Different Responses of Terrestrial Carbon Fluxes to Environmental Changes in Cold Temperate Forest Ecosystems
Abstract
1. Introduction
2. Materials and Methods
2.1. Study Area and Dataset
2.2. Statistical Analysis
2.2.1. Standardized Anomalies (SA)
2.2.2. Spearman’s Rank Correlation Test
2.2.3. The Original Mann–Kendall Trend Test (MK)
2.2.4. Path Analysis
2.2.5. Partial Least Squares (PLS)
3. Results
3.1. Correlations between Carbon Fluxes and Environmental Factors
3.2. Responses of the Annual Carbon Fluxes to Environmental Changes
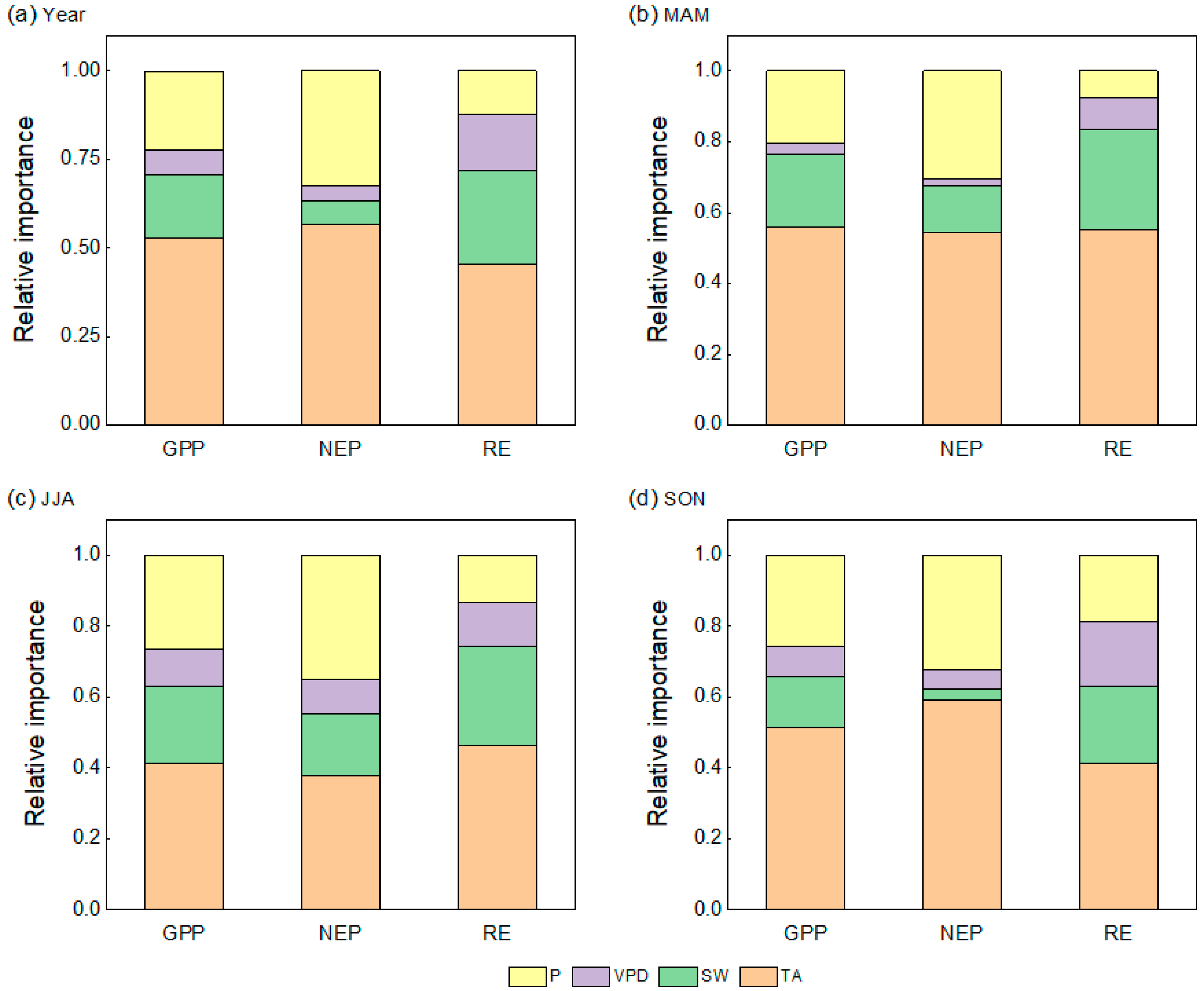
3.3. Relative Contributions of Different Environmental Factors to the Annual Carbon Fluxes
4. Discussion
4.1. Changes in Environmental Factors Lead to Consistent or Decoupled Trends in GPP and NEP
4.2. Seasonally Dependent Responses of Carbon Fluxes to Environmental Factors
5. Conclusions
- There were substantial differences in the effects of environmental factors on GPP and NEP at different sites, with thirteen sites displaying synchronous increases in GPP and NEP over time, of which six had significant positive correlations between GPP and NEP. One site exhibited a decoupling of GPP and NEP with a negative correlation. There were consistent trends in both GPP and NEP when temperature and precipitation had significantly opposite trends and when temperature had a significantly positive correlation with VPD across annual and seasonal scales. Conversely, a decoupling of GPP and NEP occurred when VPDMAM was significantly negatively correlated with both TAMAM and SWMAM and when TAJJA was negatively correlated with both SWJJA and VPDJJA. In addition, the responses of GPP and NEP to changes in environmental factors differed significantly across seasons.
- At forest sites with consistent trends in GPP and NEP, annual, spring, and summer temperatures had significant positive correlations with GPP and RE, while at the forest site where GPP and NEP were decoupled, environmental factors had a stronger effect on RE.
- At the forest sites where the trends in GPP and NEP were consistent, the contribution of temperature to carbon fluxes was much greater than that of other environmental factors, and spring and autumn temperatures contributed more than 50% to GPP and NEP. Autumn temperatures contributed significantly more to NEP than to GPP and RE.
- At the forest site where GPP was decoupled from NEP, annual and summer VPD had a large contribution to GPP, accounting for 60% of the effect of all environmental factors. Additionally, spring radiation and summer precipitation dominated the contribution to NEP, promoting carbon sequestration.
