, N, and P contents and litter biomass. Samples of soil were split into two parts. Before measuring the C, N, and P contents, one part was allowed to be air-dried naturally, and the rocks and plant remnants were removed. The remaining part was stored in a refrigerator at 4 °C to be analyzed for other physicochemical properties of the soil.
The undisturbed soil was obtained by the soil drilling method and then drained to constant weight on the sand after soaking in water for a day and night. After oven-dried at 105 °C for 48 h until constant weight, the soil bulk density (SBD), soil total porosity (STP), soil capillary porosity (SCP), soil non-capillary porosity (SNCP), soil water content (SWC), and field capacity (FC) were calculated. The pH value was determined by the potentiometry method (HJ 962-2018). C was determined by the wet oxidation method; N was determined using the Kjeldahl method. The HClO4-H2SO4 colorimetric and NaHCO3-H2SO4 colorimetric methods were employed to measure P and the available P (AP), respectively. Furthermore, continuous flow injection analysis was used to assess the amounts of ammonium N (AN) and nitrate N (NN) [16]. The fundamental soil physicochemical properties of the measured soil are detailed in Table 2.
Table 2.
Physicochemical properties in the soil profile under pure and mixed forests.
2.4. Data Processing
2.4.1. Biomass of the Tree Layer
The biomass of each forest type was calculated as follows [17] (Table 3):
Table 3.
Allometric equations are used to calculate the biomass of the various tree components.
2.4.2. C, N, P Stocks and Sequestration Rate
The C, N, and P stocks of leaves, stems, and roots were obtained by multiplying the biomass of leaves, stems, and roots by the C, N, and P contents of leaves, stems, roots, and the corresponding stand density.
The C, N, and P stocks of the litter layer were obtained by multiplying the litter layer’s dry mass by the litter layer’s C, N, and P contents.
The C, N, and P stocks of each soil layer were calculated as follows [18]:
where Ci, Ni, and Pi are the C, N, and P contents of the ith layer of soil (g kg−1), respectively. BDi is the SBD of the ith layer (g cm−3) and Ei is the soil depth of the ith layer (cm). The soil stock of the 0–200 cm layer was equal to the sum of the six layers.
The C, N, and P sequestration rates were calculated as follows [19]:
where Csr, Nsr, and Psr are the C sequestration rate (Mg ha−1 year−1), N sequestration rate (Mg ha−1 year−1), and P sequestration rate (Mg ha−1 year−1), respectively. SA1CS, SA2CS, SA1NS, SA2NS, SA1PS, and SA2PS represent stand age1 C stock (Mg ha−1), stand age2 C stock (Mg ha−1), stand age1 N stock (Mg ha−1), stand age2 N stock (Mg ha−1), stand age1 P stock (Mg ha−1), and stand age2 P stock (Mg ha−1), respectively. SAI is the stand age interval.
2.5. Statistical Analysis
One-way analysis of variance (ANOVA) polynomial linear and Tukey’s multiple comparison method were selected to compare significant differences in the biomass of the tree layer and litter layer and the C, N, and P contents, and stocks of the tree layer, litter layer, and soil layer between the pure and mixed forests. Linear fitting was used to analyze the coupling relationship between ecosystem C, N, and P stocks in pure forest and mixed afforestation models. Correlation analysis was used to study the influencing factors of ecosystem C, N, and P stocks. RDA redundancy analysis was used to research the explanatory factors of soil physicochemical properties for C, N, and P stocks in the research plot ecosystem. Finally, all statistical analyses were performed using SPSS 26.0 software, and a redundancy analysis (RDA) diagram was drawn by Canoco 5, In addition, all the remaining diagrams were drawn with Origin 2022 software.
3. Results
3.1. The Tree Biomass
There were significant differences in the biomass between a pure forest and a mixed forest (Figure 2). The biomass (kg) between pure and mixed forests for leaves, stems, and roots varied from 0.84 to 2.91, 3.38 to 12.02, and 1.59 to 5.58, respectively. In contrast to Pt, HrPt significantly increased the biomass of leaves, stems, and roots, with increases of 97.96%, 150.42%, and 169.57%, respectively (p < 0.05). Furthermore, the comparison against Hr, reveals that HrPt has significantly increased the biomass of leaves, stems, and roots, with increases of 246.43%, 255.62%, and 250.94%, respectively (p < 0.05).
Figure 2.
Tree biomass of H. rhamnoides and P. tabuliformis in pure and mixed forests. (a–c) represent the leaf, stem, and root biomass of H. rhamnoides and P. tabuliformis in the pure and the mixed forests, respectively. Different lowercase letters indicate that there are significant differences between Pt and HrPt at 0.05 levels, and different capital letters indicate that there are significant differences between Hr and HrPt at 0.05 levels. The abbreviations mean the same below.
