Trade Creation or Diversion?—Evidence from China’s Forest Wood Product Trade
Abstract
1. Introduction
2. Literature Review
2.1. Literature on Forest Wood Product Trade
2.2. Literature on FTAs
3. Materials and Data Sources
3.1. Materials
3.2. Data Sources
4. Trade Network Analysis
4.1. Measurement of the Chinese Forest Wood Product Trade Network
4.2. Analysis of China’s Forest Wood Product Trade Network
5. Model Specification and Results
5.1. Model Specification
5.2. Variables
5.2.1. Explanatory Variables
5.2.2. Control Variables
5.3. Empirical Analysis
5.3.1. Parallel Trend Test
5.3.2. Benchmark Regression
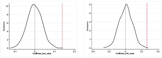
5.3.3. Placebo Test
5.3.4. Robustness Test
Propensity Score Matching Test
Replace Control Variables
5.3.5. Trade Diversion Effect
6. Discussion
7. Conclusions and Implications
7.1. Conclusions
7.2. Implications
Author Contributions
Funding
Data Availability Statement
Conflicts of Interest
References
- Wang, F.; Tian, M.; Yin, R.; Yin, Z.; Zhang, Z. Change of global woody forest products trading network and relationship between large supply and demand countries. Resour. Sci. 2021, 43, 1008–1024. [Google Scholar] [CrossRef]
- Tian, M.; Wang, F.; Feng, Q. Impact of international timber forest product price fluctuations on China’s import and export of timber forest products. J. Agro-For. Econ. Manag. 2022, 21, 67–77. [Google Scholar]
- Qiu, X.; Lin, W.; He, S.; Sun, Y.; Dai, Y.; Chen, J. Can the industrial policies improve the quality of wood forest products exported from China? For. Econ. 2023, 45, 35–57. [Google Scholar]
- Bernini, M.; Guillou, S.; Bellone, F. Financial leverage and export quality: Evidence from France. J. Bank. Financ. 2015, 59, 280–296. [Google Scholar] [CrossRef]
- Antràs, P.; Staiger, R.W. Offshoring and the role of trade agreements. Am. Econ. Rev. 2012, 102, 3140–3183. [Google Scholar] [CrossRef]
- Sheng, B.; Gan, J. Digital trade: A framework for analysis. J. Int. Trade 2021, 8, 1–18. [Google Scholar]
- Wei, F.; Fan, X. The depth of FTA clause and regional value chain participation: Evidence from “the Belt and Road” countries. Reform Econ. Syst. 2023, 3, 63–71. [Google Scholar]
- Zheng, F.; Peng, Y. FTA depth and national export product quality: A perspective of clause heterogeneity. World Econ. Stud. 2023, 4, 33–46, 134, 135. [Google Scholar]
- Amiti, M.; Khandelwal, A.K. Import competition and quality upgrading. Rev. Econ. Stat. 2013, 95, 476–490. [Google Scholar] [CrossRef]
- Tian, M.; Shi, Y.; Gao, W.; Wang, F.; Wei, T. Study on factors affecting import and export of Chinese woody forest products and estimation of trade potential based on gravity model. Issues For. Econ. 2018, 38, 10–18+100. [Google Scholar]
- Wu, H.; Wang, R.; Yin, R. Global Forest Products Export Trade Network Pattern and Influencing Factors Based on ERGM. J. Agro-For. Econ. Manag. 2022, 21, 188–197. [Google Scholar]
- Alfranca, O.; Voces, R.; Herruzo, A.C.; Diaz, B.L. Effects of innovation on the European wood industry market structure. For. Policy Econ. 2014, 40, 40–47. [Google Scholar] [CrossRef]
- Su, H.; Li, Z.; Chen, Y. Analysis on complementariness and potential of Sino–Russian forest products trade. World For. Res. 2010, 23, 73–76. [Google Scholar]
- Evgeniy. Analysis on the current situation and trend of forest products trade between China and Russia. Kyklos 2013, 21, 749–756. [Google Scholar]
- Long, T.; Pan, H.; Dong, C.; Qin, T.; Ma, P. Exploring the competitive evolution of global wood forest product trade based on complex network analysis. Phys. A Stat. Mech. Its Appl. 2019, 525, 1224–1232. [Google Scholar] [CrossRef]