Author Contributions
Funding
Data Availability Statement
Acknowledgments
Conflicts of Interest
Appendix A
| Site | GPP | NEP | RE | TAyear | SWyear | VPDyear | Pyear | TAMAM | SWMAM | VPDMAM | PMAM | TAJJA | SWJJA | VPDJJA | PJJA | TASON | SWSON | VPDSON | PSON |
|---|---|---|---|---|---|---|---|---|---|---|---|---|---|---|---|---|---|---|---|
| FI-Hyy | 3.64 * | 2.96 * | 2.45 * | 2.00 * | −0.48 | −0.48 | −0.08 | 1.33 | 0.14 | 0.65 | −1.10 | 0.37 | 0.25 | 0.54 | −0.42 | 0.37 | −1.72 * | −3.07 * | 0.31 |
| DE-Tha | 1.03 | 0.66 | 1.40 | 2.51 * | 2.14 * | 2.46 * | −0.13 | 0.87 | 0.82 | 1.35 | −2.03 * | 3.04 * | 3.35 * | 2.93 * | −0.55 | 1.98 * | 0.50 | 0.92 | −0.29 |
| US-GLE | 2.56 * | 2.93 * | 1.46 | 1.71 * | 0.12 | 2.07 * | −0.73 | 1.71 * | 0.24 | 0.98 | −0.12 | 1.71 * | 1.22 | 1.71 * | −1.59 | 0.49 | −0.24 | 1.34 | −0.37 |
| CZ-BK1 | 2.57 * | 2.46 * | 1.70 | 1.92 * | −0.27 | 1.26 | −0.71 | 1.37 | 0.27 | 0.60 | −0.49 | 1.70 * | 0.93 | 1.59 | −0.49 | 0.93 | −0.27 | 0.60 | −1.26 |
| US-NR1 | 1.27 | 1.09 | 0.72 | 1.35 | −0.54 | 0.05 | 1.08 | 0.90 | 0.54 | 1.44 | 0.90 | 0.72 | 0.09 | 0.09 | −0.09 | 2.43 * | −0.27 | 1.26 | −1.17 |
| CA-TP3 | 3.23 * | 2.03 * | 1.15 | 0.38 | 0.71 | −0.49 | −1.15 | −0.38 | −0.93 | −0.05 | 0.60 | −0.60 | −1.48 | −0.71 | −1.92 * | 0.60 | 1.15 | 0.60 | −0.16 |
| DE-Obe | 0.23 | 0.86 | 0.54 | 1.95 * | 1.32 | 1.63 * | −2.10 * | 0.08 | 0.23 | 0.39 | −1.01 | 2.72 * | 2.72 * | 2.26 * | −1.95 * | 1.32 | 0.39 | 0.86 | −0.70 |
| FI-Let | 0.46 | 0.99 | 0.29 | 1.73 * | 1.24 | 0.00 | 1.48 | 0.49 | 1.98 * | 0.99 | 0.49 | 0.24 | 0.25 | 0.25 | −0.25 | 0.49 | 0.25 | 0.25 | 0.49 |
| IT-Ren | 3.20 * | 0.66 | 4.11 * | 3.38 * | −0.42 | 1.93 * | 1.15 | 0.97 | 0.12 | 1.09 | −0.79 | 2.90 * | 0.60 | 1.21 | 0.48 | 1.93 * | 0.00 | 1.15 | 0.48 |
| US-Ho2 | 1.48 | 0.91 | 1.24 | 0.82 | 2.22 * | 2.80 * | −0.41 | 0.16 | 0.82 | 0.49 | −0.82 | 1.73 * | 2.97 * | 2.88 * | −1.24 | 0.16 | 0.41 | 1.73 * | −0.91 |
| FI-Sod | 0.27 | 0.27 | 0.05 | 0.93 | −1.04 | −0.60 | 0.93 | −0.05 | −1.04 | −0.60 | 1.37 | 0.93 | 0.82 | 0.16 | −0.05 | 1.37 | 0.27 | −0.77 | 0.38 |
| CA-Man | 0.23 | 2.10 * | 1.17 | 0.08 | −0.39 | −0.23 | 1.01 | 1.32 | 0.23 | 0.54 | 0.86 | 0.08 | 0.23 | 0.08 | −0.54 | 2.10 * | −2.57 * | −1.17 | 1.32 |
| RU-Fyo | 0.54 | 1.63 | 0.05 | 0.54 | 0.64 | 0.05 | −0.25 | 0.05 | 0.64 | 0.74 | 0.05 | 0.64 | 0.54 | 0.35 | −0.25 | −0.94 | −0.64 | −1.04 | −0.05 |
| CA-Obs | 2.41 * | −1.48 | 3.04 * | −0.23 | 0.86 | −0.70 | −0.39 | 0.08 | 0.86 | −1.01 | 0.70 | −0.54 | 0.08 | 0.08 | −0.86 | −0.39 | −1.32 | −0.08 | 1.95 |
References
- Desai, A.R.; Murphy, B.A.; Wiesner, S.; Thom, J.; Butterworth, B.J.; Koupaei-Abyazani, N.; Muttaqin, A.; Paleri, S.; Talib, A.; Turner, J.; et al. Drivers of decadal carbon fluxes across temperate ecosystems. J. Geophys. Res. Biogeosci. 2022, 127, e2022JG007014. [Google Scholar] [CrossRef] [PubMed]
- Woodwell, G.M.; Whittaker, R.H. Primary production in terrestrial ecosystems. Am. Zool. 1968, 8, 19–30. [Google Scholar] [CrossRef]
- Lovett, G.M.; Cole, J.J.; Pace, M.L. Is net ecosystem production equal to ecosystem carbon accumulation? Ecosystems 2006, 9, 152–155. [Google Scholar] [CrossRef]
- Hirata, R.; Hirano, T.; Saigusa, N.; Fujinuma, Y.; Inukai, K.; Kitamori, Y.; Takahashi, Y.; Yamamoto, S. Seasonal and interannual variations in carbon dioxide exchange of a temperate larch forest. Agric. For. Meteorol. 2007, 147, 110–124. [Google Scholar] [CrossRef]
- Pan, Y.; Birdsey, R.A.; Fang, J.; Houghton, R.; Kauppi, P.E.; Kurz, W.A.; Phillips, O.L.; Shvidenko, A.; Lewis, S.L.; Canadell, J.G. A large and persistent carbon sink in the world’s forests. Science 2011, 333, 988–993. [Google Scholar] [CrossRef] [PubMed]
- Asner, G.P.; Seastedt, T.R.; Townsend, A.R. The decoupling of terrestrial carbon and nitrogen cycles. BioScience 1997, 47, 226–234. [Google Scholar] [CrossRef]
- Cowan, I. Stomatal behaviour and environment. In Advances in Botanical Research; Elsevier: Amsterdam, The Netherlands, 1978; Volume 4, pp. 117–228. [Google Scholar]
- Jiang, F.; He, W.; Ju, W.; Wang, H.; Wu, M.; Wang, J.; Feng, S.; Zhang, L.; Chen, J.M. The status of carbon neutrality of the world’s top 5 CO2 emitters as seen by carbon satellites. Fundam. Res. 2022, 2, 357–366. [Google Scholar] [CrossRef]