3.2. C, N, and P Contents
3.2.1. Tree and Litter Layers
There were significant differences in the C, N, and P contents of the tree layer (leaves stems, and roots) and the litter layer between the pure forest and the mixed forest (Table 4). There was no significant difference in the C content of the tree layer between the pure forest and the mixed forest. The N contents of leaves and the litter layer between the pure and mixed plantations of P. tabuliformis varied from 10.97 to 12.40 and from 7.18 to 21.31 (g kg−1). In comparison to the Pt, HrPt(Pt) resulted in a significant increase in the N content of leaves and the litter layer, amounting to 13.04% and 196.80%, respectively (p < 0.05). The range of N content in the stems of pure and mixed H. rhamnoides plantations was 16.43 to 17.88 (g kg−1). When compared with Hr, HrPt(Hr) led to a significant increase in stem N content, amounting to 8.83% (p < 0.05). The P contents of leaves and roots in the pure and mixed plantations of P. tabuliformis varied from 0.82 to 0.99 and from 0.58 to 0.62 (g kg−1). In contrast to the Pt, HrPt(Pt) significantly increased the P content of leaves and roots, with increases of 20.73% and 6.90%, respectively (p < 0.05). In comparison to Pt, HrPt(Pt) significantly increased the P content of the litter layer, with an increase of 85.71% (p < 0.05). The stoichiometric ratio C:N and N:P in the roots and stems of pure and mixed H. rhamnoides plantations were within the ranges of 16.57 to 35.79 and 16.64 to 19.31 (g kg−1). As opposed to the Hr, HrPt(Hr) significantly improved the C:N for roots and N:P for stems, with increases of 115.99% and 16.05%, respectively (p < 0.05). The N:P for the litter layer between the pure and mixed plantations of P. tabuliformis varied from 14.74 to 23.49 (g kg−1). Moreover, the N:P for the litter layer significantly improved by 59.36%, with HrPt(Pt) in contrast to Pt. (p < 0.05).
Table 4.
C, N, and P contents in tree and litter layers of the pure and mixed forest.
3.2.2. Soil Layer
For the 0–10 cm soil layer in both pure and mixed plantations, the content ranges of soil elements (g kg−1) were 3.57 to 12.79 for C, 0.18 to 0.65 for N, and 0.51 to 0.54 for P, as per (Table 5). HrPt significantly increased the contents of C and N by 22.78% and 17.78%, respectively, compared with Pt, with no significant difference in the N content. Furthermore, HrPt significantly improved the stoichiometric ratio C:P and N:P in the soil layer (0–10 cm), with increases of 19.63% and 16.09%, respectively. Furthermore, there was no significant difference in C, N, P, C:N, C:P, and N:P between Hr and HrPt in the same soil layer.
Table 5.
C, N, and P contents in different soil layers of the pure and mixed forests.
3.3. Effects of Mixed Afforestation on C, N, and P Stocks
3.3.1. Tree Layer
There were significant differences in the C, N, and P stocks of the tree layer between the pure forest and the mixed forest (Figure 3).
Figure 3.
C, N, and P stocks in tree layers of pure and mixed forests. (a–c) represent the C, N, and P stocks in the tree layers of the pure and the mixed forests, respectively. Among leaf, stem, and root components, different lowercase letters indicate that there are significant differences between pure and mixed forests at 0.05 levels.
The mean stocks (kg ha−1) between pure and mixed plantations are in the range of 709.99 to 4103.96 for leaves, 2880.61 to 17,111.32 for stems, and 1176.12 to 7215.91 for roots in C stocks; 19.40 to 271.08 for leaves, 23.83 to 569.54 for stems, and 14.28 to 373.03 for roots in N stocks; 1.45 to 14.09 for leaves, 2.16 to 30.49 for stems, and 1.45 to 10.15 for P stocks. In relation to Pt, HrPt(Pt) significantly increased the C stock of leaves, stems, and roots, with increases of 322.85%, 444.11%, and 495.47%, respectively (p < 0.05). Contrasting with Hr, HrPt(Hr) significantly increased the C stock of leaves, stems, and roots, with increases of 416.76%, 422.42%, and 441.19%, respectively (p < 0.05). When compared with Pt, HrPt(Pt) led to a significant increase in the N stock in leaves, stems, and roots, with increases of 393.30%, 457.07%, and 577.17%, respectively (p < 0.05). The comparison with Hr revealed that HrPt(Hr) significantly improved the N stock in leaves, stems, and roots, with increases of 430.59%, 491.30%, and 351.83% respectively (p < 0.05). Moreover, in comparison to Pt, HrPt(Pt) led to a significant increase in the P stock across leaves, stems, and roots, with increases amounting to 429.66%, 449.07%, and 529.66% respectively. (p < 0.05). In comparison to Hr, HrPt(Hr) significantly increased the P stock of leaves, stems, and roots, with increases of 439.85%, 402.31%, and 434.21%, respectively (p < 0.05).
3.3.2. Litter Layer
There were significant differences in the C, N, and P stocks of the litter layer between the pure forest and the mixed forest (Figure 4). The mean stocks (kg ha−1) in the litter layer of pure and mixed plantations are in the range of 9.86 to 38.79 for C stock, 0.13 to 1.80 for N stock, and 0.01 to 0.08 for P stock. In comparison to Pt, HrPt significantly improved the C, N, and P stocks of the litter layer, with increases of 262.98, 1284.62%, and 700%, respectively (p < 0.05). In addition, in relation to Hr, HrPt significantly improved the C and N stocks of the litter layer, with increases of 36.34 and 25%, respectively (p < 0.05). Moreover, there was no significant difference in the litter layer between Hr and HrPt (Figure 4c).
Figure 4.
C, N, and P stocks in the litter layers of pure and mixed forests. (a–c) represent the C, N, and P stocks in the litter layers of the pure and the mixed forests, respectively. Different lowercase letters indicate that there are significant differences between Pt and HrPt at 0.05 levels, and different capital letters indicate that there are significant differences between Hr and HrPt at 0.05 levels.