- Buongiorno, J. Monetary union and forest products trade—The case of the euro. J. For. Econ. 2015, 21, 238–249. [Google Scholar] [CrossRef]
- Jiao, X.; Liu, Q.; Li, M. Study on the trade rules of China’s FTA forest products. Issues For. Econ. 2022, 42, 298–307. [Google Scholar]
- Stenberg, L.C.; Siriwardana, M. Measuring the economic impacts of trade liberalisation on forest products trade in the Asia–Pacific region using the GTAP model. Int. For. Rev. 2015, 17, 498–509. [Google Scholar] [CrossRef]
- Zhang, J.; Li, F.; Liu, Y.; Cheng, B. An assessment of trade facilitation’s impacts on China’s forest product exports to countries along the “Belt and Road” Based on the perspective of ternary margins. Sustainability 2019, 11, 1298. [Google Scholar] [CrossRef]
- Prestemon, J.P. The impacts of the lacey act amendment of 2008 on U.S. hardwood lumber and hardwood plywood imports. For. Policy Econ. 2015, 50, 31–44. [Google Scholar] [CrossRef]
- van Kooten, G.C.; Johnston, C.M.T. Global impacts of Russian log export restrictions and the Canada-US lumber dispute: Modeling trade in logs and lumber. For. Policy Econ. 2014, 39, 54–66. [Google Scholar] [CrossRef]
- Chang, W.Y.; Gaston, C. A trade flow analysis of the global softwood log market: Implications of Russian log export tax reduction and New Zealand log production restriction. Forestry 2016, 89, 20–35. [Google Scholar] [CrossRef]
- Zhang, X.; Haviarova, E.; Zhou, M. A welfare analysis of China’s tariffs on U.S. hardwood products. For. Policy Econ. 2020, 113, 102085. [Google Scholar] [CrossRef]
- Baek, J. The J–curve effect and the US–Canada forest products trade. J. For. Econ. 2007, 13, 245–258. [Google Scholar] [CrossRef]
- Zhang, Y.; Luo, W.; Duan, X.; Gao, L. The impact of environmental regulations on forest product trade in China. Nat. Resour. Model. 2019, 32, 2. [Google Scholar] [CrossRef]
- Kemp, M.C.; Wan, H. An elementary proposition concerning the formation of custom unions. J. Int. Econ. 1976, 6, 95–97. [Google Scholar] [CrossRef]
- Derosa, D.A. Regional Trading Arrangements among Developing Countries: The ASEAN Example; Research Report; International Food Policy Research Institute: Washington, DC, USA, 1995. [Google Scholar]
- Lewis, J.D.; Sherman, R.; Wang, Z. Beyond the uruguay round: The implication of an Asian free trade area. China Econ. Rev. 1995, 6, 35–90. [Google Scholar] [CrossRef]
- Suthiphand, C. ASEAN-China free trade area: Background, implications and future development. J. Asian Econ. 2002, 9, 671–686. [Google Scholar]
- Hertel, T.W.; Walmsley, T.; Itakura, K. Dynamic effects of the “New Age” free trade agreement between Japan and Singapore. J. Econ. Integr. 2001, 24, 1019–1049. [Google Scholar]
- John, G.; Thomas, W. Applied General Equilibrium Assessments of Trade Liberalisation in China. World Econ. 2002, 25, 697–731. [Google Scholar]
- Siriwardana, M. The proposed Australia-China free trade agreement: Global and country–specific effects. Int. J. Trade Glob. Mark. 2008, 1, 392–408. [Google Scholar] [CrossRef]
- Guilhot, L. Assessing the impact of the main East-Asian free trade agreements using a gravity model. First results. Econ. Bull. 2010, 30, 282–291. [Google Scholar]
- Lee, C.S.; Don, M. Impacts of sequential free trade agreements in east asia: A CGE and political economy analysis. Glob. Econ. Rev. 2010, 39, 365–381. [Google Scholar] [CrossRef]
- Jayasinghe, S.; Sarker, R. Effects of regional trade agreements on trade in agrifood products: Evidence from gravity modeling using disaggregated data. Rev. Agric. Econ. 2008, 30, 61–81. [Google Scholar] [CrossRef]
- Herath, H.M.S.P. Impacts of ASEAN Free Trade Agreement (AFTA) on Agrifood Trade Creation and Trade Diversion. SSRN Working Paper: 2014.
