Abstract
Headwater streams are reliant on riparian tree leaf litterfall to fuel brown food webs. Terrestrial agents like herbivores and contaminants can alter plant growth, litter production, litter quality, and the timing of litterfall into streams, influencing aspects of the brown food web. At Mount St. Helens (USA), early successional streams are developing willow (Salix sitchensis) riparian zones. The willows are attacked by stem-boring herbivores, altering litter quality and the timing of litterfall. Within a established experimental plots, willows (male and female plants) were protected from herbivores using insecticides and provided with experimental additions of nitrogen. This enabled us to test the interacting influences of herbivores, nitrogen deposition, and willow sex on leaf litter quality, aquatic litter decomposition, and microbial and invertebrate detritivores. We found weak litter quality effects (higher N and lower C:N) for the herbivore treatment, but no effect of nitrogen deposition. Although litter decomposition rates were not strongly affected by litter treatments, detritivore communities were altered by all treatments. Nitrogen deposition resulted in decreased bacterial richness and decreased fungal diversity in-stream. Aquatic macroinvertebrate communities were influenced by the interacting effects of herbivory and nitrogen addition, with abundances highest in herbivore litter with the greatest N addition. Shredders showed the highest abundance in male, herbivore-attacked litter. The establishment of riparian willows along early successional streams and their interacting effects with herbivores and nitrogen deposition may be influencing detritivore community assembly at Mount St. Helens. More broadly, global changes like increased wet and dry N deposition and expanded ranges of key herbivores might influence tree litter decomposition in many ecosystems.
1. Introduction
Studies of primary succession in streams and rivers are relatively limited to a few unique locations on Earth where streams have recently come into existence—where glaciers are retreating [,] and where volcanos have created new landscapes []. As new streams develop, a variety of factors can influence how in-stream and riparian communities assemble. For example, hydrologic sources that determine water chemistry, temperature, and flow regimes appear to strongly influence stream communities at Mount St. Helens 36 years after the 1980 eruption [], but the development of riparian cover at some locations on this eruptive landscape did not strongly determine in-stream community structure []. However, the development of riparian canopy cover strongly influenced organic matter dynamics in five streams across the Pumice Plain of Mount St. Helens [], leading us to ask what factors might influence organic matter processing and detritivore communities in streams undergoing early phases of succession?
The input of organic matter into streams provides important sources of energy and nutrients to stream-dwelling, litter-dependent microbes and invertebrates [,]. A variety of terrestrial factors can influence litter quality and the subsequent decomposition of leaf litter, along with the establishment of detritivore communities (bacteria, fungi, and invertebrates), including tree species diversity [,], genetic variation within tree species [,], plant sex [,], terrestrial contaminants like ozone [,] and CO2 [,], endophytes [], herbivores [,], and nutrients [,]. In most cases, herbivores damage leaves and cause plants to induce chemical changes in the remaining leaf litter [,,], but some herbivores cause branch death and premature leaf death, with a very different influence on leaf litter [,]. In this system, two stem-boring herbivores, the invasive exotic poplar and willow borer Cryptorhynchus lapathi L. (Coleoptera: Curculionidae) [], and the native western poplar clearwing, Paranthrene robiniae Hy. Edwards (Lepidoptera: Sesiidae) [], cause similar branch damage and premature leaf fall. Cryptorhynchus lapathi was first documented on the Pumice Plain in 1989 while P. robinae was first documented in 2006 (J. Bishop, personal communication). Additionally, many previous studies have examined the influence of fertilizer additions on terrestrial decomposition [] or examined the influence of in-stream nutrient concentrations on leaf litter decomposition [], but few studies have examined the influence of terrestrial applications of nitrogen on plants and how this alters litter quality and its subsequent influence on aquatic litter decomposition [].
In this study, we explore the interacting influences of stem-boring herbivores, terrestrial N deposition, and plant sex of willow (Salix sitchensis Sanson ex Bong.) on leaf litter quality, aquatic litter decomposition, and the establishment of microbial and invertebrate detritivores. We hypothesize that (1) herbivores that cause premature leaf mortality will result in higher litter N and lower C:N in leaf litter of herbivore-attacked willows since the willows will be unable to translocate resources prior to abscission [,]; (2) terrestrial N addition will also result in higher litter N and lower C:N based on increased nutrient availability for the willow plants during leaf growth []; (3) both of these factors will increase decomposition rates based on previous studies that have shown faster rates for litters with higher N and lower C:N []; (4) based on previous research in this system, and the fact that S. sitchensis is a dioecious plant, male and female willow litters may respond differently to both N-addition and herbivore attack; previous studies found that herbivore-attacked willows (which tend to be female) had lower quality leaf litter and decomposed slower []; (5) microbial detritivores (bacterial and fungal) will be significantly affected by litter treatments (herbivore, N-addition, willow sex) and microbial diversity measures (richness, Shannon’s, Simpson’s) and overall community structure will differ significantly among treatments; and (6) benthic macroinvertebrate detritivores will be less responsive to litter treatments as a whole, but specific invertebrates like shredders may be significantly affected by litter treatments directly or through altered microbial communities among treatments.
2. Materials and Methods
2.1. Site Description
In 1980, Mount St. Helens (Lawetlat’la in the indigenous Cowlitz language; Washington State, USA) experienced a lateral blast, transforming over 600 km2 of forests, lakes, and streams. A 2.8 km3 debris avalanche in the blast zone created the 15 km2 Pumice Plain that was buried by over 100 m of pumice, ash, and sand. This area was then hit by a hot lateral blast of flying rock debris and covered in 0.3 km3 of lava []. Since 1980, springs, seeps, and run-off from snowmelt have created five new watersheds (Figure 1) with riparian plants growing along stream edges, dominated by green alder (Alnus viridis (Chaix) DC.) [] and Sitka willow (S. sitchensis). Sitka willow at this site is regularly attacked by invasive stem-boring herbivores.

Figure 1.
Map of the Pumice Plain study area in the Mount St. Helens National Volcanic Monument (MSH-NVM), Washington State, USA, showing locations of the experimental plots of (Salix sitchensis) (open squares) that received N addition and herbivore exclusion treatments as well as the in-stream study location in Geothermal West (Geo-W) Creek (black square). Map created by SMC.
2.2. Stream Conditions
The stream Geo-West (Geo-W), a tributary of Geothermal Creek on the Pumice Plain of Mount St. Helens (N 46°15′7.992″, W 122°10′12.864″, 1070 m elevation), was chosen as the in-stream site for this study (Figure 1). At the site, we selected a 30 m reach that encompassed at least eight pools. Geo-W was chosen based on steady flow conditions and a rich litter-dwelling benthic macroinvertebrate community [,]. Surveys of in-stream physicochemical traits (velocity, depth, width, pH, dissolved oxygen, conductivity, colored dissolved organic matter, stream nutrients) took place throughout the study as in Claeson et al. [] (Supplementary Materials: Table S1; see Appendix A for additional methods).
2.3. Terrestrial Herbivory and Nitrogen Treatments
To isolate the effects of stem-boring herbivores on willow growth, 18, 64 m2 plots (Figure 2) containing naturally established upland willows were established at upland sites in 2013 with half of the plots receiving insecticide (Bifenthrin, Onyx, Forestry Distributing Inc., Longmont, CO, USA) treatments and half of the plots remaining unsprayed. Since stem-boring herbivores are so prevalent, the plots that were not sprayed represent the herbivore treatments and the plots that were sprayed represent non-herbivore treatments. Willow shrubs were sprayed on lower stems (not on leaf surfaces) in June 2013–2018. In addition, each plot of willows also received one of three nitrogen treatments. Either 0, 8, or 16 kg ha−1 yr−1 of a mixture of ammonium nitrate and sodium nitrate were added to each plot, with 60% of the addition in early May and 40% of the addition in late September. The forms, rates, and timing of nitrogen additions were intended to approximate estimated nitrogen deposition (8 and 16 kg ha−1 yr−1 treatments represent 2× and 4× ambient deposition levels, respectively; see Miller-Pierce [] for additional details). This created six combinations of these treatments for the two factors (herbivore and nitrogen).

Figure 2.
Photographs showing (a) the Pumice Plain study area in the Mount St. Helens National Volcanic Monument (MSH-NVM), Washington State, USA—Photo credit: CJL; (b,c) willow plots receiving nitrogen and herbivore exclusion treatments—Photo credit: JGB; (d) frass at the base of a willow showing herbivore damage—Photo credit: CJL; (e) Herbivore damaged willow stem showing herbivore larvae—Photo credit: IJG; (f) Herbivore damaged willow stem showing adult weevil—Photo credit: RCE; (g) Preparations for litterbag installation showing co-author and student assistant—Photo credit: CJL; (h) Installed litterbags in Geo-W Creek—Photo credit: CJL.