3.3.3. Soil Layer
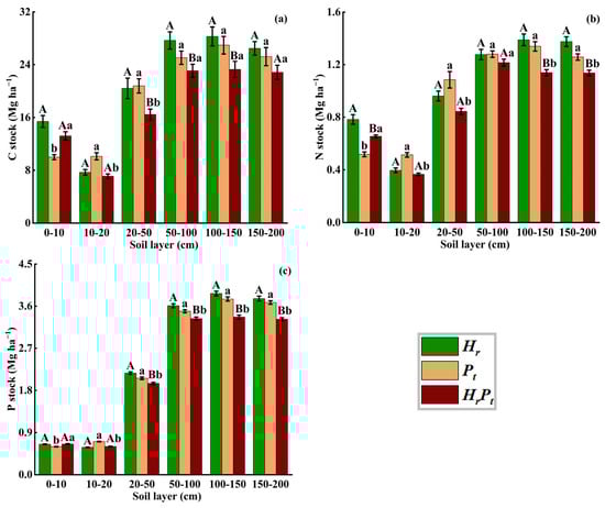
For the 10 cm soil layer, the mean stock (Mg ha−1) in pure and mixed plantations for C, N, and P stocks are within 9.99 to 15.40, 0.52 to 0.78, and 0.60 to 0.66 ranges respectively (Figure 5). In comparison to Pt, HrPt significantly improved the C, N, and P stocks of the 0–10 cm soil layer, with increases of 32.13, 25, and 10%, respectively (p < 0.05). Nevertheless, the stocks of C, N, and P in soil layers at depths other than those mentioned showed a downward trend, with the C stock displaying significant differences except for the 10–20 and 20–50 cm layers; the N stock, except for the 0–10 and 50–100 cm layers; and the P stock, except for the 0–10 cm layer (p < 0.05). In contrast to Hr, HrPt significantly decreased the C stock in 20–50, 50–100, and 100–150 cm soil layers, the N stock in 0–10, 100–150, and 150–200 cm soil layers, and the P stock, except for 0–10 and 10–20 cm soil layer (p < 0.05).
Figure 5.
C, N, and P stocks in different soil layers of pure and mixed forests. (a–c) represent the C, N, and P stocks in different soil layers of the pure and the mixed forests, respectively. Different lowercase letters indicate that there are significant differences between Pt and HrPt at 0.05 levels, and different capital letters indicate that there are significant differences between Hr and HrPt at 0.05 levels.
3.3.4. C, N, and P Stocks and Distribution Patterns in the Plantation Ecosystem
There were significant differences in the C, N, and P stocks of the vegetation layer, soil layer (0–200 cm), and the ecosystem between the pure forest and the mixed forest (Table 6). The mean stocks (Mg ha−1) in the vegetation layer of pure and mixed plantations are in the range of 4.89 to 53.68 for the C stock, 0.06 to 1.50 for the N stock, and 0.005 to 0.08 for the P stock. In contrast to Pt, HrPt significantly improved the C, N, and P stocks of the vegetation layer, with increases of 920.53, 2400, and 1500%, respectively (p < 0.05). In comparison to Hr, HrPt substantially increased the C, N, and P stocks of the vegetation layer, with increases of 997.75, 581.82, and 700%, respectively (p < 0.05). The mean stocks (Mg ha−1) in the soil layer (0–200 cm) of pure and mixed plantations are in the range of 107.83 to 127.24 for the C stock, 5.40 to 6.17 for the N stock, and 13.26 to 14.70 for the P stock. However, in comparison to Pt, HrPt significantly decreased N and P stocks, and in relation to Hr, HrPt significantly decreased C, N, and P stocks (p < 0.05). Furthermore, the mean stocks (Mg ha−1) in the ecosystem of pure and mixed plantations are in the range of 125.80 to 161.50 for the C stock, 6.14 to 6.90 for the N stock, and 13.34 to 14.71 for the P stock. In Hr, soil layers (0–200 cm) accounted for 96.29%, 96.41%, and 99.93% of the ecosystem C, N, and P stocks, respectively. In Pt, soil layers (0–200 cm) accounted for 95.82%, 99.02%, and 99.93% of the ecological system C, N, and P stocks. In HrPt, soil layers (0–200 cm) accounted for 66.77%, 78.26%, and 99.40% of the ecological system C, N, and P stocks, respectively. In contrast to Pt, HrPt significantly improved the C and N stocks of the ecosystem, with increases of 28.38 and 12.38%, respectively (p < 0.05). In comparison to Hr, HrPt significantly increased the C and N stocks of the ecological system, with increases of 22.22 and 7.81%, respectively (p < 0.05). On the contrary, a contrasting trend was observed for the P stock where significant differences between mixed and pure forests were noted.
Table 6.
C, N, and P stocks and distribution patterns of pure and mixed forests in the plantation ecosystem.
3.4. Factors Correlated with the C, N, and P Stocks, and the Relationships of C, N, and P in Stocks
3.4.1. Relationships of C, N, and P in Stocks and Soil Physicochemical Properties
The RDA analysis revealed that Axis-1 and Axis-2 explained 66.79% and 0.06% in Hr, 44.84% and 0.06% in Pt, and 44.28% and 0.04% in HrPt, respectively, of the variation in the C, N, and P stocks in the ecosystem (Figure 6). In Hr, the C stock was negatively correlated with SWC, the N stock was negatively correlated with SWC, SBD, and pH and positively correlated with FC, NN, AN, AP, and temperature. However, the P stock was not correlated with soil physicochemical properties. In Pt, the N stock was negatively correlated with SBD and positively correlated with most soil physicochemical properties. In HrPt, the C stock was negatively correlated with SCP and FC, and the N stock was negatively correlated with SCP, SBD, and SNCP. NN and AP were positively correlated, while P stock was positively correlated with SWC (Figure 7).

Figure 6.