- Mujahid, I.; Kalkuhl, M. Do trade agreements increase food trade? World Econ. 2016, 39, 1812–1833. [Google Scholar] [CrossRef]
- Jin, H.J.; Koo, W.W.; Sul, B. The effects of the free trade agreement among China, Japan and South Korea. J. Econ. Dev. 2006, 31, 55. [Google Scholar]
- Okabe, M.; Urata, S. The impact of AFTA on Intra-AFTA trade. J. Asian Econ. 2014, 35, 12–31. [Google Scholar] [CrossRef][Green Version]
- Pfaermayr, M. Trade creation and trade diversion of regional trade agreements revisited: A constrained panel pseudo-maximum likelihood approach. Rev. World Econ. 2020, 156, 985–1024. [Google Scholar] [CrossRef]
- Darma, W.S.; Hastiadi, F.F. Trade creation and trade diversion effects of the ASEAN-China FTA, ASEAN-Korea FTA, and ASEAN-India FTA implementation on the export of Indonesia’s food and beverages industry products. In Globalization, Productivity and Production Networks in ASEAN; Hastiadi, F., Ed.; Springer: Berlin/Heidelberg, Germany, 2019; pp. 147–168. [Google Scholar]
- Huang, L.; Liu, Q. Research on the impact of constructing FTA in east Asia on China’s economy—Based on the empirical analysis of the GTAP model. J. Int. Trade 2008, 12, 60–68. [Google Scholar]
- Wang, L.; Shen, G.; Liu, H. The impact of the establishment of China-Australia FTA on chinese dairy industry. Issues Agric. Econ. 2012, 33, 37–43+111. [Google Scholar]
- Xi, Y.; Chen, X. An empirical study of the trade effects of CEPA on mainland China and Hong Kong—Based on multiple difference and poisson’s great likelihood estimates. Inq. Into Econ. Issues 2014, 11, 130–138. [Google Scholar]
- Yuan, R.; Tian, Z. How CAFTA changed agricultural trade between China and ASEAN? evidence from the first ten years. Issues Agric. Econ. 2014, 35, 58–63+111. [Google Scholar]
- Cao, L.; Jiang, H.; Chen, X. Study on the trade creation and trade diversion effects of CAFTA. Macroeconomics 2013, 6, 29–34+71. [Google Scholar]
- Hu, C. Comparison of trade effects of China–ASEAN import customs clearance time:an empirical analysis based on different time–intensive agricultural products. J. Int. Trade 2014, 8, 58–67. [Google Scholar]
- Li, R.; Yu, M. Research on the trade effect of asian regional trade agreements based on propensity score matching. Int. Econ. Trade Res. 2014, 30, 4–16. [Google Scholar]
- Zhang, Y.; Li, S.; Zhu, T. Does CEPA promote commodity trade between mainland and Hong Kong? Res. Econ. Manag. 2015, 36, 16–21. [Google Scholar]
- Cheng, W.; Feng, F. Trade effects of CAFTA: An empirical analysis based on three–stage gravity model. Int. Econ. Trade Res. 2014, 30, 4–16. [Google Scholar]
- Tian, G.; Wu, T.; Zhang, B. Competitive and complementary analysis on wood products trade between China and Asia-Pacific countries. World For. Res. 2018, 31, 86–90. [Google Scholar]
- UN Commodity Trade Statistics Database. Available online: https://comtradeplus.un.org/TradeFlow (accessed on 15 November 2022).