2.4. Leaf Litter Collection
In May/June of 2018, a single, isolated willow shrub in each plot was selected and determined to be either male or female based on the presence of reproductive structures []. In the autumn of 2018, naturally abscising leaf litter was collected from each individual willow and air-dried in a paper bag in the lab. Litter was collected weekly during the natural litterfall season, whereby leaves were collected as freshly fallen material, or as yellow leaf litter that easily dropped from branches. We attempted to wrap shrubs in mesh to catch abscising litter on its way to the ground, but elk at the site destroyed most mesh wrapping and we were forced to collect recently fallen or imminently abscising leaves. Additionally, because herbivore-attacked willows are prone to branch death and die-back, collecting enough litter from these individuals was challenging (Figure 2). This limited our sample sizes and, in some cases resulted in missing treatments in our factorial study design.
2.5. Leaf Litter Chemistry
Subsamples of initial leaf litter from all treatments (0, 8, 16 kg ha−1 yr−1 nitrogen × herbivory treatments) were freeze-dried (Millrock Technology, Kingston, NY, USA), ground to a homogeneous consistency (Type F203, Krups, Millville, NJ, USA), and sampled (0.50 g) for chemical analysis. We measured four litter chemical traits: carbon (% C), nitrogen (% N), C:N, and condensed tannins as in Ramstack Hobbs et al. [] (see Appendix A for additional methods).
2.6. Leaf Litter Decomposition Experiment
We created replicate litterbags (n = 6) from air-dried leaf litter from each of the three nitrogen treatments for the willows that were sprayed to remove herbivores (non-herbivore), for each of three harvest dates (N = 54 total; Figure 2). Unfortunately, due to small sizes of willows attacked by herbivores, we could only create three replicate litterbags (n = 3) for two of the nitrogen treatments (0 and 16 kg ha−1 yr−1) for each of three harvest dates (N = 18 total). For the willows that were exposed to herbivore treatments, we were unable to collect enough litter to create all replicate litterbags for those two treatments, and we were unable to collect enough litter from the 8 kg ha−1 yr−1 treatments to create any litterbags. Each litterbag (4 mm mesh openings) contained 1 g (±0.05 g) of litter from an individual willow (litter was not pooled across individuals so litterbags represent true replicates). To determine handling losses, each litterbag was placed into an individual paper sack and transported to the field to capture any lost leaf fragments, which were weighed in the lab). Litterbags were attached by cable tie to individual knots in ropes anchored in Geo-W with rebar and incubated for 6, 21, and 35 days (30 August–4 October 2019; Figure 2).
On each harvest date, 24 randomly selected litterbags (n = 3–6 litterbags per treatment) were collected and placed into individual polyethylene zipper bags. Litterbags were transported to the laboratory on ice and processed by rinsing with deionized water to remove sediment and invertebrates (see details below). Remaining leaf material was frozen at −80 °C, lyophilized for 72 h, and weighed to measure final dry mass to the nearest 0.0001 g. Using a sterile technique, we removed 25 mg subsamples of lyophilized leaf litter for microbial analyses (see details below and in Appendix A). Leaf material was then ground and an additional 25 mg subsample was combusted at 550 °C for 1 h to determine ash-free-dry-mass (AFDM, g). We regressed the natural log (ln) of % AFDM remaining against days in the stream to determine the slope of each regression line as an estimate of decomposition rates (k day−1) [].
2.7. Microbial Communities
Subsamples (25 mg) of lyophilized litter from one harvest date (harvest #2—day 21) were weighed into vials, and microbial DNA was extracted using a PowerSoil kit (Qiagen, Hilden, Germany) following the manufacturer’s instructions. Resources were only available for one sampling date, so we chose the 3 week date to sample both bacterial and fungal individuals near their peak of colonization. Subsamples were transferred to 96-well plates with both positive and negative controls to detect contamination during bacterial and fungal library preparation. Primers were used to target the ITS2 and 16S regions with a two-stage PCR (polymerase chain reaction) process followed by MiSeq (Illumina, San Diego, CA, USA) metabarcoding (see Appendix A for complete methods).
2.8. Macroinvertebrate Communities
Benthic macroinvertebrates (BMIs) were collected from each litterbag on all three harvest dates by sieving the rinse water through a 250 µm net and preserving all material in 70% ethanol. We enumerated and identified non-insects to class, Chironomidae (Diptera) to family, and all other insects to family or genera []. We ascribed functional feeding guilds (FFG) to each taxon and calculated the proportion of individuals belonging to the orders Ephemeroptera, Plecoptera, and Trichoptera (%EPT).
2.9. Statistical Analysis
We used permutational (Monte Carlo) statistical tests for all analyses (in R version 4.3.3) to avoid the need for data to meet the assumptions of normality and equality of variance. We used permutational two-way analyses of variance (ANOVAs) to compare willow leaf litter chemistry between herbivore treatments (herbivore vs. no herbivore), nitrogen treatments (0, 8, 16 kg ha−1 yr−1 nitrogen), and their interaction. To examine patterns in leaf litter decomposition rates, we first used one overall three-way permutational analysis of covariance (ANCOVA) to test for the effects of herbivore, nitrogen, days in the stream (continuous variable), and all possible interactions (in ANCOVA models, significant interactions with the continuous variable (days) denote significant differences in slope and thus decomposition rate). We also used permutational two-way ANOVAs to compare calculated decomposition rates between herbivore treatments (herbivore vs. no herbivore), nitrogen treatments (0, 8, 16 kg ha−1 yr−1 nitrogen), and their interaction. We used permutational simple linear regressions to test for linear relationships between k values and litter chemistry measurements.
We calculated simple diversity metrics for all detritivore communities (bacterial, fungal, and BMI) on leaves in each litterbag. For BMIs, we calculated taxa richness (number of unique taxa), taxa evenness (relative abundance across taxa), and Simpson’s diversity index (D) values using the R-package vegan, but for microbial communities, we used the R-package iNext, which uses rarefaction to account for unequal sequencing depth [,]. To examine relationships between microbial and macroinvertebrate richness, evenness, and diversity between herbivores and nitrogen, we used permutational two-way ANOVAs with interactions. We examined linear relationships between litter chemistry measurements and decomposition rates, percent mass loss, and both microbial and invertebrate community metrics using simple linear regressions. Statistical analyses were conducted using the R-package lmperm (aovp, lmp), and figures were produced using the R-package ggplot2 in R (version 4.3.3).
To examine patterns in microbial (16S and ITS2 operational taxonomic units [OTUs]) and BMI community composition, we used three-way permutational multivariate analyses of variance (PerMANOVAs). We visualized differences among assemblages using non-metric multidimensional scaling (NMDS) ordinations with Bray–Curtis distance measures. BMI abundances were log(x + 1) transformed to preserve zeros [] and OTU counts were converted to proportional abundances. Correlations between the NMS ordination axes and environmental variables were conducted using the R-package vegan. Indicator Species Analysis (ISA) determines which members of the BMI community were significantly associated with a particular treatment (willow sex, litter type, incubation season) in the R-package vegan. A slightly different approach was used to determine which bacterial or fungal community members were associated with a particular treatment. We used the R-package ALDEx2 [] to perform differential abundance tests following central log ratio (CLR) transformations to lower false-positive discovery rates []. OTUs were considered indicators when mean proportions were significantly different between two treatments (willow sex, litter type, or incubation season) based on Benjamini–Hochberg corrected p-values from a Wilcoxon rank sum tests and ALDEx2 effect sizes []. All community analyses and figures were created using the R-package vegan in R (version 4.3.3).
3. Results
3.1. Litter Chemistry
Initial litter chemistry was relatively similar across all willow litter treatments. When examining all nitrogen treatments (0, 8, and 16), all two-way ANOVAs for litter chemistry showed non-significant effects of nitrogen treatment, herbivore treatment, and their interaction (Table S1).
When nitrogen treatments were lumped into control vs. added nitrogen, some stronger effects were revealed, specifically a trend of slightly higher N in herbivore treatments and slightly higher C:N in non-herbivore treatments (Figure 3, Table S1).

Figure 3.
Initial leaf litter chemistry differences between non-herbivore willow (Salix sitchensis) litter (gray) and herbivore-attacked litter (white); in plots with no added nitrogen (No) and elevated nitrogen (Yes): (a) % nitrogen, (b) % carbon, (c) carbon:nitrogen (C:N) ratio, and (d) condensed tannins (CT). Violin plots show means (black lines) and spread of all data.