Redundancy analysis (RDA) ordination diagram for C, N, and P stocks with soil physicochemical properties of the pure and mixed forests. (a–c) represent the redundancy analysis (RDA) ordination diagram for C, N, and P stocks with soil physico-chemical properties of the Hr, Pt, and HrPt, respectively.

Figure 7.
Correlation relationships of C, N, and P in stocks and soil physicochemical properties. (a–c) represent correlation relationships of C, N, and P in stocks and soil physicochemical properties in Hr, Pt, and HrPt, respectively. * and ** represent a significant level at 0.05 and 0.01 levels, respectively.
3.4.2. Regression Relationships of C, N, and P in Stocks
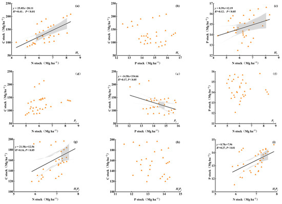
The relationships among C, N, and P stocks exhibited diverse trends between the pure forest and the mixed forest (Figure 8). In Hr, significant relationships were found between the shifts in the C and N stocks (R2 = 0.41, p < 0.01, y = 25.05x − 28.11; Figure 8a), and P and N stocks (R2 = 0.12, p < 0.05, y = 0.39x + 12.19; Figure 8c), but there was no significant correlation between C and P stocks. In Pt, a significant relationship was found in C and P stocks (R2 = 0.17, p < 0.05, y = −14.58x + 334.66; Figure 8e), but there was no significant correlation between C, N stocks, and P, N stocks. In HrPt, significant relationships were found between the shifts in the C and N stocks (R2 = 0.16, p < 0.05, y = 21.58x + 12.56; Figure 8g), and P and N stocks (R2 = 0.27, p < 0.01, y = 0.78x + 7.96; Figure 8i), but there was no significant correlation between C and P stocks.
Figure 8.
Linear regression analysis of C, N, and P stocks in Hr, Pt, and HrPt. Linear regression analysis of C and N stocks in Hr (a), C and P stocks in Hr (b), P and N stocks in Hr (c), C and N stocks in Pt (d), C and P stocks in Pt (e), P and N stocks in Pt (f), C and N stocks in HrPt (g), C and P stocks in HrPt (h), P and N stocks in HrPt (i). Gray lines indicate 95% confidence intervals, while black lines are the linear model fits of these linear models between C, N, and P stocks.
3.5. C, N, and P Sequestration Rate
There were significant differences in the C, N, and P sequestration rates of ecosystems between the pure forest and the mixed forest (Table 7). The mean sequestration rates (Mg ha−1 year−1) in the ecosystem of pure and mixed plantations are in the range of 8.39 to 10.77 for C, 0.41 to 0.46 for N, 0.89 to 0.98 for P stock. In comparison to Pt, HrPt significantly enhanced the C and N sequestration rates of the ecosystem, with increases of 28.37 and 12.20%, respectively (p < 0.05). In contrast to Hr, HrPt significantly increased the C and N sequestration rates of the ecosystem, with increases of 22.25 and 6.98%, respectively (p < 0.05). Nonetheless, the P sequestration rate of the ecosystem displayed a downward trend, with a significant difference in P levels being observed.
Table 7.
C, N, and P sequestration rates in the ecosystem of pure and mixed forests.
4. Discussion
4.1. Effects of Mixed Afforestation on C, N, and P Stocks
In the forest ecosystem, replanting N-fixing tree species in artificial pure forests can improve soil C stocks after the formation of mixed forests [20]. In comparison to the pure forest, HrPt significantly improved the C stock of the tree layer (Figure 3). It may be that interspecific interactions in mixed forests enhance nutrient absorption and utilization by tree species, leading to increased C stock in the tree layer [21]. After Pt and Hr mixed planting, there may be N-sharing between non-N-fixing and N-fixing tree species. The N-fixation of non-N-fixing plants can promote the secretion of organic acids, causing soil acidification in the rhizosphere. This acidification boosts the activity of insoluble P in the soil, improving the plants’ P absorption capacity [22].
Similarly, in comparison to Pt, HrPt significantly enhanced the C, N, and P stocks in the litter layer and 0–10 cm soil layer (Figure 4 and Figure 5). This increase may be due to Hr being a deciduous broad-leaved forest tree species with rich litter decomposition [23]. C and N stocks decreased in the 10–20 cm soil layer in contrast to the surface layer due to increased litter accumulation. Deeper soils store slightly more C and N than the top 20 cm. Hr had higher C and N stocks than HrPt in deeper layers, likely influenced by plant roots. Fine particles in deep soils restrict root exudate processes. Furthermore, there was no significant difference in the P stock between Hr and HrPt because the effective P produced by litter decomposition was rapidly absorbed by plants [24].