- Wang, H.; Jiang, F.; Liu, Y.; Yang, D.; Wu, M.; He, W.; Wang, J.; Wang, J.; Ju, W.; Chen, J.M. Global terrestrial ecosystem carbon flux inferred from TanSat XCO2 retrievals. J. Remote Sens. 2022, 2022, 9816536. [Google Scholar] [CrossRef]
- Baldocchi, D. Measuring fluxes of trace gases and energy between ecosystems and the atmosphere–the state and future of the eddy covariance method. Glob. Chang. Biol. 2014, 20, 3600–3609. [Google Scholar] [CrossRef]
- Stoy, P.C.; Richardson, A.D.; Baldocchi, D.D.; Katul, G.G.; Stanovick, J.; Mahecha, M.D.; Reichstein, M.; Detto, M.; Law, B.E.; Wohlfahrt, G.J.B. Biosphere-atmosphere exchange of CO2 in relation to climate: A cross-biome analysis across multiple time scales. Biogeosciences 2009, 6, 2297–2312. [Google Scholar] [CrossRef]
- Bonan, G.B.; Lombardozzi, D.L.; Wieder, W.R.; Oleson, K.W.; Lawrence, D.M.; Hoffman, F.M.; Collier, N. Model structure and climate data uncertainty in historical simulations of the terrestrial carbon cycle (1850–2014). Glob. Biogeochem. Cycles 2019, 33, 1310–1326. [Google Scholar] [CrossRef]
- Ge, R.; He, H.; Ren, X.; Zhang, L.; Yu, G.; Smallman, T.L.; Zhou, T.; Yu, S.Y.; Luo, Y.; Xie, Z. Underestimated ecosystem carbon turnover time and sequestration under the steady state assumption: A perspective from long-term data assimilation. Glob. Chang. Biol. 2019, 25, 938–953. [Google Scholar] [CrossRef] [PubMed]
- Beer, C.; Reichstein, M.; Tomelleri, E.; Ciais, P.; Jung, M.; Carvalhais, N.; Rödenbeck, C.; Arain, M.A.; Baldocchi, D.; Bonan, G.B. Terrestrial gross carbon dioxide uptake: Global distribution and covariation with climate. Science 2010, 329, 834–838. [Google Scholar] [CrossRef] [PubMed]
- Valentini, R.; Matteucci, G.; Dolman, A.; Schulze, E.-D.; Rebmann, C.; Moors, E.; Granier, A.; Gross, P.; Jensen, N.; Pilegaard, K. Respiration as the main determinant of carbon balance in European forests. Nature 2000, 404, 861–865. [Google Scholar] [CrossRef] [PubMed]
- Zhang, W.-J.; Wang, H.-M.; Yang, F.-T.; Yi, Y.-H.; Wen, X.-F.; Sun, X.-M.; Yu, G.-R.; Wang, Y.-D.; Ning, J.-C. Underestimated effects of low temperature during early growing season on carbon sequestration of a subtropical coniferous plantation. Biogeosciences 2011, 8, 1667–1678. [Google Scholar] [CrossRef]
- Yan, J.; Zhang, Y.; Yu, G.; Zhou, G.; Zhang, L.; Li, K.; Tan, Z.; Sha, L. Seasonal and inter-annual variations in net ecosystem exchange of two old-growth forests in southern China. Agric. For. Meteorol. 2013, 182, 257–265. [Google Scholar] [CrossRef]
- Fu, Z.; Ciais, P.; Prentice, I.C.; Gentine, P.; Makowski, D.; Bastos, A.; Luo, X.; Green, J.K.; Stoy, P.C.; Yang, H. Atmospheric dryness reduces photosynthesis along a large range of soil water deficits. Nat. Commun. 2022, 13, 989. [Google Scholar] [CrossRef] [PubMed]
- Higgins, S.I.; O’Hara, R.B.; Bykova, O.; Cramer, M.D.; Chuine, I.; Gerstner, E.M.; Hickler, T.; Morin, X.; Kearney, M.R.; Midgley, G.F. A physiological analogy of the niche for projecting the potential distribution of plants. J. Biogeogr. 2012, 39, 2132–2145. [Google Scholar] [CrossRef]
- Zhang, Y.; Parazoo, N.C.; Williams, A.P.; Zhou, S.; Gentine, P. Large and projected strengthening moisture limitation on end-of-season photosynthesis. Proc. Natl. Acad. Sci. USA 2020, 117, 9216–9222. [Google Scholar] [CrossRef]
- Zscheischler, J.; Fatichi, S.; Wolf, S.; Blanken, P.D.; Bohrer, G.; Clark, K.; Desai, A.R.; Hollinger, D.; Keenan, T.; Novick, K. Short-term favorable weather conditions are an important control of interannual variability in carbon and water fluxes. J. Geophys. Res. Biogeosci. 2016, 121, 2186–2198. [Google Scholar] [CrossRef]
- Reichstein, M.; Papale, D.; Valentini, R.; Aubinet, M.; Bernhofer, C.; Knohl, A.; Laurila, T.; Lindroth, A.; Moors, E.; Pilegaard, K. Determinants of terrestrial ecosystem carbon balance inferred from European eddy covariance flux sites. Geophys. Res. Lett. 2007, 34, L01402. [Google Scholar] [CrossRef]
- Xu, B.; Yang, Y.; Li, P.; Shen, H.; Fang, J. Global patterns of ecosystem carbon flux in forests: A biometric data-based synthesis. Glob. Biogeochem. Cycles 2014, 28, 962–973. [Google Scholar] [CrossRef]
- Piao, S.; Wang, X.; Park, T.; Chen, C.; Lian, X.; He, Y.; Bjerke, J.W.; Chen, A.; Ciais, P.; Tømmervik, H. Characteristics, drivers and feedbacks of global greening. Nat. Rev. Earth Environ. 2020, 1, 14–27. [Google Scholar] [CrossRef]
- Peel, M.C.; Finlayson, B.L.; McMahon, T.A. Updated world map of the Köppen-Geiger climate classification. Hydrol. Earth Syst. Sci. 2007, 11, 1633–1644. [Google Scholar] [CrossRef]