Interestingly, nitrogen additions did not result in significantly higher nitrogen in willow leaf litter overall (Figure 3, p > 0.05). Additionally, condensed tannins (CT), a common plant defense compound in Salicaceae, did not differ significantly among herbivore-attacked versus no-herbivore treatments (p > 0.05).
3.2. Litter Decomposition
Using ANCOVA, leaf litter decomposition rates were not significantly different among treatments (Figure 4). Although there were significant effects in the three-way ANCOVA models, there were no significant interactions with days (which would reflect significant differences in exponential slopes among treatments, Table S2). However, some trends were evident in the data where non-herbivore litter appeared to trend toward more rapid breakdown, as did higher nitrogen litter (Figure 4).

Figure 4.
Willow leaf litter decomposition (ln % ash-free dry mass [AFDM] remaining through time) for (a) both non-herbivore and herbivore-attacked leaf litter; (b) herbivore-attacked willow leaf litter for both control (0 N) and elevated nitrogen (16 N) treatments; and (c) non-herbivore willow leaf litter for both control (0 N) and elevated nitrogen (8 N and 16 N) treatments.
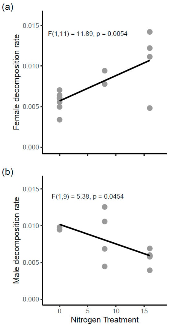
Since our litter collections took place at the individual willow level and litterbags were made of litter from replicate individuals, we can calculate k-rates for each individual and examine patterns with treatments. When we regress decomposition rates for males and females (for both herbivore treatments combined) against nitrogen treatment separately, we see a significant positive relationship between female litter decomposition and nitrogen treatment (F(1,11) = 11.89, p = 0.0054; Figure 5a) and a significant negative relationship between male litter decomposition and nitrogen treatment (F(1,9) = 5.38, p = 0.0454; Figure 5b). Decomposition rates (k) were not significantly correlated with any initial litter chemistry variables (p > 0.05). All decomposition rates (k day−1) are presented in Table S3.

Figure 5.
Panel (a): Female willow leaf litter decomposition rates (k day−1) are positively influenced by nitrogen treatment; Panel (b): Male willow leaf litter decomposition rates (k day−1) are negatively influenced by nitrogen treatment. Results of simple linear regression are shown (F-ratios, degrees of freedom, and p-values).
3.3. Microbial Communities
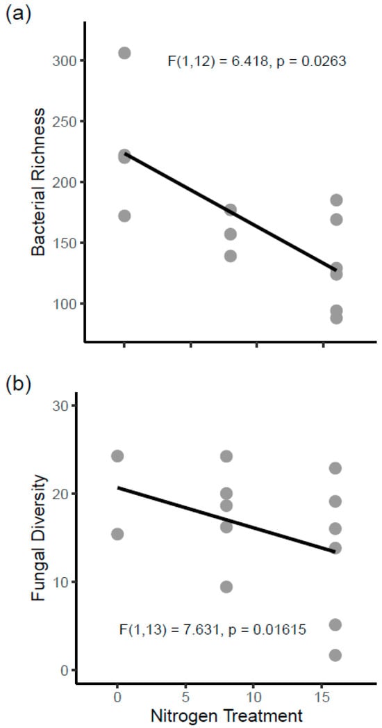
Microbial (OTU) richness and diversity on day 21 responded more strongly to the nitrogen treatments than the herbivory treatment. Three-way ANOVAs (with the factors herbivory, nitrogen, and sex) resulted in non-significant effects for bacterial richness, bacterial diversity, fungal richness, and fungal diversity (all p > 0.05). However, when we focused on just the non-herbivore treatments and used nitrogen treatment as a continuous predictor variable in simple linear regression, we found that increasing nitrogen applications to the willows during the growing season resulted in both decreasing bacterial OTU richness (F(1,12) = 6.418, p = 0.0263; Figure 6a) and decreasing fungal OTU diversity (F(1,13) = 7.631, p = 0.0162; Figure 6b) on the leaf litter incubated in-stream. Bacterial OTU richness was also significantly and negatively influenced by initial litter % C (F(1,16) = 4.961, p = 0.0406), but by no other litter quality variables (nor were other bacterial or fungal diversity metrics). No bacterial nor fungal OTU diversity metrics were significantly influenced by the litter decay rate (k day−1, all p > 0.05).

Figure 6.
Panel (a): Bacterial taxa richness on willow leaf litter is negatively influenced by nitrogen treatment; Panel (b): Fungal taxa diversity on willow leaf litter is negatively influenced by nitrogen treatment. Results of simple linear regression between diversity measures on day 21 and nitrogen treatments are shown (F-ratios, degrees of freedom, and p-values).
In terms of overall microbial community structure (as assessed using NMDS and PerMANOVA), the leaf litter treatments did not have strong effects, and there was no significant influence of herbivory, nitrogen treatment, or willow sex on bacterial or fungal community structure as a whole (all p > 0.05). However, several OTUs were differentially more abundant in particular litter treatments. For example, bacterial species in the genus Pedobacter were differentially more abundant in the herbivore litter treatments (effect size = 1.051, p = 0.0494). Additionally, the fungal species Udeniomyces kanasensis was differentially more abundant in the herbivore litter treatments (effect size = 1.242, p = 0.0196).
3.4. Benthic Macroinvertebrates
Four-way ANOVAs (with the factors, herbivory, nitrogen, sex, and harvest date) tended to show either an influence of nitrogen or willow sex on various simple benthic macroinvertebrate measures (abundance, richness, diversity). If factors were not significant effects in four-way ANOVAs, they were removed to simplify the analysis using three-way ANOVAs. For example, willow sex was not a significant influence on benthic macroinvertebrate abundance, richness, evenness, or diversity metrics, but three-way ANOVA revealed significant effects of all remaining factors and interactions on total invertebrate abundances (Table S4). Additionally, total macroinvertebrate abundance from the last harvest date (35 days) was highest in litter that had been attacked by stem-boring herbivores and received the highest N treatment (Figure 7). These factors did not have significant effects on invertebrate richness, evenness, or diversity (all p > 0.05), and other dates did not show significant patterns.

Figure 7.
Total abundance of benthic macroinvertebrates from harvest three (day 35) in willow leaf litter differs among nitrogen treatments and between non-herbivore and herbivore-attacked litter. Results of two-way permutational ANOVAs and Tukey’s post hoc tests shown with contrasting lower-case letters.
When examining four-way ANOVAs for the abundances of specific feeding guilds, nitrogen treatments were not a significant influence, but willow sex was. Piercing-herbivores (Hydroptilidae caddisflies) were influenced by all factors and their interactions while collector-gatherers (largely Chironomidae true flies) were influenced by all factors except herbivory, and shredders (mainly Capniidae and Nemouridae stoneflies and Tipulidae craneflies) were influenced by all factors except sex and the sex*herbivory interaction (Table S4). Piercing-herbivores, collector-gatherers, and shredders from harvest three (day 35—other dates did not show significant patterns) all showed the highest abundances in male willow litter that had been attacked by stem-boring herbivores (Figure 8). These same measures of abundance, richness, and diversity of macroinvertebrates were not significantly related to the measures of richness and diversity of either bacteria or fungi (all p > 0.05), nor the litter decomposition rate (k day−1, p > 0.05).

Figure 8.
Panel (a): Collector-gatherer (CG) macroinvertebrates on willow (Salix sitchensis) leaf litter differ among male and female litters and between herbivore-attacked and non-herbivore litters on day 35. Panel (b): Piercing-herbivore (PH) macroinvertebrates on willow leaf litter differ among male and female litters and between non-herbivore and herbivore-attacked litters on day 35. Panel (c): Shredding (SH) macroinvertebrates on willow leaf litter differ among male and female litters and between non-herbivore and herbivore-attacked litters on day 35. Results of two-way permutational ANOVAs and Tukey’s post hoc tests shown with contrasting lower-case letters.
Overall macroinvertebrate community structure was most strongly influenced by harvest date (F(2,69) = 4.32, p = 0.0001), and not by other litter factors (all p > 0.05). The organisms that indicated for each harvest date varied, with Leptoceridae trichopterans (IV = 0.359, p = 0.009) and Capniidae plecopterans (IV = 0.355, p = 0.007) significantly indicating for Harvest 2, and oligochaetes (IV = 0.507, p = 0.001), nematodes (IV = 0.490, p = 0.001), dextral snails (IV = 0.311, p = 0.035), Empididae dipterans (IV = 0.407, p = 0.002), and Limnephilidae trichopterans (IV = 0.490, p = 0.001) significantly indicating for Harvest 3. Additionally, Leptophlebiidae ephemeropterans significantly indicated for the medium nitrogen treatment (8 kg ha−1 yr−1; IV = 0.517, p = 0.001), ephemeropterans broadly indicated for female willow litter (IV = 0.287, p = 0.035), and no taxa indicated for the herbivory treatments (p > 0.05).