4.2. Effects of Mixed Afforestation on C, N, and P Stocks Distribution Pattern
It is of great significance to study the distribution of nutrient elements in the mixed forest ecosystem with drought-resistant tree species to indicate its stability [25]. In relation to Hr and Pt, HrPt significantly improved C, N, and P stocks in the vegetation layer. However, in the 0–200 cm soil layer, there was a decrease in C, N, and P stocks for HrPt in contrast to Hr and Pt (Table 6). At the ecosystem level, HrPt increased C and N stocks but decreased P stocks significantly compared with Hr and Pt (p < 0.05) (Table 6). C, N, and P stocks in the 0–200 cm soil accounted for over 95% of the ecosystem for Hr and Pt, and for HrPt, they accounted for 66.77%, 78.26%, and 99.40%, respectively. Such a pattern of reserve allocation is similar to the high proportion of C allocated to the underground found by predecessors in dry years [26]. More C is allocated by trees from underground in an environment with limited water resources [27]. After over 15 years, the dense forest canopy resulting from long-term afforestation may intensify forest competition, decrease soil organic matter fixation, and alter C storage in the mixed soil layer. Thus, optimizing the mixed forest ratio can mitigate interspecific effects [28]. At the same time, trees in these conditions have narrow root systems rather than shorter branches [29]. N-fixing such as H. rhamnoides store N in 0–200 cm soil layers with their deep roots, while non-N-fixing species benefit from N competition through root exudations or mycorrhizal networks. Drought significantly reduces N transfer from H. rhamnoides to Populus tomentosa [30]. Accordingly, the distribution of HrPt is speculated to be influenced by drought, affecting soil N transfer from Hr to Pt. P stock distribution is mainly influenced by the soil matrix. After mixed planting, increased litter leads to rapid plant absorption of available P from litter decomposition [31]. Soil P fluidity is weaker than that of soil C and N, resulting in distinct P stock distribution patterns.
4.3. Factors Controlling C, N, and P Stocks after Mixed Afforestation
In contrast to the pure forests, the quantity and quality of litter and root exudates in mixed forests will vary, impacting soil physicochemical properties and soil microbial composition and potentially influencing C storage [32]. There was a significant positive correlation between the C stock and the N stock in Hr and HrPt(Hr). Higher TN levels positively impacted organic C stock by reducing the C-N ratio in the litter. This reduction helps avoid competition for N between microorganisms and plants, facilitating litter mineralization and decomposition and, ultimately, promoting the C stock [33]. In Hr, there was a significant negative correlation between the C stock and soil water content, which may be attributed to the lack of soil moisture in the Loess Hilly Region and increased soil porosity, promoting the mineralization and decomposition of organic C, which hinders organic C [34]. The study results indicated a significant negative correlation between the N stock of Hr, Pt, and HrPt and SBD, which may be due to the increase in SBD, resulting in low soil porosity, while the exchange of N in the soil is blocked, resulting in a decrease in the N stock. The N stock was significantly and positively correlated with NN. AN and NN are the main forms of effective N absorbed by roots. H. rhamnoides are a few woody plants with N-fixing ability in arid areas [35]. Although H. rhamnoides is not a leguminous plant, it can form a relationship with N-fixing bacteria. These bacteria grow on H. rhamnoides roots to create nodules that fix N from the atmosphere, explaining the positive correlation between NN and N stock. The N stock in Hr and HrPt is also positively correlated with AP. H. rhamnoides root exudates have high acid substance content, lowering soil pH, which, in turn, affects soil P chemical form. Changes in inorganic P components significantly increase AP content [36].
The interaction of SOC, TN, and TP plays a key role in the sustainability of terrestrial ecosystems [37]. In this study, there is a partial correlation between the C, N, and P stocks of Hr, Pt, and HrPt, which is further processed by linear regression. (Figure 6). The results showed that there was a linear relationship between C and N stocks in Hr and HrPt, and the C stock increased with the increase in the N stock (Figure 8a,g). The coupling of SOC stock and TN is due to the decomposition of soil organic matter [38]. A higher N content in the soil decreases soil microorganism activity and mineralization rate, leading to higher soil C content [39]. In addition, there is a linear relationship between P stock and N stock in Hr and HrPt, and the P stock increases with the increase in the N stock, but the C stock of Pt decreases with the increase in the P stock. This may be due to the influence of soil N stock by N fixation, deposition input, and inorganic N leaching [40]. Previous studies have also suggested that soil N and P dynamics may strictly limit the accumulation of soil C during vegetation replanting in natural terrestrial ecosystems [41].
4.4. Effects of Mixed Afforestation on C, N, and P Sequestration Rate
Integrating and estimating organic C sequestration rates in mixed plantations helps managers accurately monitor changes in forest C pools and allocate effectively [42]. In comparison to Hr and Pt, HrPt significantly increases ecosystem C and N sequestration rates (p < 0.05). The C sequestration rate of the HrPt ecosystem in this study area surpasses the annual average rate of Shaanxi Province, possibly due to the faster growth rate of HrPt leading to increased C input until reaching equilibrium. N-fixing tree species like H. rhamnoides can enhance N availability in ecosystems by fixing atmospheric N, enriching the soil, and improving N storage rates [43]. However, the P sequestration rate in the HrPt ecosystem decreased in contrast to pure forest due to the high demand for P by biological N-fixation, despite N-fixing tree species promoting the accumulation of soil organic P fractions. The interaction between species-specific soil microbial composition of different mixture species was not considered [44]. A significant proportion of soil P stock in the ecosystem contributes to the decline in the P sequestration rate.
5. Conclusions
Afforestation is an important measure to achieve vegetation restoration and sustainable development in the Loess Plateau of China. This paper discusses the effects of mixed afforestation on C, N, and P sequestration and storage capacity, as well as their controlling factors in drought-resistant tree species ecosystems in this region. The results showed that in comparison to Pt HrPt significantly increased C, N, and P stocks in the vegetation layer and 0–10 cm soil layer. In contrast with Hr, HrPt significantly enhanced the C, N, and P stocks in the vegetation layer. But in the 20–200 cm soil layer, the C, N, and P stocks of HrPt were lower than those of Hr and Pt. Moreover, in contrast with the pure forest, HrPt significantly increased ecosystem C and N stocks but decreased P stocks. In addition, C, N, and P stocks in the soil layer accounted for more than 60% of the C, N, and P stocks in the pure and mixed forest ecosystems compared with the vegetation layer. At the same time, in comparison to pure forest, HrPt significantly increased ecosystem C and N sequestration rates but decreased P sequestration rates. Furthermore, the soil physicochemical properties can be inferred from the redundancy analysis, with 66.79% and 0.06% in Hr, 44.84% and 0.06% in Pt, and 44.28% and 0.04% in HrPt, respectively. The research establishes a foundational theory for the rational and sustainable management of regional artificial mixed-species restoration efforts. However, due to the intricate and variable nature of internal ecological environments in mixed forest ecosystems, our understanding of nutrient mechanisms may be limited by sampling data collected only during periods of vigorous growth. Therefore, future research should focus on enhancing the frequency of inter-annual or intra-annual observations, coupled with isotope technology, to investigate the influence mechanism of introducing N-fixing tree species on ecosystem reserves, sequestration capacity, and storage capacity.