- Baldocchi, D.; Falge, E.; Gu, L.; Olson, R.; Hollinger, D.; Running, S.; Anthoni, P.; Bernhofer, C.; Davis, K.; Evans, R. FLUXNET: A new tool to study the temporal and spatial variability of ecosystem-scale carbon dioxide, water vapor, and energy flux densities. Bull. Am. Meteorol. Soc. 2001, 82, 2415–2434. [Google Scholar] [CrossRef]
- Desai, A.R.; Noormets, A.; Bolstad, P.V.; Chen, J.; Cook, B.D.; Davis, K.J.; Euskirchen, E.S.; Gough, C.; Martin, J.G.; Ricciuto, D.M. Influence of vegetation and seasonal forcing on carbon dioxide fluxes across the Upper Midwest, USA: Implications for regional scaling. Agric. For. Meteorol. 2008, 148, 288–308. [Google Scholar] [CrossRef]
- Chok, N.S. Pearson’s versus Spearman’s and Kendall’s Correlation Coefficients for Continuous Data; University of Pittsburgh: Pittsburgh, PA, USA, 2010. [Google Scholar]
- Chen, P.Y.; Popovich, P.M. Correlation: Parametric and Nonparametric Measures; Sage: Thousand Oaks, CA, USA, 2002. [Google Scholar]
- Kendall, M.G. Rank Correlation Methods; Springer: Boston, MA, USA, 1948. [Google Scholar]
- Gocic, M.; Trajkovic, S. Analysis of changes in meteorological variables using Mann-Kendall and Sen’s slope estimator statistical tests in Serbia. Glob. Planet. Chang. 2013, 100, 172–182. [Google Scholar] [CrossRef]
- Hoerl, A.E.; Kennard, R.W. Ridge regression: Applications to nonorthogonal problems. Technometrics 1970, 12, 69–82. [Google Scholar] [CrossRef]
- Wold, H. Soft modelling: The basic design and some extensions. In Systems under Indirect Observation, Part II; North-Holland: Amsterdam, The Netherland, 1982; pp. 1–54. [Google Scholar]
- Feng, Z.; Zhou, L.; Zhou, G.; Wang, Y.; Zhou, H.; Lv, X.; Liu, L. Variation in and Regulation of Carbon Use Efficiency of Grassland Ecosystem in Northern China. Atmosphere 2024, 15, 678. [Google Scholar] [CrossRef]
- Grömping, U. Relative importance for linear regression in R: The package relaimpo. J. Stat. Softw. 2007, 17, 1–27. [Google Scholar]
- Takahashi, S.; Murata, N. How do environmental stresses accelerate photoinhibition? Trends Plant Sci. 2008, 13, 178–182. [Google Scholar] [CrossRef] [PubMed]
- Piao, S.; Friedlingstein, P.; Ciais, P.; Peylin, P.; Zhu, B.; Reichstein, M. Footprint of temperature changes in the temperate and boreal forest carbon balance. Geophys. Res. Lett. 2009, 36, L07404. [Google Scholar] [CrossRef]
- Sage, R.F.; Kubien, D.S. The temperature response of C3 and C4 photosynthesis. Plant Cell Environ. 2007, 30, 1086–1106. [Google Scholar] [CrossRef] [PubMed]
- Crafts-Brandner, S.J.; Salvucci, M.E. Rubisco activase constrains the photosynthetic potential of leaves at high temperature and CO2. Proc. Natl. Acad. Sci. USA 2000, 97, 13430–13435. [Google Scholar] [CrossRef] [PubMed]
- Reichstein, M.; Bahn, M.; Ciais, P.; Frank, D.; Mahecha, M.D.; Seneviratne, S.I.; Zscheischler, J.; Beer, C.; Buchmann, N.; Frank, D.C. Climate extremes and the carbon cycle. Nature 2013, 500, 287–295. [Google Scholar] [CrossRef]
- Bonan, G.B. Forests and climate change: Forcings, feedbacks, and the climate benefits of forests. Science 2008, 320, 1444–1449. [Google Scholar] [CrossRef] [PubMed]
- Diao, H.; Cernusak, L.A.; Saurer, M.; Gessler, A.; Siegwolf, R.T.; Lehmann, M.M. Disentangling Direct Effects of Temperature and Vapour Pressure Deficit on Leaf Gas Exchange: Mechanistic Insights from Online Stable Isotope Techniques. In Proceedings of the EGU General Assembly 2024, Vienna, Austria, 14–19 April 2024. EGU24-7683. [Google Scholar] [CrossRef]
- Jalakas, P.; Takahashi, Y.; Waadt, R.; Schroeder, J.I.; Merilo, E. Molecular mechanisms of stomatal closure in response to rising vapour pressure deficit. New Phytol. 2021, 232, 468–475. [Google Scholar] [CrossRef] [PubMed]
- Xia, H.; Xu, X.; Xu, J.; Huang, Y.; Jiang, H.; Xu, X.; Zhang, T. Warming, rather than drought, remains the primary factor limiting carbon sequestration. Sci. Total Environ. 2024, 907, 167755. [Google Scholar] [CrossRef]
- Oleson, K.; Bonan, G.; Levis, S.; Vertenstein, M. Effects of land use change on North American climate: Impact of surface datasets and model biogeophysics. Clim. Dyn. 2004, 23, 117–132. [Google Scholar] [CrossRef]