4. Discussion
The main findings of this study suggest that all factors—herbivory, nitrogen addition, and plant sex—influence different aspects of the brown food web in these early successional streams. Notably, interactions between herbivory and nitrogen addition exerted a weak influence on litter chemistry. Our hypothesis that herbivory would strongly influence litter chemistry was only weakly supported, with trends toward higher N and lower C:N for herbivore-attacked willows. Our hypothesis that terrestrial N addition would result in higher N and lower C:N was not corroborated.
Our results show that interactions between plant sex and nitrogen predominated in shaping decomposition dynamics. We predicted that herbivory and nitrogen addition would both accelerate decomposition rates, but we only found weak evidence of these effects. Although there were few significant effects, there were trends showing decelerated decomposition for herbivore-attacked litter (contrary to our hypotheses) and accelerated decomposition for litters exposed to N-addition (in line with our hypotheses). However, in agreement with our hypotheses, these results demonstrated interesting patterns for male vs. female willows, which responded differently to N-addition. Female willow decomposition rates increased with increasing N-addition while male willow decomposition rates decreased with increasing N-addition.
Microbial responses to these litter treatments were partially in agreement with our hypotheses. Interestingly, nitrogen addition to plants during their growth exhibited an independent adverse effect on bacterial richness and fungal diversity in the stream environment, which was further compounded for bacterial richness by higher litter carbon content. Microbial indicator taxa, such as Pedobacter sp. and Udeniomyces sp., highlighted how herbivory may influence microbial composition, but no factors significantly influenced the microbial community overall.
The interplay between herbivory and nitrogen addition significantly affected total BMI abundances, while interactions between herbivory and plant sex influenced specific feeding guilds, notably shredders. The relatively strong influences of both factors on BMI abundances went against hypothesized weak effects. BMI indicator species, including Leptophlebiidae mayflies and all Ephemeroptera, showed nuanced responses to moderate nitrogen addition and female willow litter, respectively. Finally, we hypothesized that BMI communities overall would respond to litter treatments, and that was largely not the case. There was no evidence of BMI responses to microbial community differences.
Previous studies conducted at this site faced challenges in disentangling the various factors at play, potentially leading to misleading conclusions. For instance, LeRoy et al. [], showed that female willow litter exhibited lower nitrogen content and slower mass loss compared to male litter. However, the inability to distinguish between herbivore-induced litterfall and naturally abscising litter in this previous study introduced a confounding factor. This limitation may have obscured whether litters with higher nitrogen content were also more likely to be herbivore-induced. It is possible that the effects of willow sex from the previous study [] were instead an artifact of either the specific willow genotypes selected for that smaller-scale study or an artifact of herbivore-induced defense compound production that varied by sex []. Despite this, our previous findings of slower decomposition for female litter [] provide context for the observed effects of nitrogen addition in the current study. It is plausible that nitrogen supplementation to willows during leaf cohort establishment could accelerate the decomposition of female litter while decelerating that of male litter, as demonstrated here. As wet and dry nitrogen deposition onto the Pumice Plain results in increased nutrient availability, and as alder (N-fixing) riparian zones at this site expand, both will lead to the contributions of more nitrogen to these early successional riparian areas, and it is conceivable that female willow litter will become higher in quality, thereby decomposing more rapidly. Given that female willows tend to establish closer to stream edges and are more susceptible to herbivory by stem-boring herbivores [,], these streams are likely to receive more inputs of higher quality female willow litter over time.
Herbivory on riparian plants often yields subsequent consequences, influencing litter quality, plant productivity, and organic matter dynamics within ecosystems. Leaves preferred by herbivores typically exhibit accelerated decomposition rates []. Herbivore-induced leaf stress alters both the quality and quantity of litter entering decomposer communities, potentially leading to increased tannin, lignin, and other defense compounds that subsequently affect decomposition rates and nutrient cycling []. Depending on the type of herbivory, it can either lead to increased nitrogen and decreased C:N, which can increase litter quality for attacked leaves [,], or lead to decreased nitrogen. For instance, cottonwood leaves infested with galling herbivores displayed lower nitrogen content and higher C:N ratios [], while red alder leaves subjected to simulated insect herbivory exhibited similar trends []. At this field site after three years of N addition, green foliage of S. sitchensis showed increased %N, and herbivore exclusion resulted in increased C:N [], but these patterns were not as clear in the current study using senescent leaf litter. Regardless, variation in litter chemistry has been shown to directly influence microbial decomposer communities colonizing leaf surfaces, and indirectly influence invertebrate decomposer communities scraping or shredding leaves and through altered nutrient availability in streams [,]. Microbes established on leaf surfaces can immobilize nitrogen from the water column [,], increasing the lability of leaf litter and influencing the subsequent activities of shredding invertebrates. In addition, recalcitrant litters can provide detrital resources for longer periods of time [], so microbial colonization of recalcitrant litter may support more aquatic invertebrates throughout the decomposition process. Although a study on galling herbivores did not observe strong effects on basic invertebrate community metrics, it did reveal shifts in overall community structure likely attributable to substantial differences in induced defensive chemistry []. Our study supports the indirect relationship between changes in litter quality due to herbivory, decomposition rates, and consequent shifts in decomposer abundance.
Herbivory in riparian systems is especially important because riparian systems serve as wildlife corridors for key ungulates, beavers, and a diversity of insect herbivores and their predators [,]. The types of herbivores present and their specific actions can provide diverse effects on riparian plants and differentially affect terrestrial–aquatic interactions in riparian ecosystems. For example, ungulate browsing can increase decomposition rates through increased green fall [], while beaver may selectively fell trees with higher % N and % salicortin and lower lignin, altering organic matter inputs directly through woody debris inputs and indirectly through altering the structure of remaining riparian forests []. Galling insects can induce elevated defense compounds in leaf litter [,], leading to decelerated organic matter cycling, and chewing insects can select for more palatable leaves, leading to accelerated organic matter cycling []. In this study, the only defense compound examined, condensed tannins, did not differ significantly between either the herbivore or nitrogen treatments, despite demonstrated higher tannins for non-herbivore treatments in previous studies []. However, green foliage three years after the start of N additions showed decreased total flavonoids, quinic acid derivatives (hydrolyzable tannins), and quercetin derivatives (a class of flavonoids; []). Additionally, interactions between genetic variation in plants and herbivory are difficult to predict and can often result in contrasting effects [], making further study crucial to our understanding of these systems. One source of genetic variation in some plants is the difference in response between male and female plants (dioecious plants).
Dioecy is relatively uncommon across all angiosperms (only 6%, []), but over 30% of riparian plant community members in the western USA are dioecious, including key riparian tree species of willows, cottonwoods, and box elders [,]. Dioecy not only influences litter quality, but also a whole host of morphological, physiological, and chemical traits [], which have the capacity to broadly influence communities and ecosystem processes in both terrestrial riparian and aquatic ecosystems []. In our study, the interaction between plant sex and nitrogen predominantly shaped decomposer dynamics and specific feeding guilds driven by herbivores that prefer one sex over the other.
However, the relationship between plant sex and herbivory is multifaceted, with several combined factors influencing decomposer community structure and function. In studies focused solely on dioecy, plant sex can exert a direct influence on phyllosphere microbial and fungal communities []. Guo et al. [] highlighted the role of sexual differences in shaping bacterial communities and nutrient cycling, particularly under dry conditions, where plant sex in Populus cathyana influenced physicochemical soil traits, phyllosphere microbial communities, and nitrogen cycling. The indirect influence of plant sex on nitrogen cycling under wet and dry conditions suggests that lower precipitation, increased drought conditions, or lowered water tables may intensify sex differences in nitrogen uptake []. Given the tendency of female willows to inhabit wetter soils, plant sex alone may further modulate decomposition dynamics. This notion is supported by our findings on the interaction between plant sex and nitrogen, as well as the independent adverse effects of nitrogen on bacterial richness and fungal diversity in the presence of higher litter carbon. Understanding the influence of plant sex on ecosystem processes is vital as climate and landscapes evolve, potentially subjecting the sexes to differential challenges in response to shifting climatic regimes []. Furthermore, studies on related plant species, such as Populus cathayana, have shown varying effects of plant sex on microbial diversity and phyllosphere microbial community structure, underscoring the broader influences of leaf chemistry on microbial communities [,]. As demonstrated, the interplay between plant sex-specific traits and herbivore preferences can yield a diverse array of responses in decomposer communities. This underscores the importance of delineating these complex ecological interactions and evaluating the broader influences of dioecy and herbivory on ecosystems.