Author Contributions
Y.C. (Yunming Chen), Y.N. and X.W. (Xu Wu): conceived and designed the experiments; B.M., Y.C. (Yueyan Chen), R.J., X.W. (Xiaolan Wei) and X.L.: performed the experiments; W.Y.: analyzed the data and wrote the paper. All authors have read and agreed to the published version of the manuscript.
Funding
This study was supported by the National Natural Science Foundation of China (42207397), the Fundamental Research Program of Shanxi Province, China (20210302124074), and the Fundamental Research Program of Shanxi Province, China (20210302124373).
Data Availability Statement
The data presented in this study are available upon request from the corresponding author. The data are not publicly available due to the laboratory’s policy and confidentiality agreements.
Conflicts of Interest
The authors declare that they have no known competing financial interests or personal relationships that could have appeared to influence the work reported in this paper.
References
- Cai, Y.; Chang, S.X. Disturbance Effects on Soil Carbon and Greenhouse Gas Emissions in Forest Ecosystems. Forests 2020, 11, 297. [Google Scholar] [CrossRef]
- Yu, S.; Yang, J.; Norghauer, J.M.; Yang, J.; Yang, B.; Zhang, H.; Li, X. Soil Carbon and Nitrogen Stocks and Their Influencing Factors in Different-Aged Stands of Sand-Fixing Caragana korshinskii in the Mu Us Desert of Northwest China. Forests 2024, 15, 1018. [Google Scholar] [CrossRef]
- Nolander, C.; Lundmark, R. A Review of Forest Ecosystem Services and Their Spatial Value Characteristics. Forests 2024, 15, 919. [Google Scholar] [CrossRef]
- Lu, S.B.; Chen, Y.M.; Sardans, J.; Pen, J.S. Ecological stoichiometric comparison of plant-litter-soil system in mixed-species and monoculture plantations of Robinia pseudoacacia, Amygdalus davidiana, and Armeniaca sibirica in the Loess Hilly Region of China. For. Ecosyst. 2023, 10, 14. [Google Scholar] [CrossRef]
- Voigtlaender, M.; Brandani, C.B.; Caldeira, D.R.M.; Tardy, F.; Bouillet, J.P.; Gonçalves, J.L.M.; Moreira, M.Z.; Leite, F.P.; Brunet, D.; Paula, R.R.; et al. Nitrogen cycling in monospecific and mixed-species plantations of Acacia mangium and Eucalyptus at 4 sites in Brazil. For. Ecol. Manag. 2019, 436, 56–67. [Google Scholar] [CrossRef]
- Deng, L.; Shangguan, Z.P. Afforestation Drives Soil Carbon and Nitrogen Changes in China. Land Degrad. Dev. 2017, 28, 151–165. [Google Scholar] [CrossRef]
- Ji, Y.R.; Zhang, P.; Shen, H.L. Competition intensity affects growing season nutrient dynamics in Korean pine trees and their microhabitat soil in mixed forest. For. Ecol. Manag. 2023, 539, 15. [Google Scholar] [CrossRef]
- Yan, J.; Huang, X.; Su, X.; Zhang, W.; Gao, G.; You, Y. Introducing N2-Fixing Tree Species into Eucalyptus Plantation in Subtropical China Alleviated Carbon and Nitrogen Constraints within Soil Aggregates. Forests 2022, 13, 2102. [Google Scholar] [CrossRef]
- Wang, S.; Fan, J.; Ge, J.M.; Wang, Q.M.; Fu, W. Discrepancy in tree transpiration of Salix matsudana, Populus simonii under distinct soil, topography conditions in an ecological rehabilitation area on the Northern Loess Plateau. For. Ecol. Manag. 2019, 432, 675–685. [Google Scholar] [CrossRef]
- Nickmans, H.; Collet, C.; Bonal, D.; Verheyen, K.; Ponette, Q. Tree size and local neighbourhood affect foliar nutrient content in a mixed plantation of beech (Fagus sylvatica) and maple (Acer pseudoplatanus). For. Ecol. Manag. 2017, 400, 159–172. [Google Scholar] [CrossRef]
- Wu, X.; Niu, Y.B.; Xun, M.Y.; Jin, J.Y.; Tang, Y.K.; Chen, Y.M. Soil Carbon, Nitrogen, and Phosphorus Storages and Their Stoichiometry Due to Mixed Afforestation with Hippophae rhamnoides in the Loess Hilly Region, China. Forests 2021, 12, 1718. [Google Scholar] [CrossRef]
- Zhang, J.-T.; Chen, T. Effects of mixed Hippophae rhamnoides on community and soil in planted forests in the Eastern Loess Plateau, China. Ecol. Eng. 2007, 31, 115–121. [Google Scholar] [CrossRef]
- Wu, X.; Niu, Y.B.; Chen, Y.M.; Dong, C.G.; Qiao, Y.N. Carbon, Nitrogen and Phosphorus Stoichiometry Characteristies in Leaf, Litter and Soil at Mixed Forests of Hippophae rhamnoides in the Loess Hilly Region of China. J. Soil Water Conserv. 2021, 35, 8. (In Chinese) [Google Scholar] [CrossRef]