- China FTA Network. Available online: http://fta.mofcom.gov.cn/ (accessed on 10 February 2022).
- World Bank Database. Available online: https://databank.worldbank.org/ (accessed on 25 November 2022).
- French Center for International Economic Research Database. Available online: http://www.cepii.fr/CEPII/en/bdd_modele/bdd_modele.asp (accessed on 28 February 2022).
- FAO Database. Available online: https://www.fao.org/faostat/en/ (accessed on 7 October 2022).
- John, S. Social network analysis: Developments, advances, and prospects. Soc. Netw. Anal. Min. 2011, 1, 21–26. [Google Scholar]
- Linnemann, H. An econometric study of international trade flows. Can. J. Econ. Political Sci./Rev. Can. Econ. Sci. Polit. 1966, 33, 633–634. [Google Scholar]
- Wang, J. The economic impact of special cconomic zones: Evidence from Chinese municipalities. J. Dev. Econ. 2013, 101, 133–147. [Google Scholar] [CrossRef]
- Dai, M.; Shen, W. Trade flow and potentiality of China’s timber-forest products: A gravity model. Resour. Sci. 2010, 32, 2115–2122. [Google Scholar]
- Melitz, J.; Toubal, F. Native language, spoken language, translation and trade. J. Int. Econ. 2014, 93, 351–363. [Google Scholar] [CrossRef]
- Harris, R.; Tzavalis, E. Inference for unit roots in dynamic panels where the time dimension is fixed. J. Econom. 1999, 91, 201–226. [Google Scholar] [CrossRef]
- Shan, S.; Ahmad, M.; Tan, Z.; Adebayo, T.S.; Li, R.Y.M.; Kirikkaleli, D. The role of energy prices and non-linear fiscal decentralization in limiting carbon emissions: Tracking environmental sustainability. Energy 2021, 234, 121243. [Google Scholar] [CrossRef]
- Kao, C. Spurious regression and residual–based tests for cointegration in panel data. J. Econom. 1999, 90, 1–44. [Google Scholar] [CrossRef]
- Beck, T.; Levine, R.; Levkov, A. Big bad banks? The winners and losers from bank deregulation in the United States. J. Financ. 2010, 65, 1637–1667. [Google Scholar] [CrossRef]
- Ferrara, E.L.; Chong, A.; Duryea, S. Soap operas and fertility: Evidence from Brazil. Am. Econ. J. Appl. Econ. 2012, 4, 1–31. [Google Scholar] [CrossRef]
- Liu, Q.; Lu, Y. Firm investment and exporting: Evidence from China’s value–added tax reform. J. Int. Econ. 2015, 97, 392–403. [Google Scholar] [CrossRef]
- Yang, X.; Yin, X. How does the reform of state-owned enterprises affect company’s cash holdings? J. Manag. World 2018, 34, 93–107. [Google Scholar]
- Zhao, T. Institutional Costs and Structural Optimization under International Trade Rules. Henan Soc. Sci. 2019, 27, 32–38. [Google Scholar]
- Cao, Y.; Zhang, Y.; Yang, L.; Li, R.Y.M.; Crabbe, M.J.C. Green credit policy and maturity mismatch risk in polluting and non-polluting companies. Sustainability 2021, 13, 3615. [Google Scholar] [CrossRef]