- Gu, L.; Baldocchi, D.D.; Wofsy, S.C.; Munger, J.W.; Michalsky, J.J.; Urbanski, S.P.; Boden, T.A. Response of a deciduous forest to the Mount Pinatubo eruption: Enhanced photosynthesis. Science 2003, 299, 2035–2038. [Google Scholar] [CrossRef]
- Hirata, R.; Saigusa, N.; Yamamoto, S.; Ohtani, Y.; Ide, R.; Asanuma, J.; Gamo, M.; Hirano, T.; Kondo, H.; Kosugi, Y. Spatial distribution of carbon balance in forest ecosystems across East Asia. Agric. For. Meteorol. 2008, 148, 761–775. [Google Scholar] [CrossRef]
- Sasai, T.; Saigusa, N.; Nasahara, K.N.; Ito, A.; Hashimoto, H.; Nemani, R.; Hirata, R.; Ichii, K.; Takagi, K.; Saitoh, T.M. Satellite-driven estimation of terrestrial carbon flux over Far East Asia with 1-km grid resolution. Remote Sens. Environ. 2011, 115, 1758–1771. [Google Scholar] [CrossRef]
- Novick, K.A.; Ficklin, D.L.; Stoy, P.C.; Williams, C.A.; Bohrer, G.; Oishi, A.C.; Papuga, S.A.; Blanken, P.D.; Noormets, A.; Sulman, B.N. The increasing importance of atmospheric demand for ecosystem water and carbon fluxes. Nat. Clim. Chang. 2016, 6, 1023–1027. [Google Scholar] [CrossRef]
- Madani, N.; Kimball, J.S.; Jones, L.A.; Parazoo, N.C.; Guan, K. Global analysis of bioclimatic controls on ecosystem productivity using satellite observations of solar-induced chlorophyll fluorescence. Remote Sens. 2017, 9, 530. [Google Scholar] [CrossRef]
- Misson, L.; Rocheteau, A.; Rambal, S.; Ourcival, J.M.; Limousin, J.M.; Rodriguez, R. Functional changes in the control of carbon fluxes after 3 years of increased drought in a Mediterranean evergreen forest? Glob. Chang. Biol. 2010, 16, 2461–2475. [Google Scholar] [CrossRef]
- Noormets, A.; McNulty, S.G.; DeForest, J.L.; Sun, G.; Li, Q.; Chen, J. Drought during canopy development has lasting effect on annual carbon balance in a deciduous temperate forest. New Phytol. 2008, 179, 818–828. [Google Scholar] [CrossRef]
- Saleska, S.R.; Miller, S.D.; Matross, D.M.; Goulden, M.L.; Wofsy, S.C.; Da Rocha, H.R.; De Camargo, P.B.; Crill, P.; Daube, B.C.; de Freitas, H.C. Carbon in Amazon forests: Unexpected seasonal fluxes and disturbance-induced losses. Science 2003, 302, 1554–1557. [Google Scholar] [CrossRef] [PubMed]
- Magnani, F.; Mencuccini, M.; Borghetti, M.; Berbigier, P.; Berninger, F.; Delzon, S.; Grelle, A.; Hari, P.; Jarvis, P.G.; Kolari, P. The human footprint in the carbon cycle of temperate and boreal forests. Nature 2007, 447, 849–851. [Google Scholar] [CrossRef]
- Higgins, S.I.; Conradi, T.; Muhoko, E. Shifts in vegetation activity of terrestrial ecosystems attributable to climate trends. Nat. Geosci. 2023, 16, 147–153. [Google Scholar] [CrossRef]
- Seddon, A.W.; Macias-Fauria, M.; Long, P.R.; Benz, D.; Willis, K. Sensitivity of global terrestrial ecosystems to climate variability. Nature 2016, 531, 229–232. [Google Scholar] [CrossRef]
- Zhu, Z.; Piao, S.; Myneni, R.B.; Huang, M.; Zeng, Z.; Canadell, J.G.; Ciais, P.; Sitch, S.; Friedlingstein, P.; Arneth, A. Greening of the Earth and its drivers. Nat. Clim. Chang. 2016, 6, 791–795. [Google Scholar] [CrossRef]
- Chen, S.; Zou, J.; Hu, Z.; Chen, H.; Lu, Y. Global annual soil respiration in relation to climate, soil properties and vegetation characteristics: Summary of available data. Agric. For. Meteorol. 2014, 198, 335–346. [Google Scholar] [CrossRef]
- Ishizawa, M.; Mabuchi, K.; Shirai, T.; Inoue, M.; Morino, I.; Uchino, O.; Yoshida, Y.; Belikov, D.; Maksyutov, S. Inter-annual variability of summertime CO2 exchange in Northern Eurasia inferred from GOSAT XCO2. Environ. Res. Lett. 2016, 11, 105001. [Google Scholar] [CrossRef]
- Yue, C.; Ciais, P.; Bastos, A.; Chevallier, F.; Yin, Y.; Rödenbeck, C.; Park, T. Vegetation greenness and land carbon-flux anomalies associated with climate variations: A focus on the year 2015. Atmos. Chem. Phys. 2017, 17, 13903–13919. [Google Scholar] [CrossRef]
- Law, B.E.; Falge, E.; Gu, L.; Baldocchi, D.D.; Bakwin, P.; Berbigier, P.; Davis, K.; Dolman, A.J.; Falk, M.; Fuentes, J. Environmental controls over carbon dioxide and water vapor exchange of terrestrial vegetation. Agric. For. Meteorol. 2002, 113, 97–120. [Google Scholar] [CrossRef]
- Urbanski, S.; Barford, C.; Wofsy, S.; Kucharik, C.; Pyle, E.; Budney, J.; McKain, K.; Fitzjarrald, D.; Czikowsky, M.; Munger, J. Factors controlling CO2 exchange on timescales from hourly to decadal at Harvard Forest. J. Geophys. Res. Biogeosci. 2007, 112, G02020. [Google Scholar] [CrossRef]