5. Conclusions
Understanding the implications of dioecy and herbivory variation is essential for effective riparian landscape restoration and adaptation to climate change. When plant sexes exhibit differential responses to environmental factors like herbivores, pollutants, and endophytes, it becomes imperative to restore natural sex ratios in degraded habitats [,]. Willows on the Pumice Plain of Mount St. Helens, for instance, demonstrate a skewed female-to-male ratio of 2:1 [], with higher female densities near stream edges []. As male and female trees may display distinct drought responses or tolerances, restoration efforts must account for future climate projections, and restoration plans should include reproductively optimal planting ratios and locations for males and females []. Climate-induced plasticity can significantly alter leaf traits [] and species composition in riparian plants, affecting functional diversity within ecosystems [], but plasticity differences by plant sex are understudied. By introducing variability in plant responses to stressors like herbivory, drought, and temperature fluctuations through planting both sexes deliberately, restoration projects can enhance short-term success and ensure long-term sustainability. Moreover, recognizing the influence of plant sex on ecosystem processes is vital for adapting restoration strategies to shifting climatic conditions and landscapes [].
Supplementary Materials
The following supporting information can be downloaded at: https://www.mdpi.com/article/10.3390/f15081282/s1, Table S1: Two-way permutational ANOVA results for litter quality; Table S2: Four-way permutational ANCOVA for mass remaining and three-way permutational ANOVA for decomposition (k) rates; Table S3: Decomposition rates (k day−1) for each treatment; Table S4: Three-way permutational ANOVAs for benthic macroinvertebrate abundances (total abundances as well as the abundances of collector-gatherers, piercing-herbivores, and shredders) in litter bags.
Author Contributions
Conceptualization, C.J.L., J.M.R.H. and S.M.C.; Data curation, C.J.L. and S.J.H.; Formal analysis, C.J.L., S.J.H. and M.A.T.; Funding acquisition, C.J.L., S.M.C. and J.G.B.; Methodology, C.J.L., S.J.H., M.A.T., I.J.G., A.M.F.-M., S.H., B.K.K., L.J.T., J.M.R.H., S.M.C. and P.E.B.; Project administration, C.J.L.; Resources, S.M.C., R.C.E., J.G.B. and P.E.B.; Supervision, C.J.L. and P.E.B.; Visualization, C.J.L., M.A.T. and S.M.C.; Writing—original draft, C.J.L. and M.A.T.; Writing—review and editing, C.J.L., S.J.H., M.A.T., I.J.G., S.J.H., L.J.T., J.M.R.H., S.M.C., R.C.E. and J.G.B. All authors have read and agreed to the published version of the manuscript.
Funding
This research was funded by National Science Foundation grants DEB-1836387 and DEB-0614538. The USDA Forest Service provided in-kind support to SMC.
Data Availability Statement
All data and R code are available at: https://github.com/carrileroy/Herbivory-Nitrogen.
Acknowledgments
The USDA Forest Service provided a permit for research at the Mount St. Helens National Volcanic Monument. The Evergreen State College and the Science Support Center provided field and lab support. Field assistance was provided by the Mount St. Helens Institute Summer Ecology and Upward Bound Programs. Undergraduates at The Evergreen State College were involved as co-authors and others contributed to field or laboratory work: N. Criss, J. Feldman, L. Lancaster, M. Lezcano, M. Nabipoor, L. Messinger, V. McConathy, and S. Silberman. We thank the Evergreen Summer Undergraduate Research Fellowship (SURF) Program for support for I.J.G. and A.M.F.M. in summer 2019. We thank Mailea Miller-Pierce and others who helped establish and maintain the willow plots at Mount St. Helens.
Conflicts of Interest
The authors declare no conflicts of interest.
Appendix A. Supplemental Methods
Appendix A.1. Stream Conditions
Water temperature (°C), specific conductivity (μS cm–1), and dissolved oxygen (% and mg L–1) were measured using a YSI multiprobe (Yellow Springs Instruments Professional Plus, Yellow Springs, OH, USA). Chromophoric dissolved organic matter (CDOM, the fraction of dissolved organic matter that absorbs light in both the ultraviolet and visible ranges) was measured using a Cyclops-7 probe (Turner Designs, San Jose, CA, USA), and temperature-compensated pH was measured using a pH probe (Oakton Ion 6+, Melrose, MA, USA). Additionally, we measured water temperature hourly using temperature loggers (Hobo Pro v2 or tidbit v2, Onset, Bourne, MA, USA). At one date (5 September 2019), we collected water samples for dissolved organic carbon (DOC, mg L−1), ammonia + ammonium (NH3–N + NH4–N, μg L−1, hereafter referred to as ammonium), nitrite + nitrate (NO2–N + NO3–N, μg L−1, hereafter referred to as nitrate), and soluble reactive phosphorus (SRP, μg L−1). Water samples were filtered in situ (Whatman GF/F, 0.7 μm pore size), frozen, and stored in the dark until laboratory analysis. Oregon State University Cooperative Chemical Analytical Laboratory conducted the following analyses: DOC using a combustion-infrared method APHA 5310 B; ammonium using both methods APHA 4500-NH3 G and EPA 350.1; nitrate using cadmium reduction methods APHA 4500-NO3 F and EPA 353.2; and SRP using ascorbic acid methods APHA 4500-P F and EPA 365.1.
Appendix A.2. Leaf Litter Chemistry
Subsamples of ground initial litter (25 mg) were extracted for soluble condensed tannins with 70% acetone and 10 mM ascorbic acid. The butanol–HCl method was used to determine soluble condensed tannin concentrations [], with standards purified from MSH S. sitchensis following the methods of []. Condensed tannin concentrations were determined by measuring absorbance at 550 nm on a spectrophotometer (Spectramax 384, Molecular Devices, San Jose, CA, USA) and comparing samples to a standard curve. Additionally, ground subsamples (2 mg) were weighed into tin capsules (5 × 8 mm) to determine % C and % N on an elemental analyzer (2400 CHNS/O Series II System, Perkin Elmer, Waltham, MA, USA). The molar element ratio of C:N was calculated as (% C divided by the atomic mass of C):(% N divided by the atomic mass of N).
Appendix A.3. Microbial Communities
Subsamples (25 mg) of lyophilized incubated litter from one harvest date (harvest #2—day 21) were weighed into vials and microbial DNA was extracted using a PowerSoil kit (Qiagen, Hilden, Germany) following the manufacturer’s instructions. Subsamples were transferred to 96-well plates with both positive and negative controls to detect contamination during bacterial and fungal library preparation. A two-stage PCR (polymerase chain reactions) method prepared bacterial and fungal libraries for MiSeq (Illumina, San Diego, CA, USA) metabarcoding. To target the fungal ITS2 region, modified versions of the fungal-specific ITS3_KYO1 (5′-CAHCGATGAAGAACRYAG-3′) forward and ITS4 (5′-TCCTCCGCTTATTGATATGC-3′) reverse primers [] were used. To target the bacterial 16S region, 515f (5′-GTGYCAGCMGCCGCGGTAA-3′) forward and 806r (5′-GGACTACNVGGGTWTCTAAT-3′) reverse primers were used. Stage-one PCR consisted of 25 µL reactions containing the following: 12.5 µL MyFi™ Master Mix (Bioline, Meridian Bioscience, Cincinnati, OH, USA), 2 µL template DNA, 1.25 µL of each fungal or bacteria primer, and molecular grade water. Bacterial stage 1 PCR was run at 3 min at 95° C, followed by 26 cycles of 95° C for 30 s, 78° C for 5 s, 50° C for 30 s, and 72° C for 30 s, followed by a final elongation at 72° C for 3 min. Fungal stage 1 PCR was run at 3 min at 95° C, followed by 28 cycles of 95° C for 30 s, 78° C for 5 s, 50° C for 30 s, and 72° C for 30 s, followed by a final elongation at 72° C for 3 min. Temperature ramp rates were capped at 1 °C to reduce chimera formation [].
Stage-two PCR consisted of 25 µL reactions containing the following: 12.5 µL Myfi™ Master Mix, 9 µL molecular grade water, 2.5 µL of primer, and 1 µL of Stage-one PCR products. Stage-two PCR was run for both taxonomic groups at 3 min at 95° C, followed by 28 cycles of 95° C for 30 s, 78° C for 5 s, 50° C for 30 s, and 72° C for 30 s, followed by a final elongation at 72° C for 3 min. The stage-two primers were appended with 3–6 bp long staggered degenerate spacers to increase taxonomic coverage and overhang adapters to bind to the Illumina flow cell []. All PCR sequences were run using an Eppendorf MasterCycler Nexus Gradient (Eppendorf, Enfield, CT, USA). Stage-two PCR products were cleaned and normalized using Just-a-Plate™, 96-well normalization and purification plates (Charm Biotech, San Diego, CA, USA). Equal volumes of the cleaned PCR products were pooled for the final amplicon library. Paired-end 250-bp sequencing was completed at the Center for Quantitative Life Sciences (CQLS) CORE facility (Illumina MiSeq System, RRID:SCR_016379) located at Oregon State University, Corvallis, Oregon.