- Ghimire, A.; Ali, S.; Long, X.; Chen, L.; Sun, J. Effect of Digital Silk Road and innovation heterogeneity on digital economy growth across 29 countries: New evidence from PSM-DID. Technol. Forecast. Soc. Change 2024, 198, 122987. [Google Scholar] [CrossRef]




| Main Research Field | Main Research Content | Author(s) |
|---|---|---|
| Forest Wood Product Trade | Research on the competitiveness and complementarity of forest product trade among different countries. | Su et al. [13]; Evgeniy [14]; Long et al. [15] |
| Research on the impact of policy shocks on forest wood product trade. | Buongiomo [16]; Jiao et al. [17]; Stenberg and Siriwardana [18]; Zhang et al. [19]; Prestemon [20]; Van Kooten et al. [21]; Chang and Gaston [22]; Zhang et al. [23] | |
| Research on the impact of factors such as exchange rates and trade facilitation on forest product trade. | Baek [24]; Zhang et al. [25] | |
| Free Trade Agreements (FTAs) | Research on the impact of FTAs on the economy. | Kemp [26]; Derosa [27]; Lewis et al. [28]; Suthiphand [29]; Hertel et al. [30]; John and Thomas [31]; Siriwardana [32]; Guilhot [33]; Lee and Don [34]; Jayasinghe and Sarker [35]; Herath [36]; Mujahid and Kalkuhl [37]; Jin et al. [38]; Okabe and Urata [39]; Pfaermayr [40]; Darma and Hastiadi [41] |
| Research on China’s FTAs. | Huang and Liu [42]; Wang et al. [43]; Xi and Chen [44]; Yuan and Tian [45]; Cao et al. [46]; Hu [47]; Li and Yu [48]; Zhang et al. [49]; Cheng and Feng [50] |
| Region | Country |
|---|---|
| Asia | Japan, Indonesia, South Korea, Thailand, Malaysia, Vietnam, Singapore, Saudi Arabia, United Arab Emirates, India, Philippines, Iran, Myanmar, Laos, Israel |
| Europe | Russia, United Kingdom, Germany, France, Sweden, Netherlands, Finland, Italy, Belgium, Spain, Turkey, Poland |
| North America | United States, Canada, Mexico |
| South America | Brazil, Chile, Uruguay |
| Africa | South Africa, Nigeria, Gabon |
| Oceania | Australia, New Zealand, Papua New Guinea, Solomon Islands |
| Type | HS Code |
|---|---|
| Timber | HS4403 |
| Other rough wood | HS4401, HS4402, HS4404, HS4405 |
| Sawnwood | HS4406, HS4407 |
| Sheet | HS4408, HS4409 |
| Wood-based panels | HS4410, HS4411, HS4412, HS4413 |
| Wood ware | HS4414, HS4415, HS4416, HS4417, HS4418, HS4419, HS4420, HS4421 |
| Pulp | HS4701, HS4702, HS4703, HS4704, HS4705, HS4706 |
| Recovered paper and paperboard | HS4707 |
| Paper and paperboard | HS48 |
| Wooden furniture | HS940161, HS940169, HS940330, HS940340, HS940350, HS940360 |
| Title 1 | 2000 | 2010 | 2019 | |||
|---|---|---|---|---|---|---|
| Noun | Economies | Degree | Economies | Degree | Economies | Degree |
| 1 | United States | 5.168 | Germany | 9.605 | United States | 10.539 |
| 2 | Canada | 3.801 | United States | 8.516 | China | 10.285 |
| 3 | Germany | 2.158 | China | 6.427 | Germany | 8.712 |