- Li, Z.W.; Zhang, G.H.; Geng, R.; Wang, H.; Zhang, X.C. Land use impacts on soil detachment capacity by overland flow in the Loess Plateau, China. Catena 2015, 124, 9–17. [Google Scholar] [CrossRef]
- Geng, Z.C.; Jia, H.T. Soil Science, 2nd ed.; Science Press: Beijing, China, 2020. [Google Scholar]
- Smal, H.; Ligęza, S.; Pranagal, J.; Urban, D.; Pietruczyk-Popławska, D. Changes in the stocks of soil organic carbon, total nitrogen and phosphorus following. For. Ecol. Manag. 2019, 451, 12. [Google Scholar] [CrossRef]
- Liu, Y.C.; Wang, Q.F.; Yu, G.R.; Zhu, X.J.; Hu, Z.M. Ecosystems carbon storage and carbon sequestration potential of two main tree species for the Grain for Green Project on China’s hilly Loess Plateau. Acta Ecol. Sin. 2011, 31, 4277–4286. (In Chinese) [Google Scholar] [CrossRef]
- Ai, Z.M.; Chen, Y.M.; Cao, Y. Storage and allocation of carbon and nitrogen in Robinia pseudoacacia plantation at different ages in the loess hilly region, China. Chin. J. Appl. Ecol. 2014, 25, 333–341. [Google Scholar] [CrossRef]
- El-Hussieny, S.A.; Ismail, I.M. Role of Avicennia marina (Forssk.) Vierh. of south Sinai, Egypt in atmospheric CO2 sequestration. Int. J. Sci. Res 2015, 6, 1935–1946. [Google Scholar]
- You, Y.M.; Huang, X.M.; Zhu, H.G.; Liu, S.R.; Liang, H.W.; Wen, Y.G.; Wang, H.; Cai, D.X.; Ye, D. Positive interactions between Pinus massoniana and Castanopsis hystrix species in the uneven-aged mixed plantations can produce more ecosystem carbon in subtropical China. For. Ecol. Manag. 2018, 410, 193–200. [Google Scholar] [CrossRef]
- Feng, Y.H.; Schmid, B.; Loreau, M.; Forrester, D.; Fei, S.L.; Zhu, J.X.; Tang, Z.Y.; Zhu, J.L.; Hong, P.B.; Ji, C.J.; et al. Multispecies forest plantations outyield monocultures across a broad range of conditions. Science 2022, 376, 865–868. [Google Scholar] [CrossRef] [PubMed]
- Li, X.W.; Sun, K.; Li, F.Y. Variation in leaf nitrogen and phosphorus stoichiometry in the nitrogen-fixing Chinese sea-buckthorn (Hippophae rhamnoides L. subsp sinensis Rousi) across northern China. Ecol. Res. 2014, 29, 723–731. [Google Scholar] [CrossRef]
- Jiang, P.P.; Cao, Y.; Chen, Y.M.; Zhao, Y.P. N and P stoichiometric characteristics of leaves, litter, and soil for three dominant tree species in the Shaanxi Province. Acta Ecol. Sin. 2017, 37, 443–454. (In Chinese) [Google Scholar] [CrossRef]
- Fang, X.M.; Zhang, X.L.; Zong, Y.Y.; Zhang, Y.; Wan, S.Z.; Bu, W.S.; Chen, F.S. Soil phosphorus functional fractions and tree tissue nutrient concentrations influenced by stand density in subtropical Chinese fir plantation forests. PLoS ONE 2017, 12, 17. [Google Scholar] [CrossRef] [PubMed]
- Rog, I.; Tague, C.; Jakoby, G.; Megidish, S.; Yaakobi, A.; Wagner, Y.; Klein, T. Interspecific Soil Water Partitioning as a Driver of Increased Productivity in a Diverse Mixed Mediterranean Forest. J. Geophys. Res. Biogeosci. 2021, 126, 22. [Google Scholar] [CrossRef]
- Rog, I.; Hilman, B.; Fox, H.; Yalin, D.; Qubaja, R.; Klein, T. Increased belowground tree carbon allocation in a mature mixed forest in a dry versus a wet year. Glob. Change Biol. 2024, 30, 15. [Google Scholar] [CrossRef] [PubMed]
- Brunn, M.; Krüger, J.; Lang, F. Experimental drought increased the belowground sink strength towards higher topsoil organic carbon stocks in a temperate mature forest. Geoderma 2023, 431, 10. [Google Scholar] [CrossRef]
- Marron, N.; Epron, D. Are mixed-tree plantations including a nitrogen-fixing species more productive than monocultures? For. Ecol. Manag. 2019, 441, 242–252. [Google Scholar] [CrossRef]
- Tumber-Dávila, S.J.; Schenk, H.J.; Du, E.Z.; Jackson, R.B. Plant sizes and shapes above and belowground and their interactions with climate. N. Phytol. 2022, 235, 1032–1056. [Google Scholar] [CrossRef]
- Tang, Y.K.; Wang, L.N.; Zhou, Y.; Geng, X.Q.; Deng, X.; Zhang, Z.L. Drought decreases symbiotic nitrogen fixation and nitrogen transfer in a Populus tomentosa-Hippophae rhamnoides mixed plantation on the semiarid Loess Plateau, China. For. Ecol. Manag. 2024, 558, 9. [Google Scholar] [CrossRef]