Sequences were demultiplexed at the CQLS. The adaptors and primers with degenerate spaces were removed from forward and reverse paired read ends using cutadapt v1.18 []. We used SeqPurge [] to trim read-through adapter contamination from 3′ ends. Using the R-package dada2 (R version 4.2.2; [], we removed low-quality reads and truncated the remaining sequences so the quality score was less than or equal to 2. The sequences were denoised and chimeras were removed. The ITS2 region was then extracted from the conserved flanking regions using ITSx. The sequences were collapsed into OTUs at 99% similarity using the R-package DECIPHER []. Taxonomic identity was then assigned to OTUs using dada2 with reference to the 2020 UNITE full fungal database release [] and SILVA (v132) bacterial database []. An R-package phyloseq object containing the OTU-by-sample matrix, sample metadata, and taxonomic information was combined for downstream analyses separately for bacteria and fungi []. We removed OTUs that were present in less than 1% of samples and normalized for variable sequencing depth by calculating the proportional abundance of OTUs within each sample [] prior to community analysis.
References
- Milner, A.M.; Robertson, A.L.; Monaghan, K.A.; Veal, A.J.; Flory, E.A. Colonization and Development of an Alaskan Stream Community over 28 Years. Front. Ecol. Environ. 2008, 6, 413–419. [Google Scholar] [CrossRef]
- Brown, L.E.; Milner, A.M. Rapid Loss of Glacial Ice Reveals Stream Community Assembly Processes. Glob. Chang. Biol. 2012, 18, 2195–2204. [Google Scholar] [CrossRef]
- Claeson, S.M.; LeRoy, C.J.; Finn, D.S.; Stancheva, R.H.; Wolfe, E.R. Variation in Riparian and Stream Assemblages across the Primary Succession Landscape of Mount St. Helens, U.S.A. Freshw. Biol. 2021, 66, 1002–1017. [Google Scholar] [CrossRef]
- LeRoy, C.J.; Claeson, S.M.; Garthwaite, I.J.; Thompson, M.A.; Thompson, L.J.; Kamakawiwo’ole, B.K.; Froedin-Morgensen, A.M.; McConathy, V.; Ramstack Hobbs, J.M.; Stancheva, R.; et al. Canopy Development Influences Early Successional Stream Ecosystem Function but Not Biotic Assemblages. Aquat. Sci. 2023, 85, 77. [Google Scholar] [CrossRef]
- Wallace, J.B.; Eggert, S.L.; Meyer, J.L.; Webster, J.R. Multiple Trophic Levels of a Forest Stream Linked to Terrestrial Litter Inputs. Science 1997, 277, 102–104. [Google Scholar] [CrossRef]
- Graça, M.A.S. The Role of Invertebrates on Leaf Litter Decomposition in Streams—A Review. Int. Rev. Hydrobiol. 2001, 86, 383–393. [Google Scholar] [CrossRef]
- Swan, C.; Palmer, M. Leaf Diversity Alters Litter Breakdown in Piedmont Stream. J. N. Am. Benthol. Soc. 2004, 23, 15–28. [Google Scholar] [CrossRef]
- LeRoy, C.J.; Marks, J.C. Litter Quality, Stream Characteristics and Litter Diversity Influence Decomposition Rates and Macroinvertebrates. Freshw. Biol. 2006, 51, 605–617. [Google Scholar] [CrossRef]
- LeRoy, C.J.; Whitham, T.G.; Wooley, S.C.; Marks, J.C. Within-Species Variation in Foliar Chemistry Influences Leaf-Litter Decomposition in a Utah River. J. N. Am. Benthol. Soc. 2007, 26, 426–438. [Google Scholar] [CrossRef]
- Jackrel, S.L.; Morton, T.C.; Wootton, J.T. Intraspecific Leaf Chemistry Drives Locally Accelerated Ecosystem Function in Aquatic and Terrestrial Communities. Ecology 2016, 97, 2125–2135. [Google Scholar] [CrossRef]
- LeRoy, C.J.; Ramstack Hobbs, J.M.; Claeson, S.M.; Moffett, J.; Garthwaite, I.; Criss, N.; Walker, L. Plant Sex Influences Aquatic–Terrestrial Interactions. Ecosphere 2020, 11, e02994. [Google Scholar] [CrossRef]
- Scheuerell, R.P.; LeRoy, C.J. Plant Sex Influences on Riparian Communities and Ecosystems. Ecol. Evol. 2023, 13, e10308. [Google Scholar] [CrossRef]
- Findlay, S.; Jones, C.G. Exposure of Cottonwood Plants to Ozone Alters Subsequent Leaf Decomposition. Oecologia 1990, 82, 248–250. [Google Scholar] [CrossRef]
- Aneja, M.K.; Sharma, S.; Fleischmann, F.; Stich, S.; Heller, W.; Bahnweg, G.; Munch, J.C.; Schloter, M. Influence of Ozone on Litter Quality and Its Subsequent Effects on the Initial Structure of Colonizing Microbial Communities. Microb. Ecol. 2007, 54, 151–160. [Google Scholar] [CrossRef]
- Tuchman, N.C.; Wahtera, K.A.; Wetzel, R.G.; Teeri, J.A. Elevated Atmospheric CO2 Alters Leaf Litter Quality for Stream Ecosystems: An in Situ Leaf Decomposition Study. Hydrobiologia 2003, 495, 203–211. [Google Scholar] [CrossRef]
- Amani, M.; Graça, M.A.S.; Ferreira, V. Effects of Elevated Atmospheric CO2 Concentration and Temperature on Litter Decomposition in Streams: A Meta-Analysis. Int. Rev. Hydrobiol. 2019, 104, 14–25. [Google Scholar] [CrossRef]
- Wolfe, E.R.; Younginger, B.S.; LeRoy, C.J. Fungal Endophyte-Infected Leaf Litter Alters in-Stream Microbial Communities and Negatively Influences Aquatic Fungal Sporulation. Oikos 2019, 128, 405–415. [Google Scholar] [CrossRef]
- LeRoy, C.J.; Fischer, D.; Schweitzer, J.A.; Bailey, J.K. Aphid Gall Interactions with Forest Tree Genotypes Influence Leaf Litter Decomposition in Streams. Forests 2020, 11, 182. [Google Scholar] [CrossRef]
- Risley, L.S.; Crossley, D.A. Contribution of Herbivore-Caused Greenfall to Litterfall Nitrogen Flux in Several Southern Appalachian Forested Watersheds. Am. Midl. Nat. 1993, 129, 67–74. [Google Scholar] [CrossRef]
- Gulis, V.; Suberkropp, K. Leaf Litter Decomposition and Microbial Activity in Nutrient-Enriched and Unaltered Reaches of a Headwater Stream. Freshw. Biol. 2003, 48, 123–134. [Google Scholar] [CrossRef]
- Ferreira, V.; Castagneyrol, B.; Koricheva, J.; Gulis, V.; Chauvet, E.; Graça, M.A.S. A Meta-Analysis of the Effects of Nutrient Enrichment on Litter Decomposition in Streams. Biol. Rev. 2015, 90, 669–688. [Google Scholar] [CrossRef] [PubMed]
- Choudhury, D. Herbivore Induced Changes in Leaf-Litter Resource Quality: A Neglected Aspect of Herbivory in Ecosystem Nutrient Dynamics. Oikos 1988, 51, 389–393. [Google Scholar] [CrossRef]
- Grime, J.P.; Cornelissen, J.H.C.; Thompson, K.; Hodgson, J.G. Evidence of a Causal Connection between Anti-Herbivore Defence and the Decomposition Rate of Leaves. Oikos 1996, 77, 489–494. [Google Scholar] [CrossRef]
- Findlay, S.; Carreiro, M.; Krischik, V.; Jones, C.G. Effects of Damage to Living Plants on Leaf Litter Quality. Ecol. Appl. 1996, 6, 269–275. [Google Scholar] [CrossRef]
- Faeth, S.H.; Connor, E.F.; Simberloff, D. Early Leaf Abscission: A Neglected Source of Mortality for Folivores. Am. Nat. 1981, 117, 409–415. [Google Scholar] [CrossRef]