| 4 | Japan | 1.511 | Canada | 4.435 | ASEAN | 5.334 |
| 5 | France | 1.448 | France | 4.229 | France | 4.451 |
| 6 | ASEAN | 1.434 | ASEAN | 3.917 | Canada | 4.376 |
| 7 | United Kingdom | 1.340 | United Kingdom | 3.232 | Finland | 3.876 |
| 8 | Finland | 1.138 | Netherlands | 2.921 | Sweden | 3.829 |
| 9 | Italy | 1.107 | Italy | 2.890 | United Kingdom | 3.599 |
| 10 | Sweden | 1.024 | Japan | 2.632 | Netherlands | 3.098 |
| 11 | Belgium | 0.952 | Sweden | 2.341 | Italy | 2.677 |
| 12 | Netherlands | 0.949 | Belgium | 2.169 | Japan | 2.659 |
| 13 | China | 0.821 | Spain | 2.158 | Poland | 2.071 |
| 14 | Spain | 0.723 | Finland | 1.879 | Spain | 2.071 |
| 15 | Mexico | 0.445 | Poland | 1.615 | Brazil | 1.931 |
| 16 | Brazil | 0.417 | Russian | 1.548 | Russian | 1.694 |
| 17 | South Korea | 0.412 | Brazil | 1.419 | Mexico | 1.370 |
| 18 | Russian | 0.379 | South Korea | 1.120 | South Korea | 1.280 |
| 19 | Poland | 0.326 | Mexico | 1.111 | India | 1.209 |
| 20 | Australia | 0.292 | Australia | 0.967 | Turkey | 1.044 |
| 21 | Chile | 0.215 | India | 0.879 | Belgium | 1.010 |
| 22 | New Zealand | 0.186 | Turkey | 0.755 | Australia | 0.999 |
| 23 | Turkey | 0.138 | Chile | 0.714 | Chile | 0.856 |
| 24 | South Africa | 0.117 | New Zealand | 0.598 | United Arab Emirates | 0.711 |
| 25 | Saudi Arabia | 0.114 | Saudi Arabia | 0.526 | New Zealand | 0.683 |
| 26 | Israel | 0.101 | United Arab Emirates | 0.482 | Saudi Arabia | 0.677 |
| 27 | India | 0.098 | South Africa | 0.354 | South Africa | 0.434 |
| 28 | United Arab Emirates | 0.078 | Iran | 0.312 | Israel | 0.336 |
| 29 | Uruguay | 0.038 | Israel | 0.276 | Iran | 0.223 |
| 30 | Iran | 0.037 | Nigeria | 0.136 | Nigeria | 0.152 |
| 31 | Gabon | 0.034 | Uruguay | 0.046 | Uruguay | 0.068 |
| 32 | Nigeria | 0.022 | Solomon Islands | 0.021 | Papua New Guinea | 0.009 |
| 33 | Papua New Guinea | 0.008 | Papua New Guinea | 0.012 | Gabon | 0.007 |
| 34 | Solomon Islands | 0.000 | Gabon | 0.006 | Solomon Islands | 0.004 |
| Variable | Unit | Obs | Mean | Std. Dev. | Min | Max |
|---|---|---|---|---|---|---|
| tradevalue | USD million | 800 | 1353.557 | 2641.13 | 0.959 | 24,913.04 |
| ex_value | USD million | 800 | 679.993 | 1693.838 | 0.004 | 17,378.27 |
| im_value | USD million | 800 | 673.564 | 1197.02 | 0.001 | 8360.854 |
| treat × post | - | 800 | 0.147 | 0.355 | 0 | 1 |
| gdpi × gdpj | USD billion | 800 | 8,910,000 | 2.45 × 107 | 519.873 | 3.07 × 108 |
| popi × popj | million | 800 | 121,000 | 260,000 | 521.043 | 1,910,000 |
| dis | km | 800 | 7753.246 | 4266.82 | 955.65 | 19,175.59 |
| forestarea | 1000 ha | 800 | 69,408.2 | 158,000 | 15.75 | 815,000 |
| border | - | 800 | 0.125 | 0.331 | 0 | 1 |
| language | - | 800 | 0.050 | 0.218 | 0 | 1 |
| Variables | Level Value | Second Difference Value | ||||