- Pereira, A.P.D.; Santana, M.C.; Zagatto, M.R.G.; Brandani, C.B.; Wang, J.T.; Verma, J.P.; Singh, B.K.; Cardoso, E. Nitrogen-fixing trees in mixed forest systems regulate the ecology of fungal community and phosphorus cycling. Sci. Total Environ. 2021, 758, 13. [Google Scholar] [CrossRef] [PubMed]
- Guo, J.H.; Feng, H.L.; McNie, P.; Liu, Q.Y.; Xu, X.; Pan, C.; Yan, K.; Feng, L.; Goitom, E.A.; Yu, Y.C. Species mixing improves soil properties and enzymatic activities in Chinese fir plantations: A meta-analysis. Catena 2023, 220, 10. [Google Scholar] [CrossRef]
- Zhao, J.Y.; Li, X.Y.; Li, S.Y.; Liu, Y.; Zhang, J.D.; Fan, J.G. Soil Organic Carbon Storage and Vertical Distribution of Carbon and Nitrogen under Different Forest Types in the Laotudingzi Mountain of Liaoning. J. Northeast For. Univ. 2016, 44, 65–68+78. (In Chinese) [Google Scholar] [CrossRef]
- Zhou, G.Y.; Xu, S.; Ciais, P.; Manzoni, S.; Fang, J.Y.; Yu, G.R.; Tang, X.L.; Zhou, P.; Wang, W.T.; Yan, J.H.; et al. Climate and litter C/N ratio constrain soil organic carbon accumulation. Natl. Sci. Rev. 2019, 6, 746–757. [Google Scholar] [CrossRef] [PubMed]
- Yang, M.; Yang, D.; Yu, X. Soil microbial communities and enzyme activities in sea-buckthorn (Hippophae rhamnoides) plantation at different ages. PLoS ONE 2018, 13, 15. [Google Scholar] [CrossRef] [PubMed]
- Wang, X.; Bi, Y.L.; Wang, Y.; Tian, Y.; Li, Q.; Du, X.P.; Guo, Y. Effects of Planting Density of Hippophae rhamnoides and Inoculation of AMF on Understory Vegetation Growth and Soil Improvement. Sci. Silvae Sin. 2023, 59, 138–149. (In Chinese) [Google Scholar] [CrossRef]
- Li, J.W.; Li, M.Y.; Dong, L.B.; Wang, K.B.; Liu, Y.L.; Hai, X.Y.; Pan, Y.J.; Lv, W.W.; Wang, X.Z.; Shangguan, Z.P.; et al. Plant productivity and microbial composition drive soil carbon and nitrogen sequestrations following cropland abandonment. Sci. Total Environ. 2020, 744, 10. [Google Scholar] [CrossRef]
- Crowther, T.W.; Riggs, C.; Lind, E.M.; Borer, E.T.; Seabloom, E.W.; Hobbie, S.E.; Wubs, J.; Adler, P.B.; Firn, J.; Gherardi, L.; et al. Sensitivity of global soil carbon stocks to combined nutrient enrichment. Ecol. Lett. 2019, 22, 936–945. [Google Scholar] [CrossRef] [PubMed]
- Zhang, X.B.; Zhang, Z.H.; Lu, X.K. Responses of soil microbial carbon use efficiency to elevated nitrogen deposition in forest ecosystems. Adv. Earth Sci. 2023, 38, 999–1014. (In Chinese) [Google Scholar] [CrossRef]
- Luo, Y.Q.; Ahlström, A.; Allison, S.D.; Batjes, N.H.; Brovkin, V.; Carvalhais, N.; Chappell, A.; Ciais, P.; Davidson, E.A.; Finzi, A.C.; et al. Toward more realistic projections of soil carbon dynamics by Earth system models. Glob. Biogeochem. Cycle 2016, 30, 40–56. [Google Scholar] [CrossRef]
- Lehmann, J.; Kleber, M. The contentious nature of soil organic matter. Nature 2015, 528, 60–68. [Google Scholar] [CrossRef] [PubMed]
- Yu, Z.J.; Wang, K.B.; Li, J.W.; Shangguan, Z.P.; Deng, L. Mixed plantations have more soil carbon sequestration benefits than pure plantations in China. For. Ecol. Manag. 2023, 529, 9. [Google Scholar] [CrossRef]
- Forrester, D.I. The spatial and temporal dynamics of species interactions in mixed-species forests: From pattern to process. For. Ecol. Manag. 2014, 312, 282–292. [Google Scholar] [CrossRef]
- Qin, F.C.; Yang, F.C.; Ming, A.G.; Jia, H.Y.; Zhou, B.J.; Xiong, J.F.; Lu, J.K. Mixture enhances microbial network complexity of soil carbon, nitrogen and phosphorus cycling in Eucalyptus plantations. For. Ecol. Manag. 2024, 553, 11. [Google Scholar] [CrossRef]
Disclaimer/Publisher’s Note: The statements, opinions and data contained in all publications are solely those of the individual author(s) and contributor(s) and not of MDPI and/or the editor(s). MDPI and/or the editor(s) disclaim responsibility for any injury to people or property resulting from any ideas, methods, instructions or products referred to in the content. |
© 2024 by the authors. Licensee MDPI, Basel, Switzerland. This article is an open access article distributed under the terms and conditions of the Creative Commons Attribution (CC BY) license (https://creativecommons.org/licenses/by/4.0/).