- Risley, L.S. The Influence of Herbivores on Seasonal Leaf-Fall: Premature Leaf Abscission and Petiole Clipping. J. Agric. Entomol. 1986, 3, 152–162. [Google Scholar]
- Broberg, C.L.; Borden, J.H.; Humble, L.M. Distribution and Abundance of Cryptorhynchus lapathi on Salix Spp. in British Columbia. Can. J. For. Res. 2002, 32, 561–568. [Google Scholar] [CrossRef]
- Ke, J.; Laskar, D.D.; Chen, S. Biodegradation of Hardwood Lignocellulosics by the Western Poplar Clearwing Borer, Paranthrene robiniae (Hy. Edwards). Biomacromolecules 2011, 12, 1610–1620. [Google Scholar] [CrossRef]
- Knorr, M.; Frey, S.D.; Curtis, P.S. Nitrogen Additions and Litter Decomposition: A Meta-Analysis. Ecology 2005, 86, 3252–3257. [Google Scholar] [CrossRef]
- Pastor, A.; Compson, Z.G.; Dijkstra, P.; Riera, J.L.; Martí, E.; Sabater, F.; Hungate, B.A.; Marks, J.C. Stream Carbon and Nitrogen Supplements during Leaf Litter Decomposition: Contrasting Patterns for Two Foundation Species. Oecologia 2014, 176, 1111–1121. [Google Scholar] [CrossRef]
- Biasi, C.; Graça, M.A.S.; Santos, S.; Ferreira, V. Nutrient Enrichment in Water More than in Leaves Affects Aquatic Microbial Litter Processing. Oecologia 2017, 184, 555–568. [Google Scholar] [CrossRef] [PubMed]
- Swanson, F.J.; Major, J.J. Physical Events, Environments, and Geological—Ecological Interactions at Mount St. Helens: March 1980–2004. In Ecological Responses to the 1980 Eruption of Mount St. Helens; Dale, V.H., Swanson, F.J., Crisafulli, C.M., Eds.; Springer: New York, NY, USA, 2005; pp. 27–44. ISBN 978-0-387-28150-6. [Google Scholar]
- del Moral, R.; Jones, C. Vegetation Development on Pumice at Mount St. Helens, USA. Plant Ecol. 2002, 162, 9–22. [Google Scholar] [CrossRef]
- Garthwaite, I.J.; Froedin-Morgensen, A.; Hartford, S.H.; Claeson, S.M.; Ramstack Hobbs, J.M.; LeRoy, C.J. Summer Flower Pulses: Catkin Litter Processing in Headwater Streams. Fundam. Appl. Limnol. 2021, 195, 243–254. [Google Scholar] [CrossRef]
- Miller-Pierce, M. Ecological Effects of Anthropogenic Nitrogen on Ecological Systems. Doctoral Dissertation, Washington State University, Vancouver, WA, USA, 2017. [Google Scholar]
- Fisher, M.J. The Morphology and Anatomy of the Flowers of the Salicaceae I. Am. J. Bot. 1928, 15, 307–326. [Google Scholar] [CrossRef]
- Ramstack Hobbs, J.M.; Garthwaite, I.J.; Lancaster, L.; Moffett-Dobbs, J.A.; Johnson, K.; Criss, N.; McConathy, V.; James, C.A.; Gipe, A.; Claeson, S.M.; et al. The Influence of Weevil Herbivory on Leaf Litter Chemistry in Dioecious Willows. Ecol. Evol. 2022, 12, e9626. [Google Scholar] [CrossRef] [PubMed]
- Jenny, H.; Gessel, S.P.; Bingham, F.T. Comparative Study of Decomposition Rates of Organic Matter in Temperate and Tropical Regions. Soil Sci. 1949, 68, 419–432. [Google Scholar] [CrossRef]
- Merritt, R.W.; Cummins, K.W.; Berg, M.B. (Eds.) An Introduction to the Aquatic Insects of North America, 4th ed.; Kendall Hunt Publishing: Dubuque, IA, USA, 2019; ISBN 978-0-7575-6321-8. [Google Scholar]
- Hsieh, T.C.; Ma, K.H.; Chao, A. iNEXT: An R Package for Rarefaction and Extrapolation of Species Diversity (Hill Numbers). Methods Ecol. Evol. 2016, 7, 1451–1456. [Google Scholar] [CrossRef]
- Chao, A.; Ma, K.H.; Hsieh, T.C. User’s Guide for iNEXT Online: Software for Interpolation and Extrapolation of Species Diversity; Institute of Statistics, National Tsing Hua University: Hsin-Chu, Taiwan, 2022. [Google Scholar]
- McCune, B.; Grace, J.B.; Urban, D.L. Analysis of Ecological Communities; Software Design: Gleneden Beach, OR, USA, 2002; ISBN 978-0-9721290-0-8. [Google Scholar]
- Fernandes, A.D.; Macklaim, J.M.; Linn, T.G.; Reid, G.; Gloor, G.B. ANOVA-like Differential Expression (ALDEx) Analysis for Mixed Population RNA-Seq. PLoS ONE 2013, 8, e67019. [Google Scholar] [CrossRef] [PubMed]
- McMurdie, P.J.; Holmes, S. Waste Not, Want Not: Why Rarefying Microbiome Data Is Inadmissible. PLoS Comput. Biol. 2014, 10, e1003531. [Google Scholar] [CrossRef]
- Gloor, G.B.; Macklaim, J.M.; Pawlowsky-Glahn, V.; Egozcue, J.J. Microbiome Datasets Are Compositional: And This Is Not Optional. Front. Microbiol. 2017, 8, 2224. [Google Scholar] [CrossRef]
- Che-Castaldo, C.; Crisafulli, C.M.; Bishop, J.G.; Zipkin, E.F.; Fagan, W.F. Disentangling Herbivore Impacts in Primary Succession by Refocusing the Plant Stress and Vigor Hypotheses on Phenology. Ecol. Monogr. 2019, 89, e01389. [Google Scholar] [CrossRef]
- Schweitzer, J.A.; Madritch, M.D.; Bailey, J.K.; LeRoy, C.J.; Fischer, D.G.; Rehill, B.J.; Lindroth, R.L.; Hagerman, A.E.; Wooley, S.C.; Hart, S.C.; et al. From Genes to Ecosystems: The Genetic Basis of Condensed Tannins and Their Role in Nutrient Regulation in a Populus Model System. Ecosystems 2008, 11, 1005–1020. [Google Scholar] [CrossRef]
- Hutchens, J.J.; Benfield, E.F. Effects of Forest Defoliation by the Gypsy Moth on Detritus Processing in Southern Appalachian Streams. Am. Midl. Nat. 2000, 143, 397–404. [Google Scholar] [CrossRef]
- Chapman, S.K.; Hart, S.C.; Cobb, N.S.; Whitham, T.G.; Koch, G.W. Insect Herbivory Increases Litter Quality and Decomposition: An Extension of the Acceleration Hypothesis. Ecology 2003, 84, 2867–2876. [Google Scholar] [CrossRef]
- Jackrel, S.L.; Wootton, J.T. Cascading Effects of Induced Terrestrial Plant Defences on Aquatic and Terrestrial Ecosystem Function. Proc. R. Soc. B Biol. Sci. 2015, 282, 20142522. [Google Scholar] [CrossRef] [PubMed]
- Hayer, M.; Wymore, A.S.; Hungate, B.A.; Schwartz, E.; Koch, B.J.; Marks, J.C. Microbes on Decomposing Litter in Streams: Entering on the Leaf or Colonizing in the Water? ISME J. 2022, 16, 717–725. [Google Scholar] [CrossRef] [PubMed]
- Sampaio, A.; Cortes, R.; Leão, C. Invertebrate and Microbial Colonisation in Native and Exotic Leaf Litter Species in a Mountain Stream. Int. Rev. Hydrobiol. 2001, 86, 527–540. [Google Scholar] [CrossRef]
- Melillo, J.M.; Naiman, R.J.; Aber, J.D.; Linkins, A.E. Factors Controlling Mass Loss and Nitrogen Dynamics of Plant Litter Decaying in Northern Streams. Bull. Mar. Sci. 1984, 35, 341–356. [Google Scholar]
- Kominoski, J.S.; Marczak, L.B.; Richardson, J.S. Riparian Forest Composition Affects Stream Litter Decomposition despite Similar Microbial and Invertebrate Communities. Ecology 2011, 92, 151–159. [Google Scholar] [CrossRef]
- Kaushik, N.K.K.; Hynes, H.B.N. The Fate of the Dead Leaves That Fall into Streams. Arch. Hydrobiol. 1971, 68, 465–515. [Google Scholar]
- Naiman, R.J.; Decamps, H.; Pollock, M. The Role of Riparian Corridors in Maintaining Regional Biodiversity. Ecol. Appl. 1993, 3, 209–212. [Google Scholar] [CrossRef]