|---|---|---|---|---|---|---|
| Rho | Z Value | p Value | Rho | Z Value | p Value | |
| lntradevalue | 0.8481 | −0.3854 | 0.3500 | −0.4568 | −50.3902 | 0.0000 |
| lnex_value | 0.7830 | −3.1697 | 0.0000 | −0.5560 | −54.2391 | 0.0000 |
| lnim_value | 0.6905 | −7.1232 | 0.0000 | −0.5583 | −54.3271 | 0.0000 |
| treat × post | 0.8749 | 0.7593 | 0.7762 | −0.5012 | −52.1117 | 0.0000 |
| lngdpi × gdpj | 0.9290 | 3.0720 | 0.9989 | −0.3186 | −45.0290 | 0.0000 |
| lnpopi × popj | 0.9497 | 3.9567 | 1.0000 | 0.4681 | −14.5112 | 0.0000 |
| lndis | 0.0000 | −36.6477 | 0.0000 | 0.0000 | −32.6693 | 0.0000 |
| lnforestarea | 0.9751 | 5.0420 | 1.0000 | −0.0168 | −33.3200 | 0.0000 |
| border | 0.0000 | −36.6477 | 0.0000 | 0.0000 | −32.6693 | 0.0000 |
| language | 0.0000 | −36.6477 | 0.0000 | 0.0000 | −32.6693 | 0.0000 |
| lntradevalue | 0.8481 | −0.3854 | 0.3500 | −0.4568 | −50.3902 | 0.0000 |
| lnex_value | 0.7830 | −3.1697 | 0.0000 | −0.5560 | −54.2391 | 0.0000 |
| lnim_value | 0.6905 | −7.1232 | 0.0000 | −0.5583 | −54.3271 | 0.0000 |
| Explained Variable | Null Hypothesis | t Value | p Value |
|---|---|---|---|
| lntradevalue | H0: ρ = 1 | −3.5663 | 0.0001 |
| lnex_value | −4.3865 | 0.0000 | |
| lnim_value | −5.1478 | 0.0000 |
| (1) | (2) | (3) | |
|---|---|---|---|
| lntradevalue | lnex_value | lnim_value | |
| treat × post | 0.1181 | 0.1382 * | 0.2645 ** |
| (0.0916) | (0.0755) | (0.1321) | |
| lngdpi × gdpj | 0.5933 *** | 1.2925 *** | 0.2000 |
| (0.1236) | (0.0981) | (0.1962) | |
| lnpopi × popj | 1.0753 *** | 0.8394 *** | 1.7849 *** |
| (0.2892) | (0.2464) | (0.5882) | |
| lndis | −61.3807 *** | −77.8179 *** | −124.1187 *** |
| (11.7972) | (7.6546) | (17.2149) | |
| lnforestarea | 7.3557 *** | 1.1059 ** | 6.7307 *** |
| (0.7109) | (0.5560) | (1.3691) | |
| border | −85.9104 *** | −57.2601 ** | −141.9203 *** |
| (27.8871) | (25.2399) | (44.8667) | |
| language | 57.7292 ** | 6.0866 | 319.4229 *** |
| (26.7040) | (19.2160) | (38.1076) | |
| constant | 464.3657 *** | 657.9441 *** | 1012.2714 *** |
| (105.5007) | (69.9491) | (156.0120) | |
| country#c.year FE | yes | yes | yes |
| year FE | yes | yes | yes |
| observations | 800 | 800 | 800 |
| R-squared | 0.9215 | 0.9737 | 0.9136 |
| Variable | Unmatched/ Matched | Mean | %bias | t Value | p Value | |
|---|---|---|---|---|---|---|
| Treated | Control | |||||
| lngdpi × gdpj | U | 13.594 | 14.566 | −44.8 | −5.62 | 0.000 |
| M | 13.594 | 13.945 | −16.2 | −1.46 | 0.144 | |
| lnpopi × popj | U | 10.58 | 10.67 | −6.1 | −0.75 | 0.454 |
| M | 10.58 | 10.734 | −10.5 | −0.96 | 0.337 | |
| lndis | U | 8.3583 | 8.9754 | −100.3 | −14.58 | 0.000 |
| M | 8.3583 | 8.4409 | −13.4 | −1.24 | 0.215 | |
| lnforestarea | U | 9.3345 | 9.4604 | −5.8 | −0.75 | 0.451 |
| M | 9.3345 | 9.7561 | −19.5 | −2.38 | 0.018 | |