- Schwalm, C.R.; Williams, C.A.; Schaefer, K.; Arneth, A.; Bonal, D.; Buchmann, N.; Chen, J.; Law, B.E.; Lindroth, A.; Luyssaert, S. Assimilation exceeds respiration sensitivity to drought: A FLUXNET synthesis. Glob. Chang. Biol. 2010, 16, 657–670. [Google Scholar] [CrossRef]
- Way, D.A.; Yamori, W. Thermal acclimation of photosynthesis: On the importance of adjusting our definitions and accounting for thermal acclimation of respiration. Photosynth. Res. 2014, 119, 89–100. [Google Scholar] [CrossRef] [PubMed]
- Richardson, A.D.; Andy Black, T.; Ciais, P.; Delbart, N.; Friedl, M.A.; Gobron, N.; Hollinger, D.Y.; Kutsch, W.L.; Longdoz, B.; Luyssaert, S. Influence of spring and autumn phenological transitions on forest ecosystem productivity. Philos. Trans. R. Soc. B Biol. Sci. 2010, 365, 3227–3246. [Google Scholar] [CrossRef]
- Chapin, F.S.; Matson, P.A.; Mooney, H.A.; Vitousek, P.M. Principles of Terrestrial Ecosystem Ecology; Springer: Berlin/Heidelberg, Germany, 2002. [Google Scholar]
- Seneviratne, S.I.; Corti, T.; Davin, E.L.; Hirschi, M.; Jaeger, E.B.; Lehner, I.; Orlowsky, B.; Teuling, A.J. Investigating soil moisture–climate interactions in a changing climate: A review. Earth-Sci. Rev. 2010, 99, 125–161. [Google Scholar] [CrossRef]
- Wang, X.; Wang, C.; Yu, G. The spatial and temporal pattern of global forest carbon exchange based on eddy covariance. Sci. China Ser. D Earth Sci. 2008, 38, 1092–1102. [Google Scholar]
- Xu, R.; Li, Y.; Teuling, A.J.; Zhao, L.; Spracklen, D.V.; Garcia-Carreras, L.; Meier, R.; Chen, L.; Zheng, Y.; Lin, H. Contrasting impacts of forests on cloud cover based on satellite observations. Nat. Commun. 2022, 13, 670. [Google Scholar] [CrossRef] [PubMed]
- Hicke, J.A.; Asner, G.P.; Randerson, J.T.; Tucker, C.; Los, S.; Birdsey, R.; Jenkins, J.C.; Field, C. Trends in North American net primary productivity derived from satellite observations, 1982–1998. Glob. Biogeochem. Cycles 2002, 16, 2-1–2-14. [Google Scholar] [CrossRef]
- Demmig-Adams, B.; Adams, W.W. Photoprotection and other responses of plants to high light stress. Annu. Rev. Plant Physiol. Plant Mol. Biol. 1992, 43, 599–626. [Google Scholar] [CrossRef]
- Atkin, O.K.; Bruhn, D.; Hurry, V.M.; Tjoelker, M.G. Evans Review No. 2: The hot and the cold: Unravelling the variable response of plant respiration to temperature. Funct. Plant Biol. 2005, 32, 87–105. [Google Scholar] [CrossRef] [PubMed]
- Yu, T.; Jiapaer, G.; Bao, A.; Zheng, G.; Zhang, J.; Li, X.; Yuan, Y.; Huang, X.; Umuhoza, J. Disentangling the relative effects of soil moisture and vapor pressure deficit on photosynthesis in dryland Central Asia. Ecol. Indic. 2022, 137, 108698. [Google Scholar] [CrossRef]
- Zhou, S.; Duursma, R.A.; Medlyn, B.E.; Kelly, J.W.; Prentice, I.C. How should we model plant responses to drought? An analysis of stomatal and non-stomatal responses to water stress. Agric. For. Meteorol. 2013, 182, 204–214. [Google Scholar] [CrossRef]
- Yi, C.; Ricciuto, D.; Li, R.; Wolbeck, J.; Xu, X.; Nilsson, M.; Aires, L.; Albertson, J.D.; Ammann, C.; Arain, M.A. Climate control of terrestrial carbon exchange across biomes and continents. Environ. Res. Lett. 2010, 5, 034007. [Google Scholar] [CrossRef]
- Zhao, M.; Running, S.W. Drought-induced reduction in global terrestrial net primary production from 2000 through 2009. Science 2010, 329, 940–943. [Google Scholar] [CrossRef]
- Novick, K.; Oren, R.; Stoy, P.; Juang, J.-Y.; Siqueira, M.; Katul, G. The relationship between reference canopy conductance and simplified hydraulic architecture. Adv. Water Resour. 2009, 32, 809–819. [Google Scholar] [CrossRef]
- Fisher, R.A.; Koven, C.D.; Anderegg, W.R.; Christoffersen, B.O.; Dietze, M.C.; Farrior, C.E.; Holm, J.A.; Hurtt, G.C.; Knox, R.G.; Lawrence, P.J. Vegetation demographics in Earth System Models: A review of progress and priorities. Glob. Chang. Biol. 2018, 24, 35–54. [Google Scholar] [CrossRef] [PubMed]
- Nielsen, U.N.; Ball, B.A. Impacts of altered precipitation regimes on soil communities and biogeochemistry in arid and semi-arid ecosystems. Glob. Chang. Biol. 2015, 21, 1407–1421. [Google Scholar] [CrossRef] [PubMed]
- Sun, Q.; Meyer, W.S.; Marschner, P. Direct and carry-over effects of summer rainfall on ecosystem carbon uptake and water use efficiency in a semi-arid woodland. Agric. For. Meteorol. 2018, 263, 15–24. [Google Scholar] [CrossRef]