- Gillies, C.S.; St. Clair, C.C. Riparian Corridors Enhance Movement of a Forest Specialist Bird in Fragmented Tropical Forest. Proc. Natl. Acad. Sci. USA 2008, 105, 19774–19779. [Google Scholar] [CrossRef] [PubMed]
- Irons, J.G.; Bryant, J.P.; Oswood, M.W. Effects of Moose Browsing on Decomposition Rates of Birch Leaf Litter in a Subarctic Stream. Can. J. Fish. Aquat. Sci. 1991, 48, 442–444. [Google Scholar] [CrossRef]
- Durben, R.M.; Walker, F.M.; Holeski, L.; Keith, A.R.; Kovacs, Z.; Hurteau, S.R.; Lindroth, R.L.; Shuster, S.M.; Whitham, T.G. Beavers, Bugs and Chemistry: A Mammalian Herbivore Changes Chemistry Composition and Arthropod Communities in Foundation Tree Species. Forests 2021, 12, 877. [Google Scholar] [CrossRef]
- Schweitzer, J.A.; Bailey, J.K.; Hart, S.C.; Wimp, G.M.; Chapman, S.K.; Whitham, T.G. The Interaction of Plant Genotype and Herbivory Decelerate Leaf Litter Decomposition and Alter Nutrient Dynamics. Oikos 2005, 110, 133–145. [Google Scholar] [CrossRef]
- Silfver, T.; Paaso, U.; Rasehorn, M.; Rousi, M.; Mikola, J. Genotype × Herbivore Effect on Leaf Litter Decomposition in Betula pendula Saplings: Ecological and Evolutionary Consequences and the Role of Secondary Metabolites. PLoS ONE 2015, 10, e0116806. [Google Scholar] [CrossRef] [PubMed]
- Renner, S.S.; Ricklefs, R.E. Dioecy and Its Correlates in the Flowering Plants. Am. J. Bot. 1995, 82, 596–606. [Google Scholar] [CrossRef]
- Hultine, K.R.; Bush, S.E.; West, A.G.; Ehleringer, J.R. Population Structure, Physiology and Ecohydrological Impacts of Dioecious Riparian Tree Species of Western North America. Oecologia 2007, 154, 85–93. [Google Scholar] [CrossRef] [PubMed]
- Hultine, K.R.; Bush, S.E.; West, A.G.; Ehleringer, J.R. Effect of Gender on Sap-Flux-Scaled Transpiration in a Dominant Riparian Tree Species: Box Elder (Acer negundo). J. Geophys. Res. Biogeosci. 2007, 112, G03S06. [Google Scholar] [CrossRef]
- Hultine, K.R.; Grady, K.C.; Wood, T.E.; Shuster, S.M.; Stella, J.C.; Whitham, T.G. Climate Change Perils for Dioecious Plant Species. Nat. Plants 2016, 2, 16109. [Google Scholar] [CrossRef]
- Liu, L.; Lu, L.; Li, H.; Meng, Z.; Dong, T.; Peng, C.; Xu, X. Divergence of Phyllosphere Microbial Communities between Females and Males of the Dioecious Populus cathayana. Mol. Plant. Microbe Interact. 2021, 34, 351–361. [Google Scholar] [CrossRef] [PubMed]
- Guo, Q.; Liu, L.; Liu, J.; Korpelainen, H.; Li, C. Plant Sex Affects Plant-Microbiome Assemblies of Dioecious Populus cathayana Trees under Different Soil Nitrogen Conditions. Microbiome 2022, 10, 191. [Google Scholar] [CrossRef] [PubMed]
- Landis, T.D.; Dreesen, D.R.; Dumroese, R.K. Sex and the Single Salix: Considerations for Riparian Restoration. Nativ. Plants J. 2003, 4, 110–117. [Google Scholar] [CrossRef][Green Version]
- Che-Castaldo, C.; Crisafulli, C.M.; Bishop, J.G.; Fagan, W.F. What Causes Female Bias in the Secondary Sex Ratios of the Dioecious Woody Shrub Salix sitchensis Colonizing a Primary Successional Landscape? Am. J. Bot. 2015, 102, 1309–1322. [Google Scholar] [CrossRef] [PubMed]
- Rubio-Ríos, J.; Pérez, J.; Salinas, M.J.; Fenoy, E.; Boyero, L.; Casas, J.J. Climate-Induced Plasticity in Leaf Traits of Riparian Plants. Divers. Distrib. 2022, 28, 859–876. [Google Scholar] [CrossRef]
- Salinas, M.J.; Casas, J.J.; Rubio-Ríos, J.; López-Carrique, E.; Ramos-Miras, J.J.; Gil, C. Climate-Driven Changes of Riparian Plant Functional Types in Permanent Headwater Streams. Implications for Stream Food Webs. PLoS ONE 2018, 13, e0199898. [Google Scholar] [CrossRef] [PubMed]
- Porter, L.J.; Hrstich, L.N.; Chan, B.G. The Conversion of Procyanidins and Prodelphinidins to Cyanidin and Delphinidin. Phytochemistry 1985, 25, 223–230. [Google Scholar] [CrossRef]
- Hagerman, A.E.; Butler, L.G. Choosing Appropriate Methods and Standards for Assaying Tannin. J. Chem. Ecol. 1989, 15, 1795–1810. [Google Scholar] [CrossRef] [PubMed]
- Toju, H.; Tanabe, A.S.; Yamamoto, S.; Sato, H. High-Coverage ITS Primers for the DNA-Based Identification of Ascomycetes and Basidiomycetes in Environmental Samples. PLoS ONE 2012, 7, e40863. [Google Scholar] [CrossRef]
- Stevens, J.L.; Jackson, R.L.; Olson, J.B. Slowing PCR Ramp Speed Reduces Chimera Formation from Environmental Samples. J. Microbiol. Methods 2013, 93, 203–205. [Google Scholar] [CrossRef]
- Lundberg, D.S.; Yourstone, S.; Mieczkowski, P.; Jones, C.D.; Dangl, J.L. Practical Innovations for High-Throughput Amplicon Sequencing. Nat. Methods 2013, 10, 999–1002. [Google Scholar] [CrossRef] [PubMed]
- Martin, M. Cutadapt Removes Adapter Sequences from High-Throughput Sequencing Reads. EMBnet. J. 2011, 17, 10–12. [Google Scholar] [CrossRef]
- Sturm, M.; Schroeder, C.; Bauer, P. SeqPurge: Highly-Sensitive Adapter Trimming for Paired-End NGS Data. BMC Bioinform. 2016, 17, 208. [Google Scholar] [CrossRef] [PubMed]
- Callahan, B.J.; McMurdie, P.J.; Rosen, M.J.; Han, A.W.; Johnson, A.J.A.; Holmes, S.P. DADA2: High-Resolution Sample Inference from Illumina Amplicon Data. Nat. Methods 2016, 13, 581–583. [Google Scholar] [CrossRef] [PubMed]
- Wright, E.S. Using DECIPHER v2.0 to Analyze Big Biological Sequence Data in R. R J. 2016, 8, 352–359. [Google Scholar] [CrossRef]
- Nilsson, R.H.; Anslan, S.; Bahram, M.; Wurzbacher, C.; Baldrian, P.; Tedersoo, L. Mycobiome Diversity: High-Throughput Sequencing and Identification of Fungi. Nat. Rev. Microbiol. 2019, 17, 95–109. [Google Scholar] [CrossRef]
- Quast, C.; Pruesse, E.; Yilmaz, P.; Gerken, J.; Schweer, T.; Yarza, P.; Peplies, J.; Glöckner, F.O. The SILVA Ribosomal RNA Gene Database Project: Improved Data Processing and Web-Based Tools. Nucleic Acids Res. 2013, 41, D590–D596. [Google Scholar] [CrossRef]
- McMurdie, P.J.; Holmes, S. Phyloseq: An R Package for Reproducible Interactive Analysis and Graphics of Microbiome Census Data. PLoS ONE 2013, 8, e61217. [Google Scholar] [CrossRef]
Disclaimer/Publisher’s Note: The statements, opinions and data contained in all publications are solely those of the individual author(s) and contributor(s) and not of MDPI and/or the editor(s). MDPI and/or the editor(s) disclaim responsibility for any injury to people or property resulting from any ideas, methods, instructions or products referred to in the content. |
© 2024 by the authors. Licensee MDPI, Basel, Switzerland. This article is an open access article distributed under the terms and conditions of the Creative Commons Attribution (CC BY) license (https://creativecommons.org/licenses/by/4.0/).