| PSM + DID | Replace Control Variables | |||
|---|---|---|---|---|
| (1) | (2) | (3) | (4) | |
| lnex_value | lnim_value | lnex_value | lnim_value | |
| treat × post | 0.1858 ** | 0.4155 *** | 0.1346 * | 0.2284 * |
| (0.0893) | (0.1288) | (0.0765) | (0.1301) | |
| lngdpi × gdpj | 1.2531 *** | −0.3658 | 1.2648 *** | 0.1155 |
| (0.1725) | (0.2844) | (0.1011) | (0.2115) | |
| lnpopi × popj | 1.9324 ** | 3.5928 *** | 0.8431 *** | 1.5541 ** |
| (0.8422) | (0.9021) | (0.2438) | (0.6484) | |
| roundij | 3.7005 *** | 1.5234 | ||
| (1.3778) | (2.1200) | |||
| controls | yes | yes | yes | yes |
| country#c.year FE | yes | yes | yes | yes |
| year FE | yes | yes | yes | yes |
| observations | 354 | 354 | 800 | 800 |
| R-squared | 0.9744 | 0.9306 | 0.9736 | 0.9075 |
| (1) | (2) | |
|---|---|---|
| lnex_value | lnim_value | |
| untreat | 0.2823 ** | 0.2920 |
| (0.1114) | (0.1803) | |
| lngdpi × gdpj | 1.3120 *** | 0.2689 |
| (0.0920) | (0.1800) | |
| lnpopi × popj | 0.8118 *** | 1.7057 *** |
| (0.2403) | (0.5871) | |
| lndis | −72.9743 *** | −114.6151 *** |
| (7.3628) | (15.2951) | |
| lnforestarea | 0.9554 * | 6.5502 *** |
| (0.5486) | (1.3196) | |
| border | −56.0717 ** | −138.2342 *** |
| (24.1130) | (45.6779) | |
| language | −12.7048 | 289.0118 *** |
| (18.8209) | (37.7176) | |
| Constant | 617.5851 *** | 931.3635 *** |
| (66.9599) | (139.6368) | |
| country#c.year FE | yes | yes |
| year FE | yes | yes |
| observations | 800 | 800 |
| R-squared | 0.9740 | 0.9136 |
Disclaimer/Publisher’s Note: The statements, opinions and data contained in all publications are solely those of the individual author(s) and contributor(s) and not of MDPI and/or the editor(s). MDPI and/or the editor(s) disclaim responsibility for any injury to people or property resulting from any ideas, methods, instructions or products referred to in the content. |
© 2024 by the authors. Licensee MDPI, Basel, Switzerland. This article is an open access article distributed under the terms and conditions of the Creative Commons Attribution (CC BY) license (https://creativecommons.org/licenses/by/4.0/).
Share and Cite
Gao, L.; Pei, T.; Tian, Y. Trade Creation or Diversion?—Evidence from China’s Forest Wood Product Trade. Forests 2024, 15, 1276. https://doi.org/10.3390/f15071276
Gao L, Pei T, Tian Y. Trade Creation or Diversion?—Evidence from China’s Forest Wood Product Trade. Forests. 2024; 15(7):1276. https://doi.org/10.3390/f15071276
Chicago/Turabian StyleGao, Lei, Taowu Pei, and Yu Tian. 2024. "Trade Creation or Diversion?—Evidence from China’s Forest Wood Product Trade" Forests 15, no. 7: 1276. https://doi.org/10.3390/f15071276
APA StyleGao, L., Pei, T., & Tian, Y. (2024). Trade Creation or Diversion?—Evidence from China’s Forest Wood Product Trade. Forests, 15(7), 1276. https://doi.org/10.3390/f15071276