- Piao, S.; Liu, Q.; Chen, A.; Janssens, I.A.; Fu, Y.; Dai, J.; Liu, L.; Lian, X.; Shen, M.; Zhu, X. Plant phenology and global climate change: Current progresses and challenges. Glob. Chang. Biol. 2019, 25, 1922–1940. [Google Scholar] [CrossRef] [PubMed]
- Zhou, L.; Tucker, C.J.; Kaufmann, R.K.; Slayback, D.; Shabanov, N.V.; Myneni, R.B. Variations in northern vegetation activity inferred from satellite data of vegetation index during 1981 to 1999. J. Geophys. Res. Atmos. 2001, 106, 20069–20083. [Google Scholar] [CrossRef]
- Xiao, J.; Zhuang, Q.; Law, B.E.; Chen, J.; Baldocchi, D.D.; Cook, D.R.; Oren, R.; Richardson, A.D.; Wharton, S.; Ma, S. A continuous measure of gross primary production for the conterminous United States derived from MODIS and AmeriFlux data. Remote Sens. Environ. 2010, 114, 576–591. [Google Scholar] [CrossRef]






| Site Name | Site ID | Latitude | Longitude | Elevation | Forest Type | Years | Samples |
|---|---|---|---|---|---|---|---|
| Manitoba | CA-Man | 55.87962 | −98.48081 | 259 m | ENF | 1994–2008 | 15 |
| Saskatchewan | CA-Obs | 53.98717 | −105.11779 | 628.94 m | ENF | 1997–2010 | 14 |
| Turkey Point | CA-TP3 | 42.70681 | −80.34831 | 184 m | ENF | 2002–2017 | 16 |
| Bily Kriz | CZ-BK1 | 49.50208 | 18.53688 | 875 m | ENF | 2004–2020 | 17 |
| Oberbärenburg | DE-Obe | 50.78666 | 13.72129 | 734 m | ENF | 2008–2020 | 13 |
| Tharandt | DE-Tha | 50.96256 | 13.56515 | 385 m | ENF | 1996–2020 | 25 |
| Hyytiala | FI-Hyy | 61.84741 | 24.29477 | 181 m | ENF | 1996–2020 | 25 |
| Lettosuo | FI-Let | 60.64183 | 23.95952 | 111 m | ENF | 2009–2020 | 12 |
| Sodankyla | FI-Sod | 67.36239 | 26.63859 | 180 m | ENF | 2001–2014 | 14 |
| Renon | IT-Ren | 46.58686 | 11.43369 | 1730 m | ENF | 1999–2020 | 22 |
| Fyodorovskoye | RU-Fyo | 56.46153 | 32.92208 | 265 m | ENF | 1998–2020 | 23 |
| GLEES | US-GLE | 41.36653 | −106.2399 | 3197 m | ENF | 2005–2020 | 16 |
| Howland Forest | US-Ho2 | 45.2091 | −68.7470 | 61 m | ENF | 1999–2020 | 22 |
| Niwot Ridge | US-NR1 | 40.0329 | −105.5464 | 3050 m | ENF | 1998–2016 | 19 |
| Trend | Site | GPP↔NEP | GPP Growth Rate (%) | NEP Growth Rate (%) |
|---|---|---|---|---|
| Consistent and significant trends | FI-Hyy | 0.79 ** | 7.7 | 4.1 |
| DE-Tha | 0.77 ** | 2.0 | 4.2 | |
| US-GLE | 0.67 ** | 4.3 | 1.5 | |
| CZ-BK1 | 0.51 * | 3.6 | 2.0 | |
| US-NR1 | 0.51 * | 0.3 | 1.1 | |
| CA-TP3 | 0.49 * | 4.3 | 6.2 | |
| Consistent but not significant trends | DE-Obe | 0.47 | 0.02 | 1.1 |
| FI-Let | 0.39 | −0.03 | −2.8 | |
| IT-Ren | 0.36 | 3.8 | 2.7 | |
| US-Ho2 | 0.26 | 1.8 | 0.2 | |
| FI-Sod | 0.25 | 0.2 | 3.6 | |
| CA-Man | 0.23 | 5.3 | 0.2 | |
| RU-Fyo | 0.19 | 3.4 | 1.3 | |
| Decoupled | CA-Obs | −0.25 | 2.0 | −4.9 |
| Trend | Site | TA↔P | TA↔SW | TA↔VPD | P↔SW | P↔VPD | SW↔VPD |
|---|---|---|---|---|---|---|---|
| Consistent and significant trend | FI-Hyy | −0.03 | 0.13 | 0.16 | −0.63 ** | −0.66 ** | 0.91 ** |
| DE-Tha | −0.11 | 0.11 | 0.19 | −0.56 ** | −0.57 ** | 0.87 ** | |
| US-GLE | −0.24 | −0.13 | 0.83 ** | −0.39 | −0.66 ** | 0.18 | |
| CZ-BK1 | −0.37 | 0.21 | 0.45 | −0.60 * | −0.67 ** | 0.46 | |
| US-NR1 | 0.01 | −0.21 | 0.03 | −0.79 ** | −0.84 ** | 0.72 ** | |
| CA-TP3 | −0.01 | 0.33 | 0.81 | −0.66 | −0.20 | 0.60 * | |
| Consistent but not significant trend | DE-Obe | −0.93 ** | 0.73 ** | 0.71 ** | −0.89 ** | −0.89 ** | 0.93 ** |
| FI-Let | 0.25 | 0.38 | 0.38 | −0.27 | −0.29 | 0.84 ** | |
| IT-Ren | 0.05 | 0.07 | 0.57 ** | −0.77 ** | −0.57 ** | 0.56 ** | |
| US-Ho2 | −0.15 | −0.16 | 0.76 ** | −0.21 | −0.30 | 0.38 | |
| FI-Sod | 0.24 | 0.29 | 0.49 | −0.75 ** | −0.57 * | 0.91 ** | |
| CA-Man | 0.28 | −0.54 * | 0.48 | −0.85 ** | −0.56 * | 0.37 | |
| RU-Fyo | −0.33 | 0.40 | 0.52 ** | −0.81 ** | −0.72 ** | 0.86 ** | |
| Decoupled | CA-Obs | 0.03 | −0.20 | 0.44 | −0.89 ** | −0.73 ** | 0.70 * |
| Trend | Site | TAMAM↔PMAM | TAMAM↔SWMAM | TAMAM↔VPDMAM | PMAM↔SWMAM | PMAM↔VPDMAM | SWMAM↔VPDMAM |
|---|---|---|---|---|---|---|---|
| Consistent and significant trend | FI-Hyy | 0.15 | −0.10 | 0.39 | −0.68 ** | −0.58 ** | 0.76 ** |
| DE-Tha | −0.43 * | 0.53 ** | 0.81 ** | −0.56 ** | −0.65 ** | 0.87 ** | |
| US-GLE | −0.45 | 0.16 | 0.80 ** | −0.79 ** | −0.82 ** | 0.52 * | |
| CZ-BK1 | −0.59 * | 0.60 * | 0.75 ** | −0.73 ** | −0.71 ** | 0.90 ** | |
| US-NR1 | −0.11 | −0.26 | 0.65 ** | −0.62 ** | −0.66 ** | 0.16 | |
| CA-TP3 | −0.09 | 0.23 | 0.60 * | −0.61 * | −0.59 * | 0.67 ** | |
| Consistent but not significant trend | DE-Obe | −0.59 * | 0.67 * | 0.83 ** | −0.76 ** | −0.86 ** | 0.91 ** |
| FI-Let | 0.22 | −0.45 | 0.26 | −0.37 | −0.36 | 0.67 * | |
| IT-Ren | −0.53 ** | 0.48 * | 0.80 ** | −0.90 ** | −0.69 ** | 0.61 ** | |
| US-Ho2 | 0.20 | 0.46 | 0.75 ** | 0.19 | 0.14 | 0.81 ** | |
| FI-Sod | 0.13 | −0.14 | 0.56 * | −0.80 ** | −0.23 | 0.34 | |
| CA-Man | 0.07 | −0.25 | 0.46 | −0.73 ** | −0.29 | 0.04 | |
| RU-Fyo | −0.17 | 0.22 | 0.67 ** | −0.57 ** | −0.52 ** | 0.60 ** | |
| Decoupled | CA-Obs | 0.36 | −0.35 | −0.63 * | −0.70 * | −0.10 | −0.35 * |
| Trend | Site | TAJJA↔ PJJA | TAJJA↔SWJJA | TAJJA↔VPDJJA | PJJA↔SWJJA | PJJA↔VPDJJA | SWJJA↔VPDJJA |
|---|---|---|---|---|---|---|---|
| Consistent and significant trend | FI-Hyy | −0.55 ** | 0.77 ** | 0.84 ** | −0.75 ** | −0.79 ** | 0.91 ** |
| DE-Tha | −0.17 | 0.74 ** | 0.87 ** | −0.37 | −0.36 | 0.85 ** | |
| US-GLE | −0.74 ** | 0.27 | 0.86 ** | −0.66 ** | −0.80 ** | 0.44 | |
| CZ-BK1 | −0.62 ** | 0.63 ** | 0.91 ** | −0.73 ** | −0.82 ** | 0.80 ** | |
| US-NR1 | −0.64 ** | 0.35 | 0.74 ** | −0.80 ** | −0.91 ** | 0.72 ** | |
| CA-TP3 | 0.07 | 0.60 * | 0.89 ** | −0.60 * | −0.04 | 0.67 ** | |
| Consistent but not significant trend | DE-Obe | −0.54 | 0.82 ** | 0.92 ** | −0.63 * | −0.69 ** | 0.92 ** |
| FI-Let | −0.31 | 0.72 ** | 0.80 ** | −0.67 * | −0.67 * | 0.88 ** | |
| IT-Ren | −0.47 ** | 0.42 | 0.74 ** | −0.82 ** | −0.75 ** | 0.60 ** | |
| US-Ho2 | 0.14 | 0.64 ** | 0.75 ** | 0.06 | −0.14 | 0.85 ** | |
| FI-Sod | −0.25 | 0.76 ** | 0.87 ** | −0.52 | −0.54 * | 0.93 ** | |
| CA-Man | −0.29 | 0.29 | 0.16 | −0.71 ** | −0.57 * | 0.60 * | |
| RU-Fyo | −0.68 ** | 0.69 ** | 0.82 ** | −0.88 ** | −0.90 ** | 0.91 ** | |
| Decoupled | CA-Obs | 0.53 * | −0.14 | −0.15 | −0.79 ** | −0.75 ** | 0.80 ** |
| Trend | Site | TASON↔PSON | TASON↔SWSON | TASON↔VPDSON | PSON↔SWSON | PSON↔VPDSON | SWSON↔VPDSON |
|---|---|---|---|---|---|---|---|
| Consistent and significant trends | FI-Hyy | 0.31 | 0.02 | 0.10 | −0.71 ** | −0.39 | 0.79 ** |
| DE-Tha | −0.47 * | 0.41 * | 0.53 ** | −0.81 ** | −0.79 ** | 0.86 ** | |
| US-GLE | −0.55 * | 0.44 | 0.65 ** | −0.72 ** | −0.71 ** | 0.84 ** | |
| CZ-BK1 | −0.17 | 0.35 | 0.47 | −0.80 ** | −0.74 * | 0.82 ** | |
| US-NR1 | −0.24 | 0.39 | 0.89 ** | −0.85 ** | −0.55 * | 0.70 ** | |
| CA-TP3 | −0.45 | 0.56 * | 0.80 ** | −0.28 | −0.37 | 0.73 ** | |
| Consistent but not significant trends | DE-Obe | −0.47 | 0.30 | 0.38 | −0.66 * | −0.64 * | 0.81 ** |
| FI-Let | 0.10 | 0.13 | 0.14 | −0.66 * | −0.77 ** | 0.67 * | |
| IT-Ren | −0.08 | 0.02 | 0.39 | −0.67 ** | −0.57 ** | 0.72 ** | |
| US-Ho2 | −0.26 | −0.06 | 0.63 ** | −0.11 | −0.43 | 0.44 | |
| FI-Sod | −0.53 * | −0.15 | 0.24 | −0.74 ** | −0.10 | 0.49 | |
| CA-Man | 0.07 | −0.30 | 0.08 | −0.74 ** | −0.54 * | 0.77 ** | |
| RU-Fyo | 0.11 | −0.21 | 0.11 | −0.68 ** | −0.62 ** | 0.88 ** | |
| Decoupled | CA-Obs | −0.31 | 0.04 | −0.19 | −0.84 ** | −0.41 | 0.70 * |
Disclaimer/Publisher’s Note: The statements, opinions and data contained in all publications are solely those of the individual author(s) and contributor(s) and not of MDPI and/or the editor(s). MDPI and/or the editor(s) disclaim responsibility for any injury to people or property resulting from any ideas, methods, instructions or products referred to in the content. |
© 2024 by the authors. Licensee MDPI, Basel, Switzerland. This article is an open access article distributed under the terms and conditions of the Creative Commons Attribution (CC BY) license (https://creativecommons.org/licenses/by/4.0/).
Share and Cite
Jiang, M.; Liu, X.; Liu, L. Different Responses of Terrestrial Carbon Fluxes to Environmental Changes in Cold Temperate Forest Ecosystems. Forests 2024, 15, 1340. https://doi.org/10.3390/f15081340
Jiang M, Liu X, Liu L. Different Responses of Terrestrial Carbon Fluxes to Environmental Changes in Cold Temperate Forest Ecosystems. Forests. 2024; 15(8):1340. https://doi.org/10.3390/f15081340
Chicago/Turabian StyleJiang, Mihang, Xinjie Liu, and Liangyun Liu. 2024. "Different Responses of Terrestrial Carbon Fluxes to Environmental Changes in Cold Temperate Forest Ecosystems" Forests 15, no. 8: 1340. https://doi.org/10.3390/f15081340
APA StyleJiang, M., Liu, X., & Liu, L. (2024). Different Responses of Terrestrial Carbon Fluxes to Environmental Changes in Cold Temperate Forest Ecosystems. Forests, 15(8), 1340. https://doi.org/10.3390/f15081340

